Assessment of Grassland Biomass Prediction Using AquaCrop Model: Integrating Sentinel-2 Data and Ground Measurements in Wielkopolska and Podlasie Regions, Poland
Abstract
1. Introduction
2. Materials and Methods
2.1. In Situ Measurements
2.2. AquaCropP Model Overview
2.3. Data Processing Methodology
2.3.1. Required Input Data
2.3.2. Climatic Data
2.3.3. Soil Profile Characteristics
2.3.4. Biomass Data
3. Results
3.1. Correlation Analysis of Biomass and Climatic Factors
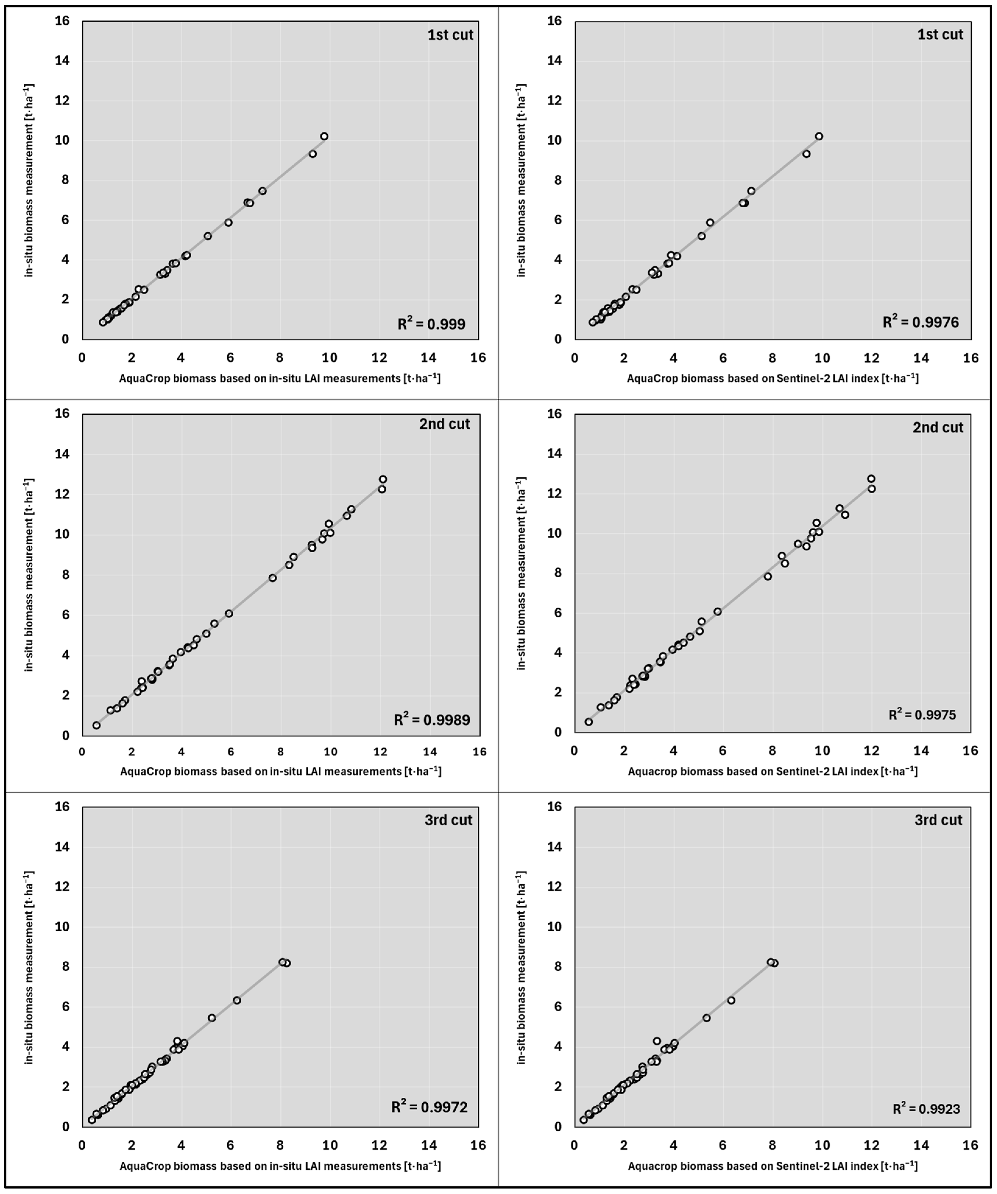
3.2. Grassland Biomass Prediction in the Podlasie Region
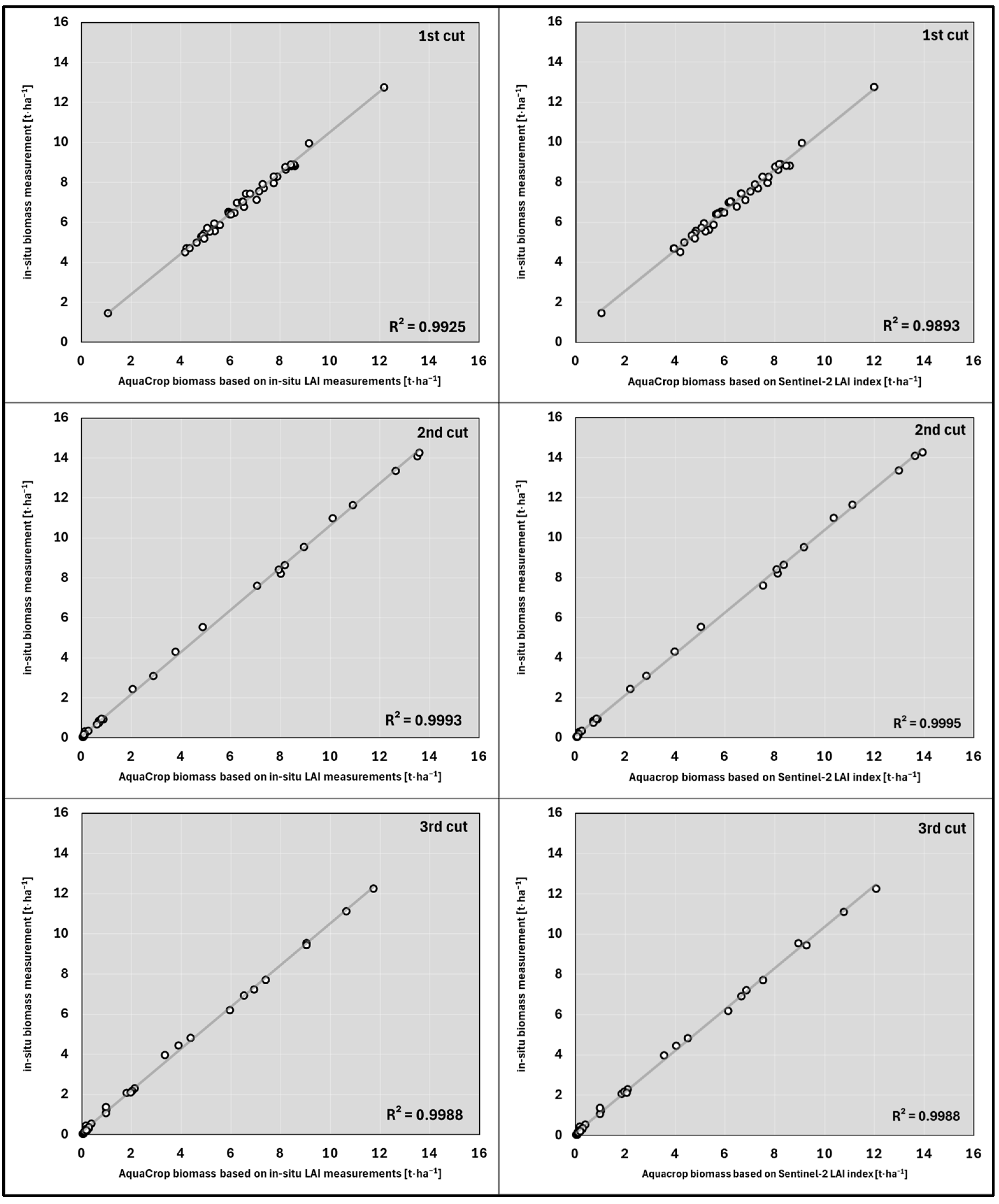
3.3. Grassland Biomass Prediction in the Wielkopolska Region
3.4. Comparative Evaluation of AquaCrop Model for Grass Biomass Prediction in Two Tested Regions
4. Discussion
5. Conclusions
Supplementary Materials
Author Contributions
Funding
Institutional Review Board Statement
Data Availability Statement
Acknowledgments
Conflicts of Interest
References
- Naicker, R.; Mutanga, O.; Peerbhay, K.; Odebiri, O. Estimating High-Density Aboveground Biomass within a Complex Tropical Grassland Using Worldview-3 Imagery. Environ. Monit. Assess. 2024, 196, 370. [Google Scholar] [CrossRef] [PubMed]
- Bazzo, C.O.G.; Kamali, B.; Hütt, C.; Bareth, G.; Gaiser, T. A Review of Estimation Methods for Aboveground Biomass in Grasslands Using UAV. Remote Sens. 2023, 15, 639. [Google Scholar] [CrossRef]
- Chen, P.; Wang, S.; Liu, Y.; Wang, Y.; Song, J.; Tang, Q.; Yao, Y.; Wang, Y.; Wu, X.; Wei, F. Spatio-temporal Dynamics of Aboveground Biomass in China’s Oasis Grasslands between 1989 and 2021. Earths Future 2024, 12, e2023EF003944. [Google Scholar] [CrossRef]
- GUS Agriculture in 2022. Available online: https://stat.gov.pl/en/topics/agriculture-forestry/agriculture/agriculture-in-2022,4,19.html (accessed on 16 April 2024).
