Characterizing Muscle Tissue Quality Post-Stroke: Echovariation as a Clinical Indicator
Abstract
1. Introduction
2. Materials and Methods
2.1. Study Design
2.2. Participants
2.3. Data Collection
2.4. Variables and Data Analysis
- Grey-level co-occurrence matrix (GLCM): the correlation, dissimilarity, contrast, homogeneity, angular second moment (ASM), energy, maximum probability, entropy [35], cluster shade, and cluster prominence [36]. The GLCM was calculated using the skimage.feature library (https://scikit-image.org/docs/stable/api/skimage.feature.html, accessed on 20 October 2024), with distances = 5, angles = 0, and levels = 256.
- Grey-level run length matrix (GLRLM): the short run emphasis (SRE), long run emphasis (LRE) [37], grey-level Uuniformity (GLU), run length uniformity (RLU) [38], and run percentage (RPC) [39]. The GLRLM was calculated using a custom library (https://pypi.org/project/glrlm/, accessed on 20 October 2024). The final output of the GLRLM was obtained for all angles: 0°, 45°, 90°, 135°, and 180°, using a level parameter of 16. The features were then extracted from each matrix, and the final output was derived by averaging the features across all angles.
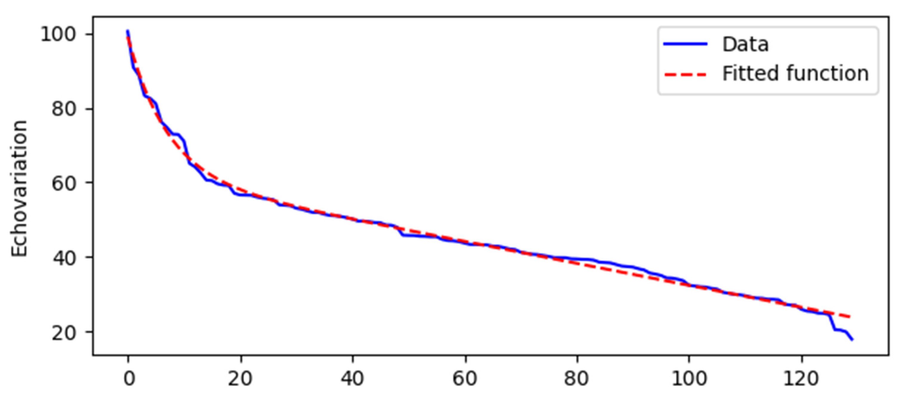
3. Results
4. Discussion
5. Conclusions
Supplementary Materials
Author Contributions
Funding
Institutional Review Board Statement
Informed Consent Statement
Data Availability Statement
Acknowledgments
Conflicts of Interest
References
- Vollset, S.E.; Ababneh, H.S.; Abate, Y.H.; Abbafati, C.; Abbasgholizadeh, R.; Abbasian, M.; Abbastabar, H.; Abd Al Magied, A.H.A.; ElHafeez, S.A.; Abdelkader, A.; et al. Burden of Disease Scenarios for 204 Countries and Territories, 2022–2050: A Forecasting Analysis for the Global Burden of Disease Study 2021. Lancet 2024, 403, 2204–2256. [Google Scholar] [CrossRef] [PubMed]
- Saini, V.; Guada, L.; Yavagal, D.R. Global Epidemiology of Stroke and Access to Acute Ischemic Stroke Interventions. Neurology 2021, 97, S6–S16. [Google Scholar] [CrossRef] [PubMed]
- Zwanenburg, A.; Vallières, M.; Abdalah, M.A.; Aerts, H.J.W.L.; Andrearczyk, V.; Apte, A.; Ashrafinia, S.; Bakas, S.; Beukinga, R.J.; Boellaard, R.; et al. The Image Biomarker Standardization Initiative: Standardized Quantitative Radiomics for High-Throughput Image-Based Phenotyping. Radiology 2020, 295, 328–338. [Google Scholar] [CrossRef] [PubMed]
- Scalco, E.; Rizzo, G. Texture Analysis of Medical Images for Radiotherapy Applications. Br. J. Radiol. 2017, 90, 20160642. [Google Scholar] [CrossRef]
- Bharati, M.H.; Liu, J.J.; MacGregor, J.F. Image Texture Analysis: Methods and Comparisons. Chemom. Intell. Lab. Syst. 2004, 72, 57–71. [Google Scholar] [CrossRef]
- Molinari, F.; Caresio, C.; Acharya, U.R.; Mookiah, M.R.K.; Minetto, M.A. Advances in Quantitative Muscle Ultrasonography Using Texture Analysis of Ultrasound Images. Ultrasound Med. Biol. 2015, 41, 2520–2532. [Google Scholar] [CrossRef]
