Predicting Moisture in Different Alfalfa Product Forms with SWIR Hyperspectral Imaging: Key Wavelengths for Low-Cost Sensor Development
Abstract
1. Introduction
2. Materials and Methods
2.1. Sample Preparation
2.2. Hyperspectral Data Acquisition
2.3. Spectral Preprocessing and Modeling Framework
2.4. Feature Extraction and Band Selection
2.5. Regression Models
2.6. Model Development and Evaluation
2.7. Robustness and Uncertainty Assessment of Optimal Pipelines
- (1)
- Coefficient of Determination ():
- (2)
- Root Mean Square Error (RMSE):
- (3)
- Mean Absolute Error (MAE)
- (4)
- Residual Prediction Deviation (RPD)
3. Results
3.1. Spectral Characteristics Analysis of Alfalfa in Different Morphologies
3.2. Spectral Preprocessing Effects
3.3. Feature Extraction and Wavelength Selection Effects
3.3.1. Wavelength Reduction and Model Performance Optimization
3.3.2. Chemical Interpretability Analysis of Selected Wavelengths
3.4. Comparative Analysis of Optimal Models and Morphological Differences
3.4.1. Optimal Prediction Performance
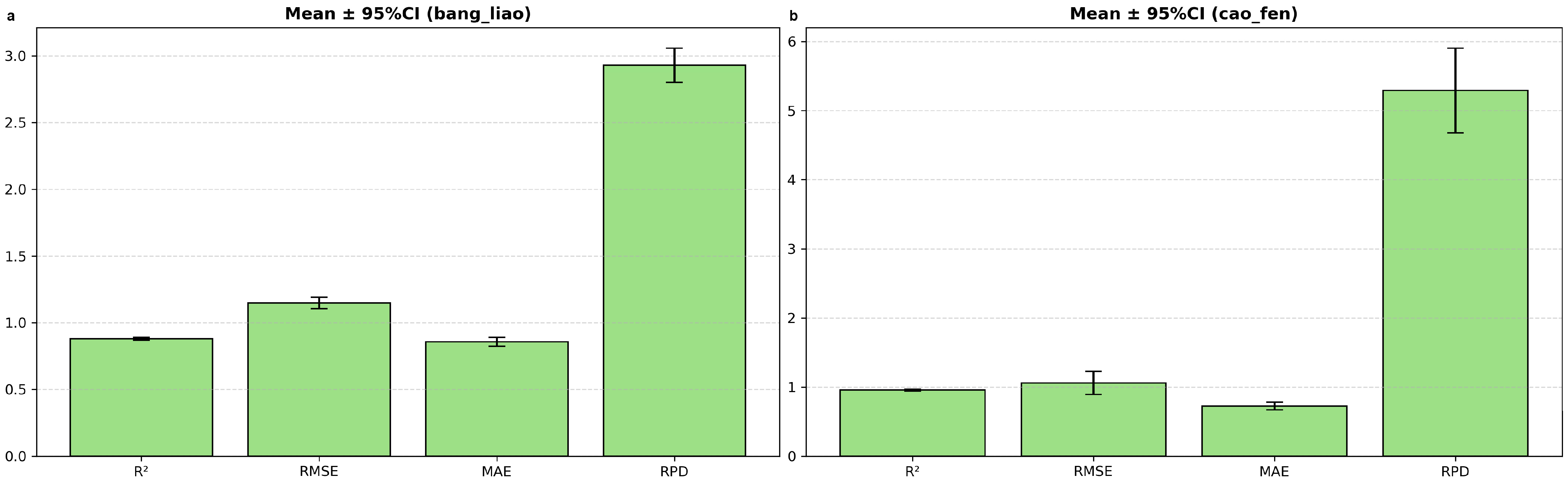
3.4.2. Robustness and Uncertainty Analysis Across 20 Repetitions
3.4.3. Form-Driven Mechanisms and Practical Implications for Agriculture
4. Discussion
5. Conclusions
Author Contributions
Funding
Data Availability Statement
Acknowledgments
Conflicts of Interest
Abbreviations
| 1D-CNN | One-dimensional Convolutional Neural Networks |
| CI | Confidence Intervals |
| FE | Feature Extraction |
| GBDT | Gradient Boosting Decision Trees |
| IQR | Interquartile Range |
| Mean Absolute Error of Prediction | |
| NIR | Near-Infrared |
| MIV | Mean Impact Value |
| PCA | Principal Component Analysis |
| PRC | People’s Republic of China |
| PSO | Particle Swarm Optimization |
| RBF | Radial Basis Function |
| ROI | Region of Interest |
| Prediction Coefficient of Determination | |
| Root Mean Squared Error of Prediction | |
| SSAB | Soy Sauce-Aroma Type Baijiu |
| SWIR | Short-Wave Infrared |
| TPE | Tree-structured Parzen Estimator |
| SPA | Successive Projections Algorithm |
| CARS | Competitive Adaptive Reweighted Sampling |
| UVE | Uninformative Variable Elimination |
| Lasso | Least Absolute Shrinkage and Selection Operator |
| PLSR | Partial Least Squares Regression |
| SVR | Support Vector Regression |
| RF | Random Forest |
| XGBoost | Extreme Gradient Boosting |
| BPNN | Backpropagation Neural Network |
Appendix A
| Method | Fixed Value/Range |
|---|---|
| X outliers (PCA) | Retain PCs for ≥95% variance |
| Y outliers (IQR) | Factor = 2.5 |
| Stratified split | 10 equal-frequency Y bins |
| Method | Fixed Value/Range |
|---|---|
| PLSR | n_components in [1, 10] |
