Optimizing Ridge–Furrow Configuration and Nitrogen Rate to Enhance Wheat Nitrogen Use Efficiency Under Diverse Climate and Soil Conditions
Abstract
1. Introduction
2. Materials and Methods
2.1. Data Sources and Collection
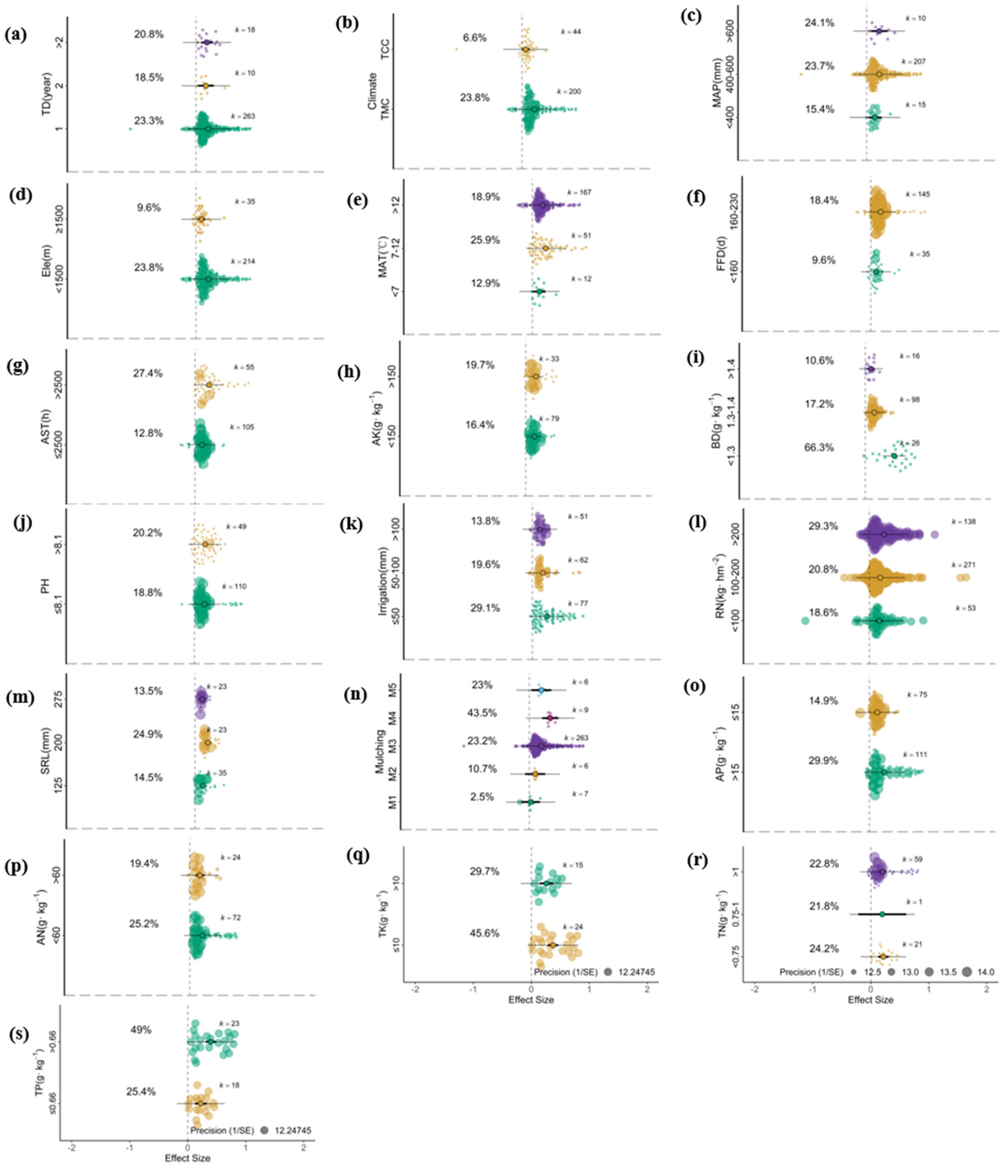
2.2. Data Classification
2.3. Data Computation
2.4. Data Processing
3. Results
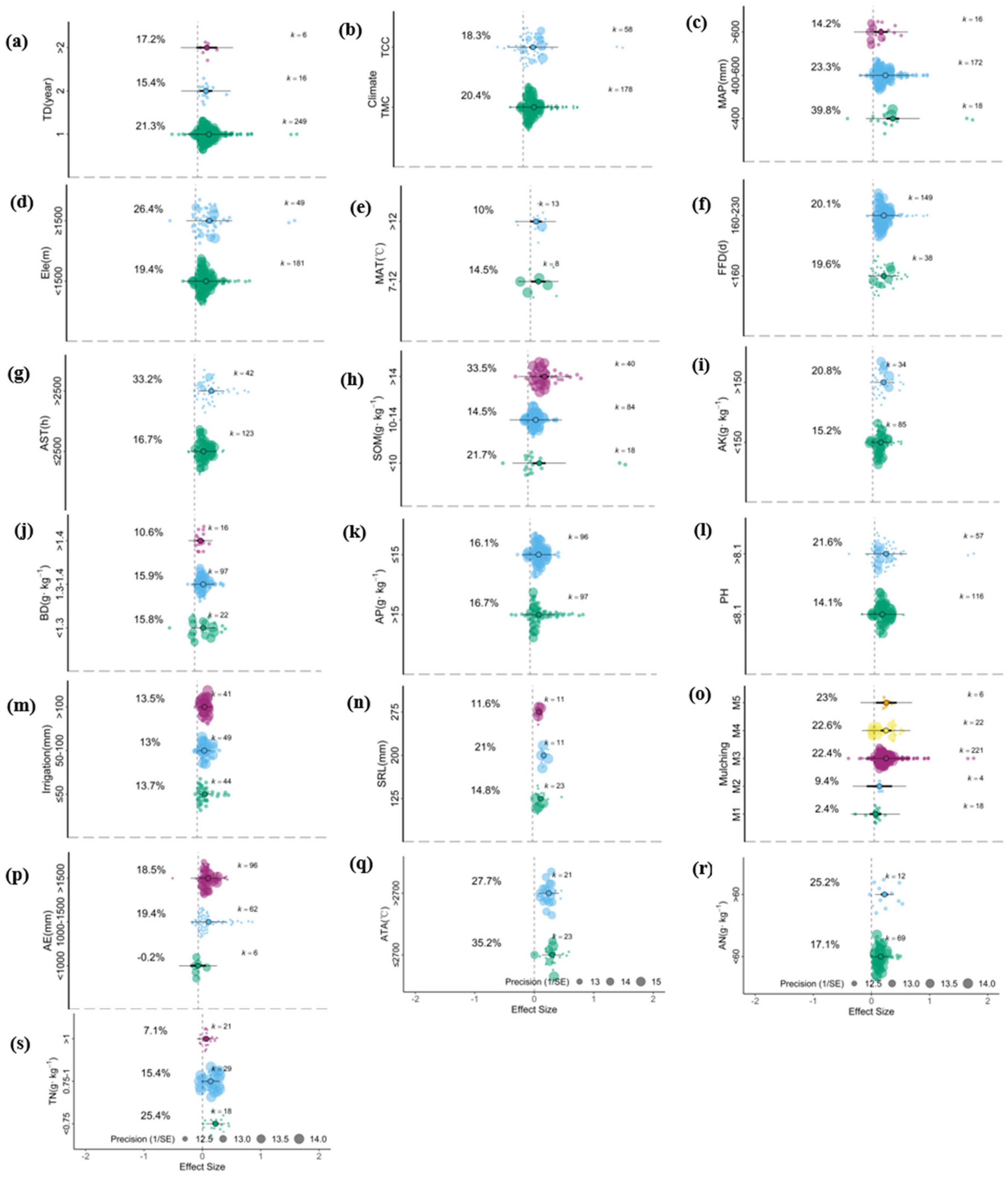
3.1. Effect of Different Ridge Configurations and Nitrogen Fertilizer Transport on PFPN in Wheat
3.1.1. Effect of Ridge–Furrow Ratio on PFPN Under Different Influencing Factors
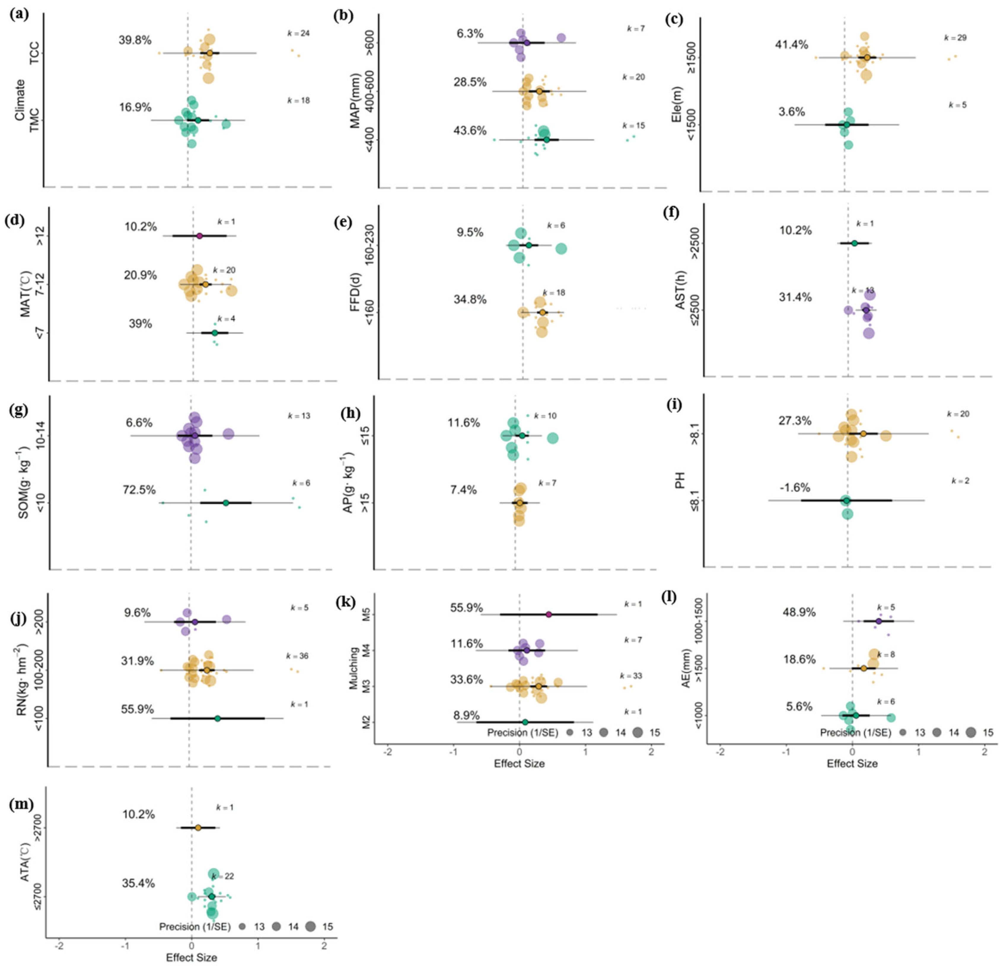
3.1.2. Effect of Ridge Height on PFPN Under Different Conditions
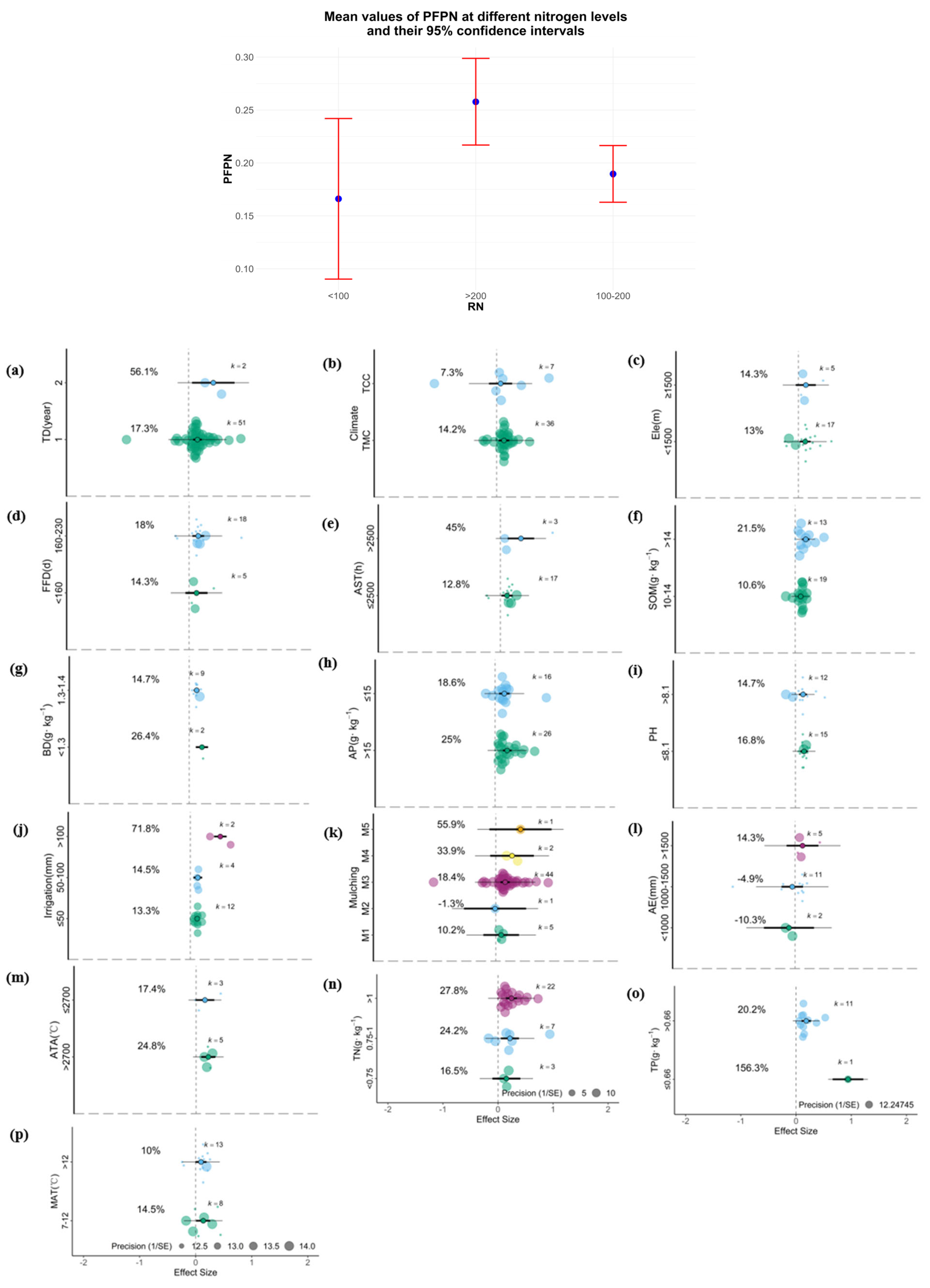
3.1.3. Effect of Nitrogen Application Rates on PFPN Under Different Conditions
4. Discussion
4.1. Analysis of Climatic Factors Affecting PFPN Under Different Management Practices and Nitrogen Application Rates
4.1.1. Rainfall Gradient
4.1.2. Temperature and Altitude
4.1.3. Sunlight and Evaporation Threshold
4.2. Analysis of Soil Factors Affecting PFPN Under Different Management Practices and Nitrogen Application Rates
4.3. Analysis of Field Management Practices Affecting PFPN Under Different Management Practices and Nitrogen Application Rates
5. Conclusions
Author Contributions
Funding
Institutional Review Board Statement
Data Availability Statement
Conflicts of Interest
Abbreviations
| PFPN | Nitrogen fertilizer bias productivity | TP | Total soil phosphorus |
| TD | Test duration | TK | Total soil potassium |
| Mulching | Mulching method | AN | Soil available nitrogen |
| MAP | Average annual rainfall | AP | Soil available phosphorus |
| MAT | Average annual temperature | AK | Soil available potassium |
| Ele | Height above sea level | BD | Average bulk density of soil |
| AST | Average annual sunshine hours | PH | Initial soil pH |
| ATA | Accumulated temperature | RD | Ridge-furrow ratio |
| AE | Average annual evaporation | RH | ridge height |
| FFD | Frost-free period | Irrigation | Irrigation level |
| SOM | Soil organic matter | SRL | Simulated rainfall levels |