- Gillies, R.J.; Kinahan, P.E.; Hricak, H. Radiomics: Images Are More than Pictures, They Are Data. Radiology 2016, 278, 563–577. [Google Scholar] [CrossRef]
- Berenguer, R.; Del Rosario Pastor-Juan, M.; Canales-Vázquez, J.; Castro-García, M.; Villas, M.V.; Legorburo, F.M.; Sabater, S. Radiomics of CT Features May Be Nonreproducible and Redundant: Influence of CT Acquisition Parameters. Radiology 2018, 288, 407–415. [Google Scholar] [CrossRef]
- Sollini, M.; Antunovic, L.; Chiti, A.; Kirienko, M. Towards Clinical Application of Image Mining: A Systematic Review on Artificial Intelligence and Radiomics. Eur. J. Nucl. Med. Mol. Imaging 2019, 46, 2656. [Google Scholar] [CrossRef]
- Hatt, M.; Tixier, F.; Pierce, L.; Kinahan, P.E.; Le Rest, C.C.; Visvikis, D. Characterization of PET/CT Images Using Texture Analysis: The Past, the Present… Any Future? Eur. J. Nucl. Med. Mol. Imaging 2017, 44, 151–165. [Google Scholar] [CrossRef]
- Correa-de-Araujo, R.; Harris-Love, M.O.; Miljkovic, I.; Fragala, M.S.; Anthony, B.W.; Manini, T.M. The Need for Standardized Assessment of Muscle Quality in Skeletal Muscle Function Deficit and Other Aging-Related Muscle Dysfunctions: A Symposium Report. Front. Physiol. 2017, 8, 87. [Google Scholar] [CrossRef] [PubMed]
- Chow, R.S.; Medri, M.K.; Martin, D.C.; Leekam, R.N.; Agur, A.M.; McKee, N.H. Sonographic Studies of Human Soleus and Gastrocnemius Muscle Architecture: Gender Variability. Eur. J. Appl. Physiol. 2000, 82, 236–244. [Google Scholar] [CrossRef]
- Reeves, N.D.; Maganaris, C.N.; Narici, M. Ultrasonographic Assessment of Human Skeletal Muscle Size. Eur. J. Appl. Physiol. 2004, 91, 116–118. [Google Scholar] [CrossRef] [PubMed]
- Martínez-Payá, J.J.; Ríos-Díaz, J.; Del Baño-Aledo, M.E.; Tembl-Ferrairó, J.I.; Vazquez-Costa, J.F.; Medina-Mirapeix, F. Quantitative Muscle Ultrasonography Using Textural Analysis in Amyotrophic Lateral Sclerosis. Ultrason. Imaging 2017, 39, 357–368. [Google Scholar] [CrossRef] [PubMed]
- Behr, M.; Noseworthy, M.; Kumbhare, D. Feasibility of a Support Vector Machine Classifier for Myofascial Pain Syndrome: Diagnostic Case-Control Study. J. Ultrasound Med. 2019, 38, 2119–2132. [Google Scholar] [CrossRef]
- Del-Canto-fernández, A.; Calleja-Martínez, P.; Descalzo-Hoyas, B.; Rodríguez-Posada, S.; Cuenca-Zaldívar, N.; Fernández-Carnero, S.; Naranjo-Cinto, F.; Gallego-Izquierdo, T. The Application of Image Texture Analysis Techniques on the Effects of Dry Needling versus Placebo in Low-Back Pain Patients: A Pilot-Study. Appl. Sci. 2022, 12, 5556. [Google Scholar] [CrossRef]
- Paris, M.T.; Mourtzakis, M. Muscle Composition Analysis of Ultrasound Images: A Narrative Review of Texture Analysis. Ultrasound Med. Biol. 2021, 47, 880–895. [Google Scholar] [CrossRef]
