Peripheral Microvascular and Endothelial Dysfunction as Predictors of Cognitive Decline and Small Vessel Disease: A Systematic Review and Meta-Analysis
Abstract
1. Introduction
2. Materials and Methods
2.1. Study Design and Reporting Framework
2.2. Research Question and PICO Framework
2.3. Literature Search Strategy
2.4. Study Selection and Eligibility Criteria
2.5. Data Extraction and Standardization
2.6. Quality and Risk of Bias Assessment
2.7. Data Synthesis and Statistical Analysis
2.8. Certainty of Evidence
2.9. Ethical Considerations
3. Results
3.1. Study Selection
3.2. Characteristics of Included Studies
3.3. Methodological Quality
3.4. Quantitative Synthesis
3.4.1. Overall Association Between Peripheral Endothelial Dysfunction and Adverse Outcomes
3.4.2. Flow-Mediated Dilation (FMD) Studies
3.4.3. Peripheral Arterial Tonometry (PAT/EndoPAT) Studies
3.4.4. Studies Sublingual Microcirculatory Imaging
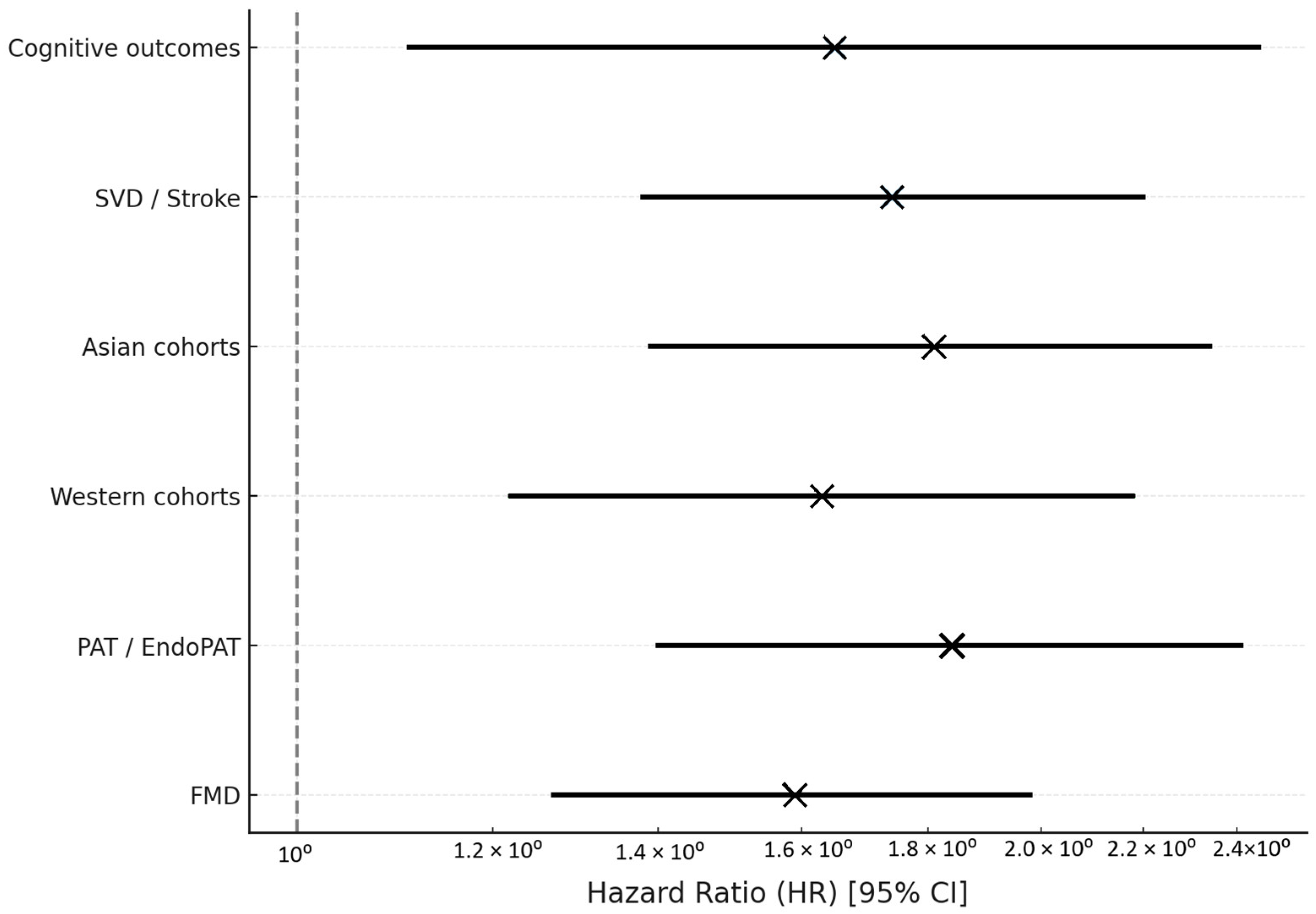
3.5. Subgroup and Meta-Regression Analyses
3.6. Sensitivity Analyses
3.7. Publication Bias
3.8. Evidence Certainty Summary
4. Discussion
4.1. Principal Findings
4.2. Pathophysiological Interpretation
4.3. Comparison with Previous Literature
4.4. Clinical and Translational Implications
4.5. Limitations
4.6. Future Directions
5. Conclusions
Supplementary Materials
Author Contributions
Funding
Institutional Review Board Statement
Informed Consent Statement
Data Availability Statement
Acknowledgments
Conflicts of Interest
Abbreviations
| AD | Alzheimer’s Disease |
| BBB | Blood–Brain Barrier |
| CAD | Coronary Artery Disease |
| CI | Confidence Interval |
| CRD | Centre for Reviews and Dissemination |
