Next Article in Journal
Compression Strength and Critical Impact Speed of Typical Fertilizer Grains
Previous Article in Journal
Baseline Susceptibility to a Novel dsRNA-Based Insecticide across US Populations of Colorado Potato Beetle
 
 
Font Type:
Arial Georgia Verdana
Font Size:
Aa Aa Aa
Line Spacing:
Column Width:
Background:
Article

Solid–Liquid Separation and Its Environmental Impact on Manure Treatment in Scaled Pig Farms—Evidence Based on Life Cycle Assessment

1
State Key Laboratory of Efficient Utilization of Arid and Semi-Arid Arable Land in Northern China, Institute of Agricultural Resources and Regional Planning, Chinese Academy of Agricultural Sciences, Beijing 100081, China
2
Water Conservancy Engineering College, Fujian Coll Water Conservancy & Elect Power, Sanming 366000, China
3
State Key Laboratory of Agricultural Environment, Ministry of Agriculture/Institute of Environment and Sustainable Development in Agriculture, Chinese Academy of Agricultural Sciences, Beijing 100081, China
*
Author to whom correspondence should be addressed.
Agriculture 2023, 13(12), 2284; https://doi.org/10.3390/agriculture13122284
Submission received: 5 November 2023 / Revised: 11 December 2023 / Accepted: 14 December 2023 / Published: 16 December 2023
(This article belongs to the Special Issue Research on Resource Utilization of Green Agricultural Waste)

Abstract

:
Recently, there has been a significant focus on the issue of pollution caused by livestock and poultry rearing, which is recognized as a prominent contributor to nonpoint source pollution in the agricultural sector. This study employed the life cycle assessment (LCA) methodology to evaluate the environmental impact of several pig manure processing scenarios with the aim of determining the appropriate solid–liquid separation tool for large-scale pig farms. The findings indicate that the utilization of a screw extruder for solid–liquid separation in Scenario 2 has a lower environmental impact. In contrast to Scenario 1, Scenario 2 exhibits reduced environmental potential in the areas of global warming, human toxicity, acidification, and eutrophication. Specifically, the global warming, human toxicity, acidification, and eutrophication impacts decreased by 56%, 81%, 83%, and 273%, respectively, due to the implementation of solid–liquid separation. The type of solid–liquid separation equipment used during the processing of swine manure, as well as the subsequent treatment, have a significant impact on environmental emissions. Compared to Scenario 2, Scenario 3, which utilizes a centrifugal microfilter for solid–liquid separation, exhibits a lower environmental impact in terms of human toxicity, resulting in a reduction of 0.736 kg DCB-eq. In general, solid–liquid separation is a viable and environmentally friendly method for the disposal of waste from large-scale pig farms. The adoption of this method is highly recommended. During its implementation, careful consideration should be given to factors such as separation efficiency and pollution emissions. It is crucial to select appropriate equipment for solid–liquid separation to effectively process the waste.

1. Introduction

The management of swine manure treatment has become the focus of attention in the farming industry. In 2022, the number of live pigs in China was 452.56 million, an increase of 3.34 million over the previous year [1]. With the rapid development of the pig breeding industry, the number of live pigs has greatly increased, resulting in large and concentrated fecal discharge. If a large amount of pig manure is not treated properly, it will cause pollutant discharge, lead to environmental problems such as climate change, acidification and eutrophication, and harm the environment [2]. Swine manure has a significant concentration of contaminants, and its composition is complex. Therefore, it is necessary to employ effective pretreatment strategies to mitigate posttreatment challenges and achieve optimal treatment outcomes. The importance of solid–liquid separation as a fundamental tool for the treatment of swine manure has been widely acknowledged in the literature [3]. This method can produce a solid fraction that can be used as a high-nutrient fertilizer [4] and a liquid fraction that is used for anaerobic digestion to produce renewable energy biogas [5], thereby reducing pollutants in the waste and lowering the burdens of subsequent treatments.
Currently, the prevailing methods for solid–liquid separation encompass settling separation and mechanical separation techniques. The process of settling separation involves the utilization of gravitational forces to separate solid suspended particles that are insoluble in water from manure. The efficacy of the separation process is predominantly determined by various elements, including the duration of settling, the density of particles, and the concentration of solids [6]. The utilization of this method is widespread in the management of livestock waste due to its cost-effectiveness and operational simplicity. The process of settling separation has been identified as an effective method for the removal of suspended solids and chemical oxygen demand (COD) from manure. It is essential to note, however, that the efficiency of this separation method is relatively low and the solid portion of the waste that is separated still contains a significant amount of water [7]. Mechanical separation mainly includes three methods: screening, centrifugation and pressure filtration. Compared with settling separation, mechanical separation is more efficient. Simultaneously, a chemical flocculant (FeCl3, Al2(SO4)3 and PAM) is added to the mechanical separation, which significantly increases the separation efficiency [8]. The results indicate that the addition of FeCl3 significantly improves the separation rate and quality of manure [9]. The separation efficiencies of different solid–liquid separation technologies in detail are shown in Table 1.
Even though numerous solid–liquid separation methods have been effectively evaluated, demonstrating promising progress in enhancing the solid–liquid separation efficiency, their environmental impacts remain unknown. Previous studies have predominantly focused on comparing and analyzing the effectiveness of solid–liquid separation methods. They aimed to evaluate the advantages, disadvantages, applicable scenarios, separation outcomes, and cost-effectiveness of each respective separation technology [14,15,16], but few studies have examined the environmental impact assessment of various solid–liquid separation methods. Variations in solid–liquid separation technologies can influence the efficiency of anaerobic digestion, subsequently yielding diverse environmental performance outcomes. The management of swine manure is a complex undertaking that encompasses various stages and processes. To obtain a thorough evaluation of the environmental impact, it is imperative to conduct a comprehensive analysis. Life cycle assessment (LCA) is a widely recognized method for assessing the environmental impact of a product or behavior over its entire life cycle. In recent years, it has been increasingly utilized by scholars to examine livestock refuse treatment. Ten Hoeve et al. [17] compared three swine manure treatment scenarios, including solid–liquid separation, acidification pretreatment and their combination. The results showed that solid–liquid separation of pig manure had a favorable influence on environmental categories such as climate change and eutrophication and may significantly reduce greenhouse gas emissions and have a positive effect on the environment. De Vries et al. [18] assessed the life cycle environmental consequences and reduction potential of segregating pig urine and feces with an innovative V-belt system and compared it to conventional liquid manure management. The results showed that the V-belt system can effectively reduce global warming. Li et al. [19] used the life cycle assessment (LCA) method to compare the environmental emission of pollutants from Scenario 1, which completed the utilization of dairy manure, and Scenario 2, which standardized the processing of dairy slurry in two intensive dairy farms. The results show that the scenario of cow dung returning to the field has a lower total environmental impact potential. At present, the literature on the life cycle assessment of manure treatment primarily focuses on the whole system of manure treatment, including evaluation of the environmental impacts of various aerobic composting systems, anaerobic digestion systems, and manure transport systems. These evaluations aimed to furnish valuable insights for large-scale farms in selecting appropriate manure treatment technologies [20,21,22], but there are few reports on systematic evaluation of different solid–liquid separation methods and subsequent treatment, the solid–liquid separation methods only were taken as a pretreatment method and brought into the manure treatment system, and the environmental impact caused by different solid–liquid separation technologies has not been compared. The main aim of this study was to evaluate several solid–liquid separation methods from an environmental perspective. In this study, life cycle assessment (LCA) was used to assist policymakers in selecting the best available methods with the highest energy balance and lowest environmental impacts. The findings of this study offer recommendations for the choice of solid–liquid separation methods and subsequent treatment approaches for livestock waste.

2. Materials and Methods

2.1. Goal and Scope Definition

The objective of this research is to conduct a comprehensive analysis of the environmental consequences associated with various swine manure treatment strategies using life cycle assessment (LCA). Additionally, the study aims to investigate the potential environmental implications resulting from different solid–liquid separation methods and separation durations. Furthermore, the research seeks to assess the merits and drawbacks of distinct solid–liquid separation methods.
Life cycle assessment (LCA) is an analytical method used to evaluate the potential impact of the input and output of a product or production process on the environment. The present study utilizes the LCA program SimaPro 9.0.3 for analysis, adhering to the environmental impact assessment standard method CML2001 [23], as stipulated by the international standards ISO14040 [24] and ISO14044 [25]. Referencing McClelland et al.’s [26] research on the number and frequency of environmental impact categories used in the life cycle assessment of livestock manure, we evaluated the five environmental impact categories most pertinent to manure management: global warming, acidification, eutrophication, abiotic depletion, and human toxicity. The environmental impact assessment categories in detail are shown in Table 2.
In this study, 1 ton of fresh swine manure was selected as the functional unit, and the main components of the fresh swine manure included 0.29 tons of dry manure and 0.71 tons of pig urine [27]. The physical and chemical properties of the pig manure and pig urine in detail are shown in Table 3. The identical functional units guarantee that the same number of nutrients and dry matter enter the system.

2.2. Scenario Description

The system boundary is established from the initial stage of swine manure collection to the final stage of swine manure resource utilization. This study focuses on the energy input and pollutant emission associated with various stages of swine manure management, namely, collection and storage, solid–liquid separation, anaerobic fermentation, composting, and field application. The pig breeding process is excluded from this analysis. The comparative analysis is conducted using three distinct swine manure management scenarios.