- Alter, K.E.; Karp, B.I. Ultrasound Guidance for Botulinum Neurotoxin Chemodenervation Procedures. Toxins 2017, 10, 18. [Google Scholar] [CrossRef]
- Pillen, S.; Arts, I.M.P.; Zwarts, M.J. Muscle Ultrasound in Neuromuscular Disorders. Muscle Nerve 2008, 37, 679–693. [Google Scholar] [CrossRef]
- Heckmatt, J.Z.; Dubowitz, V. Ultrasound Imaging and Directed Needle Biopsy in the Diagnosis of Selective Involvement in Muscle Disease. J. Child. Neurol. 1987, 2, 205–213. [Google Scholar] [CrossRef]
- Akazawa, N.; Harada, K.; Okawa, N.; Kishi, M.; Tamura, K.; Moriyama, H. Changes in Quadriceps Thickness and Echo Intensity in Chronic Stroke Survivors: A 3-Year Longitudinal Study. J. Stroke Cerebrovasc. Dis. 2021, 30, 105543. [Google Scholar] [CrossRef] [PubMed]
- Heckmatt, J.Z.; Leeman, S.; Dubowitz, V. Ultrasound Imaging in the Diagnosis of Muscle Disease. J. Pediatr. 1982, 101, 656–660. [Google Scholar] [CrossRef] [PubMed]
- Moreta, M.C.; Fleet, A.; Reebye, R.; McKernan, G.; Berger, M.; Farag, J.; Munin, M.C. Reliability and Validity of the Modified Heckmatt Scale in Evaluating Muscle Changes With Ultrasound in Spasticity. Arch. Rehabil. Res. Clin. Transl. 2020, 2, 100071. [Google Scholar] [CrossRef] [PubMed]
- Pillen, S.; Van Alfen, N. Muscle Ultrasound from Diagnostic Tool to Outcome Measure--Quantification Is the Challenge. Muscle Nerve 2015, 52, 319–320. [Google Scholar] [CrossRef]
- Pillen, S.; van Alfen, N. Skeletal Muscle Ultrasound. Neurol. Res. 2011, 33, 1016–1024. [Google Scholar] [CrossRef]
- Michailovich, O.V.; Tannenbaum, A. Despeckling of Medical Ultrasound Images. IEEE Trans. Ultrason. Ferroelectr. Freq. Control 2006, 53, 64. [Google Scholar] [CrossRef]
- Martínez-Payá, J.J.; Ríos-Díaz, J.; Medina-Mirapeix, F.; Vázquez-Costa, J.F.; del Baño-Aledo, M.E. Monitoring Progression of Amyotrophic Lateral Sclerosis Using Ultrasound Morpho-Textural Muscle Biomarkers: A Pilot Study. Ultrasound Med. Biol. 2018, 44, 102–109. [Google Scholar] [CrossRef]
- Ríos-Díaz, J.; Martínez-Payá, J.J.; del Baño-Aledo, M.E.; de Groot-Ferrando, A.; Botía-Castillo, P.; Fernández-Rodríguez, D. Sonoelastography of Plantar Fascia: Reproducibility and Pattern Description in Healthy Subjects and Symptomatic Subjects. Ultrasound Med. Biol. 2015, 41, 2605–2613. [Google Scholar] [CrossRef]
- Lubner, M.G.; Smith, A.D.; Sandrasegaran, K.; Sahani, D.V.; Pickhardt, P.J. CT Texture Analysis: Definitions, Applications, Biologic Correlates, and Challenges. Radiographics 2017, 37, 1483–1503. [Google Scholar] [CrossRef]
- Vandenbroucke, J.P.; von Elm, E.; Altman, D.G.; Gøtzsche, P.C.; Mulrow, C.D.; Pocock, S.J.; Poole, C.; Schlesselman, J.J.; Egger, M.; Blettner, M.; et al. Strengthening the Reporting of Observational Studies in Epidemiology (STROBE): Explanation and Elaboration. Int. J. Surg. 2014, 12, 1500–1524. [Google Scholar] [CrossRef]