| TN | Total soil nitrogen | RN | Nitrogen application |
| Climate | Climate levels |
References
- Kang, J.; Wang, J.; Heal, M.R.; Goulding, K.; de Vries, W.; Zhao, Y.; Feng, S.; Zhang, X.; Gu, B.; Niu, X. Ammonia mitigation campaign with smallholder farmers improves air quality while ensuring high cereal production. Nat. Food 2023, 4, 751–761. [Google Scholar] [CrossRef] [PubMed]
- Ren, B.; Huang, Z.; Liu, P.; Zhao, B.; Zhang, J. Urea ammonium nitrate solution combined with urease and nitrification inhibitors jointly mitigate NH3 and N2O emissions and improves nitrogen efficiency of summer maize under fertigation. Field Crops Res. 2023, 296, 108909. [Google Scholar] [CrossRef]
- Song, X.; Zhang, J.; Peng, C.; Li, D. Replacing nitrogen fertilizer with nitrogen-fixing cyanobacteria reduced nitrogen leaching in red soil paddy fields. Agric. Ecosyst. Environ. 2021, 312, 107321. [Google Scholar] [CrossRef]
- Mo, F.; Wang, J.Y.; Zhou, H.; Luo, C.L.; Zhang, X.F.; Li, X.Y.; Li, F.M.; Xiong, L.B.; Kavagi, L.; Nguluu, S.N.; et al. Ridge-furrow plastic-mulching with balanced fertilization in rainfed maize (Zea mays L.): An adaptive management in east African Plateau. Agric. For. Meteorol. 2017, 236, 100–112. [Google Scholar] [CrossRef]
- Gosar, B.; Baricevic, D. Ridge-furrow-ridge Rainwater Harvesting System with Mulches and Supplemental Irrigation. HortScience 2011, 46, 108–112. [Google Scholar] [CrossRef]
- He, J.; Li, H.; Rasaily, R.G.; Wang, Q.; Cai, G.; Su, Y.; Qiao, X.; Liu, L. Soil properties and crop yields after 11 years of no tillage farming in wheat–maize cropping system in North China Plain. Soil Tillage Res. 2010, 113, 48–54. [Google Scholar] [CrossRef]
- Han, K.; Yao, G.; Li, Z.; Wang, Y.; Li, M.; Ning, T.; Kuzyakov, Y. Ridge and furrow cultivation raises water and nitrogen use efficiency and crop climate adaptability. Agric. Water Manag. 2025, 317, 109657. [Google Scholar] [CrossRef]
- Zhang, G.X.; Mo, F.; Shah, F.; Meng, W.H.; Liao, Y.C.; Han, J. Ridge-furrow configuration significantly improves soil water availability, crop water use efficiency, and grain yield in dryland agroecosystems of the Loess Plateau. Agric. Water Manag. 2021, 245, 106657. [Google Scholar] [CrossRef]
