Effects of Straw Strip Covering on Yield and Water Use Efficiency of Potato cultivars with Different Maturities in Rain-Fed Area of Northwest China
Abstract
:1. Introduction
2. Materials and Methods
2.1. Description of the Experiment Site
2.2. Experimental Design
2.3. Field Management
2.4. Sampling and Measurement
2.4.1. Soil Temperature
2.4.2. Soil Moisture
2.4.3. Daily ET
2.4.4. Measurements of Yield, Tuber Size and WUE
2.5. Statistical Analysis
3. Results and Analysis
3.1. Soil Temperature
3.1.1. Mean Soil Temperature in 0–25 cm Soil Layer during Whole Growth Period
3.1.2. Average Soil Temperature in 0–25 cm Soil Layers at Different Growth Stages
3.2. Soil Moisture
3.2.1. Mean Soil Moisture in 0–200 cm Soil Layer during Whole Growth Period
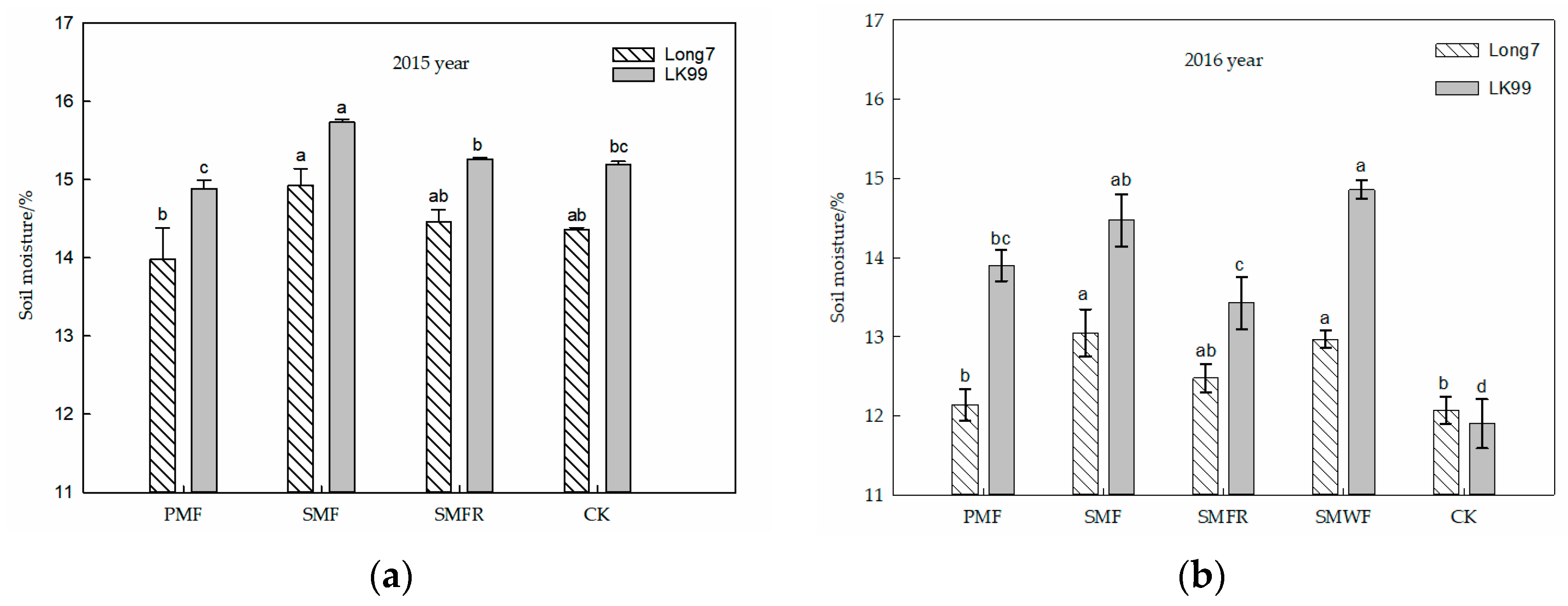
3.2.2. Average Soil Moisture in 0–25 cm Soil Layers at Different Growth Stages
3.3. Soil Water Consumption
3.4. Yield Components and Commidity Rate
3.5. Tuber Yield and Water Use Efficiency (WUE)
3.6. Relationship between Yield and Soil Moisture
3.7. Relationship between Yield and Soil Temperature
3.8. Relationship between Yield and Yield Components
4. Discussion
4.1. Effects of Mulching on Soil Temperature of Different Maturity Varieties
4.2. Effects of Mulching on Soil Moisture of Different Maturity Varieties
4.3. Effects of Mulching on Yield and WUE of Different Maturity Varieties
5. Conclusions
Author Contributions
Funding
Institutional Review Board Statement
Data Availability Statement
Acknowledgments
Conflicts of Interest
References
- Sun, D.X.; Shi, M.F.; Wang, Y.; Chen, X.P.; Liu, Y.H.; Zhang, J.L.; Qin, S.H. Effects of partial substitution of chemical fertilizers with organic fertilizers on potato agronomic traits, yield and quality. J. Gansu Agric. Univ. Available online: http://kns.cnki.net/kcms/detail/62.1055.S.20230113.1117.004.html (accessed on 11 January 2023).