- Shrestha, B.; Dunn, L. The Declaration of Helsinki on Medical Research Involving Human Subjects: A Review of Seventh Revision. J. Nepal. Health Res. Counc. 2020, 17, 548–552. [Google Scholar] [CrossRef] [PubMed]
- Perkisas, S.; Baudry, S.; Bauer, J.; Beckwée, D.; De Cock, A.M.; Hobbelen, H.; Jager-Wittenaar, H.; Kasiukiewicz, A.; Landi, F.; Marco, E.; et al. Application of Ultrasound for Muscle Assessment in Sarcopenia: Towards Standardized Measurements. Eur. Geriatr. Med. 2018, 9, 739–757. [Google Scholar] [CrossRef] [PubMed]
- Caresio, C.; Molinari, F.; Emanuel, G.; Minetto, M.A. Muscle Echo Intensity: Reliability and Conditioning Factors. Clin. Physiol. Funct. Imaging 2015, 35, 393–403. [Google Scholar] [CrossRef] [PubMed]
- Gonzalez, R.C.; Woods, R.E. Digital Image Processing, 2nd ed.; Prentice Hall: Englewood Cliffs, NJ, USA, 2002; ISBN 0201180758. [Google Scholar]
- Haralick, R.M.; Dinstein, I.; Shanmugam, K. Textural Features for Image Classification. IEEE Trans. Syst. Man. Cybern. 1973, SMC-3, 610–621. [Google Scholar] [CrossRef]
- Tsai, D.-M.; Hsiao, B. Automatic Surface Inspection Using Wavelet Reconstruction. Pattern Recognit. 2001, 34, 1285–1305. [Google Scholar] [CrossRef]
- Galloway, M.M. Texture Analysis Using Gray Level Run Lengths. Comput. Graph. Image Process. 1975, 4, 172–179. [Google Scholar] [CrossRef]
- Chu, A.; Sehgal, C.M.; Greenleaf, J.F. Use of Gray Value Distribution of Run Lengths for Texture Analysis. Pattern Recognit. Lett. 1990, 11, 415–419. [Google Scholar] [CrossRef]
- Amadasun, M.; King, R. Texural Features Corresponding to Texural Properties. IEEE Trans. Syst. Man. Cybern. 1989, 19, 1264–1274. [Google Scholar] [CrossRef]
- Chan, Y.H. Biostatistics 104: Correlational Analysis. Singap. Med. J. 2003, 44, 614–619. [Google Scholar]
- Nijholt, W.; Scafoglieri, A.; Jager-Wittenaar, H.; Hobbelen, J.S.M.; van der Schans, C.P. The Reliability and Validity of Ultrasound to Quantify Muscles in Older Adults: A Systematic Review. J. Cachexia Sarcopenia Muscle 2017, 8, 702–712. [Google Scholar] [CrossRef]
- Wijntjes, J.; Saris, C.; Doorduin, J.; van Alfen, N.; van Engelen, B.; Mul, K. Improving Heckmatt Muscle Ultrasound Grading Scale through Rasch Analysis. Neuromuscul. Disord. 2024, 42, 14–21. [Google Scholar] [CrossRef] [PubMed]
- Picelli, A.; Bonetti, P.; Fontana, C.; Barausse, M.; Dambruoso, F.; Gajofatto, F.; Girardi, P.; Manca, M.; Gimigliano, R.; Smania, N. Is spastic muscle echo intensity related to the response to botulinum toxin type A in patients with stroke? A cohort study. Arch. Phys. Med. Rehabil. 2012, 93, 1253–1258. [Google Scholar] [CrossRef] [PubMed]
- Martínez-Payá, J.J.; del Baño-Aledo, M.E.; Ríos-Díaz, J.; Tembl-Ferrairó, J.I.; Vázquez-Costa, J.F.; Medina-Mirapeix, F. Muscular Echovariation: A New Biomarker in Amyotrophic Lateral Sclerosis. Ultrasound Med. Biol. 2017, 43, 1153–1162. [Google Scholar] [CrossRef] [PubMed]