- Qiang, S.; Zhang, Y.; Fan, J.; Zhang, F.; Lin, W.; Sun, M.; Gao, Z.; Tang, X. Optimization of N Fertilizer Type and Ridge-Furrow Ratio to Improve Resource Use Efficiency and Grain Yield of Rain-Fed Winter Wheat in Loess Plateau, China. Agronomy 2024, 14, 172. [Google Scholar] [CrossRef]
- Yang, F.K.; He, B.L.; Dong, B.; Zhang, G.P. Film mulched ridge-furrow tillage improves the quality and fertility of dryland agricultural soil by enhancing soil organic carbon and nutrient stratification. Agric. Water Manag. 2024, 292, 108686. [Google Scholar] [CrossRef]
- Luo, C.L.; Zhang, X.F.; Duan, H.X.; Zhou, R.; Mo, F.; Mburu, D.; Wang, B.Z.; Wang, W.; Kavagi, L.; Xiong, Y.C. Responses of rainfed wheat productivity to varying ridge-furrow size and ratio in semiarid eastern African Plateau. Agric. Water Manag. 2021, 249, 106813. [Google Scholar] [CrossRef]
- Liu, K.; Liu, B.; Xie, Y.H.; Li, T.L.; Zhang, Q.R.; Li, S.; Jiang, L.W. Effects of Nitrogen Reduction and Film Mulching on Wheat Yield Composition and Utilization Efficiency of Water and Fertilizer in the Loess Plateau. J. Soil Water Conserv. 2020, 34, 198–206. [Google Scholar]
- Zhang, X.D.; Dong, Z.Y.; Wu, X.Q.; Gan, Y.T.; Chen, X.J.; Xia, H.X.; Kamran, M.; Jia, Z.K.; Han, Q.F.; Shayakhmetova, A.; et al. Matching fertilization with water availability enhances maize productivity and water use efficiency in a semi-arid area: Mechanisms and solutions. Soil Tillage Res. 2021, 214, 105164. [Google Scholar] [CrossRef]
- Hong, T.T.; Cai, Z.L.; Zhao, R.S.; He, Z.H.; Ding, M.; Zhang, Z. Effects of water and nitrogen coupling on the yield, quality, water and nitrogen utilization of watermelon under CO2 enrichment. Sci. Hortic. 2021, 286, 110213. [Google Scholar] [CrossRef]
- Zhang, G.X.; Zhang, Y.; Liu, S.J.; Zhao, D.H.; Wen, X.X.; Han, J.; Liao, Y.C. Optimizing nitrogen fertilizer application to improve nitrogen use efficiency and grain yield of rainfed spring maize under ridge-furrow plastic film mulching planting. Soil Tillage Res. 2023, 229, 105680. [Google Scholar] [CrossRef]
