Challenging the No-Stent Zone: Intravascular Lithotripsy for Common Femoral Artery Disease
Abstract
1. Introduction
2. Materials and Methods
2.1. Search Strategy
2.2. Eligibility Criteria
2.3. Data Extraction
2.4. Study Risk of Bias Assessment
2.5. Statistical Analysis
3. Results
3.1. Literature Search
3.2. Study Characteristics
3.3. Population Characteristics
3.4. Lesion Characteristics
3.5. Perioperative Outcomes
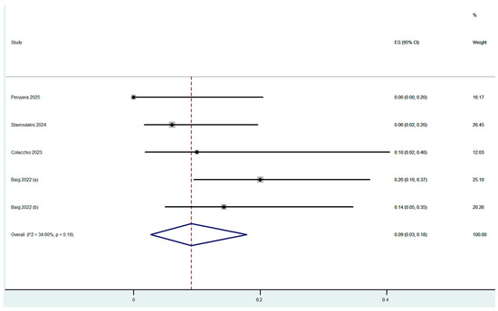
3.6. Mid-Term Outcomes
4. Discussion
5. Conclusions
Supplementary Materials
Author Contributions
Funding
Institutional Review Board Statement
Data Availability Statement
Conflicts of Interest
Abbreviations
| CFA | Common femoral artery |
| SFA | Superficial femoral artery |
| IVL | Intravascular lithotripsy |
| DCB | Drug-coated balloon angioplasty |
| PTA | Percutaneous transluminal balloon angioplasty |
| CI | Confidence interval |
| ABI | Ankle-brachial index |
| CLTI | Critical limb-threatening ischemia |
| CTO | Chronic total occlusion |
| TLR | Target lesion revascularization |
| PAD | Peripheral artery disease |
| SD | Standard deviation |
| ES | Effect size |
References
- Ballotta, E.; Gruppo, M.; Mazzalai, F.; Da Giau, G. Common femoral artery endarterectomy for occlusive disease: An 8-year single-center prospective study. Surgery 2010, 147, 268–274. [Google Scholar] [CrossRef]
- Bonvini, R.F.; Rastan, A.; Sixt, S.; Noory, E.; Schwarz, T.; Frank, U.; Roffi, M.; Dorsaz, P.A.; Schwarzwälder, U.; Bürgelin, K.; et al. Endovascular treatment of common femoral artery disease: Medium-term outcomes of 360 consecutive procedures. J. Am. Coll. Cardiol. 2011, 58, 792–798. [Google Scholar] [CrossRef] [PubMed]
- Gouëffic, Y.; Della Schiava, N.; Thaveau, F.; Rosset, E.; Favre, J.P.; Salomon du Mont, L.; Alsac, J.M.; Hassen-Khodja, R.; Reix, T.; Allaire, E.; et al. Stenting or Surgery for De Novo Common Femoral Artery Stenosis. JACC Cardiovasc. Interv. 2017, 10, 1344–1354. [Google Scholar] [CrossRef]
- Brodmann, M.; Schwindt, A.; Argyriou, A.; Gammon, R. Safety and Feasibility of Intravascular Lithotripsy for Treatment of Common Femoral Artery Stenoses. J. Endovasc. Ther. 2019, 26, 283–287. [Google Scholar] [CrossRef] [PubMed]
- Shammas, N.W.; Mangalmurti, S.; Bernardo, N.L.; Mehrle, A.; Adams, G.; Bertolet, B.; Stavroulakis, K.; Soukas, P.A. Intravascular Lithotripsy for Treatment of Severely Calcified Common Femoral Artery Disease: Results from the Disrupt PAD III Observational Study. J. Endovasc. Ther. 2024. [Google Scholar] [CrossRef]
- Moher, D.; Liberati, A.; Tetzlaff, J.; Altman, D.G. Preferred reporting items for systematic reviews and meta-analyses: The PRISMA statement. PLoS Med. 2009, 6, e1000097. [Google Scholar] [CrossRef] [PubMed]
- Sterne, J.A.; Hernán, M.A.; Reeves, B.C.; Savović, J.; Berkman, N.D.; Viswanathan, M.; Henry, D.; Altman, D.G.; Ansari, M.T.; Boutron, I.; et al. ROBINS-I: A tool for assessing risk of bias in non-randomised studies of interventions. BMJ 2016, 355, i4919. [Google Scholar] [CrossRef]