| SVR | Kernel = RBF; C in [1 × 10−3, 10]; gamma in [1 × 10−4, 1 × 103]; epsilon in [0.01, 0.5]; cache_size = 2000 |
| RE | n_estimators in {100, 200, 300}; max_depth in [5, 20]; min_samples_split in {2, 5, 10, 20}; min_samples_leaf in {1, 2, 4, 8} |
| XGBoost | n_estimators in {100, 200, 300, 500}; learning_rate in [0.01, 0.1]; max_depth in [3, 7]; subsample in [0.6, 0.9]; colsample_bytree in [0.6, 0.9]; gamma in [0.1, 5]; reg_alpha in [0.1, 10]; reg_lambda in [1, 10] |
| BPNN | hidden_layers in {1, 2}; width = round(k × Nfeat), k in [0.5, 1.5]; activation in {relu,tanh}; dropout in [0.1, 0.5]; L2 in [1 × 10−6, 1 × 10−3]; Adam lr in [1 × 10−4, 1 × 10−2]; batch in {16, 32, 64}; max_epoch = 500; early stopping (patience = 30, restore_best_weights = True) |
| Method | Fixed Value/Range |
|---|---|
| SPA | Exhaustive seed scan; forward step = 1; max_vars in [5, 50]; |
| UVE | Append 20 Gaussian noise vars (scaled to X); CV = 5 |
| PLS_VIP | PLS components h = 5 (fixed) |
| Lasso | Standardize X; CV = 10; max_iter = 10,000; tol = 1 × 10−4 |
| CARS_MIV | Monte Carlo = 200; initial factor = 2 |


References
- Yuan, N.; Sun, L.; Du, S.; Ge, G.; Wang, Z.; Li, Y.; Bao, J.; Zhao, M.; Si, Q.; Hao, J.; et al. Effects of harvesting period and storage duration on volatile organic compounds and nutritive qualities of alfalfa. Agriculture 2022, 12, 1115. [Google Scholar] [CrossRef]
- Köninger, M.; von Velsen-Zerweck, A.; Eiberger, C.; Löffler, C.; Töpper, A.; Visscher, C.; Reckels, B.; Vervuert, I. Nutrient composition and feed hygiene of alfalfa, comparison of feed intake and selected metabolic parameters in horses fed alfalfa haylage, alfalfa hay or meadow hay. Animals 2024, 14, 889. [Google Scholar] [CrossRef]
- Hernández, J.; Rojas, L. Alfalfa pelletizing: A review of the process and the quality analysis. J. Anim. Sci. Technol. 2021, 63, e29. [Google Scholar] [CrossRef]
- Du, H.J.; Lei, T.; Ma, Y.; Li, Y.; Yang, X.T. Effect of process parameters on quality of alfalfa block. BioResources 2024, 19, 3234–3248. [Google Scholar] [CrossRef]
- Alhotan, R.A. Commercial poultry feed formulation: Current status, challenges, and future expectations. World’s Poult. Sci. J. 2021, 77, 279–299. [Google Scholar] [CrossRef]
- Driehuis, F.; Elferink, S.J.W.H.O. The impact of the quality of silage on animal health and food safety: A review. Vet. Q. 2000, 22, 212–216. [Google Scholar] [CrossRef]
- Zamudio, D.; Killerby, M.A.; Charley, R.C.; Chevaux, E.; Drouin, P.; Schmidt, R.J.; Bright, J.; Romero, J.J. Factors affecting nutrient losses in hay production. Grass Forage Sci. 2024, 79, 499–515. [Google Scholar] [CrossRef]
- GB 13078-2017; Hygienic Standard for Feed. Standards Press of China: Beijing, China, 2017.
