You are currently viewing a new version of our website. To view the old version click .
Agriculture
  • Article
  • Open Access

10 December 2025

Research on Active Disturbance Rejection-Based Control Technology for Agricultural Permanent Magnet Synchronous Motors

,
,
,
,
and
1
School of Transportation and Vehicle Engineering, Shandong University of Technology, Zibo 255100, China
2
Shandong Provincial Key Laboratory of Integrated Design and Intelligentization for New Energy Vehicles, Zibo 255100, China
*
Author to whom correspondence should be addressed.
This article belongs to the Section Agricultural Technology

Abstract

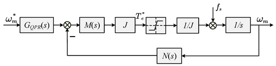
The electrification of agricultural machinery has become an important trend. Active Disturbance Rejection Control (ADRC) shows considerable potential in agricultural motor control due to its low model dependence and strong anti-disturbance capability. However, the Extended State Observer (ESO) of traditional ADRC is limited by bandwidth, making it difficult to effectively capture high-frequency impact disturbances such as torque fluctuations during straw cutting, which results in reduced efficiency and increased energy consumption. To address this, this paper proposes an improved ADRC scheme: designing a Super-Twisting Extended State Observer (STESO) by integrating Super-Twisting technology to enhance disturbance observation capability; incorporating a Quasi-Proportional Resonant (QPR) controller into the Error Feedback Control Law (SEF) to compensate for the shortcoming of disturbance suppression beyond ESO bandwidth; and proposing a decoupling strategy to reduce the difficulty of parameter tuning and optimize control performance. Simulations and experiments on the Permanent Magnet Synchronous Motor (PMSM) of an automatic seeder demonstrate that the proposed method can effectively suppress various disturbances, reduce speed regulation errors, and not deteriorate dynamic responses.

1. Introduction

Global warming and air pollution are severe challenges in sustainable development [1]. Agriculture and forestry, as major sources of greenhouse gas emissions, account for a significant proportion [2]. Therefore, the use of electric agricultural machinery with the characteristics of environmental friendliness, zero pollution, and high efficiency has become an important development trend in the agricultural machinery field [3,4]. As the core power component of electric agricultural machinery, the permanent magnet synchronous motor (PMSM) has speed regulation performance directly related to the operating efficiency, energy consumption, and operating accuracy of agricultural machinery [5]. However, in agricultural operating environments, the motor often faces disturbances such as sudden changes in straw feed rate (e.g., combine harvesters) and fluctuations in soil resistance (e.g., seeders), which seriously affects the quality and working efficiency of agricultural machinery [6]. Although the existing PID controller has a simple structure and is easy to implement, it suffers from problems such as weak anti-disturbance capability and difficult parameter coupling tuning under complex operating conditions.
To better suppress various disturbances during motor operation, Professor Han [7] proposed Active Disturbance Rejection Control (ADRC) in 1998. It not only retains the core advantage of PID control—independence from an accurate model—but also exhibits superior control performance compared to PID with its precise signal tracking capability and better anti-disturbance performance, quickly attracting attention from researchers in fields such as industry, agriculture, and medical care [8,9,10]. Precup et al. combined ADRC with a sliding mode control algorithm and performed global optimization through a meta-heuristic slime mold optimization algorithm, improving the overall performance of the control system while ensuring system stability [11]. Addressing the problem of easy noise introduction in traditional ADRC systems, Hou et al. [12] proposed an enhanced nonlinear Extended State Observer (ESO) to directly observe motor speed. This method effectively improves the observer’s observation and anti-disturbance performance without sacrificing the robustness of the control system [12]. Zhang et al. proposed a second-order ADRC method based on a Luenberger observer, aiming to solve the problem of large fluctuations in observed speed in sensorless control, and finally verified the method’s effectiveness through experiments [13].
The ESO used in the above algorithms can only observe disturbances within the bandwidth. Although increasing the bandwidth can effectively improve the observer’s detection capability, an excessively large bandwidth will severely affect the stability of the control system, making the method of improving observation accuracy by increasing bandwidth have significant limitations. Jiang et al. proved that the upper limit of the ESO bandwidth is twice the sampling frequency, and excessive bandwidth will introduce additional high-frequency noise [14].
To address the limitations of ESO caused by bandwidth constraints, scholars have developed composite control structures combining ADRC with other controllers. Tian et al. optimized the ESO using an adaptive resonant controller to suppress high-frequency disturbances beyond the ESO bandwidth and attenuate current fluctuations in the control loop [15]. Cao et al. proposed a Cascaded Extended State Observer (CESO) based on the Quasi-Generalized Integrator (QGI), which incorporates a QGI module into the original ESO to attenuate periodic and aperiodic disturbances in the current loop [16]. In addition, some scholars have proposed designs that introduce Repetitive Controllers (RC) and Resonant Controllers (RC) into the State Error Feedback (SEF) control law. Tian et al. developed an ADRC controller design based on discrete-time repetitive control, where the SEF is connected in parallel with a repetitive controller to suppress high-frequency disturbances beyond the ESO bandwidth [17]. Chen et al. proposed a Proportional Resonant ADRC (PR-ADRC) method, which integrates a proportional resonant term into the ESO, with the resonant frequency configurable to the frequency of the current harmonics to be suppressed [18]. Although the above composite methods effectively solve the limitation of limited bandwidth caused by ESO and enhance the anti-disturbance performance of ADRC against high-frequency disturbances, they also reduce the tracking performance of reference commands to a certain extent. Moreover, in practical applications, a trade-off must be made between the two performances, which complicates controller parameter adjustment and makes it difficult to achieve current control with both high dynamic response and high steady-state accuracy.
To further improve the observation capability of the traditional ESO, and address the problems of traditional ADRC—limited observation capability due to bandwidth constraints, and coupling between tracking performance and anti-disturbance performance that prevents both from being achieved simultaneously—this paper proposes a Quasi-Proportional Resonant Active Disturbance Rejection Controller (QPR-ADRC) based on a Decoupled Super-Twisting Extended State Observer (DSTESO). First, the mathematical models of the PMSM and the quasi-proportional resonant (QPR) controller are established, followed by robustness analysis. Second, the QPR-ADRC controller is designed based on the DSTESO, with analyses conducted on its decoupling performance, anti-disturbance performance, and stability. Finally, the effectiveness of the proposed control algorithm is verified through simulations and experiments. Research results show that the algorithm can accurately capture wide-frequency-domain disturbances of agricultural machinery, achieve simultaneous suppression of low-frequency periodic disturbances and high-frequency impact disturbances of the system, and effectively reduce the difficulty of parameter tuning. The overall flow chart of this paper is shown in Figure 1. Its main innovative contributions are as follows:
Figure 1. Overall Flow Chart.
(1)
To address the problems of obvious chattering, slow response to high-frequency disturbances, and insufficient robustness of the traditional ESO, an integrated observation scheme of the Super-Twisting Extended State Observer (STESO) is innovatively proposed. Through anti-disturbance and stability analyses, it is verified that the scheme exhibits excellent anti-disturbance performance across all disturbance frequency bands, optimizing system performance in three aspects: chattering suppression, disturbance response speed improvement, and robustness enhancement.
(2)
To address the issue that traditional ADRC cannot observe disturbances outside the bandwidth, a QPR controller is introduced into the SEF. Through the structural innovation of the ADRC-QPR configuration, harmonics can be specifically suppressed, enabling the controller to accurately capture speed deviations, enhance the stability and precision of the tracking response, render the current waveform more sinusoidal, and reduce torque ripples at the source.
(3)
To resolve the coupling between tracking performance and anti-disturbance performance in traditional ADRC, a decoupling design by eliminating the error correction term in the ESO is innovatively proposed, realizing complete independence of the two sets of control parameters. The independent transfer functions are derived and verified through simulations, breaking the bottleneck of parameter mutual restraint, simplifying the tuning logic, and quantitatively verifying its effectiveness. This provides a new scheme with both theoretical and engineering value for the control of agricultural motors under complex operating conditions.

