Formation Transformation Method for UUV Group to Approach a Static Target
Abstract
:1. Introduction
2. Formation Transformation Strategy
2.1. Formation Transformation Strategy
2.2. Optimization of Aggregation Points
3. The Avoidance Method Based on Virtual Forces
3.1. UUV Motion Model
3.2. Consensus Control for Distance to the Target
3.3. Avoidance Method Based on Virtual Torque Field
| Algorithm 1 The avoidance algorithm |
## The method of avoidance between UUVs.
|
3.4. The Avoidance Speed Control Law
3.5. Control Methods in Case of Communication Delays
4. Simulation and Analysis
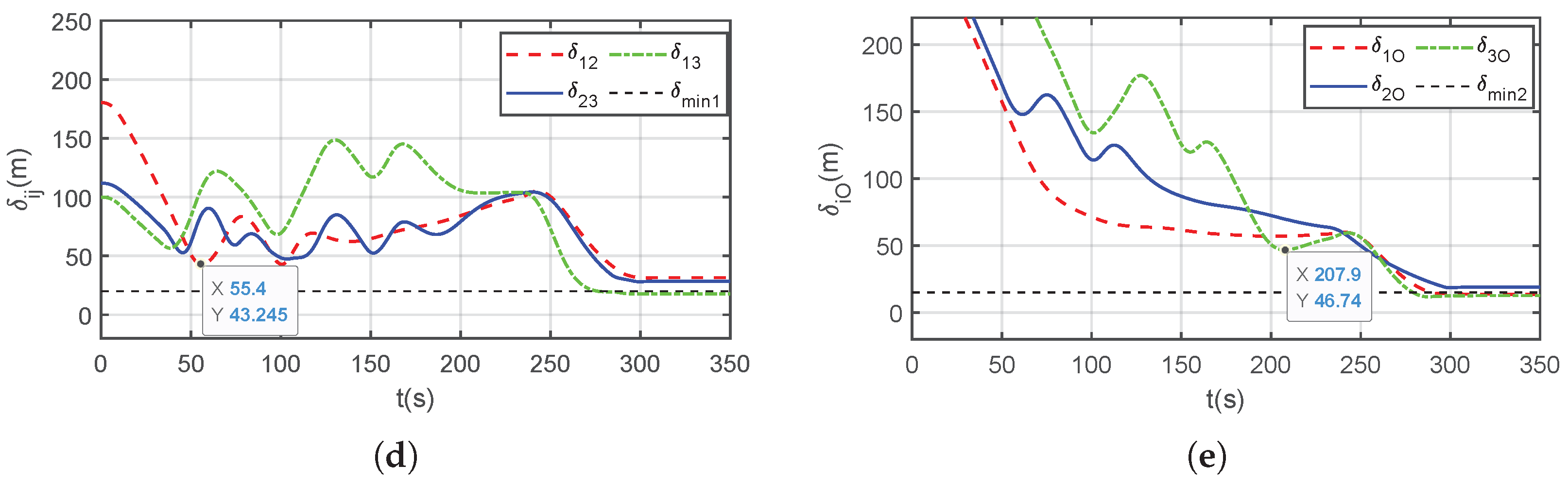
4.1. Simulation of Avoidance Method
4.2. Simulation of Avoidance Method
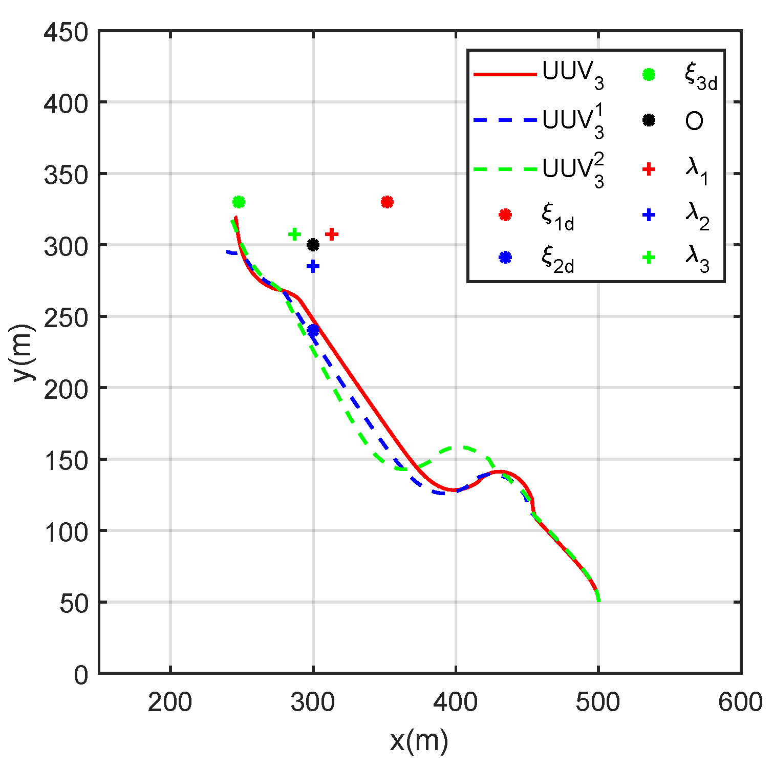
4.3. Model Prediction Simulation
5. Conclusions
Author Contributions
Funding
Institutional Review Board Statement
Informed Consent Statement
Data Availability Statement
Conflicts of Interest
References
- Liu, H.; Wang, Y.; Lewis, F.L. Robust Distributed Formation Controller Design for a Group of Unmanned Underwater Vehicles. IEEE Trans. Syst. Man, Cybern. Syst. 2019, 51, 1215–1223. [Google Scholar] [CrossRef]
- Li, Z.; Wang, Y.; Yang, W.; Ji, Y. Development Status and Key Navigation Technology Analysis of Autonomous Underwater Vehicles. In Proceedings of the 3rd International Conference on Unmanned Systems (ICUS), Harbin, China, 27–28 November 2020; pp. 1130–1133. [Google Scholar]
- Li, J.; Yuan, K.; Wang, H.; Da, X. Multi-AUV Fixed-point and Positioning Control Based on Virtual Leader. In Proceedings of the 16th IEEE International Conference on Mechatronics and Automation (IEEE ICMA), Tianjin, China, 4–7 August 2019; pp. 560–565. [Google Scholar]
- Yoshida, H.; Hyakudome, T.; Ishibashi, S.; Sawa, T.; Nakano, Y.; Ochi, H.; Watanabe, Y.; Nakatani, T.; Ota, Y.; Sugesawa, M.; et al. An Autonomous Underwater Vehicle with a Canard Rudder for Underwater Minerals Exploration. In Proceedings of the 10th IEEE International Conference on Mechatronics and Automation (ICMA), Takamatsu, Japan, 4–7 August 2013; pp. 1571–1576. [Google Scholar]
- Liang, X.; Qu, X.; Wang, N.; Zhang, R.; Li, Y. Three-Dimensional Trajectory Tracking of an Underactuated AUV Based on Fuzzy Dynamic Surface Control. IET Intell. Transp. Syst. 2020, 14, 364–370. [Google Scholar] [CrossRef]
- Yan, Z.; Yue, L.; Zhou, J.; Pan, X.; Zhang, C. Formation Coordination Control of Leaderless Multi-AUV System with Double Independent Communication Topology and Nonconvex Control Input Constraints. J. Mar. Sci. Eng. 2023, 11, 107. [Google Scholar] [CrossRef]
- Li, J.; Zhang, H.; Chen, T.; Wang, J. AUV Formation Coordination Control Based on Transformed Topology under Time-Varying Delay and Communication Interruption. J. Mar. Sci. Eng. 2022, 10, 950. [Google Scholar] [CrossRef]