2.2.1. Scenario 1

To mitigate breeding expenses, extensive pig farms frequently employ dung leakage floors as a means to gather manure, thereby facilitating efficient waste removal and maintaining hygienic conditions within pig enclosures. The gap size of the manure leakage floor is closely related to the breeding pig species. Construction of intensive pig farms (GB/T 17824.1-2008 [33]) specifies the gap width corresponding to the manure leakage floor in different pig houses in detail, as shown in Table 4.
Pig manure, pig urine, and wastewater are collected through the manure leakage floor and temporarily stored in the manure storage tank below the floor before being collectively discharged to the storage tank outside the building for subsequent treatment after the pigs have been transferred or put out into the pen [34]. Previous research has demonstrated that the storage of manure for more than 6 months can effectively kill pathogenic bacteria in the manure; therefore, this study assumes that swine manure is stored for 6 months and then returned to the field after being composted [32]. The system boundary of Scenario 1 is shown in Figure 1.

2.2.2. Scenario 2

In Scenario 2, swine manure is stored in a storage vessel for one month before entering a screw extruder through a pipeline to separate the solid and liquid fractions. There is a direct relationship between the aperture size of the screen in the screw extruder and the effectiveness of solid separation. Specifically, when the aperture size decreases, the solid separation efficiency increases [10]. To enhance the separation effectiveness of swine manure, a screen with an aperture size of 0.3 mm is chosen for implementation. At present, turning and trough composting have become the most popular composting methods in China [35]. Consequently, the solid fractions are subjected to composting using trough composting tools according to the Technical Specification for Animal Manure Composting (NY/T3442-2019 [36]). It is stipulated that the composting temperature should be sustained at a minimum of 55 °C for a duration of no less than 7 days. Therefore, the research project established a composting period of 30 days. The liquid fraction sequentially flows into the regulating tank and the continuous stirring tank reactor. Continuous agitation by the agitator in the tank promotes the production of biogas, and the desulfurized biogas enters the boiler for combustion to generate steam for power generation. Following the process of digestion, the residual biogas slurry undergoes complete decomposition and fermentation. Subsequently, it is conveyed through a pipeline to the field, where it is utilized as a soil conditioner. The Scenario 2 system boundary is shown in Figure 2.

2.2.3. Scenario 3

In Scenario 3, swine manure is stored for 30 days, transported from the farm to the pretreatment tank by manure truck, entirely stirred by a stirring pump, and then passed through the centrifugal microfilter to achieve solid–liquid separation. The solid portion that has been separated is subjected to windrow composting. Based on the technical specification for animal manure composting (NY/T3442-2019), it is recommended to maintain a minimum composting temperature of 55 °C for a duration of at least 15 days in the case of windrow composting. Consequently, the duration of the composting period in this study is established as 30 days. The liquid fraction is treated by a single stage up-flow anaerobic sludge blanket (UASB) reactor, and the specific process is shown in Figure 3.
The separated liquid is anaerobically digested for 30 days to generate biogas. The separated liquid fraction enters the up-flow anaerobic sludge bed to generate biogas. The remaining sewage after anaerobic digestion is precipitated and then enters the AO tank for the AO process treatment. The AO process, also known as the anaerobic–aerobic process, involves two key stages: A (Anaerobic) for nitrogen and phosphorus removal, and O (Oxic) for aerobic treatment targeting organic matter in water. In the anaerobic phase, heterotrophic bacteria play a vital role by hydrolyzing suspended pollutants and soluble organic substances in the sewage into organic acids. This process leads to the decomposition of macromolecular organic compounds into smaller molecules and the conversion of insoluble organic substances into soluble forms. Within the anaerobic stage, heterotrophic bacteria ammonify pollutants such as proteins and fats, releasing ammonia. With an ample oxygen supply, autotrophic bacteria facilitate nitrification, oxidizing NH3-N (NH4+) into NO3. The treated water then returns to Pool A through controlled reflux. Under anaerobic conditions, heterotrophic bacteria perform denitrification, reducing NO3 to molecular nitrogen (N2), thereby achieving comprehensive carbon and nitrogen removal. PAC flocculant is added to separate the biogas slurry and digestate. The biogas digestate is composted and applied to farmland, and the biogas slurry is partially discharged up to industry standards. The Scenario 3 system boundary is shown in Figure 4.
The system boundaries of the three scenarios start with the collection and transportation of manure to the treatment area. Table 5 summarizes the characteristics and differences of the three swine manure treatment scenarios.

2.3. Life Cycle Inventory

The data used in the life cycle inventory mainly come from the related literature and the data in the SimaPro 9.0.3 software database. Previous studies have shown that the inclusion of equipment production in the life cycle inventory will not have an environmental impact on the manure treatment system [37], so the environmental emissions caused by the production process of swine manure treatment facilities are not considered.

2.3.1. Collection and Storage

In this study, the leakage floor is used to collect swine manure, and pig urine and manure slips into the manure storage tank due to gravity. The storage mode, storage time and outside temperature are the main factors affecting gas emissions. Based on the field investigation and related research, this study assumes that all three scenarios are stored in open manure storage tanks and the outside temperature is 15–20 °C. In Scenario 1, the manure is stored for 180 days to make it fully fermented, and in Scenario 2 and Scenario 3, the manure is stored for 30 days. The main gases emitted during storage include ammonia (NH3) and methane (CH4). During the emission process, the dynamic box method is employed to systematically monitor the gas emission patterns throughout the storage of livestock manure. To facilitate precise measurements of emissions during storage, an integrated system comprising an air compressor, mass flowmeter, and gas distributor is deployed.
The N2O and NH3 emissions during the storage of swine manure refer to the research of Li [38], which are 0.002 kg N2O-N/kg TN and 0.105 kg NH3-N/kg TN; CO2 and CH4 emission factors during storage refer to the research of Cui [39], and the average emission factors of CO2 and CH4 are 3.10 mg/kg and 1.425 mg/kg, respectively. The emissions of N2O, NH3, CO2 and CH4 during storage are calculated according to the following formulas:
E N 2 O = E F N 2 O × T N ÷ 1000 × 44 28 × D
E N H 3 = E F N H 3 × T N ÷ 1000 × 17 14 × D
E C O 2 = E R C O 2 × M P M × H
E C H 4 = E R C H 4 × M P M × H
where E stands for gas emissions during composting, kg, and represents greenhouse gas emission factors during swine manure storage, and the units are kg N2O-N/kg TN and kg NH3-N/kg TN, respectively; D and H represent the storage time of swine manure, and the units are days and hours, respectively, and they represent the emission rate of greenhouse gases during the storage of swine manure, and the unit is mg/kg; and MPM is the mass of swine manure, and the unit is kg.

2.3.2. Solid–Liquid Separation

Scenario 2 and Scenario 3 have short residence times in the process of solid-–liquid separation, so the direct emission during the period is not considered, and only the indirect emission caused by mechanical power consumption needs to be considered. Scenario 2 uses a screw extruder to separate swine manure. Assuming that the power consumption of the screw extruder is 4.88 kWh per ton of swine manure, the separation efficiency of the screw extruder refers to the research of Moller [40]. The separation efficiency of TS is 19.2–49.4%, TN is 4.4–19.2%, and TP is 12.8–49.2%. The physical and chemical properties of swine manure after solid–liquid separation in detail are shown in Table 6.
Scenario 3 uses a centrifugal microfilter to separate swine manure. During operation, the power-consuming equipment includes a microfilter, screw pump and agitator pump. In this study, it is assumed that the energy consumption for treating 1 m3 wastewater is 2.42 kWh, 1.655 kWh and 0.44 kWh [43], and the total energy consumption for treating 1 FU swine manure is 4.43 kWh. The separation efficiency of the centrifugal microfilter refers to the research of Hu [43]. After separation, the DM, VS and COD removal efficiencies are 45–55%, while the removal rates of TN and TP are between 30% and 50%.

2.3.3. Anaerobic Digestion

Emissions in the anaerobic digestion stage mainly include power consumption caused by the use of machinery during the digestion of swine manure and gas emissions caused by biogas leakage during biogas production and transportation. Scenario 2 uses a continuous stirring tank reactor for anaerobic digestion, with a digestion cycle of 30 days and a total consumption of 47.64 kWh of electricity. Previous studies have shown that the gas production rate of swine manure is 0.328 m3/kg TS [44]. Scenario 3 uses a UASB in the anaerobic digestion process, and according to Chao’s [45] research, a total of 37.6 kWh of electricity is consumed. According to on-site investigation and literature research [46], 1 kg COD can produce 0.35 m3 of biogas under standard conditions. Methane produced after anaerobic digestion contains approximately 70% CH4 and a small amount of CO2, and the content of H2S is 360.2 mg/m3 [47]. According to the CDM methodology, the loss of CH4 accounts for 10% of the total output in the process of biogas production and transportation, and the rest of the biogas is used for cogeneration. The calculation formula for greenhouse gas emissions during biogas combustion is as follows:
Q i 1 = 1000 × 0.328 × T S
Q i 2 = M C O D × 0.35
C B G = B G × 0.209 × 15.3 × 44 12
where Qi is biogas production in Scenario 2 and Scenario 3; CBG is CO2 emissions during biogas combustion, and the unit is t; BG is the amount of biogas consumed, with the unit of 10,000 m3, and 0.209 is the calorific value of biogas, with the unit of TJ/10,000 m−3; 15.3 is the carbon emission coefficient of natural gas, and the unit is t/TJ.