2. Materials and Methods

2.1. PMSM Mathematical Model

In the two-phase rotating coordinate system, the torque calculation formula of PMSM can be expressed as:
T e = 3 2 n p i q ψ f + L d L q i q
where T e is the torque, n p is the number of motor pole pairs; i d and i q are the dq-axis currents,, respectively; L d and L q are the dq-axis inductances respectively; and ψ f is the permanent magnet flux linkage.
The mechanical motion equation of PMSM can be expressed as:
J d ω m d t = T e T L B ω m
where ω m is the rotor mechanical angular velocity; T L is the load torque; J is the moment of inertia; and B is the friction damping coefficient.
According to Equation (2), defining the speed tracking error σ .
σ = ω m ω m *
where ω m * is the target motor speed.
Differentiating Equation (3) yields the derivative of σ :
σ ˙ = B J σ + K t J i q * B J ω r K t J i q * K t J i q T L J = a σ + b u + d t
where K t is the torque coefficient; i q * is the given q-axis current; i q is the actual q-axis current; and d t is the total system disturbance.

2.2. Quasi-Proportional Resonant (QPR) Control

Proportional Resonant Control (PRC) is based on the internal model principle. It achieves zero-static-error tracking of signals at a specific frequency by introducing infinite gain at that frequency, thereby completely eliminating steady-state errors. Its transfer function G P R s is as follows:
G P R s = k p + 2 k r s s 2 + ω 2
where k p is the proportional coefficient, k r is the integral coefficient, and ω is the resonant frequency.
Its Bode plot is shown by the red curve in Figure 2. It can be observed from the plot that the PR controller exhibits infinite gain and zero phase lag at the resonant frequency, which ensures the static error-free tracking capability for signals at the specific frequency. While outside the resonant frequency band, the gain strictly converges to zero, and this magnitude–frequency characteristic enables the complete suppression of harmonic components.
Figure 2. Bode plots of PR and QPR controllers.
However, in practical applications, due to its infinite gain at the resonant frequency, it is difficult to implement in digital control systems. Furthermore, the narrow bandwidth characteristic of the PR controller means that when applied to motor drive systems, frequency deviations caused by motor speed fluctuations will make the system operate outside the bandwidth. This not only significantly reduces the phase margin but also leads to a noticeable increase in current harmonic content, ultimately resulting in dynamic problems such as increased torque ripple and deteriorated speed regulation performance. Thus, the Quasi-Proportional Resonant (QPR) control was later proposed, whose transfer function G Q P R s is given as follows:
G Q P R s = k p + 2 k r ω r s s 2 + 2 ω r s + ω 2
where ω r is the bandwidth cutoff frequency.
By introducing ω r , the QPR controller can maintain effective gain for frequency signals within a certain range near the resonant frequency. This improvement ensures that the QPR controller still maintains good control performance when the motor’s fundamental frequency fluctuates slightly due to external disturbances.
As shown by the green curve in Figure 2, under the same fundamental frequency condition, the QPR controller exhibits a wider gain bandwidth compared with the PR controller. Furthermore, by introducing ω r , it not only solves the problem of infinite gain but also maintains a high amplitude at the resonant frequency, while retaining the excellent tracking performance and filtering performance of the PR controller.
Based on the transfer function shown in Equation (6), the structural block diagram can be obtained as illustrated in Figure 3.
Figure 3. Block diagram of QPR controller structure.

2.3. Parameter Optimization Scheme and Robustness Analysis

Equation (6) indicates that the control performance of the QPR controller is jointly determined by three key parameters, k p ,   k r and ω r , their reasonable configuration directly affects the control effect. For this reason, this section will systematically analyze the influence law of changes in each parameter on the controller’s control performance, and then establish an optimal parameter design scheme.
Figure 4 shows the variation law of the Bode diagram of the QPR controller with the change in parameter k p . Through comparative analysis, it can be found that the gradual increase of k p can significantly improve the system response speed, but it will lead to the amplification of the amplitude gain in the full frequency band beyond the bandwidth. Once the gain is greater than 1, it will directly amplify the amplitude of each harmonic, greatly weaken the system robustness, and may even cause system instability in severe cases. Therefore, to meet the system robustness requirements, the maximum value of k p should be selected according to the system response speed demand on the premise that the gain amplitude is less than 1.
Figure 4. Bode diagram of the QPR controller under varying k p conditions.
Figure 5 shows the variation law of the Bode diagram of the QPR controller with the change in parameter k r . It can be seen from the figure that the increase of k r can expand the gain and bandwidth of the resonant frequency band, and improve the tracking speed and response sensitivity of the system to the target resonant frequency, but its robustness has a clear upper limit: when the parameter exceeds the critical value, the excessively wide resonant bandwidth will lead to a decrease in frequency selectivity. It not only fails to accurately suppress the target harmonics, but also amplifies high-frequency noise, undermines system stability, and may even cause oscillations. Therefore, the selection of k r should consider the actual fundamental frequency range of the power grid (taking PMSM as an example, the power grid frequency ranges from 60 Hz to 200 Hz), so as to improve the tracking ability of the target power grid frequency and attenuate harmonics outside the target frequency as much as possible.
Figure 5. Bode diagram of the QPR controller under varying k r conditions.
Figure 6 shows the variation law of the Bode diagram of the QPR controller with the change in parameter ω r . It can be seen from the figure that similar to k r , the increase of ω r does not affect the controller’s tracking ability and response speed to the target frequency, but is only related to frequencies other than the target frequency.
Figure 6. Bode diagram of the QPR controller under varying ω r conditions.
In summary, to meet the system robustness requirements, the selection of the three parameters ( k p ,   k r and ω r ) should be coordinated. On the premise of satisfying the system’s tracking ability and response speed to the target frequency, harmonics other than the target frequency should be attenuated as much as possible.