- European Feed Manufacturers’ Federation (FEFAC). Guide to Good Practice for the Manufacturing of Safe Feed Materials, 2020. Available online: https://fefac.eu (accessed on 14 October 2025).
- Zhang, L.; Zhang, Q.; Wu, J.; Liu, Y.; Yu, L.; Chen, Y. Moisture detection of single corn seed based on hyperspectral imaging and deep learning. Infrared Phys. Technol. 2022, 125, 104279. [Google Scholar] [CrossRef]
- Adesokan, M.; Alamu, E.O.; Otegbayo, B.; Maziya-Dixon, B. A review of the use of near-infrared hyperspectral imaging (NIR-HSI) techniques for the non-destructive quality assessment of root and tuber crops. Appl. Sci. 2023, 13, 5226. [Google Scholar] [CrossRef]
- Antony, M.M.; Sandeep, C.S.; Matham, M.V. Hyperspectral vision beyond 3D: A review. Opt. Lasers Eng. 2024, 178, 108238. [Google Scholar] [CrossRef]
- Pham, Q.T.; Liou, N.-S. The development of on-line surface defect detection system for jujubes based on hyperspectral images. Comput. Electron. Agric. 2022, 194, 106743. [Google Scholar] [CrossRef]
- Li, J.; Zhang, R.; Li, J.; Wang, Z.; Zhang, H.; Zhan, B.; Jiang, Y. Detection of early decayed oranges based on multispectral principal component image combining both bi-dimensional empirical mode decomposition and watershed segmentation method. Postharvest Biol. Technol. 2019, 158, 110986. [Google Scholar] [CrossRef]
- Qi, H.; Chen, A.; Yang, X.; Xing, X. Estimation of crude protein content in natural pasture grass using unmanned aerial vehicle hyperspectral data. Comput. Electron. Agric. 2025, 229, 109714. [Google Scholar] [CrossRef]
- Zhong, L.; Fan, Y.; Wu, Y.; Gao, Y.; Gao, Z.; Zhou, A.; Shao, Q.; Zhang, A. Data fusion strategy for rapid prediction of glyceryl trioleate and polysaccharide content in Ganoderma lucidum spore powder based on near-infrared spectroscopy and hyperspectral imaging. J. Food Compos. Anal. 2025, 141, 107403. [Google Scholar] [CrossRef]
- Huang, Q.; Yang, M.; Ouyang, L.; Wang, Z.; Lin, J. Vis/NIR spectroscopy and chemometrics for non-destructive estimation of chlorophyll content in different plant leaves. Sensors 2025, 25, 1673. [Google Scholar] [CrossRef] [PubMed]
- Li, Y.; Ma, B.; Li, C.; Yu, G. Accurate prediction of soluble solid content in dried Hami jujube using SWIR hyperspectral imaging with comparative analysis of models. Comput. Electron. Agric. 2022, 193, 106655. [Google Scholar] [CrossRef]
- Cheng, M.-F.; Mukundan, A.; Karmakar, R.; Valappil, M.A.E.; Jouhar, J.; Wang, H.-C. Modern Trends and Recent Applications of Hyperspectral Imaging: A Review. Technologies 2025, 13, 170. [Google Scholar] [CrossRef]
- Batshev, V.; Machikhin, A.; Martynov, G.; Pozhar, V.; Boritko, S.; Sharikova, M.; Lomonov, V.; Vinogradov, A. Polarizer-Free AOTF-Based SWIR Hyperspectral Imaging for Biomedical Applications. Sensors 2020, 20, 4439. [Google Scholar] [CrossRef]
- Özdoğan, G.; Gowen, A. Wheat grain classification using hyperspectral imaging: Concatenating Vis-NIR and SWIR Data for single and bulk grains. Food Control 2025, 168, 110953. [Google Scholar] [CrossRef]
- Pipatsart, N.; Meenune, M.; Hoonlor, A.; Niamsiri, N.; Punyasuk, N.; Mairhofer, S.; Lertsiri, S. Application of short-wave infrared hyperspectral imaging combined with machine learning on chilling injury detection in fresh coriander. Food Control 2025, 172, 111176. [Google Scholar] [CrossRef]