- Qiang, S.C.; Zhang, Y.; Fan, J.L.; Zhang, F.C.; Sun, M.; Gao, Z.Q. Combined effects of urea type and placement depth on grain yield, water productivity and nitrogen use efficiency of rainfed spring maize in northern China. Agric. Water Manag. 2022, 262, 107442. [Google Scholar] [CrossRef]
- Rasheed, A.; Li, H.; Tahir, M.M.; Mahmood, A.; Nawaz, M.; Shah, A.N.; Aslam, M.T.; Negm, S.; Moustafa, M.; Hassan, M.U.; et al. The role of nanoparticles in plant biochemical, physiological, and molecular responses under drought stress: A review. Front. Plant Sci. 2022, 13, 976179. [Google Scholar] [CrossRef]
- Pang, J.W.; Wang, Y.H.; Liu, C.; Gao, Y.; Liu, D.H.; Zhang, Y.; Yang, B.P.; Jia, Z.K.; Zhang, P. Effects of fertilization on soil moisture and maize yield in rainfed farmland with ridge mulching-furrow planting system. J. Plant Nutr. Fertil. 2021, 27, 826–836. [Google Scholar]
- Xing, J.; Liu, G.J.; Zhai, W.B.; Gou, T.; Zhou, Z.Y.; Hu, A.; Zhang, K.; Bai, D.; Ren, A.X.; Gao, Z.Q.; et al. Optimized fertilizer management strategy based on ridge–furrow planting pattern enhances dryland wheat yield and water utilization on the Loess Plateau. Agric. Water Manag. 2025, 311, 109391. [Google Scholar] [CrossRef]
- Zhang, R.; Dong, L.X.; Sun, C.H.; Lu, P.; Xu, J. Effects of Straw Crushing & Mulching and Furrow Sowing on Winter Wheat Yield and Soil Hydrothermal Characteristics in Dryland. Water Sav. Irrig. 2021, 7, 60–64+70. [Google Scholar]
- Yue, K.; Fornara, D.A.; Yang, W.; Peng, Y.; Peng, C.; Liu, Z.; Wu, F. Influence of multiple global change drivers on terrestrial carbon storage: Additive effects are common. Ecol. Lett. 2017, 20, 663–672. [Google Scholar] [CrossRef] [PubMed]
- Adams, D.C.; Gurevitch, J.; Rosenberg, M.S. Resampling tests for meta-analysis of ecological data. Ecology 1997, 78, 1277–1283. [Google Scholar] [CrossRef]
- Gu, X.B.; Cai, H.J.; Chen, P.P.; Li, Y.P.; Fang, H.P.; Li, Y.N. Ridge-furrow film mulching improves water and nitrogen use efficiencies under reduced irrigation and nitrogen applications in wheat field. Field Crops Res. 2021, 270, 108214. [Google Scholar] [CrossRef]