- De-La-cruz-torres, B.; Romero-Morales, C. Muscular Echovariation as a New Biomarker for the Classification of Soleus Muscle Pathology: A Cross-Sectional Study. Diagnostics 2021, 11, 1884. [Google Scholar] [CrossRef] [PubMed]
- Canosa-Carro, L.; López-López, D.; García-Sanz, F.; Díaz-Meco-conde, R.; García-Bermejo, P.; De-La-cruz-torres, B.; Marszalek, J.; Romero-Morales, C. Features of Extrinsic Plantar Muscles in Patients with Plantar Fasciitis by Ultrasound Imaging: A Retrospective Case Control Research. Diagnostics 2022, 12, 897. [Google Scholar] [CrossRef]
- Molina-Payá, F.J.; Ríos-Díaz, J.; Carrasco-Martínez, F.; Martínez-Payá, J.J. Infrared Thermography, Intratendon Vascular Resistance, and Echotexture in Athletes with Patellar Tendinopathy: A Cross-Sectional Study. Ultrason. Imaging 2023, 45, 47–61. [Google Scholar] [CrossRef]
- Foy, J.J.; Robinson, K.R.; Li, H.; Giger, M.L.; Al-Hallaq, H.; Armato, S.G. Variation in Algorithm Implementation across Radiomics Software. J. Med. Imaging 2018, 5, 044505. [Google Scholar] [CrossRef]
- Watanabe, Y.; Ikenaga, M.; Yoshimura, E.; Yamada, Y.; Kimura, M. Association between Echo Intensity and Attenuation of Skeletal Muscle in Young and Older Adults: A Comparison between Ultrasonography and Computed Tomography. Clin. Interv. Aging 2018, 13, 1871–1878. [Google Scholar] [CrossRef]
- Strasser, E.M.; Draskovits, T.; Praschak, M.; Quittan, M.; Graf, A. Association between Ultrasound Measurements of Muscle Thickness, Pennation Angle, Echogenicity and Skeletal Muscle Strength in the Elderly. Age 2013, 35, 2377–2388. [Google Scholar] [CrossRef]
- Pillen, S.; Tak, R.O.; Zwarts, M.J.; Lammens, M.M.Y.; Verrijp, K.N.; Arts, I.M.P.; van der Laak, J.A.; Hoogerbrugge, P.M.; van Engelen, B.G.M.; Verrips, A. Skeletal Muscle Ultrasound: Correlation between Fibrous Tissue and Echo Intensity. Ultrasound Med. Biol. 2009, 35, 443–446. [Google Scholar] [CrossRef]
- Young, H.J.; Jenkins, N.T.; Zhao, Q.; Mccully, K.K. Measurement of Intramuscular Fat by Muscle Echo Intensity. Muscle Nerve 2015, 52, 963–971. [Google Scholar] [CrossRef] [PubMed]
- Pingel, J.; Bartels, E.M.; Nielsen, J.B. New Perspectives on the Development of Muscle Contractures Following Central Motor Lesions. J. Physiol. 2017, 595, 1027–1038. [Google Scholar] [CrossRef] [PubMed]
- López-López, S.; Pareja-Galeano, H.; Almazán-Polo, J.; Cotteret, C.; Téllez-González, P.; Calvo-Lobo, C.; Perea-Unceta, L.; Romero-Morales, C. Quantitative Ultrasound Changes in Echotexture and Functional Parameters after a Multicomponent Training Program in Pre-Frailty Individuals: A Pilot Randomized Clinical Trial. Healthcare 2021, 9, 1279. [Google Scholar] [CrossRef] [PubMed]





| Statistical Approach | Feature | Brief Description |
|---|---|---|
| Histogram-based (first-order) features | Echogenicity, also called echointensity (EI) | The ability of tissues to reflect ultrasound waves. Specifies the average brightness of the ultrasound image. |