2.3.4. Composting

Scenarios 1 and 2 compost the solid fraction after solid–liquid separation through a composting process. In Scenario 3, solid manure and biogas residue after solid–liquid separation are composted via windrow composting. To improve the efficiency of composting, it is assumed that mushroom residue is added as a conditioner to ensure the best C/N ratio of swine manure during digestion, the mixing volume ratio of swine manure and mushroom residue is 4:1, and the composting time is 30 days. Previous studies have shown that the turning frequency of composting has a significant impact on gas emissions during the composting of swine manure. The increase in turning times not only increases the emissions of CO2, CH4 and NH3 but also increases the proportion of ammonia emissions due to total nitrogen loss [48]. Therefore, it is assumed that the composting is turned over four times in this study. In the composting process, a stacker dumper is used, with a power of 26.5 kW and a total power consumption of 13.25 kWh [49]. Direct emissions mainly come from gases such as NH3, N2O and CH4 produced in the composting process. The emission rates of greenhouse gases and NH3 during composting are obtained via a static sampling hood and online monitoring of the gas concentration. The emission factor of CH4 refers to the research results of Zhang [50]. The emission of CH4 accounts for 1.8% of the loss of TC in the composting process, and the loss rate of TC is 48.7%. Referring to Yuan [51] for the NH3 emission factor, during composting, the TN loss rate of swine manure piles is 28.6%, NH3 emissions are 68.2% of TN loss, the average emission rate of CO2 is 197.32 mg/kg according to Ba [35], and the emission coefficient of N2O refers to Zhou [52]. The average emission rate of N2O is 197.32 mg/kg.

2.3.5. Biogas Slurry Treatment

The AO pool and chemical flocculation processes are used to separate the biogas slurry and biogas residue, and electricity and related chemicals are consumed in the process. After separation, biogas digestate will be composted with solid swine manure to make organic fertilizer to be applied to farmland, and biogas slurry will be discharged after reaching the standard in the next step. The remaining wastewater is treated using an integrated wastewater treatment device with a power of 2.96 kW according to the research of Pan [42], and the removal rates of COD, TN and TP are 78%, 70% and 35%, respectively. The main gases emitted in this process are CH4 and N2O, and the emission factors of CH4 and N2O refer to IPCC research, which are 0.125 CH4 kg/kg COD and 0.035 kg N2O/kg TN, respectively. The calculation method refers to the 2006 IPCC Guidelines for National Greenhouse Gas Inventories, and the specific formula is as follows:
E C H 4 = E F C H 4 × T O W
E N 2 O = E F N 2 O × T N
where E C H 4 is CH4 emissions, in kg CH4; E F C H 4 is the emission factor of CH4 during biogas slurry treatment, in kg CH4/kg COD; TOW is the total organic matter in biogas slurry, in kg COD; E N 2 O is N2O emissions, in kg N2O; E F N 2 O is the emission factor of N2O during biogas slurry treatment, in kg N2O/kg TN; and TN is the total nitrogen in biogas slurry, in kg TN.
The biogas slurry after harmless treatment must meet the requirements of the Discharge Standard of Pollutants for Livestock and Poultry Breeding (GB 18596-2001 [53]) before it can be discharged. According to this standard, the emissions of NH3-N and TP are 0.128 kg/FU and 0.013 kg/FU, respectively.

2.3.6. Farmland Application

Scenario 3 in this study includes the process of farmland application. In the process of farmland application, both solid manure and decomposed biogas slurry will cause pollution discharge, including the emission of CO2, CH4, SO2 and N2O into the atmosphere, the loss of phosphorus and the leaching of NO3. It is assumed that the composted manure will be transported by truck for a distance of 3 km, and it will be applied to farmland via sowing and fertilization. According to the research of Maurer [54], the greenhouse gas emissions from the application of swine manure in farmland are measured, and N2O emissions account for 0.595% of the nitrogen content of the applied fertilizer. The emission factor of NO3-N refers to the research of Hutchings et al. [55] and is 0.395 kg/kgTN. For the emission factor of NH3, according to Geng [56], the TN loss rate of swine manure is 12.4–20.9%. During the application of swine manure, the emission coefficient of NH3 accounts for 3.3–3.9% of TN loss. According to Maurer [54], the emission factors of CO2, CH4 and SO2 are 0.487 kg/t, 0.089 kg/t and 0.024 kg/t, respectively. The common element content in pig biogas slurry renewal in detail is shown in Table 7.
The utilization of manure can reduce the pollution discharge produced in the process of chemical fertilizer production. According to the research of Zhang [57], the contents of N, P2O5 and K2O in swine manure stored in Scenario 1 are 5.352 kg, 6.653 kg and 4.058 kg, respectively. According to Table 7, the contents of N, P2O5 and K2O in biogas slurry produced via anaerobic digestion of 1 FU swine manure are 1.848 kg, 0.724 kg and 1.165 kg, respectively. After separation, the contents of N, P2O5 and K2O in the biogas digestate are 0.165 kg, 0.064 kg and 0.104 kg, respectively. The N content in nitrogen fertilizer is 46%, the P2O5 content in phosphorus fertilizer is 44%, and the K2O content in potassium fertilizer is 83%, which can be converted into nitrogen fertilizer, phosphorus fertilizer and potassium fertilizer with the same N, P and K, as shown in Table 8.

3. Results

From the results of the life cycle assessment, the treatment of swine manure using solid–liquid separation can effectively reduce the environmental pollution caused by large-scale pig breeding. Compared with Scenario 1 without solid–liquid separation treatment, Scenario 2 with a screw extruder showed a lower environmental impact potential in terms of global warming, eutrophication, acidification and human toxicity, which decreased by 56%, 81%, 83% and 273%, respectively. At the same time, Scenario 3 used centrifugal microfiltration for solid–liquid separation of swine manure, which also showed a low environmental impact potential, which shows that solid–liquid separation can significantly reduce the environmental load of swine manure treatment. First, solid–liquid separation can effectively improve the efficiency of subsequent anaerobic digestion of swine manure. Compared with swine manure without solid–liquid separation, the COD content of the separated liquid fraction is approximately 40% and the potential of methane production is enhanced, which can produce more biogas for power generation, replace the electricity purchased by farms from the power grid, and reduce the pollution emissions caused by coal-fired power generation [58]. Second, solid–liquid separation can effectively reduce the COD content in the liquid fraction of swine manure, reduce the conductivity, and effectively solve the loss of nitrogen and phosphorus [59]. IPCC research shows that the composting process of manure is an important source of NH3, CH4 and N2O emissions. Studies by Guilayn [59] show that the total greenhouse gas emissions produced by the separated solid fraction in the composting process are greatly reduced compared with the feces without solid–liquid separation treatment. Solid–liquid separation can remove as much water as possible and reduce the volume of the solid fraction, which is beneficial to the subsequent composting treatment. Solid–liquid separation can also effectively reduce NH3 emissions in the process of farmland application. Nyord [60] proved via experiments that compared with swine manure, the solids in the separated liquid fraction are significantly reduced, which is easier to transport to farmland using water pumps and can quickly penetrate into the soil, thus reducing NH3 emissions in farmland applications.
In addition, different solid–liquid separation technologies will have different impacts on the environment. Compared with Scenario 2 of solid–liquid separation via screw extruder, Scenario 3 of solid–liquid separation via centrifugal microfiltration shows higher environmental impact potential, which is mainly related to the energy consumption caused by the centrifugal microfiltration technology and subsequent anaerobic fermentation treatment. The following section will describe in detail the individual environmental impact categories. The environmental impact potentials for the three scenarios in detail are shown in Table 9.