- Wang, W.; Man, Z.; Li, X.; Chen, R.; You, Z.; Pan, T.; Dai, X.; Xiao, H.; Liu, F. Response mechanism and rapid detection of phenotypic information in rice root under heavy metal stress. J. Hazard. Mater. 2023, 449, 131010. [Google Scholar] [CrossRef]
- Kamruzzaman, M.; Kalita, D.; Ahmed, M.T.; ElMasry, G.; Makino, Y. Effect of variable selection algorithms on model performance for predicting moisture content in biological materials using spectral data. Anal. Chim. Acta 2022, 1202, 339390. [Google Scholar] [CrossRef] [PubMed]
- Cozzolino, D.; Williams, P.J.; Hoffman, L.C. An overview of pre-processing methods available for hyperspectral imaging applications. Microchem. J. 2023, 193, 109129. [Google Scholar] [CrossRef]
- Saha, D.; Manickavasagan, A. Machine learning techniques for analysis of hyperspectral images to determine quality of food products: A review. Curr. Res. Food Sci. 2021, 4, 28–44. [Google Scholar] [CrossRef]
- Rogers, M.; Blanc-Talon, J.; Urschler, M.; Delmas, P. Wavelength and texture feature selection for hyperspectral imaging: A systematic literature review. Food Meas. Charact. 2023, 17, 6039–6064. [Google Scholar] [CrossRef]
- Xu, Z.; Zhang, P.; Wang, Q.; Fan, S.; Cheng, W.; Liu, J.; Wang, H.; Liu, B.; Wu, Y. Comparative study of different wavelength selection methods in the transfer of crop kernel qualitative near-infrared models. Infrared Phys. Technol. 2022, 123, 104120. [Google Scholar] [CrossRef]
- Wang, T.; Zheng, Y.; Xu, L.; Yun, Y.-H. Comprehensive comparison on different wavelength selection methods using several near-infrared spectral datasets with different dimensionalities. Spectrochim. Acta Part A Mol. Biomol. Spectrosc. 2025, 331, 125767. [Google Scholar] [CrossRef] [PubMed]
- Li, B.; Ou-yang, S.-T.; Li, Y.-B.; Lu, Y.-J.; Liu, Y.-D.; Ou-yang, A.-G. Quantitative detection of beef freshness characterized by storage days based on hyperspectral imaging technology combined with physicochemical indexes. J. Food Compos. Anal. 2025, 140, 107303. [Google Scholar] [CrossRef]
- Li, S.; Shao, X.; Guo, Z.; Wang, H.; Lu, F.; Darwish, I.A.; Sun, X.; Guo, Y. Novel detection method for Aspergillus flavus contamination in maize kernels based on spatial-spectral features using short-wave infrared hyperspectral imaging. J. Food Compos. Anal. 2025, 140, 107219. [Google Scholar] [CrossRef]
- Wu, Y.; Wang, B.; Chen, J.; Huang, X.; Xu, J.; Wei, W.; Chen, K. Non-destructive prediction and pixel-level visualization of polysaccharide-based properties in ancient paper using SWNIR hyperspectral imaging and machine learning. Carbohydr. Polym. 2025, 352, 123198. [Google Scholar] [CrossRef]
- Park, J.-J.; Park, S.-K.; Yun, D.-Y.; Lee, G.; Kim, S.S.; Park, K.-J.; Lim, J.-H.; Choi, J.-H.; Cho, J.-S. Non-destructive quantification of sea lettuce in laver using hyperspectral imaging with hybrid spectral feature selection techniques. Food Biosci. 2025, 66, 106272. [Google Scholar] [CrossRef]
- Guo, Z.; Zhang, J.; Ma, C.; Yin, X.; Guo, Y.; Sun, X.; Jin, C. Application of visible–near-infrared hyperspectral imaging technology coupled with wavelength selection algorithm for rapid determination of moisture content of soybean seeds. J. Food Compos. Anal. 2023, 116, 105048. [Google Scholar] [CrossRef]