- Li, Y.; Wang, N.; Pu, L.Y.; Guo, Y. Research status of potato planting machinery at home and abroad. Agric. Eng. 2022, 12, 15–20. [Google Scholar]
- Li, K.; Guo, H.C. Detection of Late blight Broad-spectrum Rpi Gene Markers and Field Verification of Resistance in 255 Potato Germplasm. J. Plant Genet. Resour. [CrossRef]
- Tang, J.; Wang, J.; Fang, Q.; Wang, E.; Yin, H.; Pan, X. Optimizing planting date and supplemental irrigation for potato across the agro-pastoral ecotone in North China. Eur. J. Agron. 2018, 98, 82–94. [Google Scholar] [CrossRef]
- Li, Q.; Li, H.; Zhang, L.; Zhang, S.; Chen, Y. Mulching improves yield and water-use efficiency of potato cropping in China: A meta-analysis. Field Crops Res. 2018, 221, 50–60. [Google Scholar] [CrossRef]
- Zhang, X.; Wang, Y.; Yuan, X.; Yang, Y. Regional land ecological security evaluation and ecological poverty alleviation practice: A case study of Yangxian County in Shaanxi Province, China. J. Geogr. Sci. 2022, 32, 682–700. [Google Scholar] [CrossRef]
- Chen, Y.L.; Liu, T.; Tian, X.H.; Wang, X.F.; Li, M.; Wang, S.X.; Wang, Z.H. Effects of plastic film combined with straw mulch on grain yield andwater use efficiency of winter wheat in Loess Plateau. Field Crops Res. 2015, 172, 53–58. [Google Scholar] [CrossRef]
- Wang, Z.C.; Li, X.Y.; Shi, H.B. Effects of residual plastic film on soil hydrodynamic parameters and soil structure. Trans. Chin. Soc. Agric. Mach. 2015, 46, 101–106, 140. [Google Scholar]
- Chai, S.X. A new technique of crop planting with straw strip mulching in rainfed area. J. Gansu Agric. Univ. 2014, 49, 42. [Google Scholar]
- Cai, T.Y.; Jia, Z.K.; Meng, L.; Guo, F.Q.; Yang, B.P.; Huang, Y.W.; Ren, X.L. Effects of different rates of straw mulch on soil moisture and yield of spring maize in Weibei Highland area of China. Trans. Chin. Soc. Agric. Eng. (Trans. CSAE) 2011, 27, 43–48. [Google Scholar]
- Li, H.; Chai, S.X.; Chang, L.; Wu, J.M.; Cheng, H.B.; Han, F.X.; Li, B.W.; Lan, X.M.; Wang, F.; Li, R. Effects of maize straw strip mulching on soil moisture and potato yield in Northwest semi-arid region of China. J. Soil Water Conserv. 2017, 31, 148–156. [Google Scholar]
- Chang, L.; Han, F.X.; Chai, S.X.; Cheng, H.B.; Yang, D.L.; Chen, Y.Z. Straw strip mulching affects soil moisture and temperature for potato yield in semiarid regions. Agron. J. 2020, 112, 1126–1139. [Google Scholar] [CrossRef]
- Chen, Y.; Chai, S.; Tian, H.; Chai, Y.; Li, Y.; Chang, L.; Cheng, H. Straw strips mulch on furrows improves water use efficiency and yield of potato in a rainfed semiarid area. Agric. Water Manag. 2019, 211, 142–151. [Google Scholar] [CrossRef]
- Li, H.; Wu, J.M.; Chai, S.X.; Chang, L.; Han, F.X.; Cheng, H.B. Effects of corn straw strip mulching on soil temperature and potato yield in Northwest arid land of China. J. Desert Res. 2018, 38, 592–599. [Google Scholar]