| CVD | Cardiovascular Disease |
| DM | Diabetes Mellitus |
| eNOS | Endothelial Nitric Oxide Synthase |
| ESC | European Society of Cardiology |
| FMD | Flow-Mediated Dilation |
| GRADE | Grading of Recommendations Assessment, Development and Evaluation |
| HR | Hazard Ratio |
| HTA | Hypertension Arterial |
| ICAM-1 | Intercellular Adhesion Molecule 1 |
| IDF | Incident Dark Field Microscopy |
| IL-6 | Interleukin-6 |
| JAHA | Journal of the American Heart Association |
| MACE | Major Adverse Cardiovascular Events |
| MMSE | Mini-Mental State Examination |
| MoCA | Montreal Cognitive Assessment |
| MOOSE | Meta-analysis of Observational Studies in Epidemiology |
| MRI | Magnetic Resonance Imaging |
| NOS | Newcastle–Ottawa Scale |
| NO | Nitric Oxide |
| OR | Odds Ratio |
| PAT | Peripheral Arterial Tonometry |
| PBR | Perfused Boundary Region |
| PIPAT | Peripheral Inflammatory PAT Index |
| PRISMA | Preferred Reporting Items for Systematic Reviews and Meta-Analyses |
| PROSPERO | International Prospective Register of Systematic Reviews |
| RHI | Reactive Hyperemia Index |
| REML | Restricted Maximum Likelihood |
| RF | Risk Factors |
| ROS | Reactive Oxygen Species |
| SD | Standard Deviation |
| SDF | Sidestream Dark Field Microscopy |
| SGLT2 | Sodium–Glucose Cotransporter 2 |
| SVD | Small Vessel Disease |
| TIA | Transient Ischemic Attack |
| VCAM-1 | Vascular Cell Adhesion Molecule 1 |
| WMH | White Matter Hyperintensities |
References
- Alzheimer’s Disease International. World Alzheimer Report 2023; ADI: London, UK, 2023; Available online: https://www.alzint.org/resource/world-alzheimer-report-2023/ (accessed on 1 November 2025).