- Newcombe, R.G. Two-sided confidence intervals for the single proportion: Comparison of seven methods. Stat. Med. 1998, 17, 857–872. [Google Scholar] [CrossRef]
- Higgins, J.P.; Thompson, S.G.; Deeks, J.J.; Altman, D.G. Measuring inconsistency in meta-analyses. BMJ 2003, 327, 557–560. [Google Scholar] [CrossRef]
- Hozo, S.P.; Djulbegovic, B.; Hozo, I. Estimating the mean and variance from the median, range, and the size of a sample. BMC Med. Res. Methodol. 2005, 5, 13. [Google Scholar] [CrossRef]
- Wan, X.; Wang, W.; Liu, J.; Tong, T. Estimating the sample mean and standard deviation from the sample size, median, range and/or interquartile range. BMC Med. Res. Methodol. 2014, 14, 135. [Google Scholar] [CrossRef]
- Del Canto Peruyera, P.; Linares Sánchez, M.; Álvarez Salgado, A.; Suárez González, L.; Fernández Álvarez, V.; Vallina-Victorero Vázquez, M.J. Intravascular Lithotripsy for Common Femoral Artery Occlusive Disease. Ann. Vasc. Surg. 2025, 112, 123–128. [Google Scholar] [CrossRef]
- Stavroulakis, K.; Torsello, G.; Chlouverakis, G.; Bisdas, T.; Damerau, S.; Tsilimparis, N.; Argyriou, A. Intravascular Lithotripsy and Drug-Coated Balloon Angioplasty for Severely Calcified Common Femoral Artery Atherosclerotic Disease. J. Endovasc. Ther. 2024, 31, 1165–1172. [Google Scholar] [CrossRef] [PubMed]
- Colacchio, E.C.; Salcuni, M.; Gasparre, A.; Giorgio, D.; Barile, D.; Bussetti, F.; Antonello, M.; Colacchio, G. Midterm Results of Intravascular Lithotripsy for Severely Calcified Common Femoral Artery Occlusive Disease: A Single-Center Experience. J. Endovasc. Ther. 2023, 30, 859–866. [Google Scholar] [CrossRef] [PubMed]
- Salazar, S.A.; Vengalasetti, Y.; Kilbridge, M.; Gurusamy, V.; Powell, A.; Schiro, B.J.; Peña, C.S.; Gandhi, R.T.; Niekamp, A.S. Outcomes of Intravascular Lithotripsy in the Treatment of Chronic Limb-Threatening Ischemia: A Single-Center Retrospective Study. Cardiovasc. Intervent Radiol. 2023, 46, 1214–1220. [Google Scholar] [CrossRef]
- Baig, M.; Kwok, M.; Aldairi, A.; Imran, H.M.; Khan, M.S.; Moustafa, A.; Hyder, O.N.; Saad, M.; Aronow, H.D.; Soukas, P.A. Endovascular Intravascular Lithotripsy in the Treatment of Calcific Common Femoral Artery Disease: A Case Series With an 18-Month Follow-Up. Cardiovasc. Revasc Med. 2022, 43, 80–84. [Google Scholar] [CrossRef] [PubMed]
- Baig, M.; Kwok, M.; Aldairi, A.; Imran, H.M.; Khan, M.S.; Ngmadu, K.S.; Hyder, O.N.; Aronow, H.D.; Soukas, P.A. Intravascular Lithotripsy vs. Atherectomy in the Treatment of Calcified Common Femoral Artery Disease. J. Soc. Cardiovasc. Angiogr. Interv. 2022, 1, 100374. [Google Scholar] [CrossRef]
- Radaideh, Q.; Shammas, N.W.; Shammas, W.J.; Shammas, G.A. Shockwave™ Lithoplasty in Combination With Atherectomy in Treating Severe Calcified Femoropopliteal and Iliac Artery Disease: A Single-Center Experience. Cardiovasc. Revasc Med. 2021, 22, 66–70. [Google Scholar] [CrossRef]