2.4. QPR-LADRC Controller Based on DSTESO

2.4.1. DSTESO Design

To enhance the disturbance rejection capability of the Active Disturbance Rejection Controller (ADRC) for the PMSM speed loop, this paper directly modifies the controller structure to achieve complete decoupling of tracking performance and disturbance rejection performance. Furthermore, super-twisting control technology is utilized to introduce fractional powers into the traditional observer-this improves the system’s convergence speed, enhances the controller’s ability to track high-frequency disturbances, and thereby broadens the controller bandwidth, addressing the issue of insufficient bandwidth in existing observers.
Let:
e 1 = ω m ω ^ m
The design scheme of the proposed DSTESO is shown in Equation (8):
ω ^ ˙ m = 1 J T e * + d t d ˙ t = β 1 ψ ˙ 1 e 1 + β 2 ψ 2 ( e 1 )
where ω ^ ˙ m is the observed speed; d t is the observed total disturbance; e 1 is the speed observation error; the expressions of gain β 1 , β 2 and nonlinear terms ψ 1 ( e 1 ) , ψ 2 ( e 1 ) are as follows:
β 1 = 2 ω 0 β 2 = ω 0 2
where ω 0 denotes the bandwidth of the DSTESO.
ψ 1 e 1 = e 1 1 2 · s i g n ( e 1 ) ψ 2 e 1 = 1 2 s i g n ( e 1 )
The control block diagram of the proposed DSTESO is presented in Figure 7.
Figure 7. Block diagram of DSTESO.
Compared with the traditional ESO, as shown in Equation (11), it can be seen that
ω ^ ˙ m = 1 J T e * + d t + β 1 ( ω m ω ^ m ) d ˙ t = β 2 ( ω m ω ^ m )
The improved scheme proposed in this chapter mainly includes the following two points:
(1)
To solve the problem of coupling between tracking performance and disturbance rejection performance, the error correction term ω m * ω ^ m in the speed observation part is eliminated; meanwhile, the derivative term of the speed observation error is added to the disturbance observation part, Achieve the separation of the error compensation term and the speed observation term.
(2)
To address the problem that the traditional ESO cannot accurately observe high-frequency AC disturbances due to bandwidth limitations, super-twisting technology is adopted, and nonlinear terms ψ 1 ( e 1 ) and ψ 2 ( e 1 ) are introduced. This integrates the dual advantages of the linear form (simple parameter tuning and clear theoretical analysis) and the nonlinear form (fast response speed), thereby further enhancing the anti-disturbance capability of the motor drive system.

2.4.2. Improved SEF Design

Compared with the traditional SEF, as shown in Equation (12):
T e * k = J [ ω m * ω ^ ˙ m d t ]
To further enhance the anti-disturbance capability of the speed loop, this paper introduces a QPR controller into the traditional SEF control. Leveraging its high-gain characteristic at the cut-off frequency, the QPR controller accurately suppresses high-speed disturbances outside the observer bandwidth. At this point, the improved control law can be expressed as:
T e * k = J [ G Q P R s ω m * ω ^ ˙ m d t ]
where ω m * is the rotor target speed.
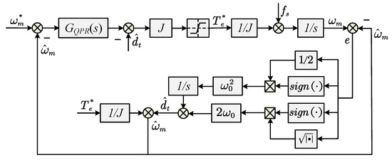
In summary, the complete structural block diagram of the improved QPR-LADRC speed loop control can be drawn, as illustrated in Figure 8.
Figure 8. QPR-LADRC controller model based on super-twisting.

2.4.3. Decoupling Performance Analysis

This section analyzes from the frequency domain perspective and derives the closed-loop transfer functions of the tracking performance and disturbance rejection performance of DSTESO to verify the effectiveness of the decoupling scheme proposed in this chapter. For the convenience of analysis, Equation (8) can be restored as:
ω ^ ˙ m = 1 J T e * + d t d ˙ t = β 1 ω ˙ m ω ^ ˙ m + β 2 ( ω m ω ^ m )
By performing Laplace transform on the above equation, the relationships between the estimated rotor angular velocity ω ^ m , the estimated total disturbance d t , ω m and f s can be obtained as:
ω ^ m = s / J s 2 + β 1 s + β 2 T e * + β 1 s + β 2 s 2 + β 1 s + β 2 ω m d t = ( β 1 s + β 2 ) / J s 2 + β 1 s + β 2 T e * + β 1 s + β 2 s s 2 + β 1 s + β 2 ω m
Substituting Equation (12) into the improved SEF (Equation (13)), we can obtain:
T e * = J M s [ G Q P R s ω m * N ( s ) ]
where
M s = s 2 + β 1 s + β 2 s 2 + G Q P R s s N s = β 1 s 2 + G Q P R s β 1 + β 2 s + G Q P R s β 2 s 2 + β 1 s + β 2
The closed-loop transfer function of the control system G s s is derived as shown in Equation (18):
G s s = ω m ω m * + ω m f s = G Q P R s s 2 + G Q P R s s + s s 2 + β 1 s + β 2
At this point, the equivalent control block diagram of the decoupled speed-loop ADRC can be drawn as shown in Figure 9.
Figure 9. Block diagram of the equivalent control of the speed loop LADRC.
It can be seen from Equation (18) that the tracking performance of the system is only related to G Q P R s in the feedback control law, while the disturbance rejection performance of the system is only related to gain β 1 and β 2 in the state observer. Therefore, by optimizing the structure of the ESO, the control parameters and observer parameters can be adjusted independently—they do not interfere with each other and assume their respective responsibilities. This achieves complete decoupling of the tracking performance and anti-disturbance performance of the speed loop controller. Meanwhile, the simplified controller structure ensures that each part operates independently without mutual interference, simplifying the parameter tuning process to a certain extent.