- Wardlaw, J.M.; Smith, C.; Dichgans, M. Small vessel disease: Mechanisms and clinical implications. Lancet Neurol. 2019, 18, 684–696. [Google Scholar] [CrossRef]
- Iadecola, C. The neurovascular unit coming of age: A journey through neurovascular coupling in health and disease. Neuron 2017, 96, 17–42. [Google Scholar] [CrossRef]
- Sun, K.; Liu, H. Emerging biomarkers and frontier therapies: Unveiling the role of endothelial dysfunction in cerebral small vessel disease. Front. Neurol. 2025, 16, 1615883. [Google Scholar] [CrossRef]
- Bai, T.; Yu, S.; Feng, J. Advances in the role of endothelial cells in cerebral small vessel disease. Front. Neurol. 2022, 13, 861714. [Google Scholar] [CrossRef] [PubMed]
- Gimbrone, M.A., Jr.; García-Cardeña, G. Endothelial cell dysfunction and the pathobiology of atherosclerosis. Circ. Res. 2016, 118, 620–636. [Google Scholar] [CrossRef] [PubMed]
- Toya, T.; Sara, J.D.; Ahmad, A.; Nardi, V.; Taher, R.; Lerman, L.O.; Lerman, A. Incremental prognostic impact of peripheral microvascular endothelial dysfunction on the development of ischemic stroke. J. Am. Heart Assoc. 2020, 9, e015703. [Google Scholar] [CrossRef]
- Ince, C.; Boerma, E.C.; Cecconi, M.; De Backer, D.; Shapiro, N.I.; Duranteau, J.; Pinsky, M.R.; Artigas, A.; Teboul, J.-L.; Reiss, I.K.M.; et al. Second consensus on the assessment of sublingual microcirculation in critically ill patients: Results from a task force of the European Society of Intensive Care Medicine. Intensive Care Med. 2018, 44, 281–299. [Google Scholar] [CrossRef] [PubMed]
- Cheshire, B.L.; Messeder, S.J.; Pepper, C.J.; Beishon, L.C.; Sayers, R.D.; Houghton, J.S. Association of cognitive impairment and peripheral artery disease (PAD): A systematic review. Vasc. Med. 2025, 30, 165–180. [Google Scholar] [CrossRef]
- Martins-Filho, R.K.; Zotin, M.C.; Rodrigues, G.; Pontes-Neto, O. Biomarkers related to endothelial dysfunction and vascular cognitive impairment: A systematic review. Dement. Geriatr. Cogn. Disord. 2021, 49, 365–374. [Google Scholar] [CrossRef]
- Zhang, J.; Yu, K.F. What’s the relative risk? A method of correcting the odds ratio in cohort studies of common outcomes. JAMA 1998, 280, 1690–1691. [Google Scholar] [CrossRef]
- Schünemann, H.J.; Brożek, J.; Guyatt, G.H.; Oxman, A.D. GRADE Handbook for Grading Quality of Evidence and Strength of Recommendations; The GRADE Working Group. 2023. Available online: https://gdt.gradepro.org/app/handbook/handbook.html (accessed on 1 November 2025).