- Gabryszuk, M.; Barszczewski, J.; Wróbel, B. Characteristics of Grasslands and Their Use in Poland. J. Water Land Dev. 2021, 243–249. [Google Scholar] [CrossRef]
- Adeboye, O.B.; Schultz, B.; Adeboye, A.P.; Adekalu, K.O.; Osunbitan, J.A. Application of the AquaCrop Model in Decision Support for Optimization of Nitrogen Fertilizer and Water Productivity of Soybeans. Inf. Process. Agric. 2021, 8, 419–436. [Google Scholar] [CrossRef]
- Panek, E.; Gozdowski, D.; Stępień, M.; Samborski, S.; Ruciński, D.; Buszke, B. Within-Field Relationships between Satellite-Derived Vegetation Indices, Grain Yield and Spike Number of Winter Wheat and Triticale. Agronomy 2020, 10, 1842. [Google Scholar] [CrossRef]
- Dabrowska-Zielinska, K.; Goliński, P.; Jørgensen, M.; Mølmann, J.; Taff, G.; Twardy, S.; Budzynska, M.; Czerwiński, M.; Kopacz, M.; Kurnicki, R.; et al. Importance of Grassland Monitoring in European Perspective of Climate Change—FINEGRASS Project. Geoinf. Issues 2016, 8, 55–71. [Google Scholar] [CrossRef]
- Panek, E.; Gozdowski, D. Relationship between MODIS Derived NDVI and Yield of Cereals for Selected European Countries. Agronomy 2021, 11, 340. [Google Scholar] [CrossRef]
- Gozdowski, D.; Stępień, M.; Panek, E.; Varghese, J.; Bodecka, E.; Rozbicki, J.; Samborski, S. Comparison of Winter Wheat NDVI Data Derived from Landsat 8 and Active Optical Sensor at Field Scale. Remote Sens. Appl. Soc. Environ. 2020, 20, 100409. [Google Scholar] [CrossRef]
- Terán-Chaves, C.A.; Mojica-Rodríguez, J.E.; Vega-Amante, A.; Polo-Murcia, S.M. Simulation of Crop Productivity for Guinea Grass (Megathyrsus Maximus) Using AquaCrop under Different Water Regimes. Water 2023, 15, 863. [Google Scholar] [CrossRef]
- Raes, D.; Steduto, P.; Hsiao, T.C.; Fereres, E. AquaCrop—The FAO Crop Model to Simulate Yield Response to Water: II. Main Algorithms and Software Description. Agron. J. 2009, 101, 438–447. [Google Scholar] [CrossRef]
- Vanuytrecht, E.; Raes, D.; Steduto, P.; Hsiao, T.C.; Fereres, E.; Heng, L.K.; Garcia Vila, M.; Mejias Moreno, P. AquaCrop: FAO’s Crop Water Productivity and Yield Response Model. Environ. Model. Softw. 2014, 62, 351–360. [Google Scholar] [CrossRef]
- Lombardo, S.; Mauromicale, G. Herbaceous Field Crops’ Cultivation. Agronomy 2021, 11, 742. [Google Scholar] [CrossRef]
- GUS Ochrona Środowiska i Leśnictwo w Województwie podlaskim w 2022 r. Available online: https://bialystok.stat.gov.pl/publikacje-i-foldery/ochrona-srodowiska/ochrona-srodowiska-i-lesnictwo-w-wojewodztwie-podlaskim-w-2022-r-,3,14.html (accessed on 16 April 2024).