2.4.4. Anti-Disturbance Analysis

PMSM used in agricultural applications are often subject to various disturbances during operation, such as uneven terrain (3–500 Hz), straw cutting and feeding (10–200 Hz), motor flux linkage harmonics ( 6 n ω e ) , inverter nonlinearities ( 6 n ω e ) , and current sampling errors ( ω e ,   2 ω e ) . These disturbances seriously affect the working efficiency and service life of agricultural machinery. Therefore, this section verifies the disturbance suppression performance of the proposed algorithm against various disturbance frequencies encountered in agricultural machinery operation, where ω e denotes the electrical angular velocity.
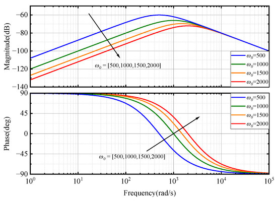
From Equation (18), the anti-disturbance performance transfer function G d ( s ) of the proposed QPR-ADRC controller can be expressed as:
G d s = s s 2 + 2 ω 0 s + ω 0 2
Draw the Bode diagrams of G d s under different ω 0 values (500, 1000, 1500, 2000), as shown in Figure 10:
Figure 10. Bode Diagram of Anti-disturbance Performance for QPR-ADRC.
It can be seen from the Bode diagram that: in the full frequency domain of 0 to 10,000 Hz, the amplitude-frequency characteristic of the transfer function exhibits continuous negative attenuation. Disturbances are weakened in amplitude after passing through this link, laying a good foundation for overall disturbance suppression.
In the low-frequency band (corresponding to terrain and straw disturbances), as ω 0 increases, the amplitude-frequency attenuation gradually deepens, and the low-frequency disturbance suppression efficiency is continuously enhanced. Although the amplitude-frequency response rebounds near the characteristic frequency of ω 0 and the anti-disturbance capability slightly decreases, disturbance attenuation is still maintained without amplification.
In the high-frequency band (corresponding to motor harmonics, inverter nonlinearities, and other disturbances), the amplitude-frequency curves of different ω 0 values converge with a consistent attenuation trend. However, changes in ω 0 have little impact on high-frequency anti-disturbance performance, and all can stably weaken high-frequency disturbances.

2.4.5. Stability Analysis

Considering the periodic and aperiodic disturbances existing in the PMSM speed regulation system, the mechanical motion Equation (2) can be rewritten as:
ω ˙ m = 1 J T e * + f s
where f s is the total disturbance of the speed loop.
Let:
e 1 = ω m ω ^ m e 2 = f s d t e = [ e 1 ,   e 2 ] T
By combining Equations (14) and (21), the observation error state equation can be obtained as:
e ˙ = A e + B f ˙ s
where A = 0 1 β 2 β 1 , B = 0 1 .
Similarly, the observation error state equation of DSTESO can be derived as:
e ˙ 1 = e 2 e ˙ 2 = β 1 ψ ˙ 1 e 1 β 2 ψ 2 e 1 + f ˙ s
According to Lyapunov’s second method, if there exists a linear time-invariant (LTI) system
x ˙ = A x
To prove the stability of the system, there must exist a symmetric positive definite matrix P such that A T P + P A is negative definite.
Therefore, to verify the stability of the proposed DSTESO, a Lyapunov function is constructed by referring to the proof method in [19], as follows:
V = ξ T P ξ
where P is a symmetric positive definite matrix, and ξ T = [ ψ 1 e 1 ,   e 2 ] .
According to the theoretical analysis in [20], if the constant θ 0 , there exists a suitable matrix such that:
ξ ,   Λ = [ ξ Λ ] T [ R S T S θ ] [ ξ Λ ] 0
Additionally, there is a theorem stating: Suppose there exist a positive definite symmetric matrix P and a positive constant κ that satisfy the matrix inequality:
A T P + P A + κ P + R P R + S T B T P + S θ 0
then the observation error system can converge within a finite time.
Therefore, taking the derivative of ξ , we obtain:
ξ ˙ = X e 1 e 2 β 2 ψ e 1 β 2 e 2 + f ˙ s / X e 1 = X e 1 [ A ξ + B Λ ]
where X e 1 = 1 2 e 1 1 2 ,   Λ = f ˙ s / X e 1 .
From Equations (27) and (28), it can be derived that:
V ˙ = X e 1 ξ T A T P + P A ξ + Λ B T P ξ + ξ T P B Λ X e 1 ξ Λ T A T P + P A P B B T P 0 ξ Λ + Δ ξ ,   Λ X e 1 ξ Λ T κ P 0 0 0 ξ Λ = 1 2 e 1 1 2 κ V
From Equation (25), the following can be obtained:
λ m i n P ξ 2 2 ξ T P ξ λ m a x P ξ 2 2
where λ m i n P and λ m a x P are the minimum and maximum eigenvalues of matrix P , respectively; ξ 2 2 is the square of the Euclidean norm of matrix ξ , denoted as:
ξ 2 2 = e 1 + 2 e 1 3 2 + e 1 2 + e 2 2
Based on Equation (31), the following inequality holds:
e 1 1 2 V 1 2 λ m i n P
Thus, Equation (29) can be rewritten as:
V ˙ κ λ m i n P 2 V 1 2 κ V
To simplify the proof process while ensuring the positive definiteness of the solution is easy to verify, matrix P is usually chosen as the identity matrix I , and the positive constant κ can be set to 1; in this case, Equation (27) can be rewritten as
V ˙ ( 1 2 V 1 2 + V )
Based on the finite-time stability criterion mentioned in [21], it can be proven that the error system (Equation (23)) can stabilize within a finite time.

3. Results and Discussion

3.1. Simulation Analysis

Against the backdrop of advancing agricultural modernization and green agriculture, prominent drawbacks of traditional seeding—such as low efficiency, poor precision, and high energy consumption—have emerged. In contrast, automatic seeders, leveraging their advantages of high efficiency, precision, and energy conservation, have become key equipment to ensure crop yields and align with sustainable agriculture. Therefore, this paper takes the PMSM used in agricultural automatic seeding machines as an example (with motor parameters shown in Table 1) to verify the control performance of the decoupled QPR-LADRC speed loop design scheme based on super-twisting technology proposed in this chapter. A Simulink simulation model is built. Based on this model, simulation verification is conducted for the decoupling performance of the controller, as well as the disturbance rejection performance and tracking performance of DSTESO, so as to prove the effectiveness of the strategy proposed in this chapter.
Table 1. Motor Parameters.