- Saleem, M.; Herrmann, N.; Dinoff, A.; Mazereeuw, G.; Oh, P.I.; Goldstein, B.I.; Kiss, A.; Shammi, P.; Lanctôt, K.L. Association Between Endothelial Function and Cognitive Performance in Patients With Coronary Artery Disease During Cardiac Rehabilitation. Psychosom. Med. 2019, 81, 184–191. [Google Scholar] [CrossRef]
- Toya, T.; Sara, J.D.; Scharf, E.L.; Ahmad, A.; Nardi, V.; Özcan, I.; Lerman, L.O.; Lerman, A. Impact of Peripheral Microvascular Endothelial Dysfunction on White Matter Hyperintensity. J. Am. Heart Assoc. 2021, 10, e021066. [Google Scholar] [CrossRef]
- Cooper, L.L.; Wang, N.; Beiser, A.S.; Romero, J.R.; Aparicio, H.J.; Lioutas, V.A.; Benjamin, E.J.; Larson, M.G.; Vasan, R.S.; Mitchell, G.F.; et al. Digital Peripheral Arterial Tonometry and Cardiovascular Disease Events: The Framingham Heart Study. Stroke 2021, 52, 2866–2873. [Google Scholar] [CrossRef]
- Akiyama, E.; Sugiyama, S.; Matsuzawa, Y.; Konishi, M.; Suzuki, H.; Nozaki, T.; Ohba, K.; Matsubara, J.; Maeda, H.; Horibata, Y.; et al. Incremental Prognostic Significance of Peripheral Endothelial Dysfunction in Patients with Heart Failure with Preserved Ejection Fraction. J. Am. Coll. Cardiol. 2012, 60, 1778–1786. [Google Scholar] [CrossRef]
- Matsuzawa, Y.; Sugiyama, S.; Sumida, H.; Sugamura, K.; Nozaki, T.; Ohba, K.; Matsubara, J.; Kurokawa, H.; Fujisue, K.; Konishi, M.; et al. Peripheral Endothelial Function and Cardiovascular Events in High-Risk Patients. J. Am. Heart Assoc. 2013, 2, e000426. [Google Scholar] [CrossRef]
- Koo, B.K.; Chung, W.-Y.; Moon, M.K. Peripheral arterial endothelial dysfunction predicts future cardiovascular events among type 2 diabetic patients with albuminuria. Atherosclerosis 2020, 297, 56–62. [Google Scholar] [CrossRef]
- Sun, T.; Matsuzawa, Y.; Widmer, R.J.; Hermann, J.; Lerman, L.O.; Lerman, O. Predictive value of vascular response to cuff inflation-induced pain in the control arm for adverse cardiovascular events. Int. J. Cardiol. Heart Vasc. 2021, 33, 100728. [Google Scholar] [CrossRef] [PubMed]
- Garg, P.K.; Tan, A.X.; Odden, M.C.; Gardin, J.M.; Lopez, O.L.; Newman, A.B.; Rawlings, A.M.; Mukamal, K.J. Brachial flow-mediated dilation and risk of dementia: The Cardiovascular Health Study. Alzheimer Dis Assoc Disord. 2020, 9, e017605. [Google Scholar] [CrossRef]
- Yeboah, J.; Crouse, J.R.; Hsu, F.C.; Burke, G.L.; Herrington, D.M. Brachial flow-mediated dilation predicts incident cardiovascular events in older adults: The Cardiovascular Health Study. Circulation 2007, 115, 2390–2397. [Google Scholar] [CrossRef]
- Huang, A.L.; Silver, A.E.; Shvenke, E.; Schopfer, D.W.; Jahangir, E.; Titas, M.A.; Shpilman, A.; Menzoian, J.O.; Watkins, M.T.; Raffetto, J.D.; et al. Predictive value of reactive hyperemia for cardiovascular events in patients with peripheral arterial disease. Arterioscler. Thromb. Vasc. Biol. 2007, 27, 1735–1741. [Google Scholar] [CrossRef]