- Ma, J.T.; Cheng, Y.Z.; Cheng, H.b.; Lan, X.M.; Li, Y.W.; Li, R.; Chai, Y.W.; Chang, L.; Chai, S.X. Effects of different mulching methods on soil moisture-temperature and tuber yield of potato cultivars with different maturities. J. Irrig. Drain. 2020, 39, 7–16. [Google Scholar]
- IUSS Working Group WRB. World Reference Base for Soil Resources. International Soil Classification System for Naming Soils and Creating Legends for Soil Maps, 4th ed.; International Union of Soil Sciences (IUSS): Vienna, Austria, 2022. [Google Scholar]
- Wu, Y.; Huang, F.; Jia, Z.; Ren, X.; Cai, T. Response of soil water, temperature, and maize (Zea may L.) production to different plastic film mulching patterns in semi-arid areas of Northwest China. Soil Tillage Res. 2017, 166, 113–121. [Google Scholar] [CrossRef]
- Shi, X.S.; Li, F.H.; Pubu, D.J.; Gao, J.X.; Li, Y.F.; Qu, Z. Effect of Straw Mulching on Tillage Soil Temperature and Growth of Spring Highland Barley in High Altitude Cold Region. Trans. Chin. Soc. Agric. Mach. 2016, 47, 151–159. [Google Scholar]
- Fan, S.J.; Wang, D.; Zhang, J.L. Effects of different cultivation techniques on soil temperature, moisture and potato yield. Trans. CSAE 2011, 27, 216–221. [Google Scholar]
- Fu, Q.; Ma, Z.; Li, T.X.; Jiang, R.Q. Variability of Soil Temperature under Different Coverage Conditions in Alpine Region of China. Trans. Chin. Soc. Agric. Mach. 2014, 45, 152–159. [Google Scholar]
- Zhao, H.; Wang, R.Y.; Ma, B.L.; Xiong, Y.C.; Qiang, S.C.; Wang, C.L.; Liu, C.A.; Li, F.M. Ridge-furrow with full plastic fifilm mulching improves water use effificiency and tuber yields of potato in a semiarid rainfed ecosystem. Field Crops Res. 2014, 161, 137–148. [Google Scholar] [CrossRef]
- Feng, Y.; Hao, W.P.; Gao, L.L.; Li, H.R.; Gong, D.Z.; Cui, N.B. Comparison of maize water consumption at different scales between mulched and non-mulched croplands. Agric. Water Manag. 2019, 216, 315–324. [Google Scholar] [CrossRef]
- Liu, Z.D.; Gao, Y.; Liu, Z.G.; Duan, A.W. Effects of rainfall characteristics and covering methods on soil moisture of winter wheat. Trans. Chin. Soc. Agric. Eng. (Trans. CSAE) 2012, 28, 113–120. [Google Scholar]
- Li, R.; Hou, X.; Jia, Z.; Han, Q.; Ren, X.; Yang, B. Effects on soil temperature, moisture, and maize yield of cultivation with ridge and furrow mulching in the rainfed area of the Loess Plateau. China Agric. Water Manag. 2013, 116, 101–109. [Google Scholar] [CrossRef]
- Li, D.; Wang, F.L.; Zhang, L.; Zhao, F.G.; Li, R.; Hou, X.Q. Effect of Tillage Combined with Straw Mulching on Water Consumption Characteristics and Yield of Potato Under Different Precipitation Years. J. Soil Water Conserv. 2023, 37, 275–286. [Google Scholar]