- Yang, Y.; Xiao, Y.; Li, T. A Survey of Autonomous Underwater Vehicle Formation: Performance, Formation Control, and Communication Capability. IEEE Commun. Surv. Tutorials 2021, 23, 815–841. [Google Scholar] [CrossRef]
- Zhao, J.; Zhao, C.; Zhou, F. Cooperative Target Location Method Based on Master-slave Autonomous Underwater Vehicles Mobile Network. J. Electron. Inf. Technol. 2022, 44, 1919–1926. [Google Scholar]
- Pan, X.; Yan, Z.; Jia, H.; Zhou, J.; Yue, L. Fault-Tolerant Formation Control for Multiple Stochastic AUV System under Markovian Switching Topologies. J. Mar. Sci. Eng. 2023, 11, 159. [Google Scholar] [CrossRef]
- Yan, Z.; Xu, D.; Chen, T.; Zhang, W.; Liu, Y. Leader-Follower Formation Control of UUVs with Model Uncertainties, Current Disturbances, and Unstable Communication. Sensors 2018, 18, 662. [Google Scholar] [CrossRef]
- Ma, S.; Wang, Y.; Zou, N.; Liang, G. A Broadband Beamformer Suitable for UUV to Detect the Tones Radiated from Marine Vessels. Sensors 2018, 18, 2928. [Google Scholar] [CrossRef]
- Kim, J.T.; Kang, H.J.; Kim, M.K.; Hong, S.M.; Li, J.H.; Kim, M.J. Underwater Floor Pattern Matching with an Unmanned Underwater Vehicle. In Proceedings of the 12th International Conference on Ubiquitous Robots and Ambient Intelligence (URAI), Goyang, Republic of Korea, 28–30 October 2015; pp. 118–120. [Google Scholar]
- Burlutskiy, N.; Touahmi, Y.; Lee, B.-H. Power Efficient Formation Configuration for Centralized Leader-Follower AUVs Control. J. Mar. Sci. Technol. 2012, 17, 315–329. [Google Scholar] [CrossRef]
- Zhen, Q.; Wan, L.; Li, Y.; Jiang, D. Formation Control of a Multi-AUVs System Based on Virtual Structure and Artificial Potential Field on SE(3). Ocean Eng. 2022, 253, 111148. [Google Scholar] [CrossRef]
- Wei, H.; Shen, C.; Shi, Y. Distributed Lyapunov-Based Model Predictive Formation Tracking Control for Autonomous Underwater Vehicles Subject to Disturbances. IEEE Trans. Syst. Man Cybern. Syst. 2021, 51, 5198–5208. [Google Scholar] [CrossRef]
- Sun, X.; Peng, Y.; Yin, Q.; Liu, X. Multi-Agent Formation Control Based on Artificial Force with Exponential Form. In Proceedings of the 11th World Congress on Intelligent Control and Automation, Shenyang, China, 29 June–4 July 2014; pp. 3128–3133. [Google Scholar]
- Zhang, J.; Wang, W.; Zhang, Z.; Luo, K.; Liu, J. Cooperative Control of UAV Formation Based on Distributed Consensus. In Proceedings of the IEEE 15th International Conference on Control and Automation (ICCA), Edinburgh, UK, 16–19 July 2019; pp. 788–793. [Google Scholar]