- Maruhashi, T.; Soga, J.; Fujimura, N.; Idei, N.; Mikami, S.; Iwamoto, Y.; Iwamoto, A.; Kajikawa, M.; Matsumoto, T.; Oda, N.; et al. Flow-mediated dilation and arterial stiffness for cardiovascular risk stratification: The FMD-J Study. J. Am. Heart Assoc. 2018, 7, e008848. [Google Scholar]
- Santos-García, D.; Blanco, M.; Serena, J.; Rodríguez-Yáñez, M.; Leira, R.; Castillo, J. Impaired brachial flow-mediated dilation is a predictor of a new-onset vascular event after stroke. Cerebrovasc. Dis. 2011, 32, 155–162. [Google Scholar] [CrossRef]
- Numazaki, H.; Nasu, T.; Satoh, M.; Kotozaki, Y.; Tanno, K.; Asahi, K.; Ohmomo, H.; Shimizu, A.; Omama, S.; Morino, Y.; et al. Association between vascular endothelial dysfunction and stroke incidence in the general Japanese population: Results from the Tohoku Medical Megabank Community-based Cohort Study. Int. J. Cardiol. Cardiovasc. Risk Prev. 2023, 19, 200216. [Google Scholar] [CrossRef] [PubMed]
- Ha, S.H.; Yoon, B.H.; Koo, B.G.; Shin, D.H.; Lee, Y.-B.; Kim, B.J. Association of flow-mediated dilation with early neurological deterioration in acute ischemic stroke: A retrospective analysis. BMC Neurol. 2025, 25, 112. [Google Scholar] [CrossRef] [PubMed]
- Maruhashi, T.; Soga, J.; Fujimura, N.; Idei, N.; Mikami, S.; Iwamoto, Y.; Iwamoto, A.; Kajikawa, M.; Matsumoto, T.; Oda, N.; et al. Endothelial dysfunction, increased arterial stiffness, and cardiovascular risk prediction in patients with coronary artery disease: FMD-J (Flow-Mediated Dilation Japan) Study A. J. Am. Heart Assoc. 2018, 7, e008588. [Google Scholar] [CrossRef] [PubMed]
- Fang, Y.C.; Hsieh, Y.C.; Hu, C.J.; Tu, Y.K. Endothelial Dysfunction in Neurodegenerative Diseases. Int. J. Mol. Sci. 2023, 24, 2909. [Google Scholar] [CrossRef]
- Wahl, D.; Clayton, Z.S. Peripheral vascular dysfunction and the aging brain. Aging 2024, 16, 9280–9302. [Google Scholar] [CrossRef]
- Stoddart, P.; Satchell, S.C.; Ramnath, R. Cerebral microvascular endothelial glycocalyx damage, its implications on the blood–brain barrier and a possible contributor to cognitive impairment. Brain Res. 2022, 1780, 147804. [Google Scholar] [CrossRef]
- Ibrahim, N.N.I.K.; Rahman, R.A.; Azlan, M.; Aziz, A.A.; Rasool, A.H.G. Endothelial Microparticles as Potential Biomarkers in the Assessment of Endothelial Dysfunction in Hypercholesterolemia. Medicina 2022, 58, 824. [Google Scholar] [CrossRef]
- Buie, J.J.; Watson, L.S.; Smith, C.J.; Sims-Robinson, C. Obesity-related cognitive impairment: The role of endothelial dysfunction. Neurobiol. Dis. 2019, 132, 104580. [Google Scholar] [CrossRef] [PubMed]
- Ridker, P.M.; Everett, B.M.; Thuren, T.; MacFadyen, J.G.; Chang, W.H.; Ballantyne, C.; Fonseca, F.; Nicolau, J.; Koenig, W.; Anker, S.D.; et al. Antiinflammatory therapy with canakinumab for atherosclerotic disease and vascular inflammation. N. Engl. J. Med. 2017, 377, 1119–1131. [Google Scholar] [CrossRef]
- Rajendran, P.; Rengarajan, T.; Thangavel, J.; Nishigaki, Y.; Sakthisekaran, D.; Sethi, G.; Nishigaki, I. The vascular endothelium and human diseases. Int. J. Biol. Sci. 2013, 9, 1057–1069. [Google Scholar] [CrossRef]