- Qiao, M.; Xia, G.; Xu, Y.; Cui, T.; Fan, C.; Li, Y.; Han, S.; Qian, J. Generic prediction model of moisture content for maize kernels by combing spectral and color data through hyperspectral imaging. Vib. Spectrosc. 2024, 131, 103663. [Google Scholar] [CrossRef]
- Li, M.; Yang, J.; Guo, X.; Sun, R.; Zhang, G.; Liu, W.; Liu, Y.; Wang, Z.; Yuan, Y.; Yue, T. A rapid and nondestructive quantitative detection method for total and organic selenium in selenium-enriched kefir grain based on hyperspectral imaging. Food Control 2025, 169, 110958. [Google Scholar] [CrossRef]
- Yuan, W.; Zhou, H.; Zhang, C.; Zhou, Y.; Wu, Y.; Jiang, X.; Jiang, H. Determination and visualization of moisture content in Camellia oleifera seeds rapidly based on hyperspectral imaging combined with deep learning. Spectrochim. Acta Part A Mol. Biomol. Spectrosc. 2025, 330, 125676. [Google Scholar] [CrossRef]
- Miao, P.; Hao, N.; Zhao, Q.; Ping, J.; Liu, C. Non-destructive determination of ginsenosides in ginseng by combined hyperspectral and X-ray techniques based on ensemble learning. Food Chem. 2024, 437, 137828. [Google Scholar] [CrossRef]
- Zhang, D.; Chen, X.; Lin, Z.; Lu, M.; Yang, W.; Sun, X.; Battino, M.; Shi, J.; Huang, X.; Shi, B.; et al. Nondestructive detection of pungent and numbing compounds in spicy hotpot seasoning with hyperspectral imaging and machine learning. Food Chem. 2025, 469, 142593. [Google Scholar] [CrossRef] [PubMed]
- Huang, Y.; Tian, J.; Yang, H.; Hu, X.; Xie, L.; Zhou, Y.; Xia, Y.; Huang, D. Utilization of hyperspectral imaging for the analysis of aroma components of soy sauce-aroma type Baijiu. J. Food Compos. Anal. 2024, 134, 106498. [Google Scholar] [CrossRef]
- Vera, W.; Salvador-Reyes, R.; Quispe-Santivañez, G.; Kemper, G. Detection of adulterants in powdered foods using near-infrared spectroscopy and chemometrics: Recent advances, challenges, and future perspectives. Foods 2025, 14, 3195. [Google Scholar] [CrossRef]
- Cozzolino, D. The sample, the spectra and the maths—The critical pillars in the development of robust and sound applications of vibrational spectroscopy. Molecules 2020, 25, 3674. [Google Scholar] [CrossRef]
- Román-Ospino, A.D.; Singh, R.; Ierapetritou, M.; Ramachandran, R.; Méndez, R.; Ortega-Zuñiga, C.; Muzzio, F.J.; Romañach, R.J. Near infrared spectroscopic calibration models for real-time monitoring of powder density. Int. J. Pharm. 2016, 512, 61–74. [Google Scholar] [CrossRef]
- Liu, Q.; Jiang, X.; Wang, F.; Fan, S.; Zhu, B.; Yan, L.; Chen, Y.; Wei, Y.; Chen, W. Evaluation and process monitoring of jujube hot air drying using hyperspectral imaging technology and deep learning for quality parameters. Food Chem. 2025, 467, 141999. [Google Scholar] [CrossRef]
- Li, Y.-h.; Tan, X.; Zhang, W.; Jiao, Q.-b.; Xu, Y.-x.; Li, H.; Zou, Y.-b.; Yang, L.; Fang, Y.-p. Research and application of several key techniques in hyperspectral image preprocessing. Front. Plant Sci. 2021, 12, 627865. [Google Scholar] [CrossRef] [PubMed]
- Khamsopha, D.; Teerachaichayut, S. Detection of adulteration of tapioca starch with dolomite by near infrared hyperspectral imaging. Key Eng. Mater. 2020, 862, 46–50. [Google Scholar] [CrossRef]