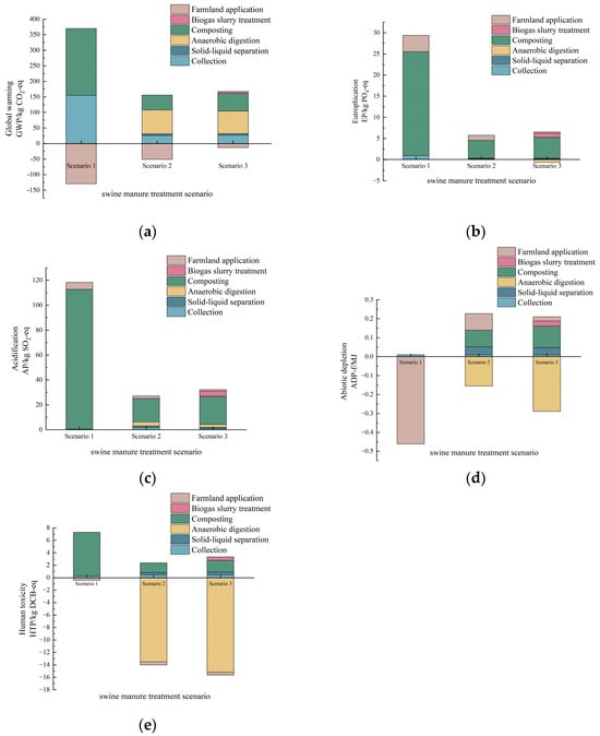
3.1. Global Warming

Of the three scenarios evaluated, Scenario 1, representing conventional manure management practices, had the highest net total GWP of 240.311 kg CO2-eq. Compared with Scenario 1, Scenario 2 and Scenario 3 showed lower global warming potential, and solid–liquid separation substantially reduced the GWP from manure management, with gross totals of 135.461 kg CO2-eq and 86.406 kg CO2-eq, respectively. The process of storage and composting produce many greenhouse gases, such as CO2, CH4 and NO, which will increase the risk of global warming. Solid–liquid separation treatment of swine manure can effectively reduce the emission of CO2 produced in the process of manure composting. This view has also been confirmed by previous studies. Qi [61] investigated the anaerobic digestion of screened liquid manure and diluted manure in semicontinuous stirred tank reactors. The results showed that solid–liquid separation had a beneficial effect on the process performance and digestate fertilizer characteristics of anaerobic digestion, and compared with dairy manure, the emissions of CO2, N2O and NH3 of the solid fraction treated with solid–liquid separation were significantly reduced during composting. Vanotti [58] developed a new treatment system combining high-rate solid–liquid separation with nitrogen and phosphorus removal processes. These results suggested that the impact of the new treatment system on the NH3 emission reduction was equivalent to closing conventional swine lagoons while actively growing 5145 pigs with minimal ammonia emissions from the farm. The separated swine manure reduced CO2 emissions by 96.9% in the process of composting and land utilization.
Furthermore, the implementation of solid–liquid separation techniques has the potential to effectively mitigate methane (CH4) emissions during swine manure treatment. By means of solid–liquid separation, the concentration of the chemical oxygen demand (COD) in the liquid fraction can be significantly decreased, leading to a reduction in methane emissions and facilitating the attainment of greenhouse gas emission reduction targets. Chen [62] compared liquid manure stored in a container after solid–liquid separation with swine manure stored directly and found that the total greenhouse gas emissions of swine manure stored after solid–liquid separation decreased by 79%. Additionally, solid–liquid separation can significantly improve the efficiency of anaerobic digestion. Guan [63] studied the effect of solid–liquid separation on the anaerobic digestion of dairy manure. The results showed that anaerobic digestion with separated liquid manure could improve the methane production rate and shorten the hydraulic retention time compared with raw dairy manure, thus improving the equipment utilization rate.
In contrast to Scenario 2, Scenario 3 has a greater global warming potential. This is primarily attributed to the utilization of UASB technology and integrated wastewater treatment equipment in Scenario 3, which results in more power consumption. Simultaneously, the treatment of biogas slurry results in the release of extra greenhouse gases. Specifically, the emissions of CH4 and N2O produced during this treatment process surpass those emitted when biogas slurry is directly put into agricultural land, thereby leading to a greater global warming potential. Therefore, in the process of recycling swine manure, the remaining biogas slurry after anaerobic digestion should be properly treated to reduce gas emissions. Global warming potentials of the three scenarios are shown in Figure 5a.

3.2. Eutrophication

Compared with Scenario 1, Scenario 2 and Scenario 3 show lower eutrophication potential. Eutrophication impacts are caused by emissions of N and P into water, and many studies report a high contribution to eutrophication from manure compost, specifically methane from lagoons. In this study, composting contributes 77–86% to water eutrophication in all the scenarios. Solid–liquid separation is a viable method for efficiently eliminating the moisture content in the solid fraction. This process results in a reduction in the compost volume and minimizes the loss of nitrogen and phosphorus during later treatment procedures. This perspective is further supported by prior research. In conclusion, this methodology improves the appropriateness of compost for utilization in agricultural settings. Jorgensen [64] compared the phosphorus distribution between swine manure after solid–liquid separation and swine manure during composting. The findings of the study indicate that the use of solid–liquid separation in swine manure effectively preserves the phosphorus content and minimizes the loss of water-soluble phosphorus. After separating swine manure with a screw extruder or centrifugal microfilter, the majority of the nitrogen and phosphorus in the manure is concentrated in the solid fraction, which maximizes the retention of nutrients in swine manure for fertilizer production, thereby enhancing nutrient utilization and bringing about positive environmental effects. Ellison [65] found that solid–liquid separation can better match farmland and organic fertilizer and effectively ensure the nitrogen content of organic fertilizer.
In addition, the eutrophication potential of Scenario 3 is greater than that of scenario 2 because, in Scenario 3, after biogas slurry separation, the liquid fraction enters the integrated wastewater treatment apparatus for harmless wastewater treatment. Although the discharge of NH3, NO, N2O and NO3 can be avoided by using mechanical equipment, the nitrogen and phosphorus content entering the water body is increased, so Scenario 3 has a greater eutrophication effect than Scenario 2. The eutrophication potentials of the three scenarios are shown in Figure 5b.

3.3. Acidification

The deposition of pollutants such as SO2, NOx, NH3 and N2O in soil and water will lead to acidification. Scenarios 2 and 3, which include the solid–liquid separation of swine manure, have a lower environmental acidification potential than Scenario 1, and the acid gas in the three scenarios comes primarily from composting, contributing between 82% and 94% to each scenario’s environmental acidification. Compared with Scenario 1 without solid–liquid separation, solid–liquid separation reduces the environmental acidification potential of Scenario 3 by 77%. This reduction can be attributed to the efficient mitigation of acid gas formation throughout the composting process facilitated by solid–liquid separation. Holly [66] treated dairy manure via solid–liquid separation, and the liquid and solid fractions were separately composted and then applied to farmland. Compared to the original bovine dung slurry, the solid–liquid separation system reduced the emission of NH3 and the total emission of greenhouse gases by 31%. In addition, the environmental acidification potential of Scenario 2 is lower than that of Scenario 3, which is 25% lower than that of Scenario 3. This is primarily because the biogas slurry treatment in Scenario 3 involves effluent treatment facilities, chemical agents, and the addition of PAC coagulant. The inclusion of chemicals will increase the emissions of acid gases and nitrogen oxides. After solid–liquid separation, the majority of phosphorus is concentrated in the solid fraction, thereby increasing the phosphorus content of the organic fertilizer in Scenario 2 and allowing it to more effectively supplant the industrial chemical fertilizer. Combining the benefits of the solid–liquid separation process and the farmland application process, Scenario 2 demonstrates the lowest acidification potential. The acidification potentials of the three scenarios are shown in Figure 5c.

3.4. Abiotic Depletion

The major contributors to abiotic depletion in this study are the use of coagulants in biogas sediment treatment and the energy consumption caused by the operation of machinery. Scenario 1 has the lowest potential for abiotic depletion when compared to the alternative scenarios. This can be primarily attributed to the absence of mechanical equipment for treatment and the consequent avoidance of energy consumption, resulting in a reduced environmental impact. In addition, in Scenario 1, both the solid and liquid fractions of swine manure are applied as organic fertilizer to farmland, which replaces more chemical fertilizers and reduces the pollution discharge during the production of chemical fertilizer. Scenarios 2 and 3 use a screw extruder, centrifugal microfilter, and wastewater treatment equipment for subsequent treatment, which will utilize additional electric energy; consequently, the consumption potential of abiotic resources is greater for these two scenarios. The abiotic depletions in the three scenarios are shown in Figure 5d.

3.5. Human Toxicity

The contribution of the human toxicity potential mainly comes from the emission of NH3. This study demonstrates that both Scenario 2 and Scenario 3 exhibit a negative human toxicity potential. Compared with Scenario 2 and Scenario 3, Scenario 1 has the greatest impact on the human toxicity environment. This is related to the anaerobic fermentation of swine manure. The process of solid–liquid separation has the ability to efficiently eliminate the overall solid content present in manure while also significantly decreasing the chemical oxygen demand (COD) content. This creates advantageous circumstances for the occurrence of anaerobic fermentation [67]. Using solid–liquid separation technology, Scenario 2 and Scenario 3 can produce biogas for power generation during the anaerobic digestion process, thereby reducing the emissions generated during external energy production. Furthermore, it can be shown that Scenario 3 exhibits a reduced risk for human toxicity compared to Scenario 2. This is because the separation efficiency of centrifugal microfiltration technology is higher, and the separated liquid fraction can maintain 40% COD content, which has a higher biogas production potential and can produce more biogas, thus reducing the human toxicity potential of Scenario 3. The human toxicity potentials in the three scenarios are shown in Figure 5e.
In general, it is evident that the solid–liquid separation treatment scenario has less environmental impact potential compared to the nonsolid–liquid separation treatment scenario. Solid–liquid separation can reduce the emission of acid gas and greenhouse gas during swine manure treatment [68], which is mainly reflected in composting and farmland applications. The results showed that solid–liquid separation reduced the emissions of CH4, CO2, NH3 and N2O during composting and farmland application. Therefore, Scenario 2 and Scenario 3 show lower global warming potential, eutrophication potential, acidification potential and human toxicity potential. For abiotic depletion, Scenario 1 shows a lower potential of abiotic depletion because no mechanical equipment is used in the treatment process, resulting in additional power consumption, and at the same time, organic fertilizer is generated via composting to replace chemical fertilizer for farmland application, which reduces the environmental emissions in the chemical fertilizer production process. Aguirre-Villegas [69] tested the effects of anaerobic digestion and solid–liquid separation of dairy manure on emissions reduction. The research shows that both anaerobic digestion and solid–liquid separation can reduce greenhouse gas emissions, and the combined use of anaerobic fermentation and solid–liquid separation can achieve a greenhouse gas emission reduction rate of 41%. In addition, solid–liquid separation can effectively improve the efficiency of anaerobic digestion, effectively avoid the production of chemical fertilizer and electric energy and have a positive impact on the environment. Kaparaju [70] found that solid–liquid separation of dairy manure can refine the particles in the liquid fraction, which can promote the efficiency of anaerobic digestion and gas production. In addition, solid–liquid separation is beneficial for improving composting efficiency and reducing greenhouse gas emissions. The research by Sáez [71] shows that solid swine manure stored for one month after solid–liquid separation has the best composting effect with corn stalks, and the organic matter of the manure obtained after composting has a high humus degree and no phytotoxicity.
In addition, the mechanical equipment selected for solid–liquid separation and the treatment method after separation will also impact environmental emissions. The separation efficiency of centrifugal microfiltration is better than that of a screw extruder, which can effectively remove the COD content in liquid swine manure, facilitate subsequent anaerobic digestion, help to produce more biogas, and better replace coal for combustion and power generation. Compared with Scenario 2, Scenario 3 uses chemical coagulation in the biogas slurry treatment stage, which will not only improve the treatment efficiency but also bring environmental pollution. Therefore, when adding chemical coagulation, attention should be paid to the dosage and addition sequence to avoid pollution.