- Zhao, J.K.; Xu, Y.F.; Xu, X.X.; Liu, S.; Hao, T.; Qu, W.K.; Li, M.R.; Shi, Y.; Zhao, C.X. Effects of supplemental irrigation on grain yield, and water and nitrogen efficiencies of winter wheat in North China Plain. J. Sci. Food Agric. 2023, 103, 7484–7493. [Google Scholar] [CrossRef]
- Kallenbach, C.; Grandy, A.S. Controls over soil microbial biomass responses to carbon amendments in agricultural systems: A meta-analysis. Agric. Ecosyst. Environ. 2011, 144, 241–252. [Google Scholar] [CrossRef]
- Bishop, J.; Nakagawa, S. Quantifying crop pollinator dependence and its heterogeneity using multi-level meta-analysis. J. Appl. Ecol. 2021, 58, 1030–1042. [Google Scholar] [CrossRef]
- Guo, X.Y.; Wang, J.Y.; Liu, X.Y.; Zhang, F.S.; Chen, X.P. Responses of winter wheat yield, nitrogen fertilizer use efficiency and soil nitrogen balance to precipitation patterns and nitrogen application rates in dryland. Acta Agron. Sin. 2022, 48, 1262–1272. [Google Scholar] [CrossRef]
- Li, W.W.; Zhuang, Q.; Wu, W.; Wen, X.; Han, J.; Liao, Y. Effects of ridge-furrow mulching on soil CO2 efflux in a maize field in the Chinese Loess Plateau. Agric. For. Meteorol. 2019, 264, 200–212. [Google Scholar] [CrossRef]
- Liu, K.; Yang, F.T.; Xie, Y.H.; Li, T.L.; Zhang, Q.R.; Dou, L.; Liu, Y.F.; Ji, M.J.; Jiang, L. Effects of nitrogen reduction and film mulching on wheat yield and residual nitrogen in a dryland field experiment on the Loess Plateau. Chin. J. Appl. Environ. Biol. 2020, 6, 619–625. [Google Scholar]
- Chen, X.J.; Cao, G.C.; Jia, Y.; Chen, J.; Yu, Y.; LI, W.; LI, J. Influence of elevation on growth duration of maize (Zea mays L.). Chin. J. Eco-Agric. 2009, 17, 527–532. [Google Scholar] [CrossRef]
- Duan, C.X.; Chen, G.J.; Hu, Y.J.; Wu, S.F.; Feng, H.; Dong, Q.G. Alternating wide ridges and narrow furrows with film mulching improves soil hydrothermal conditions and maize water use efficiency in dry sub-humid regions. Agric. Water Manag. 2021, 245, 106559. [Google Scholar] [CrossRef]