- Yan, Z.; Zhang, C.; Tian, W.; Zhang, M. Formation Trajectory Tracking Control of Discrete-Time Multi-AUV in a Weak Communication Environment. Ocean Eng. 2022, 245, 110495. [Google Scholar] [CrossRef]
- Li, J.; Zhang, X.; Zhang, H.; Du, X. Trajectory Tracking Control of Multi-AUVs Formation Based on Virtual Leader. In Proceedings of the 16th IEEE International Conference on Mechatronics and Automation (IEEE ICMA), Tianjin, China, 4–7 August 2019; pp. 291–296. [Google Scholar]
- Noguchi, Y.; Maki, T. Path planning method based on artificial potential field and reinforcement learning for intervention AUVs. In Proceedings of the 2019 IEEE Underwater Technology (UT), Kaohsiung, Taiwan, 16–19 April 2019; pp. 1–6. [Google Scholar]
- Bechlioulis, C.P.; Giagkas, F.; Karras, G.C.; Kyriakopoulos, K.J. Robust Formation Control for Multiple Underwater Vehicles. Front. Robot. 2019, 6, 90. [Google Scholar] [CrossRef]
- Fuady, S.; Ibrahim, A.R.; Bambang, R.T. Distributed Formation Control of Multi-Robot System with Obstacle Avoidance. In Proceedings of the IEEE International Conference on Robotics, Biomimetics, and Intelligent Computational Systems (ROBIONETICS), Jogjakarta, Indonesia, 25–27 November 2013; pp. 94–98. [Google Scholar]
- Zhang, S.; Yan, W.; Xie, G. Consensus-based leader-following formation control for a group of semi-biomimetic robotic fishes. Int. J. Adv. Robot. Syst. 2017, 14, 1729881417720784. [Google Scholar] [CrossRef]
- Xing, W.; Shi, P.; Agarwal, R.K.; Li, L. Robust H∞ pinning synchronization for complex networks with event-triggered communication scheme. IEEE Trans. Circuits Syst. I 2020, 67, 5233–5245. [Google Scholar] [CrossRef]
- Zhao, Y.; Xing, W.; Yuan, H.; Shi, P. A collaborative control framework with multi-leaders for AUVs based on unscented particle filter. J. Frankl. Inst. 2016, 353, 657–669. [Google Scholar] [CrossRef]
- Yan, Z.; Zhang, C.; Tian, W.; Liu, Y. Research on Multi-AUV Cooperative Obstacle Avoidance Method During Formation Trajectory Tracking. In Proceedings of the 33rd Chinese Control and Decision Conference (CCDC), Kunming, China, 22–24 May 2022; pp. 3187–3192. [Google Scholar]
- Meng, C.; Zhang, W.; Du, X. Finite-Time Extended State Observer Based Collision-Free Leaderless Formation Control of Multiple AUVs via Event-Triggered Control. Ocean Eng. 2023, 268, 113605. [Google Scholar] [CrossRef]
- Yu, H.; Ning, L. Coordinated Obstacle Avoidance of Multi-AUV Based on Improved Artificial Potential Field Method and Consistency Protocol. J. Mar. Sci. Eng. 2023, 11, 1157. [Google Scholar] [CrossRef]
- Immas, A.; Alam, M.-R. Guidance, Navigation, and Control of AUVs for Permanent Underwater Optical Networks. IEEE J. Ocean. Eng. 2023, 48, 43–58. [Google Scholar] [CrossRef]