4. Conclusions and Discussion

This research shows that Scenario 2 of solid–liquid separation with a screw extruder has the lowest potential environmental impact, and this scenario has positive environmental effects. Compared with Scenario 1 without solid–liquid separation, Scenario 2 shows that 1 FU of swine manure reduces the global warming potential by 135.461 kg CO2-eq, the eutrophication potential by 23.096 kg PO4-eq, the acidification potential by 97.672 kg SO2-eq and the human toxicity potential by 18.904 kg DCB-eq. Scenario 3, which uses centrifugal microfiltration technology for solid–liquid separation, is superior to scenario 2, showing a lower environmental potential in terms of human toxicity and reducing the human toxicity potential by 0.811 kg DCB-eq compared with Scenario 2. The results show that solid–liquid separation is of great significance in reducing environmental pollution during swine manure treatment, and solid–liquid separation technology and subsequent utilization will also affect environmental emissions. In the three scenarios, the emissions of the composting process account for more than 50% of the whole life cycle assessment process, which has the greatest negative impact on the environment in the process of swine manure treatment. It is necessary to strengthen the research on emissions reduction technology in the process of swine manure composting to minimize pollution emissions in the process of swine manure treatment. At present, research mainly focuses on the use of physical, chemical and biological additives to achieve emissions reduction in the composting process. Among them, chemical additives can significantly reduce the pH value of materials and increase the chemical fixation of NH4+, and the emission reduction effect on ammonia volatilization is better than that of other methods. However, it is also necessary to control the dosage in the process of adding chemical agents to avoid excessive acidification.
It is important to acknowledge that the comprehensive environmental impact of swine manure treatment and the environmental emissions associated with all stages are intricately linked to the geographical location. Furthermore, the extent of the damage resulting from emissions varies across different regions. Nevertheless, this study primarily focuses on the utilization of the reference value known as the IPCC emission factor while disregarding the potential influence of emission sites and local environmental conditions. This oversight may result in inaccuracies when assessing environmental impacts.
In the future, when evaluating the life cycle of manure treatment, regional heterogeneity should be taken into account, and more accurate evaluation results can be obtained through regionalization and spatialization to support the formulation of policies related to manure treatment. When deciding on the appropriate treatment method for swine manure in a specific region, it is imperative to take into account various factors, such as environmental emissions, social considerations, economic implications, availability of resources, and the existing legal framework. By considering these factors comprehensively, one can effectively determine the most suitable treatment mode to employ. The existing research mainly uses a multiobjective optimization model to address it, integrates economic, environmental and social factors, and selects the appropriate resource utilization model to achieve a balance between the economy and the environment in the region.
This study exclusively focused on comparing the environmental impact of various solid–liquid separation technologies for pig manure, without delving into an assessment of its economic implications. To achieve a comprehensive analysis of the advantages and disadvantages of solid–liquid separation technology, a life cycle assessment considering both costs and outputs in the manure treatment process is imperative. In our investigation, the cost of pig manure treatment scenarios encompasses expenses related to solid–liquid separation machinery (such as screw extruders and centrifugal microfilters), compost and digestive raw materials (including corn stalks and coagulants), labor, and electricity costs. The output is defined by the revenue generated from selling organic fertilizer and biogas. While previous research, exemplified by Wang [72], has economically scrutinized intensive farming manure energy projects, revealing that biogas power generation exhibited an annual operating cost of approximately RMB 8.86 million, with a net income of RMB 8.8284 million. Consequently, the investment return period for biogas power generation was a mere 2 years, underscoring the robust profitability of anaerobic fermentation treatment for pig manure. Additionally, studies by Khoshgoftar [73] have demonstrated that the economic viability of livestock manure resource utilization is intricately linked to regional energy reserves. In regions abundant in natural gas, like Iran, producing biogas from poultry manure may not be economically advantageous. Considering the cost of screw extruders and centrifugal microfilters, ranging from RMB 1500 to RMB 20,000, adaptable to pig farms of varying sizes, the subsequent comprehensive evaluation of solid–liquid separation technology should incorporate an economic analysis of different pig manure treatment scenarios.
Previous research underscores the significant impact of the ambient temperature on gas emissions during storage and composting processes [74]. Optimal temperatures, such as 25–30 °C, have been identified to enhance the composting efficiency of pig manure and reduce the composting duration. Conversely, temperatures below 1 °C extend the composting time, resulting in increased gas emissions. Notably, this study specifically considers an environmental temperature range of 15–20 °C, neglecting the potential variations in the environmental discharge in both low- and high-temperature conditions within the pig manure treatment system. Future assessments of the pig manure treatment system’s life cycle should systematically investigate the influence of different temperature ranges on environmental discharge.
Future research focuses and directions:
(1)
Assess the social life cycle of various swine manure treatment methods, analyze the social implications associated with different modes of swine manure treatment throughout their entire life cycle, and examine their interplay and correlation with environmental and cost impacts. Evaluate the relationship between the social impact and the concept of sustainable development comprehensively.
(2)
The process of composting is the primary factor that significantly influences the environmental impact associated with the treatment of swine manure. Prior research has demonstrated that various composting techniques exert a significant influence on the release of greenhouse gases throughout the composting process. Hence, it will be possible to conduct comparative analyses of the life cycles of various composting technologies, assess the environmental implications associated with different composting methods, and then make informed decisions regarding the adoption of a more appropriate composting approach based on the outcomes of the study.
(3)
China has significant disparities in its economic development level, geographical environment, and population structure when compared to other countries and regions. The utilization of solely national average data or emission parameters for conducting an environmental impact assessment yields conclusions that lack representativeness. To enhance the accuracy and relevance of life cycle assessment (LCA) of livestock manure treatment, it is imperative to consider regional aspects in future analyses. Specifically, it is necessary to advance the development of a regionally appropriate LCA methodology for China while concurrently establishing a comprehensive regional background database specific to the country.
(4)
Farms of varying scales merit careful consideration in the current research. Presently, the predominant focus lies on the environmental assessment of large-scale farms, potentially neglecting the environmental impact posed by their small and medium-sized counterparts. Research indicates that many small and medium-sized pig farms encounter challenges in adopting cutting-edge treatment technologies and equipment due to financial constraints [75]. Consequently, a prevalent practice involves directly returning manure to fields for treatment. While this method enhances pig manure utilization, it concurrently releases significant quantities of harmful gases, leading to environmental pollution and potential health hazards. Hence, future evaluations of manure treatment system life cycles should include a dedicated examination of small and medium-sized farms. Comparative analyses of various treatment technologies, considering environmental implications, can be undertaken to guide the selection of appropriate manure treatment methods for these specific farm sizes.
Generally, solid–liquid separation is an environmentally friendly treatment method and is suitable for swine manure treatment in large-scale pig farms. It is recommended that large-scale pig farms implement solid–liquid separation techniques for the treatment of swine manure. Simultaneously, it is imperative to select a technique that exhibits a high degree of separation efficiency while minimizing the pollution discharge. Additionally, careful consideration must be given to the application mode of the separated solid manure and liquid manure to mitigate the adverse effects of greenhouse gas emissions and runoff loss on the environment.

Author Contributions

Y.Z.: Conceptualization, methodology, investigation, writing—original draft, writing—review and editing. Q.B.: Investigation, formal analysis, validation. X.D., Y.D., X.M. and L.X.: Formal analysis, validation, investigation. Y.Y.: Conceptualization, methodology, software, resources, investigation, supervision, project administration, funding acquisition. All authors have read and agreed to the published version of the manuscript.

Funding

This research was funded by the National Natural Science Foundation of China (General Program) of China (42271401), supported by the Fundamental Research Funds for Central Non-profit Scientific institution of China (1610132023015, G2023-18-1).

Institutional Review Board Statement

Not applicable.

Data Availability Statement

All data generated or analyzed during this study are included in this published article.