3.1.1. Verification of Decoupling Characteristics

To verify the decoupling performance of the proposed decoupled control algorithm, Figure 8 and Figure 9, respectively, show the simulation results of the output speed when the reference speed steps from 400 r/min to 600 r/min, under the control of the traditional QPR-LADRC and the proposed decoupled QPR-LADRC, with parameter variations.
(1)
Coupling Characteristics of Traditional QPR-LADRC
By comparing Figure 11a and Figure 11b, it can be observed that under the control of traditional QPR-LADRC: when the observer parameter ω 0 = 400   p i is kept constant and the control law parameter is increased from 400 to 800, the steady-state speed fluctuation amplitude decreases from 0.243 r/min to 0.184 r/min, and the speed tracking capability of the controller is improved. However, increasing k s also weakens the controller’s disturbance rejection capability, leading to an increase in the overshoot of the output speed from 0% to 3.56%.
Figure 11. Simulation results of conventional QPR-LADRC under parameter variations. (a) k s = 400 ,   ω 0 = 400   p i . (b) k s = 800 ,   ω 0 = 400   p i . (c) k s = 800 , ω 0 = 800   p i .
By comparing Figure 11b and Figure 11c, it can be seen that when the control law parameter k s = 800 is kept constant and the observer parameter ω 0 is increased from 400π to 800π, the steady-state speed fluctuation amplitude decreases from 0.184 r/min to 0.05 r/min, and the speed tracking capability of the controller is improved. Nevertheless, increasing ω 0 also weakens the controller’s disturbance rejection capability, resulting in the overshoot of the output speed rising from 3.56% to 8.48%.
The above results indicate that the reference tracking performance and disturbance suppression performance of the traditional QPR-LADRC control method are mutually coupled. This means that when one control performance is improved by adjusting the controller parameters, the other control performance will inevitably be reduced. Therefore, in the actual parameter selection process, the advantages and disadvantages of the two control performances need to be comprehensively considered, which greatly increases the difficulty of parameter tuning.
(2)
Decoupling Characteristics of the Proposed Decoupled QPR-LADRC
By comparing Figure 12a and Figure 12b, it can be found that under the control of the proposed decoupled QPR-LADRC: when the observer parameter ω 0 = 300   p i is kept constant and the control law parameter k s is increased from 300 to 600, the settling time of the output speed decreases from 0.02 s to 0.01 s, accompanied by slight overshoot. However, the steady-state speed fluctuation amplitude remains unchanged at 0.177 r/min. This indicates that changing the control law parameter only affects the controller’s disturbance rejection capability, while the tracking performance remains unaffected.
Figure 12. Simulation results of the proposed decoupling QPR-LADRC under parameter variations. (a) k s = 300 , ω 0 = 300   p i . (b) k s = 600 , ω 0 = 300   p i . (c) k s = 300 , ω 0 = 600   p i .
By comparing Figure 12a and Figure 12c, it can be observed that when the control law parameter k s = 300 is kept constant and the observer parameter is increased from 300π to 600π, the steady-state speed fluctuation amplitude increases from 0.177 r/min to 0.45 r/min, while the settling time of the output speed remains unchanged. This shows that changing the observer parameter only affects the tracking capability, while the disturbance rejection performance remains unaffected.
Synthesizing the above two sets of simulation results, the decoupling performance of the proposed decoupled QPR-LADRC is fully verified. This means that the reference tracking performance and disturbance suppression performance can be improved simultaneously by adjusting the parameters of the control law and the observer separately, which greatly reduces the difficulty of controller parameter tuning.

3.1.2. Disturbance Rejection Performance Analysis

To verify the disturbance rejection performance of the proposed DSTESO, Figure 10 shows the simulation results of the output speed and output torque under three control methods—traditional ESO, STESO, and DSTESO—when the reference speed steps from 400 r/min to 800 r/min. It also includes the FFT spectrum diagrams of the output speed and torque waveforms under the motor’s steady state.
Figure 13a presents the simulation results of the motor’s output speed. It can be observed that, compared with traditional ESO, STESO reduces two key indicators: the settling time for the output speed to reach the steady-state speed from the step moment (from 0.029 s to 0.019 s) and the speed fluctuation amplitude after speed stabilization (from 0.42 r/min to 0.095 r/min). Additionally, the 6th and 12th harmonic components (relative to the DC component) in the steady-state speed decrease from 1% and 0.2% to 0.38% and 0.1%, respectively. Due to the introduction of the super-twisting algorithm, the disturbance rejection capability of STESO is significantly superior to that of traditional ESO. Furthermore, by comparing the simulation results of STESO and DSTESO, DSTESO achieves further enhanced disturbance rejection performance—this is because the coupling between tracking performance and disturbance rejection performance is eliminated, making the control law and observer parameters independent of each other.
Figure 13. Anti-disturbance performance of the three control methods under step speed conditions. (a) Output speed waveform and its FFT analysis. (b) Output torque waveform and its FFT analysis.
To further verify the disturbance rejection performance of DSTESO, Figure 13b shows the simulation results of the motor’s output torque under the reference speed step. By comparing traditional ESO, STESO, and DSTESO, it can be seen that when the reference speed increases suddenly, the variations T e in the motor’s output torque are 15.7 N·m, 14.2 N·m, and 12.6 N·m, respectively. Moreover, the torque ripple of the steady-state output torque (dominated by the 6th and 12th harmonic components) decreases gradually. These simulation results further confirm the superiority of the proposed LADRC controller based on the decoupled super-twisting algorithm over the traditional LADRC controller in terms of disturbance rejection capability, as well as the effectiveness of the decoupling algorithm.