- Brodmann, M.; Werner, M.; Holden, A.; Tepe, G.; Scheinert, D.; Schwindt, A.; Wolf, F.; Jaff, M.; Lansky, A.; Zeller, T. Primary outcomes and mechanism of action of intravascular lithotripsy in calcified, femoropopliteal lesions: Results of Disrupt PAD II. Catheter. Cardiovasc. Interv. 2019, 93, 335–342. [Google Scholar] [CrossRef]
- Okita, Y. Kinking of frozen elephant trunk: Reality versus myth-a case report and literature reported. Cardiovasc. Diagn. Ther. 2022, 12, 545–551. [Google Scholar] [CrossRef]
- Holden, A. The use of intravascular lithotripsy for the treatment of severely calcified lower limb arterial CTOs. J. Cardiovasc. Surg. 2019, 60, 3–7. [Google Scholar] [CrossRef]
- Brodmann, M.; Werner, M.; Brinton, T.J.; Illindala, U.; Lansky, A.; Jaff, M.R.; Holden, A. Safety and Performance of Lithoplasty for Treatment of Calcified Peripheral Artery Lesions. J. Am. Coll. Cardiol. 2017, 70, 908–910. [Google Scholar] [CrossRef]
- Tepe, G.; Brodmann, M.; Bachinsky, W.; Holden, A.; Zeller, T.; Mangalmurti, S.; Nolte-Ernsting, C.; Virmani, R.; Parikh, S.A.; Gray, W.A. Intravascular Lithotripsy for Peripheral Artery Calcification: Mid-term Outcomes from the Randomized Disrupt PAD III Trial. J. Soc. Cardiovasc. Angiogr. Interv. 2022, 1, 100341. [Google Scholar] [CrossRef]
- Tepe, G.; Brodmann, M.; Werner, M.; Bachinsky, W.; Holden, A.; Zeller, T.; Mangalmurti, S.; Nolte-Ernsting, C.; Bertolet, B.; Scheinert, D.; et al. Intravascular Lithotripsy for Peripheral Artery Calcification: 30-Day Outcomes From the Randomized Disrupt PAD III Trial. JACC Cardiovasc. Interv. 2021, 14, 1352–1361. [Google Scholar] [CrossRef]
- Armstrong, E.J.; Adams, G.; Soukas, P.A.; Mangalmurti, S.S.; Shammas, N.W.; Mehrle, A.; Bertolet, B.; Gray, W.A.; Tepe, G.; Woo, E.Y.; et al. Intravascular Lithotripsy for Peripheral Artery Calcification: 30-Day Outcomes from the Disrupt PAD III Observational Study. J. Endovasc. Ther. 2024. [Google Scholar] [CrossRef] [PubMed]
- Norgren, L.; Hiatt, W.R.; Dormandy, J.A.; Nehler, M.R.; Harris, K.A.; Fowkes, F.G. Inter-Society Consensus for the Management of Peripheral Arterial Disease (TASC II). J. Vasc. Surg. 2007, 45, S5–S67. [Google Scholar] [CrossRef]
- Werk, M.; Albrecht, T.; Meyer, D.R.; Ahmed, M.N.; Behne, A.; Dietz, U.; Eschenbach, G.; Hartmann, H.; Lange, C.; Schnorr, B.; et al. Paclitaxel-coated balloons reduce restenosis after femoro-popliteal angioplasty: Evidence from the randomized PACIFIER trial. Circ. Cardiovasc. Interv. 2012, 5, 831–840. [Google Scholar] [CrossRef] [PubMed]
- Fitzgerald, P.J.; Ports, T.A.; Yock, P.G. Contribution of localized calcium deposits to dissection after angioplasty. An observational study using intravascular ultrasound. Circulation 1992, 86, 64–70. [Google Scholar] [CrossRef] [PubMed]
- Fanelli, F.; Cannavale, A.; Gazzetti, M.; Lucatelli, P.; Wlderk, A.; Cirelli, C.; d’Adamo, A.; Salvatori, F.M. Calcium burden assessment and impact on drug-eluting balloons in peripheral arterial disease. Cardiovasc. Intervent Radiol. 2014, 37, 898–907. [Google Scholar] [CrossRef]