| Variance | Measures the dispersion of pixel intensity values. | |
| Standard deviation | The square root of variance. | |
| Echovariation (EV), also called coefficient of variation | Variation in echointensities in an ultrasound image. | |
| Skew | Measures the asymmetry of the distribution of pixel intensity values. | |
| Kurtosis | Measures the “tailedness” of the distribution of pixel intensity values. | |
| Grey-level co-occurrence matrix (GLCM) | Correlation | Measures the statistical correlation between neighboring pixels. |
| Dissimilarity | Measures the mean absolute difference between neighboring pixel values. | |
| Contrast | Measures the intensity contrast between a pixel and its neighbor across the ROI. | |
| Homogeneity, also called inverse different moment | Measures the closeness of the distribution of elements in the GLCM to the GLCM diagonal. | |
| Angular second moment (ASM) | Similar to energy, it measures the uniformity of the GLCM. | |
| Energy | Sum of squared elements in the GLCM, representing texture uniformity. | |
| Max probability | The highest value in the GLCM. | |
| Entropy | Measures the randomness or complexity of the texture. | |
| Cluster shade | Measures the skewness of the distribution of the GLCM. | |
| Cluster prominence | Measures the peakedness of the distribution of the GLCM. | |
| Grey-level run length matrix (GLRLM) | Short run emphasis (SRE) | Measures the distribution of short runs. |
| Long run emphasis (LRE) | Measures the distribution of long runs. | |
| Grey-level uniformity (GLU) | Measures the uniformity of grey levels. | |
| Run length uniformity (RLU) | Measures the uniformity of run lengths. | |
| Run percentage (RPC) | The ratio of the number of runs to the number of pixels. |
| Features | Top 10 Values | Bottom 10 Values | ||
|---|---|---|---|---|
| Physiotherapist 1 | Physiotherapist 2 | Physiotherapist 1 | Physiotherapist 2 | |
| Echointensity * | 10/10 | 10/10 | 0/10 | 0/10 |
| Variance | 8/10 | 10/10 | 7/10 | 8/10 |
| Standard deviation | 9/10 | 10/10 | 7/10 | 7/10 |
| Echovariation * | 0/10 | 0/10 | 10/10 | 10/10 |
| Skew | 2/10 | 3/10 | 10/10 | 10/10 |
| Kurtosis * | 0/10 | 0/10 | 10/10 | 10/10 |
| Correlation | 8/10 | 8/10 | 4/10 | 3/10 |
| Dissimilarity | 1/10 | 1/10 | 5/10 | 5/10 |
| Contrast | 3/10 | 4/10 | 5/10 | 5/10 |
| Homogeneity | 2/10 | 2/10 | 5/10 | 5/10 |
| ASM | 3/10 | 4/10 | 7/10 | 9/10 |
| Energy | 0/10 | 0/10 | 5/10 | 7/10 |
| Max probability | 0/10 | 0/10 | 7/10 | 8/10 |
| Entropy | 7/10 | 7/10 | 8/10 | 8/10 |
| Cluster shade | 8/10 | 10/10 | 2/10 | 2/10 |
| Cluster prominence | 7/10 | 10/10 | 1/10 | 1/10 |
| SRE | 8/10 | 9/10 | 7/10 | 8/10 |
| LRE | 3/10 | 3/10 | 7/10 | 9/10 |
| GLU | 8/10 | 8/10 | 10/10 | 10/10 |
| RLU | 10/10 | 10/10 | 10/10 | 10/10 |
| RPC | 10/10 | 10/10 | 9/10 | 9/10 |
| Feature | Correlation | p-Value |