- Yang, F.K.; He, B.L.; Dong, B.; Wang, L.M. Effects of black film mulched ridge-furrow tillage on soil water-fertilizer environment and potato yield and benefit under different rainfall years in semiarid region. Sci. Agric. Sin. 2021, 54, 4312–4325. [Google Scholar]
- Shi, Z.; Li, D.; Jing, Q.; Cai, J.; Jiang, D.; Cao, W.; Dai, T. Effects of nitrogen applications on soil nitrogen balance and nitrogen utilization of winter wheat in a rice–wheat rotation. Field Crops Res. 2012, 127, 241–247. [Google Scholar] [CrossRef]
- Guan, D.; Al-Kaisi, M.M.; Zhang, Y.; Duan, L.; Tan, W.; Zhang, M.; Li, Z. Tillage practices affect biomass and grain yield through regulating root growth, root-bleeding sap and nutrients uptake in summer maize. Field Crops Res. 2014, 157, 89–97. [Google Scholar] [CrossRef]
- Liu, X.L.; Wang, Y.D.; Yan, X.Q.; Hou, H.Z.; Liu, P.; Cai, T.; Zhang, P.; Jia, Z.K.; Ren, X.L.; Chen, X.L. Appropriate ridge-furrow ratio can enhance crop production and resource use efficiency by improving soil moisture and thermal condition in a semi-arid region. Agric. Water Manag. 2020, 240, 106289. [Google Scholar] [CrossRef]
- Zhang, F.; Ma, X.; Gao, X.; Cao, H.; Liu, F.; Wang, J.; Guo, G.; Liang, T.; Wang, Y.; Chen, X.; et al. Innovative nitrogen management strategy reduced N2O emission while maintaining high pepper yield in subtropical condition. Agric. Ecosyst. Environ. 2023, 354, 108565. [Google Scholar] [CrossRef]
- Ahamefule, E.H.; Peter, P.C. Cowpea (Vigna unguiculata L. Walp) response to phosphorus fertilizer under two tillage and mulch treatments. Soil Tillage Res. 2014, 136, 70–75. [Google Scholar] [CrossRef]
- Xu, G.; Fan, X.; Miller, A.J. Plant nitrogen assimilation and use efficiency. Annu. Rev. Plant Biol. 2012, 63, 153–182. [Google Scholar] [CrossRef]
- Liu, H.S.; Wu, B.; Gao, Y.H.; Cui, H.Y.; Li, Y.; Niu, J.Y.; Nan, B.J. Effects of Rainfall Harvesting Planting on Grain Yield and Water Use Efficiency of Spring Wheat in Semi-arid Areas. Chin. J. Soil Sci. 2018, 49, 862–868. [Google Scholar]
- Geng, Z.; Dai, W. Soil Science; Science Press: Beijing, China, 2011. (In Chinese) [Google Scholar]