- Holm, H.; Nägga, K.; Nilsson, E.D.; Ricci, F.; Melander, O.; Hansson, O.; Bachus, E.; Magnusson, M.; Fedorowski, A. Biomarkers of microvascular endothelial dysfunction predict incident dementia: A population-based prospective study. J. Intern. Med. 2017, 282, 94–101. [Google Scholar] [CrossRef]
- Schächinger, V.; Britten, M.B.; Zeiher, A.M. Prognostic impact of coronary vasodilator dysfunction on adverse long-term outcomes of coronary heart disease. Circulation 2000, 101, 1899–1906. [Google Scholar] [CrossRef] [PubMed]
- Hamburg, N.M.; Palmisano, J.; Larson, M.G.; Sullivan, L.M.; Lehman, B.T.; Vasan, R.S.; Levy, D.; Mitchell, G.F.; Vita, J.A.; Benjamin, E.J. Relation of brachial and digital measures of vascular function in the community: The Framingham Heart Study. Hypertension 2011, 57, 390–396. [Google Scholar] [CrossRef] [PubMed]




| No. | Study (Author, Year, Journal) | Country/Cohort | N | Technique/Exposure | Primary Parameter | Follow-Up (Years) | Outcome | Outcome Type | Effect Estimate (HR/OR [95% CI]) | Main Adjustments | NOS |
|---|---|---|---|---|---|---|---|---|---|---|---|
| 1 | Saleem M., 2019, Cardiovasc Diabetol [13]. | USA (CAD, Cardiac Rehab) | 312 | EndoPAT | RHI | 2 | Decline in MoCA/MMSE scores | ✱ Cognitive | β = −0.24, p = 0.01 | Age, education, HTA, DM | 8 |
| 2 | Toya T., 2021, JAHA (WMH Study) [14] | USA (Mayo Clinic) | 252 | EndoPAT | RHI | 3 | MRI WMH progression | ◇ SVD | OR = 1.42 (1.08–1.89) | Age, sex, HTA, LDL | 8 |
| 3 | Toya T., 2020, JAHA (Stroke Study) [7] | USA (Mayo Clinic) | 528 | EndoPAT | RHI < 2.0 | 5 | Ischemic stroke | ⚡ Vascular | HR = 3.70 (1.60–8.30) | Age, sex, vascular RF | 8 |
| 4 | Cooper L.L., 2021, Stroke (Framingham) [15] | USA (Community Cohort) | 1879 | PAT | RHI | 5 | First CVD event (incl. stroke) | ⚡ Vascular | HR = 1.39 (1.12–1.72) | Age, sex, BMI, HTA, DM | 9 |
| 5 | Akiyama E., 2012, JACC [16] | Japan | 528 | EndoPAT | RHI | 4 | MACE (incl. stroke) | ⚡ Vascular | HR = 2.90 (1.30–6.20) | Age, HTA, statins | 8 |
| 6 | Matsuzawa Y., 2013, JAHA [17] | Japan | 528 | EndoPAT | RHI | 5 | MACE (incl. stroke) | ⚡ Vascular | HR = 3.20 (1.60–6.10) | Multivariable model | 8 |
| 7 | Koo B.K., 2020, Cardiovasc Diabetol. [18] | South Korea | 405 | EndoPAT | RHI | 5 | Major CVD (incl. stroke) | ⚡ Vascular | HR = 1.58 (1.09–2.29) | Age, sex, DM control | 8 |
| 8 | Sun Y., 2021, Int J Cardiol Heart Vasc [19]. | China | 350 | EndoPAT/PIPAT | RHI, PIPAT | 3.8 | MACE (incl. stroke) | ⚡ Vascular | HR = 2.41 (1.15–5.06) | Age, sex, lipids | 7 |
| 9 | Garg P.K., 2020, Alzheimer′s Dis Assoc Disord [20] | USA (CHS Cohort) | 2536 | FMD | % dilation | 9 | Incident dementia | ✱ Cognitive | HR = 1.07 (0.89–1.29) | Age, sex, education | 8 |
| 10 | Yeboah J., 2009, Circulation [21] | USA | 3026 | FMD | % dilation | 5 | CVD events (incl. stroke) | ⚡ Vascular | HR = 1.29 (1.12–1.47) | Traditional risk factors | 9 |
| 11 | Huang A.L., 2007, ArteriosclerThrombVasc Biol. [22] | USA | 208 | FMD + Reactive Hyperemia | Peak flow | 4 | CVD events (incl. stroke) | ⚡ Vascular | HR = 2.60 (1.20–5.80) | Multivariable adjusted | 8 |