3.1.3. Tracking Performance Analysis

To verify the tracking performance of DSTESO, Figure 11 and Figure 12 show the motor’s tracking of the trapezoidal reference speed and the waveforms of the motor’s output torque under three control methods: ESO, STESO, and DSTESO.
By comparing Figure 14a, Figure 14b and Figure 14c, it can be seen that all three methods can basically track the target speed. During the speed ramp-up phase, the output speed error under traditional ESO control stabilizes at 1.25 r/min. However, with the introduction of the super-twisting algorithm, the speed errors of STESO and DSTESO decrease to 1.18 r/min. After the speed stabilizes, the observed signals are smoother, and the speed fluctuations reduce from the original 0.55 rpm to 0.1 rpm and 0.05 rpm, respectively. Among them, DSTESO has the narrowest steady-state error fluctuation range and the optimal tracking performance.
Figure 14. Speed tracking performance of the three control methods under trapezoidal wave speed conditions. (a) ESO. (b) STESO. (c) DSTESO.
By comparing Figure 15a, Figure 15b and Figure 15c, it can be observed that during the torque adjustment phase, the torque-related signal under traditional ESO control fluctuates drastically, with a torque ripple of 0.55 N·m after stabilization. Thanks to the introduction of the super-twisting algorithm, the fluctuations of the torque-related signals of STESO and DSTESO are significantly suppressed, and the torque ripples decrease to 0.25 N·m and 0.05 N·m, respectively. Meanwhile, after torque stabilization, the torque curve of traditional ESO still exhibits frequent oscillations, while the torque responses of STESO and DSTESO are more stable. Among them, DSTESO has the narrowest torque fluctuation range and the best stability performance in torque tracking.
Figure 15. Torque tracking performance of the three control methods under trapezoidal wave speed. (a) ESO. (b) STESO. (c) DSTESO.
Synthesizing the simulation results of Figure 14 and Figure 15, under the trapezoidal wave speed condition, the comprehensive performance of the three control methods (ESO, STESO, and DSTESO) gradually improves. DSTESO not only achieves the optimal speed tracking accuracy but also demonstrates more significant control advantages in the stability of torque response. This fully verifies its control effectiveness under variable speed conditions and provides simulation support for the engineering application of subsequent control strategies.

3.2. Experimental Verification

3.2.1. Description of the Experimental Setup

To verify the engineering feasibility of the proposed control algorithm, in addition to theoretical derivation and simulation analysis, this paper conducts motor drive experiments. The experiments are based on the hardware platform shown in Figure 16, with a surface-mounted PMSM as the research object (parameters are listed in Table 1). This platform uses the TI TMS320F28335 chip (Texas Instruments Inc., Dallas, TX, USA) as the control core, equipped with a driver board and an RS232 communication module (FTDI Chip Ltd., Glasgow, Scotland, UK), and is suitable for verifying the speed-loop control of PMSMs in agricultural machinery and other applications. In the experiments, the algorithm is modeled in Simulink to generate code, which is downloaded to the chip via Code Composer Studio (CCS). The chip outputs switching signals to drive the motor, and the motor current information is uploaded to the upper computer through RS232 to realize real-time monitoring.
Figure 16. Hardware experimental platform.
The construction and debugging of the platform took 35 days, and a single experiment takes 2–3 min. Its advantages include convenient code generation and real-time data visualization. However, it has limitations: the chip’s computing speed is limited, it is constrained by a room temperature of 20~25 °C and continuous operation, and it is not adapted to strong electromagnetic interference environments.

3.2.2. Analysis of Steady-State Current Experimental Results

This section will verify the suppression capability of the proposed improved ADRC for steady-state current harmonics. Set the target speed to 1200 r/min and the load to 50% of the rated torque. Detect the three-phase currents of the traditional PI controller and the proposed improved ADRC during stable operation, respectively, and analyze the harmonic content of each frequency and total harmonic distortion (THD) of the three-phase currents through FFT analysis. The results are shown in Figure 14.
As can be seen from Figure 17, the current under traditional PI control exhibits obvious distortion and deviates from the standard sine curve, while the current under the improved ADRC is closer to the ideal sine curve with significantly improved smoothness and symmetry, exhibiting superior current decoupling and tracking accuracy. FFT analysis further shows that the Total Harmonic Distortion (THD) under the proposed improved ADRC decreases from 5.96 ± 0.02% of the traditional PI control to 5.01 ± 0.02%, and the amplitudes of characteristic harmonics such as the 5th and 7th orders are also reduced. This not only helps reduce motor copper loss, iron loss, and electromagnetic noise, thereby improving system efficiency and reliability, but also minimizes harmonic interference to the power grid or other equipment. Overall, the improved ADRC outperforms traditional PI control in terms of current control stability, accuracy, and quality, providing stronger guarantees for the efficient and reliable operation of the motor system in agricultural automatic seeders as well as the precision of seeding operations.
Figure 17. Results of steady-state current and harmonic content. (a) traditional PI controller. (b) the proposed improved ADRC controller.

3.2.3. Analysis of Variable Speed Experimental Results

To comprehensively verify the dynamic response performance and steady-state control accuracy of the proposed algorithm across different speed intervals, a variable speed experiment is specially designed in this section: under half-load and full-load conditions, respectively, the given motor speed starts from 600 rpm and is gradually increased to 2100 rpm in steps of 300 rpm, covering the low-to-medium and medium-to-high speed ranges to simulate the common speed regulation scenarios in agricultural machinery operation. Wherein, a damper is adopted for load simulation—half-load (0.5 times the rated torque) and full-load (1.0 time the rated torque) operating conditions are constructed by adjusting the damper parameters, and motor speed data are collected to verify the anti-disturbance performance of the proposed algorithm under different load conditions.
To clearly present the control effect of the algorithm at key speed points, four representative operating conditions (900 rpm, 1200 rpm, 1500 rpm, and 1800 rpm) are selected, and their speed waveforms are detailed in Figure 18 and Figure 19.
Figure 18. Variable Speed Experiment Diagram Under Half-Load Condition.
Figure 19. Variable Speed Experiment Diagram Under Full-Load Condition.
It can be seen from Figure 18 and Figure 19 that the proposed ADRC algorithm, within the full speed range from 900 rpm to 2100 rpm, not only achieves fast response and smooth transition during speed step processes but also closely tracks the target speed in the locally amplified waveforms of each speed stage (e.g., 900 rpm, 1200 rpm, 1500 rpm, 1800 rpm). Both the overshoot and response speed are controlled within 2.2% and 18 ms, showing rapid responsiveness. Even under full-load conditions, the average speed fluctuation range is stably within ±80 rpm (with a fluctuation range of 4%), featuring small steady-state ripple and a narrow fluctuation interval. This fully demonstrates that the algorithm possesses both fast dynamic response capability and excellent steady-state control accuracy across the full speed range, enabling stable and precise motor speed control over a wide speed interval to meet the requirements of high-performance, wide-range speed control in scenarios such as agricultural machinery.