- Yu, Y.Y.; Turner, N.C.; Gong, Y.H.; Li, F.M.; Fang, C.; Ge, L.J.; Ye, J.S. Benefits and limitations to straw- and plasticfilm mulch on maize yield and water use efficiency: A meta-analysis across hydrothermal gradients. Eur. J. Agron. 2018, 99, 138–147. [Google Scholar] [CrossRef]
- Zhang, D.; Hu, W.L.; Liu, H.B.; Du, L.F.; Xu, Y.; Cheng, Z.H.; Wang, H.Y. Characteristics of residual mulching film and residual coefficient of typical crops in North China. Transations Chin. Soc. Agric. Eng. 2016, 32, 2639–2646. [Google Scholar]






| Year-Variety | Treatments | Sowing to Seedling (mm) | Seedling to Expansiont (mm) | Expansion to Starch Accumulation Early (mm) | Starch Accumulates Early to Late Stage (mm) | The Late of Starch Accumulation to Harvest (mm) | Water Consumption during the Whole Growing Period (mm) |
|---|---|---|---|---|---|---|---|
| 2015-Long7 | PMF | 2.32 a | 2.71 b | 5.29 a | 0.91 c | 1.64 c | 2.56 a |
| SMF | 1.85 ab | 2.66 b | 4.35 c | 0.86 c | 2.67 a | 2.50 b | |
| SMFR | 1.64 b | 2.96 a | 4.18 c | 1.54 b | 2.38 b | 2.53 ab | |
| CK | 2.10 ab | 2.75 b | 4.85 b | 2.08 a | 1.71 c | 2.53 ab | |
| 2015-LK99 | PMF | 2.20 a | 3.30 b | 2.83 a | 0.49 b | 2.55 ab | |
| SMF | 1.55 b | 3.59 a | 1.75 c | 3.31 a | 2.51 ab | ||
| SMFR | 1.65 b | 3.29 b | 2.30 b | 2.72 a | 2.46 b | ||
| CK | 2.02 a | 3.36 ab | 1.61 c | 3.52 a | 2.60 a | ||
| 2016-Long7 | PMF | 0.52 b | 3.46 a | 2.27 a | 1.67 a | 0.82 bc | 1.52 a |
| SMF | 0.52 b | 3.09 b | 0.87 b | 0.46 bc | 2.12 a | 1.50 a | |
| SMFR | 0.97 a | 2.34 d | 2.61 a | 0.47 bc | 0.75 c | 1.33 b | |
| SMWF | 0.70 ab | 2.86 c | 1.16 b | 0.86 b | 1.68 b | 1.49 a | |
| CK | 0.70 ab | 2.72 c | 3.06 a | 0.13 c | 1.26 ab | 1.54 a | |
| 2016-LK99 | PMF | 0.09 b | 5.69 a | 0.90 e | 2.20 a | 0.19 c | 1.47 c |
| SMF | 0.45 b | 0.81 c | 6.26 a | 0.74 b | 1.34 b | 1.43 c | |
| SMFR | 0.99 a | 1.19 c | 3.68 c | 1.91 a | 1.64 ab | 1.65 b | |
| SMWF | 0.29 b | 0.62 c | 5.22 b | 1.77 a | 2.42 a | 1.57 bc | |
| CK | 1.27 a | 2.96 b | 2.51 d | 1.73 a | 1.51 ab | 1.84 a | |
| Years | ** | ** | ** | ** | ** | ** | |
| Varieties | NS | NS | NS | ** | NS | ** | |
| Mulch treatments | ** | ** | ** | ** | ** | ** | |
| Varieties × Years | NS | ** | ** | NS | NS | NS | |
| Years × Mulch treatments | ** | ** | ** | NS | NS | NS | |
| Varieties × Mulch treatments | * | ** | ** | * | ** | ** | |
| Years × Varieties × Mulch treatments | NS | ** | ** | * | NS | * | |
| Year-Variety | Treatments | Distribution of Tuber Weight in per Plants (%) | Total (kg) | Commidity Rate/% | Tuber Numbers of Different Grades in per Plants (%) | Total | ||||||
|---|---|---|---|---|---|---|---|---|---|---|---|---|
| Less than 50 g | 50–100 g | 100–150 g | Over 150 g | Less than 50 g | 50–100 g | 100–150 g | Over 150 g | |||||
| 2015- Long7 | PMF | 10.5 bc | 36.98 a | 25.66 b | 26.84 ab | 0.69 a | 89.48 a | 34.52 b | 38.02 a | 16.16 ab | 11.3 a | 8.83 a |