- Castel, J.M.; Madry, W.; Gozdowski, D.; Roszkowska-Madra, B.; Dabrowski, M.; Lupa, W.; Mena, Y. Family Dairy Farms in the Podlasie Province, Poland: Farm Typology According to Farming System. Span. J. Agric. Res. 2010, 8, 946. [Google Scholar] [CrossRef]
- Goliński, P.; Czerwiński, M.; Jørgensen, M.; Mølmann, J.A.B.; Golińska, B.; Taff, G. Relationship between Climate Trends and Grassland Yield across Contrasting European Locations. Open Life Sci. 2018, 13, 589–598. [Google Scholar] [CrossRef] [PubMed]
- Bieńkowski, J.F.; Dąbrowicz, R.; Holka, M.; Jankowiak, J. Carbon Footprint of Rapeseed in Conventional Farming: Case Study of Large-Sized Farms in Wielkopolska Region (Poland). Asian J. Appl. Sci. Eng. 2014, 4, 191–200. [Google Scholar]
- Wang, Y.; Fang, H. Estimation of LAI with the LiDAR Technology: A Review. Remote Sens. 2020, 12, 3457. [Google Scholar] [CrossRef]
- Fang, H.; Baret, F.; Plummer, S.; Schaepman-Strub, G. An Overview of Global Leaf Area Index (LAI): Methods, Products, Validation, and Applications. Rev. Geophys. 2019, 57, 739–799. [Google Scholar] [CrossRef]
- AquaCrop|Land & Water|Food and Agriculture Organization of the United Nations|Land & Water|Food and Agriculture Organization of the United Nations. Available online: https://www.fao.org/land-water/databases-and-software/aquacrop/en/ (accessed on 10 April 2024).
- Er-Raki, S.; Bouras, E.; Rodriguez, J.C.; Watts, C.J.; Lizarraga-Celaya, C.; Chehbouni, A. Parameterization of the AquaCrop Model for Simulating Table Grapes Growth and Water Productivity in an Arid Region of Mexico. Agric. Water Manag. 2021, 245, 106585. [Google Scholar] [CrossRef]
- Mohamed Sallah, A.-H.; Tychon, B.; Piccard, I.; Gobin, A.; Van Hoolst, R.; Djaby, B.; Wellens, J. Batch-Processing of AquaCrop Plug-in for Rainfed Maize Using Satellite Derived Fractional Vegetation Cover Data. Agric. Water Manag. 2019, 217, 346–355. [Google Scholar] [CrossRef]
- Maniruzzaman, M.; Talukder, M.S.U.; Khan, M.H.; Biswas, J.C.; Nemes, A. Validation of the AquaCrop Model for Irrigated Rice Production under Varied Water Regimes in Bangladesh. Agric. Water Manag. 2015, 159, 331–340. [Google Scholar] [CrossRef]
- Umesh, B.; Reddy, K.S.; Polisgowdar, B.S.; Maruthi, V.; Satishkumar, U.; Ayyanagoudar, M.S.; Rao, S.; Veeresh, H. Assessment of Climate Change Impact on Maize (Zea Mays L.) through Aquacrop Model in Semi-Arid Alfisol of Southern Telangana. Agric. Water Manag. 2022, 274, 107950. [Google Scholar] [CrossRef]
- Kubiak-Wójcicka, K.; Machula, S. Influence of Climate Changes on the State of Water Resources in Poland and Their Usage. Geosciences 2020, 10, 312. [Google Scholar] [CrossRef]
- Mbangiwa, N.C.; Savage, M.J.; Mabhaudhi, T. Modelling and Measurement of Water Productivity and Total Evaporation in a Dryland Soybean Crop. Agric. For. Meteorol. 2019, 266–267, 65–72. [Google Scholar] [CrossRef]
- Zhang, T.; Zuo, Q.; Ma, N.; Shi, J.; Fan, Y.; Wu, X.; Wang, L.; Xue, X.; Ben-Gal, A. Optimizing Relative Root-Zone Water Depletion Thresholds to Maximize Yield and Water Productivity of Winter Wheat Using AquaCrop. Agric. Water Manag. 2023, 286, 108391. [Google Scholar] [CrossRef]