- Shah, K.; Csore, J.; Roy, T.L. Approaches and considerations for optimal vessel sizing in peripheral vascular interventions. JVS-Vasc. Insights 2024, 2, 100092. [Google Scholar] [CrossRef]
- Patel, S.D.; Zymvragoudakis, V.; Sheehan, L.; Lea, T.; Modarai, B.; Katsanos, K.; Zayed, H. Atherosclerotic Plaque Analysis: A Pilot Study to Assess a Novel Tool to Predict Outcome Following Lower Limb Endovascular Intervention. Eur. J. Vasc. Endovasc. Surg. 2015, 50, 487–493. [Google Scholar] [CrossRef] [PubMed]
- Nguyen, B.N.; Amdur, R.L.; Abugideiri, M.; Rahbar, R.; Neville, R.F.; Sidawy, A.N. Postoperative complications after common femoral endarterectomy. J. Vasc. Surg. 2015, 61, 1489–1494.e1. [Google Scholar] [CrossRef] [PubMed]
- Ali, Z.A.; Kereiakes, D.J.; Hill, J.M.; Saito, S.; Di Mario, C.; Honton, B.; Gonzalo, N.; Riley, R.F.; Maehara, A.; Matsumura, M.; et al. Impact of Calcium Eccentricity on the Safety and Effectiveness of Coronary Intravascular Lithotripsy: Pooled Analysis from the Disrupt CAD Studies. Circ. Cardiovasc. Interv. 2023, 16, e012898. [Google Scholar] [CrossRef] [PubMed]


| Study | Total (N) | Treatment Modality | Age (Years), Mean (SD) | Males (%) | Dyslipidemia (%) | Diabetes (%) | HTN (%) | Heart Disease (%) | CVD (%) | CKD (%) | Smoking History (%) | Prior Intervention (%) | Baseline ABI, Mean (SD) | CLTI (%) |
|---|---|---|---|---|---|---|---|---|---|---|---|---|---|---|
| Peruyera 2025 [12] | 15 | IVL only | 72.5 (9.7) | 86.7 | 73.3 | 60 | 73.3 | 33.3 | 20 | 6.7 | 73.3 | 13.3 | 100 | |
| Shammas 2024 [5] | 163 | IVL + adjunctive therapy | 72.1 (8.6) | 76 | 88.3 | 37.4 | 93.3 | 23.9 | 12.9 | 20.9 | 88.3 | 0.7 (0.3) | 26.9 | |
| Stavroulakis 2024 [13] | 33 | IVL + DCB | 73 (10) | 51.5 | 60.6 | 33.3 | 93.9 | 48.5 | 18.2 | 51.5 | 36.4 | 33.3 | 0.67 (0.39) | 42.4 |
| Colacchio 2023 [14] | 20 | IVL + DCB | 75 (9.2) | 35 | 45 | 10 | 50 | 25 | 15 | 25 | 40 | 25 | ||
| Salazar 2023 [15] | 9 | IVL +/− adjunctive therapy (no atherectomy) | 100 | 100 | ||||||||||
| Baig 2022 (b) [17] | 50 | IVL +/− atherectomy +/− DCB | 74.6 (8.0) | 74 | 92 | 50 | 94 | 68 | 28 | 14 | 88 | 0.67 (0.2) | 30 | |
| Radaideh 2021 [18] | 3 | IVL + atherectomy | ||||||||||||
| Brodman 2019 [19] | 21 | IVL + PTA/DCB (x1 atherectomy) | 71.9 (10.1) | 76.2 |
| Study | Patients; Lesions (N) | CTO (%) | Moderate/Severe Calcification (%) | Severe Calcification (%) | Lesion Length (mm), Mean (SD) | Calcification Length (mm), Mean (SD) | Diameter Stenosis (%), Mean (SD/Range) | Reference Vessel Diameter (mm), Mean (SD) | Pre-Dilation (%) | Mean Number of Shockwave Pulses (SD) | Post-IVL Diameter (%), Mean (SD/Range) | Adjunctive Calcium-Modifying Technology (%) | DCB (%) |
|---|---|---|---|---|---|---|---|---|---|---|---|---|---|
| Peruyera 2025 [12] | 15; 15 | 53.3 | 100 | 66.7 | 86.74 (16.22) | 6.26 (0.71) | 20 | 0 | 93.3 | ||||
| Shammas 2024 [5] | 163 | 18.4 | 95.1 | 53.6 (53.1) | 77.4 (61.5) | 74.8 (17.7) | 6.3 (1.1) | 28 | 188.5 (102.6) | 29.2 (16.5) | 35.9 | 68.9 | |