Conflicts of Interest

The authors declare that they have no known competing financial interest or personal relationships that could have appeared to influence the work reported in this paper.

References

  1. Zhou, X.; Li, G.; Meng, X.; Yang, J.; Lu, J. Decision-making behaviors and influence factors of pig farmers at different scales against African swine fever. Trans. Chin. Soc. Agric. Eng. 2020, 36, 316–324. [Google Scholar]
  2. He, L.; Ying, G.; Liu, Y.; Su, H.; Chen, J.; Liu, S.; Zhao, J. Discharge of swine wastes risks water quality and food safety: Antibiotics and antibiotic resistance genes from swine sources to the receiving environments. Environ. Int. 2016, 92–93, 210–219. [Google Scholar] [CrossRef] [PubMed]
  3. Hjorth, M.; Christensen, K.V.; Christensen, M.L.; Sommer, S.G. Solid-liquid separation of animal slurry in theory and practice. A review. Agron. Sustain. Dev. 2010, 30, 153–180. [Google Scholar] [CrossRef]
  4. Wu, H.; Su, X.; Liang, B.; Chen, J.; Zhou, X. Analysis of livestock and poultry manure pollution in China and its treatment and resource utilization. J. Agro-Environ. Sci. 2020, 39, 1168–1176. [Google Scholar]
  5. Wang, D.; Huang, H.; Zhang, H.; Liu, J.; Dong, X. Analysis of Research Status and Development on Engineering Technology of Swine Farming Facilities. CSSCI 2018, 49, 1–14. [Google Scholar]
  6. Yang, B.; Guan, Z. Study on The Solid-Liquid Separation. J. Agric. Mech. Res. 2010, 32, 223–225. [Google Scholar]
  7. Feng, J.; Sheng, X.; Liu, C.; Zhang, X. Equipment and Methods for the Solid-liquid Separation of Animal and Poultry Slurries. Chin. Soc. Agric. Eng. 1992, 8, 90–96. [Google Scholar]
  8. Sheng, J.; Zhou, W.; Wang, Z.; Zhang, L.; Sun, G. Effect of engineering treatment on the physical and chemical properties of livestock slurry. Chin. J. Eco-Agric. 2018, 26, 877–883. [Google Scholar]
  9. Olatuyi, S.O.; Kumaragamage, D.; Akinremi, O.O.; Grieger, L. Heavy-Metal Fractions in Solid and Liquid Separates of Swine Slurry Separated using Different Technologies. J. Environ. Qual. 2014, 43, 1779–1789. [Google Scholar] [CrossRef]
  10. Wang, M.; Zhao, S.; Li, X.; Yi, B.; Yan, S.; Zhang, Y. Effect of mesh aperture of screw extruder on solid-liquid separation of cattle manure. Acta Energiae Sin. 2018, 39, 1032–1037. [Google Scholar]
  11. Wang, M.; Kong, W.; Yan, S.; Ai, P.; Zhang, Y. Effect of solid-liquid separation on removal of total solid and pollutants from pig manure wastewater before anaerobic digestion. Trans. Chin. Soc. Agric. Eng. 2018, 34, 235–240. [Google Scholar]
  12. Fan, X.; Kang, P.; Wang, X.; Ge, X. Biogas Slurry Resource Utilization:An Overview on Coagulation-Flocculation Treatment Technology. China Biogas 2021, 39, 46–54. [Google Scholar]
  13. Gao, Q.; Peng, X.; Lu, S.; Xia, Y.; Luan, Z.; Tao, L.; Wu, J.; Wen, N.; Xu, L. Effect of Three Kinds of the Solid-liquid Separation Equipment on Piggery Wastes and Its Cost Comparison. Hubei Agric. Sci. 2016, 55, 5879–5881. [Google Scholar]
  14. Jiang, T.; Wen, Z.; Ma, X.; Yang, J.; Chen, M.; Frank, S.; Li, G. Characteristics and efficiency evaluation of livestock slurry separation technologies. Trans. Chin. Soc. Agric. Eng. 2016, 32, 218–225. [Google Scholar]
  15. Cocolo, G.; Curnis, S.; Hjorth, M.; Provolo, G. Effect of different technologies and animal manures on solid-liquid separation efficiencies. J. Agric. Eng. 2012, 43, 9. [Google Scholar] [CrossRef]
  16. Cestonaro Do Amaral, A.; Kunz, A.; Radis Steinmetz, R.L.; Scussiato, L.A.; Tápparo, D.C.; Gaspareto, T.C. Influence of solid–liquid separation strategy on biogas yield from a stratified swine production system. J. Environ. Manag. 2016, 168, 229–235. [Google Scholar] [CrossRef]
  17. Ten Hoeve, M.; Hutchings, N.J.; Peters, G.M.; Svanström, M.; Jensen, L.S.; Bruun, S. Life cycle assessment of pig slurry treatment technologies for nutrient redistribution in Denmark. J. Environ. Manag. 2014, 132, 60–70. [Google Scholar] [CrossRef]
  18. De Vries, J.W.; Aarnink, A.J.A.; Groot Koerkamp, P.W.G.; De Boer, I.J.M. Life Cycle Assessment of Segregating Fattening Pig Urine and Feces Compared to Conventional Liquid Manure Management. Environ. Sci. Technol. 2013, 47, 1589–1597. [Google Scholar] [CrossRef]
  19. Li, D.; Hu, J.; Dong, Y.; Jing, H. Life Cycle Assessment of Two Manure Treatment Modes in Intensive Dairy Farms. J. Ecol. Rural. Environ. 2021, 37, 257–264. [Google Scholar]
  20. Zhang, Y.; Xia, X.; Li, Z.; Wang, M.; Yang, T.; Xi, B. Life Cycle Assessment of Manure Treatment in Scaled Cattle Farms. J. Agro-Environ. Sci. 2010, 29, 1423–1427. [Google Scholar]
  21. Duan, N.; Khoshnevisan, B.; Lin, C.; Liu, Z.; Liu, H. Life cycle assessment of anaerobic digestion of pig manure coupled with different digestate treatment technologies. Environ. Int. 2020, 137, 105522. [Google Scholar] [CrossRef] [PubMed]
  22. Kuhn, T.; Kokemohr, L.; Holm-Müller, K. A life cycle assessment of liquid pig manure transport in line with EU regulations: A case study from Germany. J. Environ. Manag. 2018, 217, 456–467. [Google Scholar] [CrossRef] [PubMed]
  23. CML2001; Life Cycle Assessment: An Operational Guide to the ISO Standards; LCA in Perspective; Guide; Operational Annex to Guide. Centre for Environmental Science, Leiden University: Leiden, The Netherlands, 2001.
  24. GB/T 24040:2008; Environmental Management—Life Cycle Assessment—Principles and Frameworks. General Administration of Quality Supervision, Inspection and Quarantine of the People’s Republic of China: Beijing, China, 2008.
  25. GB/T 24044-2008; Environmental Management—Life Cycle Assessment—Requirements and Guidelines. General Administration of Quality Supervision, Inspection and Quarantine of the People’s Republic of China: Beijing, China, 2008.
  26. Mcclelland, S.C.; Arndt, C.; Gordon, D.R.; Thoma, G. Type and number of environmental impact categories used in livestock life cycle assessment: A systematic review. Livest. Sci. 2018, 209, 39–45. [Google Scholar] [CrossRef]
  27. Wang, Y.; Li, M.; Qiu, H.; Zhang, W.; Zhang, H.; Li, Y. Changes of microbial quantity and nutrient content in different composting of livestock manure. J. Gansu Agric.Univ. 2017, 52, 37–45. [Google Scholar]
  28. Su, W. Study on Accounting System of The Amount of Pollutants Producing and Pollutants Discharge in The Main Pollution Sources of Live Pig Farming Industry. Master’s Thesis, Hunan Normal University, Changsha, China, 2012. [Google Scholar]
  29. Tang, Y.; Deng, L. Addition of aerobic sludge for enhancing separation of concentrated and diluted swine wastewater: An experimental study. Environ. Sci. Technol. 2021, 44, 137–143. [Google Scholar]
  30. Dong, R.; Zhang, Z.; Liu, S.; Ma, Y.; Liu, S. Effects of hydrothermal pretreatments on the anaerobic digestion of pig manure and ecological safety of biogas slurry. Trans. Chin. Soc. Agric. Eng. 2022, 38, 193–203. [Google Scholar]
  31. Zhang, W.; Lang, Q.; Wu, S.; Li, W.; Bah, H.; Dong, R. Anaerobic digestion characteristics of pig manures depending on various growth stages and initial substrate concentrations in a scaled pig farm in Southern China. Bioresour. Technol. 2014, 156, 63–69. [Google Scholar] [CrossRef]
  32. Ding, J.; Zhang, P.; Zhao, L.; Meng, H.; Shen, Y.; Liu, S. Change rule of physical and chemical properties of slurry in the process of long-term storage. Trans. Chin. Soc. Agric. Eng. 2020, 36, 220–225. [Google Scholar]
  33. GB/T 17824.1-2008; Construction for Intensive Pig Farms. State Administration for Market Regulation: Beijing China, 2022.
  34. Zhang, Y. Effects of Storage Time and Solid Content on Anaerobic Fermentation of Blisters in Piggery. Master’s Thesis, Harbin Institute of Technology, Harbin, China, 2018. [Google Scholar]
  35. Ba, S.; Zhang, K.; Yang, Z.; Li, Z.; Qu, Q. The in-situ monitoring of gas emissions and nutrient losses from turning and trough composting of dairy manure. Ecol. Environ. Sci. 2021, 30, 420–429. [Google Scholar]
  36. NY/T3442-2019; Technical Specification for Animal Manure Composting. Ministry of Agriculture of the PRC: Beijing, China, 2019.
  37. Starr, K.; Gabarrell, X.; Villalba, G.; Talens, L.; Lombardi, L. Life cycle assessment of biogas upgrading technologies. Waste Manag. 2012, 32, 991–999. [Google Scholar] [CrossRef]
  38. Li, L. Study on the Characteristic and Reduction for Greenhouse Gases and Ammonia Emissions during the Storage of Manure and Wastewater. Master’s Thesis, China Academy of Agricultural Sciences, Beijing, China, 2016. [Google Scholar]
  39. Cui, L. Greenhouse Gases and Ammonia Emission from Flush-Manure and Solid-Liouid Separation System in Large-Scale Dairy Farms. Master’s Thesis, Northwest A&F University, Xi’an, China, 2018. [Google Scholar]
  40. Møller, H.B.; Sommer, S.G.; Ahring, B.K. Methane productivity of manure, straw and solid fractions of manure. Biomass Bioenergy 2004, 26, 485–495. [Google Scholar] [CrossRef]
  41. Converse, J.C.; Koegel, R.G.; Straub, R.J. Nutrient and solids separation of dairy and swine manure using a screw press separator. In Proceedings of the ASAE Annual International Meeting, Toronto, ON, Canada, 18–21 July 1999; pp. 15–16. [Google Scholar]
  42. Pan, X. Evaluating Environmental Impacts of Pig Slurry Treatment Technologies from a Life-Cycle Perspective. Master’s Thesis, Nanjing University, Nanjing, China, 2018. [Google Scholar]
  43. Hu, X.; Dong, H.; Yin, F.; Chen, Y. Effect of centrifugal microfiltration on solid-liquid separation of pig farm wastewater. Chin. J. Eco-Agric. 2022, 30, 1027–1035. [Google Scholar]
  44. Xia, T.; Lu, J.; Li, S.; Gu, S.; Zhao, L. Study on the characteristic of acid and gas production by solid anaerobic fermentation of livestock and poultry manure. Jiangsu Agric. Sci. 2017, 45, 240–243. [Google Scholar]
  45. Chao, E. Life Cycle Evaluation of Fermentation Wastewater Treatment System Based on ANAMMOX Process. Master’s Thesis, Shanghai Jiao Tong University, Shanghai, China, 2021. [Google Scholar]
  46. Wang, G.; Wen, Y.; Hai, R.; Wang, X.; Li, Y.; Yan, Y. Star-up and biogas production of upstreaming high concentration livestock wastewater. Environ. Sci. Technol. 2015, 38, 95–99. [Google Scholar]
  47. Zhang, D.; Liu, H.; Kou, W.; Shao, L.; Wang, X.; Liu, P. Design and application of skid type biogas purification system for small- and medium- scale biogas projects. Trans. Chin. Soc. Agric. Eng. 2020, 36, 215–221. [Google Scholar]
  48. Zhao, C.; Li, H.; Wei, Y.; Zhong, J.; Zheng, X.; Han, S.; Wan, H. Effects of turning frequency on emission of greenhouse gas and ammonia during swine manure windrow composting. Chin. J. Environ. Sci. 2014, 35, 533–540. [Google Scholar]
  49. Luo, Y.; Zhang, L.; Li, G.; Wu, D.; Yuan, J.; Zhang, Z.; Liu, J. A Case Study on Life Cycle Assessment of Pig Manure Compost Production in a Pig Farm. J. Agro-Environ. Sci. 2014, 33, 2254–2259. [Google Scholar]
  50. Zhang, Z.; Liu, D.; Qiao, Y.; Li, S.; Chen, Y.; Hu, C. Mitigation of carbon and nitrogen losses during pig manure composting: A meta-analysis. Sci. Total Environ. 2021, 783, 147103. [Google Scholar] [CrossRef]