|---|---|---|
| Echointensity | −0.90 * | <0.001 a |
| Variance | 0.34 | <0.001 a |
| Standard deviation | 0.35 | <0.001 a |
| Skew | 0.68 | <0.001 a |
| Kurtosis | 0.46 | <0.001 a |
| Correlation | 0.21 | 0.019 a |
| Dissimilarity | 0.03 | 0.753 |
| Contrast | 0.18 | 0.040 a |
| Homogeneity | 0.53 | <0.001 a |
| ASM | 0.62 | <0.001 a |
| Energy | 0.65 | <0.001 a |
| Max probability | 0.72 | <0.001 a |
| Entropy | −0.20 | 0.024 a |
| Cluster shade | −0.23 | 0.009 a |
| Cluster prominence | −0.37 | <0.001 a |
| SRE | −0.12 | 0.190 |
| LRE | 0.38 | <0.001 a |
| GLU | −0.14 | 0.116 |
| RLU | −0.08 | 0.349 |
| RPC | 0.03 | 0.740 |
| Feature | Grade 1 (n = 24) | Grade 2 (n = 58) | Grade 3 (n = 24) | Grade 4 (n = 24) | Between-Group Comparison (Kruskal–Wallis Test) | Post Hoc Analysis (Wilcoxon Tests with Bonferroni Correction) |
|---|---|---|---|---|---|---|
| Echovariation | 67.28 ± 15.05 | 46.62 ± 7.17 | 37.16 ± 4.94 | 26.85 ± 4.06 | <0.001 a | Grade 1 vs. Grade 2: <0.001 a Grade 1 vs. Grade 3: <0.001 a Grade 1 vs. Grade 4: <0.001 a Grade 2 vs. Grade 3: <0.001 a Grade 2 vs. Grade 4: <0.001 a Grade 3 vs. Grade 4: <0.001 a |
Disclaimer/Publisher’s Note: The statements, opinions and data contained in all publications are solely those of the individual author(s) and contributor(s) and not of MDPI and/or the editor(s). MDPI and/or the editor(s) disclaim responsibility for any injury to people or property resulting from any ideas, methods, instructions or products referred to in the content. |
© 2024 by the authors. Licensee MDPI, Basel, Switzerland. This article is an open access article distributed under the terms and conditions of the Creative Commons Attribution (CC BY) license (https://creativecommons.org/licenses/by/4.0/).
Share and Cite
Asadi, B.; Pujol-Fuentes, C.; Carcasona-Otal, A.; Calvo, S.; Herrero, P.; Lapuente-Hernández, D. Characterizing Muscle Tissue Quality Post-Stroke: Echovariation as a Clinical Indicator. J. Clin. Med. 2024, 13, 7800. https://doi.org/10.3390/jcm13247800
Asadi B, Pujol-Fuentes C, Carcasona-Otal A, Calvo S, Herrero P, Lapuente-Hernández D. Characterizing Muscle Tissue Quality Post-Stroke: Echovariation as a Clinical Indicator. Journal of Clinical Medicine. 2024; 13(24):7800. https://doi.org/10.3390/jcm13247800
Chicago/Turabian StyleAsadi, Borhan, Clara Pujol-Fuentes, Alberto Carcasona-Otal, Sandra Calvo, Pablo Herrero, and Diego Lapuente-Hernández. 2024. "Characterizing Muscle Tissue Quality Post-Stroke: Echovariation as a Clinical Indicator" Journal of Clinical Medicine 13, no. 24: 7800. https://doi.org/10.3390/jcm13247800
APA StyleAsadi, B., Pujol-Fuentes, C., Carcasona-Otal, A., Calvo, S., Herrero, P., & Lapuente-Hernández, D. (2024). Characterizing Muscle Tissue Quality Post-Stroke: Echovariation as a Clinical Indicator. Journal of Clinical Medicine, 13(24), 7800. https://doi.org/10.3390/jcm13247800