- Yang, Y.L.; Ran, J.; Guo, H.Y.; He, G.S.; Huang, Y.P.; Li, H.Y.; Li, W.C.; Chen, J.J.; Xie, J.X.; Deng, S.Y. Effects of Different Ridge Heights on Soil Heat Status, Root Growth, and Leaf Maturity Tolerance of Flue-cued Tobacco. Acta Agric. Boreali-Sin. 2024, 39, 128–138. [Google Scholar]
- Wang, K.; Wei, T.; Dong, Z.Y.; Zhang, P.; Jia, Z.K. Effects of fertilizer application rates on soil water use and wheat yield under ridge-furrow practice with plastic mulching of the ridge. Agric. Res. Arid Areas 2016, 34, 93–98+200. [Google Scholar]
- Kaiser, D.E.; Mallarino, A.P.; Sawyer, J.E. Utilization of poultry manure phosphorus for corn production. Soil Sci. Soc. 2010, 74, 2211–2222. [Google Scholar] [CrossRef]
- Letey, J.; Vaughan, P. Soil type, crop and irrigation technique affect nitrogen leaching to groundwater. Calif. Agric. 2013, 67, 231–241. [Google Scholar] [CrossRef]
- Fu, Q.; Wang, Q.; Shen, X.; Fan, J. Optimizing water and nitrogen inputs for winter wheat cropping system on the Loess Plateau, China. J. Arid Land 2014, 6, 230–242. [Google Scholar] [CrossRef]
- Hammad, H.M.; Farhad, W.; Abbas, F.; Fahad, S.; Saeed, S.; Nasim, W.; Bakhat, H.F. Maize plant nitrogen uptake dynamics at limited irrigation water and nitrogen. Environ. Sci. Pollut. Res. 2017, 24, 2549–2557. [Google Scholar] [CrossRef]
- Mon, J.; Bronson, K.F.; Hunsaker, D.J.; Thorp, K.R.; White, J.W.; French, A.N. Interactive effects of nitrogen fertilization and irrigation on grain yield, canopy temperature, and nitrogen use efficiency in overhead sprinkler-irrigated durum wheat. Field Crops Res. 2016, 191, 54–65. [Google Scholar] [CrossRef]













| Categorical Variables | Subgroup | Categorical Variables | Subgroup | ||||
|---|---|---|---|---|---|---|---|
| TD (year) | 1 | 2 | >2 | TN (g·kg−1) | <0.75 | 0.75–1 | >1 |
| Climate | TCC | TMC | — | TP (g·kg−1) | ≤0.66 | >0.66 | — |
| MAP (mm) | <400 | 400–600 | >600 | TK (g·kg−1) | ≤10 | >10 | — |
| MAT (°C) | <7 | 7–12 | >12 | AN (mg·kg−1) | <60 | >60 | — |
| Ele (m) | <1500 | ≥1500 | — | AP (mg·kg−1) | ≤15 | >15 | — |
| AST (h) | ≤2000 | >2000 | — | AK (mg·kg−1) | <150 | >150 | — |