- Wang, L.; Zhu, D.; Pang, W.; Luo, C. A Novel Obstacle Avoidance Consensus Control for Multi-AUV Formation System. IEEE/CAA J. Autom. Sin. 2023, 10, 1304–1318. [Google Scholar] [CrossRef]
- Zhang, W.; Wei, S.; Zeng, J.; Wang, N. Multi-UUV Path Planning Based on Improved Artificial Potential Field Method. Int. J. Robot. Autom. 2021, 36, 231–239. [Google Scholar]
- Liu, Y.; Ding, P.; Wang, T. Autonomous Obstacle Avoidance Control for Multi-UUVs Based on Multi-beam Sonars. In Proceedings of the Global OCEANS Singapore—US Gulf Coast Conference, Biloxi, MS, USA, 5–30 October 2020. [Google Scholar]















| Number | x (m) | y (m) |
|---|---|---|
| 400 | 50 | |
| 550 | 150 | |
| 500 | 50 | |
| O | 300 | 300 |
| Point | O | |||||||
|---|---|---|---|---|---|---|---|---|
| Position | ||||||||
| x (m) | 300 | 352 | 300 | 248 | 313 | 300 | 287 | |
| y (m) | 300 | 330 | 240 | 330 | 307.5 | 285 | 307.5 | |
| UUV Number | x (m) | y (m) | (∘) |
|---|---|---|---|
| UUV | 400 | 50 | 45 |
| UUV | 550 | 150 | 90 |
| UUV | 500 | 50 | 135 |
| Point | |||||||
|---|---|---|---|---|---|---|---|
| Position | |||||||
| x (m) | 240.0 | 330.9 | 329.1 | 285.0 | 307.7 | 307.3 | |
| y (m) | 301.0 | 351.4 | 247.5 | 300.3 | 312.9 | 286.9 | |
Disclaimer/Publisher’s Note: The statements, opinions and data contained in all publications are solely those of the individual author(s) and contributor(s) and not of MDPI and/or the editor(s). MDPI and/or the editor(s) disclaim responsibility for any injury to people or property resulting from any ideas, methods, instructions or products referred to in the content. |
© 2023 by the authors. Licensee MDPI, Basel, Switzerland. This article is an open access article distributed under the terms and conditions of the Creative Commons Attribution (CC BY) license (https://creativecommons.org/licenses/by/4.0/).
Share and Cite
Yin, L.; Yan, Z.; Hou, Y. Formation Transformation Method for UUV Group to Approach a Static Target. J. Mar. Sci. Eng. 2023, 11, 2030. https://doi.org/10.3390/jmse11102030
Yin L, Yan Z, Hou Y. Formation Transformation Method for UUV Group to Approach a Static Target. Journal of Marine Science and Engineering. 2023; 11(10):2030. https://doi.org/10.3390/jmse11102030
Chicago/Turabian StyleYin, Liangang, Zheping Yan, and Yunzhi Hou. 2023. "Formation Transformation Method for UUV Group to Approach a Static Target" Journal of Marine Science and Engineering 11, no. 10: 2030. https://doi.org/10.3390/jmse11102030
APA StyleYin, L., Yan, Z., & Hou, Y. (2023). Formation Transformation Method for UUV Group to Approach a Static Target. Journal of Marine Science and Engineering, 11(10), 2030. https://doi.org/10.3390/jmse11102030