  51. Yuan, J.; Liu, Y.; Tang, R.; Ma, R.; Li, G. A review of carbon and nitrogen losses and greenhouse gas emissions during livestock manure composting. J. Agro-Environ.Sci. 2021, 40, 2428–2438. [Google Scholar]
  52. Zhou, T.; Shang, B.; Dong, H.; Zhu, Z.; Tao, X.; Zhang, W. Emission characteristics of ammonia and greenhouse gas during the low c/n ratio swine manure composting. Chin. J. Agrometeorol. 2017, 38, 689–698. [Google Scholar]
  53. GB 18596-2001; Discharge Standard of Pollutants for Livestock and Poultry Breeding. General Administration of Quality Supervision, Inspection and Quarantine of the People’s Republic of China: Beijing, China, 2001.
  54. Maurer, D.L.; Koziel, J.A.; Bruning, K. Field scale measurement of greenhouse gas emissions from land applied swine manure. Front. Env. Sci. Eng. 2017, 11, 1. [Google Scholar] [CrossRef]
  55. Hutchings, N.J. The FARM-N Farm-Scale Model of Losses of Nitrogen. 2010. Available online: http://www.fasset.dk/Upload/Fasset/Document/FARM-N_scientific_description.pdf (accessed on 29 July 2010).
  56. Geng, Y.; Zhang, T.; Wang, H.; Li, J.; Zhai, L.; Yang, B.; Liu, H. Characteristics of gaseous nitrogen loss during the storage and application process of different forms of swine manure. J. Agro-Environ. Sci. 2021, 40, 1818–1828. [Google Scholar]
  57. Liu, H. Study of Life Cycle Sustainability Assessment of Fuel Bioethanol. Master’s Thesis, Shandong University, Jinan, China, 2019. [Google Scholar]
  58. Vanotti, M.B.; Ro, K.S.; Szogi, A.A.; Loughrin, J.H.; Millner, P.D. High-Rate Solid-Liquid Separation Coupled With Nitrogen and Phosphorus Treatment of Swine Manure: Effect on Water Quality. Front. Sustain. Food Syst. 2018, 2, 49. [Google Scholar] [CrossRef]
  59. Guilayn, F.; Jimenez, J.; Rouez, M.; Crest, M.; Patureau, D. Digestate mechanical separation: Efficiency profiles based on anaerobic digestion feedstock and equipment choice. Bioresour. Technol. 2019, 274, 180–189. [Google Scholar] [CrossRef] [PubMed]
  60. Nyord, T.; Hansen, M.N.; Birkmose, T.S. Ammonia volatilization and crop yield following land application of solid–liquid separated, anaerobically digested, and soil injected animal slurry to winter wheat. Agric. Ecosyst. Environ. 2012, 160, 75–81. [Google Scholar] [CrossRef]
  61. Qi, G.; Pan, Z.; Andriamanohiarisoamanana, F.J.; Yamashiro, T.; Iwasaki, M.; Ihara, I.; Umetsu, K. Effect of solid–liquid separation on anaerobic digestion of dairy manure in semi-continuous stirred tank reactors: Process performance and digestate characteristics. Anim. Sci. J. 2020, 91, e13393. [Google Scholar] [CrossRef]
  62. Chen, B.; Koziel, J.A.; Banik, C.; Ma, H.; Lee, M.; Wi, J.; Meiirkhanuly, Z.; O’Brien, S.C.; Li, P.; Andersen, D.S.; et al. Mitigation of Odor, NH3, H2S, GHG, and VOC Emissions With Current Products for Use in Deep-Pit Swine Manure Storage Structures. Front. Environ. Sci. 2020, 8, 613646. [Google Scholar] [CrossRef]
  63. Guan, Z.; Li, W.; Zheng, G.; Bi, L. Technology for two-phase anaerobic fermentation by solid-liquid separated solution of dairy manure. Trans. Chin. Soc. Agric. Eng. 2011, 27, 300–305. [Google Scholar]
  64. Jorgensen, K.; Magid, J.; Luxhoi, J.; Jensen, L.S. Phosphorus Distribution in Untreated and Composted Solid Fractions from Slurry Separation. J. Environ. Qual. 2010, 39, 393–401. [Google Scholar] [CrossRef]
  65. Ellison, R.J.; Horwath, W.R. Reducing greenhouse gas emissions and stabilizing nutrients from dairy manure using chemical coagulation. J. Environ. Qual. 2021, 50, 375–383. [Google Scholar] [CrossRef]
  66. Holly, M.A.; Larson, R.A.; Powell, J.M.; Ruark, M.D.; Aguirre-Villegas, H. Greenhouse gas and ammonia emissions from digested and separated dairy manure during storage and after land application. Agric. Ecosyst. Environ. 2017, 239, 410–419. [Google Scholar] [CrossRef]
  67. Yang, D.; Deng, L.; Zheng, D.; Liu, G.; Yang, H.; Wang, L. Separation of swine wastewater into solid fraction, concentrated slurry and dilute liquid and its influence on biogas production. Fuel 2015, 144, 237–243. [Google Scholar] [CrossRef]
  68. Riaño, B.; García-González, M.C. Greenhouse gas emissions of an on-farm swine manure treatment plant—Comparison with conventional storage in anaerobic tanks. J. Clean Prod. 2015, 103, 542–548. [Google Scholar] [CrossRef]
  69. Aguirre-Villegas, H.A.; Larson, R.A. Evaluating greenhouse gas emissions from dairy manure management practices using survey data and lifecycle tools. J. Clean Prod. 2017, 143, 169–179. [Google Scholar] [CrossRef]
  70. Kaparaju, P.; Rintala, J. Mitigation of greenhouse gas emissions by adopting anaerobic digestion technology on dairy, sow and pig farms in Finland. Renew. Energy 2011, 36, 31–41. [Google Scholar] [CrossRef]
  71. Sáez, J.A.; Clemente, R.; Bustamante, M.Á.; Yañez, D.; Bernal, M.P. Evaluation of the slurry management strategy and the integration of the composting technology in a pig farm—Agronomical and environmental implications. J. Environ. Manag. 2017, 192, 57–67. [Google Scholar] [CrossRef]
  72. Wang, Y. The Economical Efficiency of Excrement Energy Engineering in Breeding Industry. Sustain. Dev. 2016, 6, 223–230. [Google Scholar] [CrossRef]
  73. Khoshgoftar Manesh, M.H.; Rezazadeh, A.; Kabiri, S. A feasibility study on the potential, economic, and environmental advantages of biogas production from poultry manure in Iran. Renew. Energy 2020, 159, 87–106. [Google Scholar] [CrossRef]
  74. Zhang, P.; Shen, Y.; Liu, S. Volatile Gas Emissions from Different Types of Animal Manure During Aerobic Fermentation Process. J. Agro-Environ. Sci. 2015, 7, 1378–1383. [Google Scholar]
  75. Shi, B.; Wang, S.; Jiao, J.; Li, G.; Yin, C. Recognition on characteristics and applicability of typical modes for manure & sewage management in pig farming: A case study in Hebei, China. Waste Manag. 2022, 148, 83–97. [Google Scholar]
Figure 1. System boundaries for Scenario 1.
Figure 1. System boundaries for Scenario 1.
Agriculture 13 02284 g001
Figure 2. System boundaries for Scenario 2.
Figure 2. System boundaries for Scenario 2.
Agriculture 13 02284 g002
Figure 3. UASB—AO process handling process.
Figure 3. UASB—AO process handling process.
Agriculture 13 02284 g003
Figure 4. System boundaries for Scenario 3.
Figure 4. System boundaries for Scenario 3.
Agriculture 13 02284 g004
Figure 5. Life cycle assessment results of the (a) global warming potential in 3 scenarios, (b) eutrophication potential in 3 scenarios, (c) acidification potential in 3 scenarios, (d) abiotic depletion in 3 scenarios, and (e) human toxicity potential in 3 scenarios.
Figure 5. Life cycle assessment results of the (a) global warming potential in 3 scenarios, (b) eutrophication potential in 3 scenarios, (c) acidification potential in 3 scenarios, (d) abiotic depletion in 3 scenarios, and (e) human toxicity potential in 3 scenarios.
Agriculture 13 02284 g005
Table 1. Separation efficiency of different solid–liquid separation technologies.
Table 1. Separation efficiency of different solid–liquid separation technologies.
Solid–Liquid Separation TechnologyChemical Oxygen DemandTotal
Solid
Total NitrogenTotal PhosphorusReference
Screw extruder45–53%19–35%29–43%20–42%[10,11,12,13]
Centrifugal microfiltration3–39%17–68%4–43%18–54%
Chemical coagulation64–84%54–87%51–81%57–86%
Table 2. Environmental impact assessment categories.
Table 2. Environmental impact assessment categories.
Environmental ImpactAbbreviationUnit
Global warmingGWPkg CO2-eq
AcidificationAPkg SO2-eq
EutrophicationEPkg PO4-eq
Human toxicityHTPkg DCB-eq
Abiotic depletionADP-fMJ
Table 3. Physical and chemical properties of pig manure and pig urine.
Table 3. Physical and chemical properties of pig manure and pig urine.
MaterialCOD
(mg/kg)
BOD
(mg/kg)
TN
(mg/kg)
TP
(mg/kg)
Cu
(mg/kg)
Zn
(mg/kg)
DM
(%)
ODM
(%)
Reference
Dry manure52.33 ± 1.0437.43 ± 0.515.63 ± 0.553.47 ± 0.526.59 ± 0.52663.43 ± 0.5120.33 ± 1.0480.33 ± 1.04[8,28,29,30,31,32]
Pig urine8.83 ± 0.765.4 ± 0.872.93 ± 0.40.54 ± 0.2518.48 ± 0.51.54 ± 0.5//
Table 4. Leakage of different piggery manure floor crack widths.
Table 4. Leakage of different piggery manure floor crack widths.
Pig TypeSlit Width
Adult pig20–25 mm
Pregnant sow10 mm
Nursery pig15 mm
Fattening pig20–25 mm
Table 5. Scenario details created for treating swine manure.
Table 5. Scenario details created for treating swine manure.
Swine Manure Treatment ScenarioScenario DescriptionSolid–Liquid Separation Times
Scenario 1After long-term storage, swine manure is composted and applied to the land.0
Scenario 2Swine manure is separated by a screw extruder, the solid fraction is composted in the trough, the liquid fraction is used for anaerobic digestion, and the biogas slurry is returned to the field for long-term storage to generate biogas and organic fertilizer.1
Scenario 3A centrifugal microfilter is used to separate the swine manure, the liquid fraction is used for anaerobic digestion, the rest of the biogas slurry is separated using flocculant for the second time, the biogas slurry part is discharged after harmless treatment, and the biogas residue part and swine manure solid part are composted in strips to generate biogas and organic fertilizer.2
Table 6. Physical and chemical properties of swine manure after solid–liquid separation.
Table 6. Physical and chemical properties of swine manure after solid–liquid separation.
MaterialMass
(ton)
TS
(%)
VS
(%)
P
(kg)
Cu
(g)
Zn
(g)
Reference
Solid manure0.17 ± 0.033.73 ± 0.2519.89 ± 0.791.53 ± 0.1526.26 ± 1.142.61 ± 2.51[41,42]
Liquid manure0.83 ± 0.0822.39 ± 0.792.3 ± 0.2618.48 ± 0.518.44 ± 0.529.39 ± 0.54
Table 7. The common element content in pig biogas slurry renewal.
Table 7. The common element content in pig biogas slurry renewal.
Common ElementsBiogas Digestate (g/kg)Biogas Slurry (g/kg)
N17.411.02
P2O515.220.17
K2O9.070.44
Table 8. The manure instead of chemical fertilizer under different scenarios.
Table 8. The manure instead of chemical fertilizer under different scenarios.
ScenarioSubstitution of Nitrogen Fertilizer Substitution of Phosphate FertilizerSubstitution of Potassium Fertilizer
Scenario 112.16415.124.889
Scenario 24.9044.0742.910
Scenario 31.3300.9180.704
Table 9. Environmental impact potentials for 3 scenarios.
Table 9. Environmental impact potentials for 3 scenarios.
ScenarioEnvironmental Impact Potential
Global WarmingEutrophicationAcidificationAbiotic
Depletion
Human
Toxicity
Scenario 1240.31128.511118.196−0.4626.916
Scenario 2104.8505.41520.524−0.201−11.988
Scenario 3153.9056.22227.388−0.156−12.799
Disclaimer/Publisher’s Note: The statements, opinions and data contained in all publications are solely those of the individual author(s) and contributor(s) and not of MDPI and/or the editor(s). MDPI and/or the editor(s) disclaim responsibility for any injury to people or property resulting from any ideas, methods, instructions or products referred to in the content.