| ATA (°C) | ≤2700 | >2700 | — | BD (g·cm−3) | <1.3 | 1.3–1.4 | >1.4 |
| AE (mm) | <1000 | 1000–1500 | >1500 | PH | ≤8.1 | >8.1 | — |
| FFD (d) | <160 | 160–230 | — | Irrigation (mm) | ≤50 | 50–100 | >100 |
| SOM (g·kg−1) | <10 | 10–14 | >14 | SRL (mm) | 125 | 200 | 275 |
| RN (kg·hm−2) | <100 | 100–200 | >200 | Mulching | M1, M2, M3, M4, M5 | ||
Disclaimer/Publisher’s Note: The statements, opinions and data contained in all publications are solely those of the individual author(s) and contributor(s) and not of MDPI and/or the editor(s). MDPI and/or the editor(s) disclaim responsibility for any injury to people or property resulting from any ideas, methods, instructions or products referred to in the content. |
© 2025 by the authors. Licensee MDPI, Basel, Switzerland. This article is an open access article distributed under the terms and conditions of the Creative Commons Attribution (CC BY) license (https://creativecommons.org/licenses/by/4.0/).
Share and Cite
Pan, T.; Liu, Z.; Yan, L.; Chen, F.; Wang, J.; Huang, X.; Xu, Y. Optimizing Ridge–Furrow Configuration and Nitrogen Rate to Enhance Wheat Nitrogen Use Efficiency Under Diverse Climate and Soil Conditions. Agriculture 2025, 15, 2543. https://doi.org/10.3390/agriculture15242543
Pan T, Liu Z, Yan L, Chen F, Wang J, Huang X, Xu Y. Optimizing Ridge–Furrow Configuration and Nitrogen Rate to Enhance Wheat Nitrogen Use Efficiency Under Diverse Climate and Soil Conditions. Agriculture. 2025; 15(24):2543. https://doi.org/10.3390/agriculture15242543
Chicago/Turabian StylePan, Ting, Zeyu Liu, Liuyang Yan, Fu Chen, Juanling Wang, Xuefang Huang, and Yueyue Xu. 2025. "Optimizing Ridge–Furrow Configuration and Nitrogen Rate to Enhance Wheat Nitrogen Use Efficiency Under Diverse Climate and Soil Conditions" Agriculture 15, no. 24: 2543. https://doi.org/10.3390/agriculture15242543
APA StylePan, T., Liu, Z., Yan, L., Chen, F., Wang, J., Huang, X., & Xu, Y. (2025). Optimizing Ridge–Furrow Configuration and Nitrogen Rate to Enhance Wheat Nitrogen Use Efficiency Under Diverse Climate and Soil Conditions. Agriculture, 15(24), 2543. https://doi.org/10.3390/agriculture15242543