- Cheng, M.; Wang, H.; Fan, J.; Xiang, Y.; Liu, X.; Liao, Z.; Abdelghany, A.E.; Zhang, F.; Li, Z. Evaluation of AquaCrop Model for Greenhouse Cherry Tomato with Plastic Film Mulch under Various Water and Nitrogen Supplies. Agric. Water Manag. 2022, 274, 107949. [Google Scholar] [CrossRef]
- Raes, D. AquaCrop Training Handbook I. Understanding AquaCrop August 2023; Food and Agriculture Organization of the United Nations: Rome, Italy, 2023. [Google Scholar]
- Raes, D.; Steduto, P.; Hsiao, T.C.; Fereres, E. Reference Manual for AquaCrop Version 7.1—Chapter 2; Food and Agriculture Organization of the United Nations: Rome, Italy, 2023. [Google Scholar]
- Coudron, W.; Gobin, A.; Boeckaert, C.; De Cuypere, T.; Lootens, P.; Pollet, S.; Verheyen, K.; De Frenne, P.; De Swaef, T. Data Collection Design for Calibration of Crop Models Using Practical Identifiability Analysis. Comput. Electron. Agric. 2021, 190, 106457. [Google Scholar] [CrossRef]
- Leaf Area Index, CLMS. Available online: https://land.copernicus.eu/en/products/vegetation/high-resolution-leaf-area-index (accessed on 15 April 2024).
- Alavipanah, S.K.; Matinfar, H.R.; Emam, A.R.; Khodaei, K.; Bagheri, R.H.; Panah, Y. Criteria of Selecting Satellite Data for Studying Land Resources. Desert 2010, 15, 83–102. [Google Scholar]
- Stricevic, R.; Simic, A.; Kusvuran, A.; Cosic, M. Assessment of AquaCrop Model in the Simulation of Seed Yield and Biomass of Italian Ryegrass. Arch. Agron. Soil Sci. 2017, 63, 1301–1313. [Google Scholar] [CrossRef]
- Raes, D.; Fereres, E.; García Vila, M.; Curnel, Y.; Knoden, D.; Çelik, S.K.; Ucar, Y.; Türk, M.; Wellens, J. Simulation of Alfalfa Yield with AquaCrop. Agric. Water Manag. 2023, 284, 108341. [Google Scholar] [CrossRef]
- Terán-Chaves, C.A.; García-Prats, A.; Polo-Murcia, S.M. Calibration and Validation of the FAO AquaCrop Water Productivity Model for Perennial Ryegrass (Lolium Perenne L.). Water 2022, 14, 3933. [Google Scholar] [CrossRef]
- Stričević, R.; Dželetović, Z.; Djurović, N.; Cosić, M. Application of the AquaCrop Model to Simulate the Biomass of Miscanthus x Giganteus under Different Nutrient Supply Conditions. GCB Bioenergy 2015, 7, 1203–1210. [Google Scholar] [CrossRef]
- Dubis, B.; Jankowski, K.J.; Załuski, D.; Bórawski, P.; Szempliński, W. Biomass Production and Energy Balance of Miscanthus over a Period of 11 Years: A Case Study in a Large-scale Farm in Poland. GCB Bioenergy 2019, 11, 1187–1201. [Google Scholar] [CrossRef]






| Soil Textural Class | Soil Water Content (θ) | Ksat (mm/Day) | ||
|---|---|---|---|---|
| SAT (vol %) | FC (vol %) | PWP (vol %) | ||
| Loamy sand | 38 | 16 | 6 | 2200 |
| Loam | 46 | 31 | 15 | 500 |
| Silt loam | 46 | 33 | 13 | 575 |
| Sandy clay loam | 47 | 32 | 20 | 225 |
| Clay loam | 50 | 39 | 23 | 125 |
| Silty clay loam | 52 | 42 | 23 | 150 |
| Variable | In Situ Biomass | Dewpoint Temperature (2 m) | Tmax | Tmin | Surface Net Solar Radiation Sum | Total Precipitation | Date | ||||
|---|---|---|---|---|---|---|---|---|---|---|---|
| In situ biomass | 1.00 | −0.25 | 0.88 | 0.88 | 0.78 | 0.60 | 0.89 | ||||
| Dewpoint temperature (2 m) | −0.25 | 1.00 | −0.25 | −0.21 | −0.25 | −0.08 | −0.25 | ||||