Share and Cite

MDPI and ACS Style

Zhang, Y.; Bo, Q.; Ma, X.; Du, Y.; Du, X.; Xu, L.; Yang, Y. Solid–Liquid Separation and Its Environmental Impact on Manure Treatment in Scaled Pig Farms—Evidence Based on Life Cycle Assessment. Agriculture 2023, 13, 2284. https://doi.org/10.3390/agriculture13122284

AMA Style

Zhang Y, Bo Q, Ma X, Du Y, Du X, Xu L, Yang Y. Solid–Liquid Separation and Its Environmental Impact on Manure Treatment in Scaled Pig Farms—Evidence Based on Life Cycle Assessment. Agriculture. 2023; 13(12):2284. https://doi.org/10.3390/agriculture13122284

Chicago/Turabian Style

Zhang, Yijia, Qinqing Bo, Xintian Ma, Yating Du, Xinyi Du, Liyang Xu, and Yadong Yang. 2023. "Solid–Liquid Separation and Its Environmental Impact on Manure Treatment in Scaled Pig Farms—Evidence Based on Life Cycle Assessment" Agriculture 13, no. 12: 2284. https://doi.org/10.3390/agriculture13122284

APA Style

Zhang, Y., Bo, Q., Ma, X., Du, Y., Du, X., Xu, L., & Yang, Y. (2023). Solid–Liquid Separation and Its Environmental Impact on Manure Treatment in Scaled Pig Farms—Evidence Based on Life Cycle Assessment. Agriculture, 13(12), 2284. https://doi.org/10.3390/agriculture13122284

Note that from the first issue of 2016, this journal uses article numbers instead of page numbers. See further details here.

Article Metrics

Back to TopTop