3.2.4. Analysis of dq-Axis Currents Under Variable Speed Conditions

To systematically verify the dynamic regulation capability of the proposed algorithm for dq-axis currents, experiments are conducted in this section under the typical half-load operating condition of agricultural machinery operations. This condition not only avoids the extreme torque demand under full load but also truly replicates the current control challenges brought by frequent speed switches in agricultural machinery operations.
Figure 20 intuitively illustrates the dynamic response characteristics and steady-state tracking performance of the dq-axis currents of the permanent magnet synchronous motor (PMSM) during multi-segment speed switching under the half-load operating condition. By referring to the time scale in the zoomed-in regions of the figure, it can be clearly observed that: the q-axis current responds most promptly to speed switches, with its transient adjustment time stably controlled within 2 ms, enabling rapid matching of the torque demand required for speed steps; although the d-axis current needs to synchronously adapt to the motor’s flux linkage characteristics for regulation, its steady-state convergence time can also be confined within 10 ms, fully demonstrating the proposed algorithm’s decoupling regulation capability for the dq axes. After entering the steady-speed phase, the fluctuation amplitude of both dq-axis currents is strictly limited within 0.1 A; under medium-low speed conditions (e.g., 900 rpm), the fluctuation can even be further narrowed down to 0.05 A, exhibiting excellent steady-state current tracking accuracy and effectively suppressing torque ripple. This provides critical support for equipment stability and operational accuracy in scenarios involving frequent speed switches during agricultural machinery operations.
Figure 20. dq-Axis Current Waveform Diagram Under Variable Speed Operating Conditions.

4. Conclusions

To address the compound disturbance challenge faced by PMSM used in agricultural machinery, this paper proposes a QPR-ADRC controller design scheme based on the DSTESO. The scheme constructs the DSTESO using super-twisting second-order sliding mode technology, which not only retains the disturbance insensitivity of sliding mode control but also significantly mitigates chattering and improves disturbance observation accuracy. The proposed decoupling strategy achieves complete separation of the anti-disturbance performance and observation performance of ADRC, effectively reducing the difficulty of parameter tuning and facilitating parameter adaptation under complex field operating conditions. Meanwhile, a QPR controller is introduced into the traditional SEF link. Leveraging its extremely high gain characteristic at target harmonic frequencies, it can precisely suppress harmonic disturbances of specific frequencies, thereby reducing motor speed fluctuations. Finally, the effectiveness of the proposed scheme is verified through Simulink simulations and HIL experiments: the THD of the motor is reduced from 5.89% of the traditional scheme to 5.08%, the 5th and 7th harmonic components are significantly attenuated, and the speed ripple is stably controlled within ±20 rpm. This fully demonstrates the scheme’s advantages in disturbance suppression and speed regulation accuracy.
It should be noted that the experimental verification of this study is mainly completed in an indoor environment. The long-term operational stability of the controller under complex field conditions has not been thoroughly tested, and there is room for further improvement in the versatility of parameter adaptation. In the future, the experimental scenarios can be further expanded to systematically verify the adaptability of the scheme under actual field application conditions. Additionally, this study focuses on the design of the speed loop controller, and the suppression effect on current harmonic content has not yet reached the optimal level. Subsequently, we will further explore the integration path of this scheme with advanced algorithms such as model predictive control to enhance the precise current control capability, providing more solid technical support for the engineering application of this technical scheme.

Author Contributions

Conceptualization, X.S. and H.Y.; methodology, H.Y. and W.H.; soft-ware, Y.C. and M.L.; validation, X.S.; formal analysis, X.S.; investigation, Y.C., M.L. and X.W.; resources, H.Y. and W.H.; data curation, M.L. and X.W.; writing—original draft preparation, X.S.; writing—review and editing, X.S. and H.Y.; visualization, M.L.; supervision, H.Y. and W.H.; project administration, H.Y. All authors have read and agreed to the published version of the manuscript.

Funding

This work was funded by the National Natural Science Foundation of China (52305267), the Natural Science Foundation of Shandong Province (ZR2025MS703), and the Key Laboratory of Precision Manufacturing and Special Processing in Shandong Province (90015322019).

Institutional Review Board Statement

Not applicable.

Data Availability Statement

The raw data supporting the conclusions of this article will be made available by the authors on request.

Conflicts of Interest

The authors declare no conflicts of interest. We declare that we have no financial and personal relationships with other people or organizations that can inappropriately influence our work, there is no professional or other personal interest of any nature or kind in any product, service and/or company that could be construed as influencing the position presented in, or the review of, the manuscript entitled. All authors claim that none of the material in the paper has been published or is under consideration for publication elsewhere.

Nomenclature

The following key parameters ① and abbreviations ② are used in the manuscript:
d t Total System Disturbance
d ^ t Observed Value of Total System Disturbance
k p proportional coefficient
k r Integral Coefficient
ω m Rotor Mechanical Angular Velocity
ω ^ m Observed Value of Rotor Mechanical Angular Velocity
ω e Rotor Electrical Angular Velocity
ω m * Target Rotor Mechanical Angular Velocity
ω r Bandwidth Cutoff Frequency
ω 0 Observer Bandwidth
G P R ( s ) Proportional Resonant Control Transfer Function
G Q P R ( s ) Quasi-Proportional Resonant Control Transfer Function
G d ( s ) Anti-Disturbance Performance Transfer Function
ψ 1 ,   ψ 2 Nonlinear Terms
V Proof Function
P Positive Definite Symmetric Matrix
κ Positive Constant
PMSMPermanent Magnet Synchronous Motor
ADRCActive Disturbance Rejection Control
SEFState Error Feedback
ESOExtended State Observer
STESOSuper-Twisting Extended State Observer
DSTESODecoupled Super-Twisting Extended State Observer
PRProportional Resonant Controller
QPRQuasi-Proportional Resonant Controller
HILHardware-in-the-Loop
THDTotal Harmonic Distortion