| 12 | Maruhashi T., 2018, JAHA (FMD-J) [23] | Japan (Multicenter) | 1600 | FMD | % dilation | 4 | MACE (CVD + stroke) | ⚡ Vascular | HR = 2.18 (1.27–3.73) | Age, HTA, DM | 9 |
| 13 | Santos-García D., 2011, Cerebrovasc Dis [24] | Spain | 105 | FMD | % dilation | 4 | Recurrent stroke after the index event | ⚡ Vascular | HR = 2.44 (1.05–5.65) | HTA, dyslipidemia | 7 |
| 14 | Numazaki M., 2023, Stroke [25] | Japan | 782 | FMD | % dilation | 3.5 | Incident stroke (total/ischemic/lacunar) | ⚡ Vascular | HR = 1.71 (1.19–2.45) | Age, sex, lipids | 8 |
| 15 | Ha J., 2025, BMC Neurology [26] | South Korea | 240 | FMD | % dilation | 1 | Early neurological deterioration (END) after AIS | ⚡ Vascular | OR = 1.89 (1.07–3.33) | Age, infarct size | 7 |
Disclaimer/Publisher’s Note: The statements, opinions and data contained in all publications are solely those of the individual author(s) and contributor(s) and not of MDPI and/or the editor(s). MDPI and/or the editor(s) disclaim responsibility for any injury to people or property resulting from any ideas, methods, instructions or products referred to in the content. |
© 2025 by the authors. Licensee MDPI, Basel, Switzerland. This article is an open access article distributed under the terms and conditions of the Creative Commons Attribution (CC BY) license (https://creativecommons.org/licenses/by/4.0/).
Share and Cite
Guse, E.-C.; Cotet, I.-G.; Mateescu, D.-M.; Muresan, C.-O.; Gavrilescu, D.-M.; Marginean, A.; Toma, A.-O.; Ilie, A.-C.; Halas, R.; Badalica-Petrescu, M.; et al. Peripheral Microvascular and Endothelial Dysfunction as Predictors of Cognitive Decline and Small Vessel Disease: A Systematic Review and Meta-Analysis. J. Clin. Med. 2025, 14, 8543. https://doi.org/10.3390/jcm14238543
Guse E-C, Cotet I-G, Mateescu D-M, Muresan C-O, Gavrilescu D-M, Marginean A, Toma A-O, Ilie A-C, Halas R, Badalica-Petrescu M, et al. Peripheral Microvascular and Endothelial Dysfunction as Predictors of Cognitive Decline and Small Vessel Disease: A Systematic Review and Meta-Analysis. Journal of Clinical Medicine. 2025; 14(23):8543. https://doi.org/10.3390/jcm14238543
Chicago/Turabian StyleGuse, Elena-Cristina, Ioana-Georgiana Cotet, Diana-Maria Mateescu, Camelia-Oana Muresan, Dragos-Mihai Gavrilescu, Andrei Marginean, Ana-Olivia Toma, Adrian-Cosmin Ilie, Ramona Halas, Marius Badalica-Petrescu, and et al. 2025. "Peripheral Microvascular and Endothelial Dysfunction as Predictors of Cognitive Decline and Small Vessel Disease: A Systematic Review and Meta-Analysis" Journal of Clinical Medicine 14, no. 23: 8543. https://doi.org/10.3390/jcm14238543
APA StyleGuse, E.-C., Cotet, I.-G., Mateescu, D.-M., Muresan, C.-O., Gavrilescu, D.-M., Marginean, A., Toma, A.-O., Ilie, A.-C., Halas, R., Badalica-Petrescu, M., & Bredicean, A.-C. (2025). Peripheral Microvascular and Endothelial Dysfunction as Predictors of Cognitive Decline and Small Vessel Disease: A Systematic Review and Meta-Analysis. Journal of Clinical Medicine, 14(23), 8543. https://doi.org/10.3390/jcm14238543