| SMF | 10.04 c | 28.83 b | 32.64 a | 28.48 a | 0.64 ab | 89.96 a | 41.36 ab | 28.34 b | 19.26 a | 11.04 a | 8.83 a | |
| SMFR | 15.03 a | 36.32 a | 26.58 b | 22.07 b | 0.66 ab | 84.97 c | 46.59 a | 31.10 ab | 14.21 b | 8.1 b | 5.37 b | |
| CK | 12.80 ab | 37.72 a | 26.24 b | 23.25 b | 0.62 b | 87.21 bc | 47.97 a | 30.54 ab | 13.36 b | 8.12 b | 9.70 a | |
| 2015- LK99 | PMF | 3.54 c | 9.53 a | 16.46 bc | 70.47 a | 0.62 b | 96.46 b | 22.79 b | 17.73 a | 18.50 b | 40.97 a | 4.67 c |
| SMF | 2.41 d | 11.33 a | 15.68 c | 70.57 a | 0.75 a | 97.59 a | 17.06 c | 20.66 a | 18.16 b | 44.12 a | 5.50 a | |
| SMFR | 4.42 b | 3.92 b | 21.50 a | 70.16 a | 0.66 ab | 95.58 c | 29.78 a | 6.74 b | 22.38 a | 41.1 a | 5.37 ab | |
| CK | 5.70 a | 13.40 a | 20.35 ab | 60.55 b | 0.60 b | 94.30 d | 27.33 a | 22.05 a | 19.99 ab | 30.64 b | 5.00 bc | |
| 2016- Long7 | PMF | 16.80 bc | 45.04 a | 22.94 a | 15.25 a | 0.55 a | 84.00 a | 41.22 bc | 39.75 ab | 13.41 a | 5.62 ab | 7.49 a |
| SMF | 14.34 c | 39.63 a | 25.24 a | 20.79 a | 0.43 b | 85.66 a | 32.18 c | 42.69 a | 15.81 a | 9.33 a | 5.62 b | |
| SMFR | 22.77 b | 36.49 a | 24.95 a | 15.79 a | 0.42 b | 77.23 b | 48.62 b | 32.65 abc | 12.83 a | 5.90 ab | 6.67 ab | |
| SMWF | 37.62 a | 39.08 a | 17.25 ab | 6.05 a | 0.32 c | 65.44 c | 63.59 a | 27.79 c | 7.54 b | 1.08 b | 6.62 ab | |
| CK | 37.79 a | 44.91 a | 13.21 b | 4.09 a | 0.26 c | 62.21 c | 62.97 a | 30.65 bc | 5.23 b | 1.16 b | 5.84 b | |
| 2016- LK99 | PMF | 15.05 b | 49.82 a | 24.66 a | 10.47 ab | 0.42 a | 84.95 a | 33.95 c | 47.43 a | 14.44 a | 4.19 ab | 6.00 a |
| SMF | 17.75 b | 36.19 a | 31.90 a | 14.16 ab | 0.38 a | 82.25 a | 45.19 b | 32.15 bc | 17.34 a | 5.32 ab | 5.93 a | |
| SMFR | 15.73 b | 40.74 a | 28.55 a | 14.98 ab | 0.33 b | 84.27 a | 37.28 bc | 39.55 ab | 17.34 a | 5.83 ab | 4.51 b | |
| SMWF | 13.60 b | 41.55 a | 26.68 a | 18.17 a | 0.39 a | 86.40 a | 38.07 bc | 39.77 ab | 15.47 a | 6.68 a | 5.60 a | |
| CK | 53.63 a | 41.99 a | 4.37 b | 0.00 b | 0.21 c | 46.37 b | 71.45 a | 27.16 c | 1.39 b | 0.00 b | 5.93 a | |
| Years | ** | ** | NS | ** | ** | ** | ** | ** | ** | ** | ** | |
| Varieties | ** | ** | ** | ** | NS | ** | ** | ** | ** | ** | ** | |
| Mulch treatments | ** | NS | ** | ** | ** | ** | ** | ** | ** | ** | NS | |
| Varieties × Years | NS | ** | ** | ** | NS | NS | ** | ** | NS | ** | ** | |
| Years × Mulch treatments | ** | NS | NS | NS | NS | NS | NS | NS | NS | NS | * | |
| Varieties × Mulch treatments | ** | NS | ** | NS | NS | ** | ** | * | ** | NS | * | |
| Years × Varieties × Mulch treatments | ** | NS | NS | NS | NS | ** | ** | ** | NS | ** | NS | |
| Year-Variety | Treatments | Soil Water Storage before Seeding /mm | Soil Water Storage Harvest /mm | Amount of Rainfall in the Growth Period /mm | Crop Water Consumption/mm | Yield /kg•hm−2 | WUE/ kg·(mm·hm2)−1 | Yield Is More than CK/% | WUE Is More than CK/% |