- Wang, B.; Sun, J.; Xia, L.; Liu, J.; Wang, Z.; Li, P.; Guo, Y.; Sun, X. The applications of hyperspectral imaging technology for agricultural products quality analysis: A review. Food Rev. Int. 2021, 38, 1269–1292. [Google Scholar] [CrossRef]
- Zhang, L.; Nie, P.; Zhang, S.; Zhang, L.; Sun, T. Research on defect detection in Kubo peach based on hyperspectral imaging technology combined with CARS-MIV-GA-SVM method. Foods 2023, 12, 3593. [Google Scholar] [CrossRef]
- Chen, X.; Jiao, Y.; Liu, B.; Chao, W.; Duan, X.; Yue, T. Using hyperspectral imaging technology for assessing internal quality parameters of persimmon fruits during the drying process. Food Chem. 2022, 386, 132774. [Google Scholar] [CrossRef]
- Ping, J.; Hao, N.; Guo, X.; Miao, P.; Guan, Z.; Chen, H.; Liu, C.; Bai, G.; Li, W. Rapid and accurate identification of Panax ginseng origins based on data fusion of near-infrared and laser-induced breakdown spectroscopy. Food Res. Int. 2025, 204, 115925. [Google Scholar] [CrossRef]
- Li, F.; Shen, J.; Yang, Q.; Wei, Y.; Zuo, Y.; Wang, Y.; Ning, J.; Li, L. Monitoring quality changes in green tea during storage: A hyperspectral imaging method. Food Chem. X 2024, 23, 101538. [Google Scholar] [CrossRef]
- Jin, S.; Liu, X.; Wang, J.; Pan, L.; Zhang, Y.; Zhou, G.; Tang, C. Hyperspectral imaging combined with fluorescence for the prediction of microbial growth in chicken breasts under different packaging conditions. LWT 2023, 181, 114727. [Google Scholar] [CrossRef]
- Yan, Y.; Yang, J.; Li, B.; Qin, C.; Ji, W.; Xu, Y.; Huang, Y. High-resolution mapping of soil organic matter at the field scale using UAV hyperspectral images with a small calibration dataset. Remote Sens. 2023, 15, 1433. [Google Scholar] [CrossRef]
- Ye, M.; Zhu, L.; Li, X.; Ke, Y.; Huang, Y.; Chen, B.; Yu, H.; Li, H.; Feng, H. Estimation of the soil arsenic concentration using a geographically weighted XGBoost model based on hyperspectral data. Sci. Total Environ. 2023, 858, 159798. [Google Scholar] [CrossRef] [PubMed]
- Bai, Z.; Tian, J.; Hu, X.; Sun, T.; Luo, H.; Huang, D. A back-propagation neural network model using hyperspectral imaging applied to variety nondestructive detection of cereal. J. Food Process Eng. 2022, 45, e13973. [Google Scholar] [CrossRef]









| Method/Item | Fixed Value/Range | Notes |
|---|---|---|
| SNV | Per-spectrum, zero-mean/unit-variance | Each spectrum standardized independently |
| SG_1d | window = 11; poly = 3; derivative = 1 | Savitzky–Golay first derivative |
| BC_ALS | lambda = 1 × 105; p = 0.01, iterations = 10 | Asymmetric least squares; residual-weighted updates |
| SG_SNV | SG: window = 11, poly = 3 | Smoothing precedes scatter correction |
| SPA | Seed scan; forward step = 1, max_vars in (5,50) | Subset scored by internal PLSR (h5) |
| UVE | Noise vars = 20; CV = 5 | / |
| LassoCV | Standardize X; CV = 10, max_iter = 10,000 | Pipeline: Scaler LassoCV |
| PLS_VIP | PLS components h = 5 | h = 5 validated (sensitivity 3–8) |
| Form | Feature Selection | Selected Number of Bands | ||||
|---|---|---|---|---|---|---|
| SNV | SG_1d | BC_ALS | SG_SNV | None | ||
| compressed alfalfa | CARS_MIV | 8 | 20 | 54 | 25 | 20 |
| PLS_VIP | 60 | 106 | 112 | 60 | 8 | |
| Lasso | 8 | 8 | 8 | 8 | 31 | |
| SPA | 37 | 25 | 31 | 43 | 25 | |
| UVE | 89 | 20 | 112 | 54 | 37 | |
| powdered alfalfa | CARS_MIV | 48 | 43 | 8 | 31 | 8 |