References

  1. Xu, Z.; Li, J.; Kang, Q.; Meng, M.; Niu, M. Agricultural Vehicle Automatic Navigation Positioning and Obstacle Avoidance Technology Based on ICP. IEEE Access 2024, 12, 85940–85954. [Google Scholar] [CrossRef]
  2. Duan, J.; Cao, P.; Shu, T.; Zhou, B.; Xue, L.; Yang, L. Effects of Cellulosic Carbon Addition on Nitrogen Removal from Simulated Dry Land Drainage, and Its Environmental Effects. Agronomy 2023, 13, 3044. [Google Scholar] [CrossRef]
  3. Liu, H.; Zhang, L.; Zhao, B.; Tang, J.; Wang, F.; Wang, S. Research on Agricultural Machine Scheduling in Hilly Areas Based on Improved Non-Dominated Sorting Genetic Algorithm-III. IEEE Access 2024, 12, 32584–32596. [Google Scholar] [CrossRef]
  4. Yu, Y.; Hao, S.; Guo, S.; Tang, Z.; Chen, S. Motor Torque Distribution Strategy for Different Tillage Modes of Agricultural Electric Tractors. Agriculture 2022, 12, 1373. [Google Scholar] [CrossRef]
  5. Xia, C.; Liu, N.; Zhou, Z.; Yan, Y.; Shi, T. Steady-State Performance Improvement for LQR-Based PMSM Drives. IEEE Trans. Power Electron. 2018, 33, 10622–10632. [Google Scholar] [CrossRef]
  6. Zhang, C.; Xia, X.; Zheng, H.; Jia, H. Permanent Magnet Synchronous Motor Drive System for Agricultural Equipment: A Review. Agriculture 2025, 15, 2007. [Google Scholar] [CrossRef]
  7. Han, J.Q. Auto-Disturbances-Rejection Controller and Its Applications. Control Decis. 1998, 13, 19–23. [Google Scholar]
  8. Sekar, V.; Srinivasan, K. Control and Guidance for Quadcopter Aerial Vehicle Using Extremum Seeking-Active Disturbance Rejection Control. Sādhanā 2025, 50, 245. [Google Scholar] [CrossRef]
  9. Wu, H.T.; Zhang, H.F.; Cui, P.L.; Zhao, X.Q.; Zheng, S.Q. Improved Time-Delay Separation ADRC Method for Enhancing Noise Suppression of Near-Zero Magnetic Field. Sens. Actuators A Phys. 2025, 387, 116306. [Google Scholar] [CrossRef]
  10. Tu, Y.H.; Wang, R.F.; Su, W.H. Active Disturbance Rejection Control—New Trends in Agricultural Cybernetics in the Future: A Comprehensive Review. Machines 2025, 13, 111. [Google Scholar] [CrossRef]
  11. Precup, R.E. Hybrid Data-Driven Active Disturbance Rejection Sliding Mode Control with Tower Crane Systems Validation. Rom. J. Inf. Sci. Technol. 2024, 2024, 50–64. [Google Scholar]
  12. Hou, Q.; Xu, S.; Zuo, Y.; Wang, H.; Sun, J.; Lee, C.H.T.; Ding, S. Enhanced Active Disturbance Rejection Control With Measurement Noise Suppression for PMSM Drives via Augmented Nonlinear Extended State Observer. IEEE Trans. Energy Convers. 2024, 39, 287–299. [Google Scholar] [CrossRef]
  13. Zhang, P.; Shi, Z.; Yu, B.; Qi, H. Research on a Sensorless ADRC Vector Control Method for a Permanent Magnet Synchronous Motor Based on the Luenberger Observer. Processes 2024, 12, 906. [Google Scholar] [CrossRef]
  14. Jiang, F.; Sun, S.; Liu, A.; Xu, Y.; Li, Z.; Liu, X.; Yang, K. Robustness Improvement of Model-Based Sensorless SPMSM Drivers Based on an Adaptive Extended State Observer and an Enhanced Quadrature PLL. IEEE Trans. Power Electron. 2021, 36, 4802–4814. [Google Scholar] [CrossRef]
  15. Tian, M.; Wang, B.; Yu, Y.; Dong, Q.; Xu, D. Adaptive Active Disturbance Rejection Control for Uncertain Current Ripples Suppression of PMSM Drives. IEEE Trans. Ind. Electron. 2024, 71, 2320–2331. [Google Scholar] [CrossRef]
  16. Cao, H.; Deng, Y.; Zuo, Y.; Li, H.; Wang, J.; Liu, X.; Lee, C.H.T. Improved ADRC With a Cascade Extended State Observer Based on Quasi-Generalized Integrator for PMSM Current Disturbances Attenuation. IEEE Trans. Transp. Electrif. 2024, 10, 2145–2157. [Google Scholar] [CrossRef]
  17. Tian, M.; Wang, B.; Yu, Y.; Dong, Q.; Xu, D. Discrete-Time Repetitive Control-Based ADRC for Current Loop Disturbances Suppression of PMSM Drives. IEEE Trans. Ind. Inform. 2022, 18, 3138–3149. [Google Scholar] [CrossRef]
  18. Chen, Z.; Zhang, X.; Liu, C.; Zhang, H.; Luo, G. Research on Current Decoupling and Harmonic Suppression Strategy of Permanent Magnet Synchronous Motor Based on Proportional-Resonant Active Disturbance Rejection Control. Proc. Chin. Soc. Electr. Eng. 2022, 42, 9062–9072. [Google Scholar]
  19. Hou, Q.; Wang, H.; Zhao, C.; Xu, S.; Zuo, Y.; Lee, C.H.T.; Ding, S. Super-Twisting Extended State Observer-Based Quasi-Proportional-Resonant Controller for Permanent Magnet Synchronous Motor Drive System. IEEE Trans. Transp. Electrif. 2024, 10, 1596–1604. [Google Scholar] [CrossRef]
  20. Zhao, L.; Gu, S.; Zhang, J.; Li, S. Finite-Time Trajectory Tracking Control for Rodless Pneumatic Cylinder Systems with Disturbances. IEEE Trans. Ind. Electron. 2022, 69, 4137–4147. [Google Scholar] [CrossRef]
  21. Yu, S.; Yu, X.; Shirinzadeh, B.; Man, Z. Continuous Finite-Time Control for Robotic Manipulators with Terminal Sliding Mode. Automatica 2005, 41, 1957–1964. [Google Scholar] [CrossRef]
Disclaimer/Publisher’s Note: The statements, opinions and data contained in all publications are solely those of the individual author(s) and contributor(s) and not of MDPI and/or the editor(s). MDPI and/or the editor(s) disclaim responsibility for any injury to people or property resulting from any ideas, methods, instructions or products referred to in the content.

Article Metrics

Citations

Article Access Statistics

Article metric data becomes available approximately 24 hours after publication online.