| Tmax | 0.88 | −0.25 | 1.00 | 0.81 | 0.93 | 0.33 | 0.97 | ||||
| Tmin | 0.88 | −0.21 | 0.81 | 1.00 | 0.57 | 0.73 | 0.72 | ||||
| Surface Net Solar Radiation Sum | 0.78 | −0.25 | 0.93 | 0.57 | 1.00 | 0.05 | 0.97 | ||||
| Total precipitation | 0.60 | −0.08 | 0.33 | 0.73 | 0.05 | 1.00 | 0.28 | ||||
| Date | 0.89 | −0.25 | 0.97 | 0.72 | 0.97 | 0.28 | 1.00 | ||||
| r ≥ | −1 | −0.80 | −0.60 | −0.40 | −0.20 | 0.00 | 0.20 | 0.40 | 0.60 | 0.80 | 1.00 |
| Variable | In Situ Biomass | Dewpoint Temperature (2 m) | Tmax | Tmin | Surface Net Solar Radiation Sum | Total Precipitation | Date | ||||
|---|---|---|---|---|---|---|---|---|---|---|---|
| In situ biomass | 1.00 | 0.20 | −0.35 | −0.21 | −0.38 | 0.33 | −0.39 | ||||
| Dewpoint temperature (2 m) | 0.20 | 1.00 | −0.20 | −0.06 | −0.23 | 0.33 | −0.18 | ||||
| Tmax | −0.35 | −0.20 | 1.00 | 0.72 | 0.92 | −0.58 | 0.94 | ||||
| Tmin | −0.21 | −0.06 | 0.72 | 1.00 | 0.40 | 0.01 | 0.50 | ||||
| Surface Net Solar Radiation Sum | −0.38 | −0.23 | 0.92 | 0.40 | 1.00 | −0.77 | 0.98 | ||||
| Total precipitation | 0.33 | 0.33 | −0.58 | 0.01 | −0.77 | 1.00 | −0.64 | ||||
| Date | −0.39 | −0.18 | 0.94 | 0.50 | 0.98 | −0.64 | 1.00 | ||||
| r ≥ | −1 | −0.80 | −0.60 | −0.40 | −0.20 | 0.00 | 0.20 | 0.40 | 0.60 | 0.80 | 1.00 |
Disclaimer/Publisher’s Note: The statements, opinions and data contained in all publications are solely those of the individual author(s) and contributor(s) and not of MDPI and/or the editor(s). MDPI and/or the editor(s) disclaim responsibility for any injury to people or property resulting from any ideas, methods, instructions or products referred to in the content. |
© 2024 by the authors. Licensee MDPI, Basel, Switzerland. This article is an open access article distributed under the terms and conditions of the Creative Commons Attribution (CC BY) license (https://creativecommons.org/licenses/by/4.0/).
Share and Cite
Panek-Chwastyk, E.; Ozbilge, C.N.; Dąbrowska-Zielińska, K.; Wróblewski, K. Assessment of Grassland Biomass Prediction Using AquaCrop Model: Integrating Sentinel-2 Data and Ground Measurements in Wielkopolska and Podlasie Regions, Poland. Agriculture 2024, 14, 837. https://doi.org/10.3390/agriculture14060837
Panek-Chwastyk E, Ozbilge CN, Dąbrowska-Zielińska K, Wróblewski K. Assessment of Grassland Biomass Prediction Using AquaCrop Model: Integrating Sentinel-2 Data and Ground Measurements in Wielkopolska and Podlasie Regions, Poland. Agriculture. 2024; 14(6):837. https://doi.org/10.3390/agriculture14060837
Chicago/Turabian StylePanek-Chwastyk, Ewa, Ceren Nisanur Ozbilge, Katarzyna Dąbrowska-Zielińska, and Konrad Wróblewski. 2024. "Assessment of Grassland Biomass Prediction Using AquaCrop Model: Integrating Sentinel-2 Data and Ground Measurements in Wielkopolska and Podlasie Regions, Poland" Agriculture 14, no. 6: 837. https://doi.org/10.3390/agriculture14060837
APA StylePanek-Chwastyk, E., Ozbilge, C. N., Dąbrowska-Zielińska, K., & Wróblewski, K. (2024). Assessment of Grassland Biomass Prediction Using AquaCrop Model: Integrating Sentinel-2 Data and Ground Measurements in Wielkopolska and Podlasie Regions, Poland. Agriculture, 14(6), 837. https://doi.org/10.3390/agriculture14060837