| PLS_VIP | 112 | 48 | 43 | 106 | 112 | |
| Lasso | 8 | 10 | 3 | 13 | 8 | |
| SPA | 14 | 20 | 34 | 20 | 28 | |
| UVE | 60 | 54 | 20 | 60 | 8 | |
| Form | Feature Selection | Best Preprocessing | Best Model | Calibration | Prediction | RPD | ||
|---|---|---|---|---|---|---|---|---|
| Compressed alfalfa | CARS_MIV | SG_1d | BPNN | 0.882 | 1.128 | 0.883 | 1.196 | 2.922 |
| PLS_VIP | SNV | SVR | 0.886 | 1.092 | 0.891 | 1.176 | 3.029 | |
| Lasso | SG_1d | BPNN | 0.873 | 1.173 | 0.894 | 1.138 | 3.072 | |
| SPA | SG_1d | PLS | 0.868 | 1.194 | 0.834 | 1.426 | 2.451 | |
| UVE | SG_1d | BPNN | 0.890 | 1.089 | 0.892 | 1.150 | 3.041 | |
| Powdered alfalfa | CARS_MIV | SG_1d | RF | 0.978 | 0.747 | 0.980 | 0.714 | 7.098 |
| PLS_VIP | SG_1d | SVR | 0.925 | 1.390 | 0.987 | 0.571 | 8.886 | |
| Lasso | SG_1d | PLS | 0.938 | 1.267 | 0.985 | 0.619 | 8.192 | |
| SPA | SG_1d | SVR | 0.925 | 1.390 | 0.990 | 0.496 | 10.215 | |
| UVE | SG_1d | PLS | 0.932 | 1.329 | 0.982 | 0.68 | 7.457 | |
| Form | Pathway (P + FE + M) | (Mean) | (Y Range) | Mean ± Std, 95% CI, Min–Max | ||||
|---|---|---|---|---|---|---|---|---|
| RPD | ||||||||
| Compressed | SNV + None + SVR | 60 | 3.340.11 | 224 | 0.880.02, 0.87–0.89, 0.83–0.93 | 1.150.10, 1.11–1.19, 0.98–1.40 | 0.860.07, 0.83–0.89, 0.74–1.05 | 2.930.29, 2.80–3.06, 2.41–3.69 |
| Powdered | SG_1d + SPA + SVR | 33 | 5.120.19 | 1 | 0.950.03, 0.94–0.97, 0.87–0.98 | 1.06 0.38, 0.89–1.23, 0.70–1.87 | 0.72 0.13 0.67–0.78, 0.56–0.96 | 5.29 1.40, 4.68–5.91, 2.81–7.57 |
Disclaimer/Publisher’s Note: The statements, opinions and data contained in all publications are solely those of the individual author(s) and contributor(s) and not of MDPI and/or the editor(s). MDPI and/or the editor(s) disclaim responsibility for any injury to people or property resulting from any ideas, methods, instructions or products referred to in the content. |
© 2025 by the authors. Licensee MDPI, Basel, Switzerland. This article is an open access article distributed under the terms and conditions of the Creative Commons Attribution (CC BY) license (https://creativecommons.org/licenses/by/4.0/).
Share and Cite
Chu, H.; Ma, Y.; Fan, C.; Su, H.; Du, H.; Lei, T.; Hou, Z. Predicting Moisture in Different Alfalfa Product Forms with SWIR Hyperspectral Imaging: Key Wavelengths for Low-Cost Sensor Development. Agriculture 2025, 15, 2510. https://doi.org/10.3390/agriculture15232510
Chu H, Ma Y, Fan C, Su H, Du H, Lei T, Hou Z. Predicting Moisture in Different Alfalfa Product Forms with SWIR Hyperspectral Imaging: Key Wavelengths for Low-Cost Sensor Development. Agriculture. 2025; 15(23):2510. https://doi.org/10.3390/agriculture15232510
Chicago/Turabian StyleChu, Hongfeng, Yanhua Ma, Chunmao Fan, He Su, Haijun Du, Ting Lei, and Zhanfeng Hou. 2025. "Predicting Moisture in Different Alfalfa Product Forms with SWIR Hyperspectral Imaging: Key Wavelengths for Low-Cost Sensor Development" Agriculture 15, no. 23: 2510. https://doi.org/10.3390/agriculture15232510
APA StyleChu, H., Ma, Y., Fan, C., Su, H., Du, H., Lei, T., & Hou, Z. (2025). Predicting Moisture in Different Alfalfa Product Forms with SWIR Hyperspectral Imaging: Key Wavelengths for Low-Cost Sensor Development. Agriculture, 15(23), 2510. https://doi.org/10.3390/agriculture15232510