| Stavroulakis 2024 [13] | 33 | 12.1 | 56 (20.7) | 0 | 100 | ||||||||
| Colacchio 2023 [14] | 10; 12 | 100 | 83.3 | 66.7 | 28.2 (10.7) | 28.17 (10.74) | 80 (78.7–90) | 40 (31.2–40) | 0 | ||||
| Salazar 2023 [15] | 9 | 82.6 (20.6) | 25.6 (26.6) | 0 | |||||||||
| Baig 2022 (b) [17] | 50; 54 | 11.1 | 87 | 62.9 | 25.9 (10.3) out of 30 cases | 76.6 (13.0) | 6.80 (1.54) | 17 cases of pre or post-dilation | 218 (105) | 38.9 | 83.3 | ||
| Radaideh 2021 [18] | 3 | 100 | 100 | 100 | 100 | ||||||||
| Brodman 2019 [19] | 21 | 100 | 71.4 | 37.8 (16.7) | 61.6 (30.7) | 72.3 (12.8) | 6.1 (0.8) | 0 | 140 (58) | 4.8 | 85.7 |
| Study | Total (N) | Flow-Limiting Dissection (%) | Non-Flow-Limiting Dissection (%) | Perforation (%) | Distal Embolization (%) | Bail-Out Stent (%) |
|---|---|---|---|---|---|---|
| Peruyera 2025 [12] | 15 | 0 | 6.7 | 0 | 0 | 0 |
| Shammas 2024 [5] | 163 | 0.6 | 0 | 0 | 0 | 16.6 |
| Stavroulakis 2024 [13] | 33 | 6.1 | 3 | 3 | 3 | 12.1 |
| Colacchio 2023 [14] | 10 | 0 | 0 | 0 | 0 | 0 |
| Salazar 2023 [15] | 9 | 0 | 0 | 0 | 0 | 0 |
| Baig 2022 (a) [16] | 30 | 3.3 | 0 | 0 | 0 | 3.3 |
| Baig 2022 (b) [17] | 21 | 0 | 0 | 0 | 0 | 0 |
| Radaideh 2021 [18] | 3 | 0 | 0 | 0 | ||
| Brodman 2019 [19] | 21 | 0 | 23.8 | 0 | 0 | 0 |
Disclaimer/Publisher’s Note: The statements, opinions and data contained in all publications are solely those of the individual author(s) and contributor(s) and not of MDPI and/or the editor(s). MDPI and/or the editor(s) disclaim responsibility for any injury to people or property resulting from any ideas, methods, instructions or products referred to in the content. |
© 2025 by the authors. Licensee MDPI, Basel, Switzerland. This article is an open access article distributed under the terms and conditions of the Creative Commons Attribution (CC BY) license (https://creativecommons.org/licenses/by/4.0/).
Share and Cite
Ye, I.B.; Giannopoulos, S.; Kokkosis, A.A.; Jasinski, P.T.; Labropoulos, N. Challenging the No-Stent Zone: Intravascular Lithotripsy for Common Femoral Artery Disease. J. Clin. Med. 2025, 14, 6492. https://doi.org/10.3390/jcm14186492
Ye IB, Giannopoulos S, Kokkosis AA, Jasinski PT, Labropoulos N. Challenging the No-Stent Zone: Intravascular Lithotripsy for Common Femoral Artery Disease. Journal of Clinical Medicine. 2025; 14(18):6492. https://doi.org/10.3390/jcm14186492
Chicago/Turabian StyleYe, Ivan B., Stefanos Giannopoulos, Angela A. Kokkosis, Patrick T. Jasinski, and Nicos Labropoulos. 2025. "Challenging the No-Stent Zone: Intravascular Lithotripsy for Common Femoral Artery Disease" Journal of Clinical Medicine 14, no. 18: 6492. https://doi.org/10.3390/jcm14186492
APA StyleYe, I. B., Giannopoulos, S., Kokkosis, A. A., Jasinski, P. T., & Labropoulos, N. (2025). Challenging the No-Stent Zone: Intravascular Lithotripsy for Common Femoral Artery Disease. Journal of Clinical Medicine, 14(18), 6492. https://doi.org/10.3390/jcm14186492