|---|---|---|---|---|---|---|---|---|---|
| 2015-Long7 | PMF | 446.30 | 302.06 a | 281.10 | 402.30 a | 39,784.40 a | 98.89 a | 12.50 | 11.08 |
| SMF | 422.01 | 306.48 a | 281.10 | 396.63 a | 36,689.70 a | 92.50 a | 3.75 | 3.90 | |
| SMFR | 407.94 | 296.75 a | 281.10 | 392.28 a | 33,645.90 b | 85.77 a | −4.86 | −3.66 | |
| CK | 421.55 | 305.44 a | 281.10 | 397.21 a | 35,363.40 b | 89.03 a | |||
| 2015-LK99 | PMF | 446.30 | 338.25 ab | 230.60 | 315.60 a | 35,474.70 b | 112.40 b | 3.41 | 5.52 |
| SMF | 422.01 | 341.55 a | 230.60 | 311.06 a | 42,867.90 a | 137.81 a | 24.96 | 29.37 | |
| SMFR | 407.94 | 333.02 b | 230.60 | 305.52 a | 37,495.50 ab | 122.73 ab | 9.30 | 15.21 | |
| CK | 421.55 | 330.10 b | 230.60 | 322.04 a | 34,305.30 b | 106.52 b | |||
| 2016-Long7 | PMF | 376.14 | 292.11 ab | 201.80 | 285.83 a | 31,209.30 a | 109.19 a | 72.26 | 105.58 |
| SMF | 373.65 | 285.82 b | 201.80 | 289.62 a | 24,463.50 b | 84.47 bc | 63.17 | 59.04 | |
| SMFR | 370.71 | 322.63 a | 201.80 | 249.88 b | 24,111.00 b | 96.49 ab | 60.82 | 81.68 | |
| SMWF | 376.46 | 298.11 ab | 201.80 | 280.14 ab | 18,117.60 c | 64.67 cd | 20.85 | 21.77 | |
| CK | 366.68 | 286.20 b | 201.80 | 282.28 ab | 14,992.20 c | 53.11 d | |||
| 2016-LK99 | PMF | 376.14 | 299.91 a | 113.10 | 189.34 b | 24,089.40 a | 127.23 a | 98.01 | 147.80 |
| SMF | 373.65 | 302.36 a | 113.10 | 184.39 b | 21,778.80 a | 118.11 a | 79.02 | 130.04 | |
| SMFR | 370.71 | 271.02 b | 113.10 | 212.79 ab | 18,812.40 a | 88.41 ab | 54.64 | 72.18 | |
| SMWF | 376.46 | 287.63 ab | 113.10 | 201.93 ab | 22,024.35 a | 109.07 a | 81.04 | 112.43 | |
| CK | 366.68 | 242.84 c | 113.10 | 236.94 a | 12,165.20 b | 51.34 b | / | / | |
| Year | / | / | / | ** | ** | NS | / | / | |
| Varieties | / | / | / | ** | NS | ** | / | / | |
| Mulch treatments | / | / | / | ** | ** | ** | / | / | |
| Varieties × Year | / | / | / | NS | NS | NS | / | / | |
| Year × Mulch treatments | / | / | / | NS | NS | NS | / | / | |
| Varieties × Mulch treatments | / | / | / | ** | NS | * | / | / | |
| Year × Varieties × Mulch treatments | / | / | / | ** | NS | * | / | / | |
| Factor | Seedling | Initiation | Expansion | Starch Accumulates Stage | Harvest | During the Whole Growing Period |
|---|---|---|---|---|---|---|
| Yield−2015-long7 | 0.466 | 0.023 | −0.003 | 0.490 | 0.217 | 0.256 |
| Yield−2015-LK99 | 0.585 * | −0.281 | 0.226 | 0.594 * | 0.290 | 0.138 |
| Yield−2016-long7 | 0.886 ** | −0.173 | 0.182 | −0.237 | 0.085 | 0.091 |
| Yield−2016-LK99 | 0.910 ** | 0.477 | 0.727 ** | 0.767 ** | 0.857 ** | 0.822 ** |
| Factor | Seedling | Initiation | Expansion | Starch Accumulates Stage | Harvest | During the Whole Growing Period |
|---|---|---|---|---|---|---|
| Yield-2015-long7 | 0.397 | 0.020 | 0.342 | 0.456 | 0.535 | 0.511 * |
| Yield-2015-LK99 | 0.227 | 0.334 | −0.057 | −0.352 | −0.397 | −0.282 |
| Yield-2016-long7 | 0.579 * | 0.053 | 0.302 | 0.447 | 0.449 | 0.423 |
| Yield-2016-LK99 | 0.108 | −0.200 | −0.280 | −0.072 | 0.062 | −0.036 |
| Factor | Tuber Numbers of Different Grades in per Plant (%) | Total | Distribution of Tuber Weight in per Plant (%) | Total (kg) | ||||||
|---|---|---|---|---|---|---|---|---|---|---|
| Less than 50 g | 50–100 g | 100–150 g | Over 150 g | Less than 50 g | 50–100 g | 100–150 g | Over 150 g | |||
| Yield-2015-long7 | −0.360 | 0.165 | −0.454 | 0.494 | −0.264 | −0.453 | 0.442 | −0.154 | 0.531 | 0.586 * |
| Yield-2015-LK99 | −0.692 * | −0.255 | −0.431 | 0.558 | −0.383 | −0.693 * | −0.103 | −0.274 | 0.716 ** | 0.732 ** |
| Yield-2016-long7 | −0.764 ** | 0.018 | 0.613 * | 0.449 | −0.235 | −0.720 ** | 0.551 * | 0.730 ** | 0.477 | 0.817 ** |
| Yield-2016-LK99 | −0.790 ** | 0.025 | 0.543 * | 0.683 ** | −0.375 | −0.722 ** | 0.457 | 0.584 * | 0.668 ** | 0.776 ** |
Disclaimer/Publisher’s Note: The statements, opinions and data contained in all publications are solely those of the individual author(s) and contributor(s) and not of MDPI and/or the editor(s). MDPI and/or the editor(s) disclaim responsibility for any injury to people or property resulting from any ideas, methods, instructions or products referred to in the content. |
© 2023 by the authors. Licensee MDPI, Basel, Switzerland. This article is an open access article distributed under the terms and conditions of the Creative Commons Attribution (CC BY) license (https://creativecommons.org/licenses/by/4.0/).
Share and Cite
Liu, P.; Chai, S.; Chang, L.; Zhang, F.; Sun, W.; Zhang, H.; Liu, X.; Li, H. Effects of Straw Strip Covering on Yield and Water Use Efficiency of Potato cultivars with Different Maturities in Rain-Fed Area of Northwest China. Agriculture 2023, 13, 402. https://doi.org/10.3390/agriculture13020402
Liu P, Chai S, Chang L, Zhang F, Sun W, Zhang H, Liu X, Li H. Effects of Straw Strip Covering on Yield and Water Use Efficiency of Potato cultivars with Different Maturities in Rain-Fed Area of Northwest China. Agriculture. 2023; 13(2):402. https://doi.org/10.3390/agriculture13020402
Chicago/Turabian StyleLiu, Pengxia, Shouxi Chai, Lei Chang, Fengwei Zhang, Wei Sun, Hua Zhang, Xiaolong Liu, and Hui Li. 2023. "Effects of Straw Strip Covering on Yield and Water Use Efficiency of Potato cultivars with Different Maturities in Rain-Fed Area of Northwest China" Agriculture 13, no. 2: 402. https://doi.org/10.3390/agriculture13020402
APA StyleLiu, P., Chai, S., Chang, L., Zhang, F., Sun, W., Zhang, H., Liu, X., & Li, H. (2023). Effects of Straw Strip Covering on Yield and Water Use Efficiency of Potato cultivars with Different Maturities in Rain-Fed Area of Northwest China. Agriculture, 13(2), 402. https://doi.org/10.3390/agriculture13020402
