Real-World Clinical Effectiveness of Liraglutide for Weight Management in Türkiye: Insights from the LIRA-TR Study
Abstract
1. Introduction
2. Materials and Methods
2.1. Data Collection
2.2. Patient Selection
3. Statistics
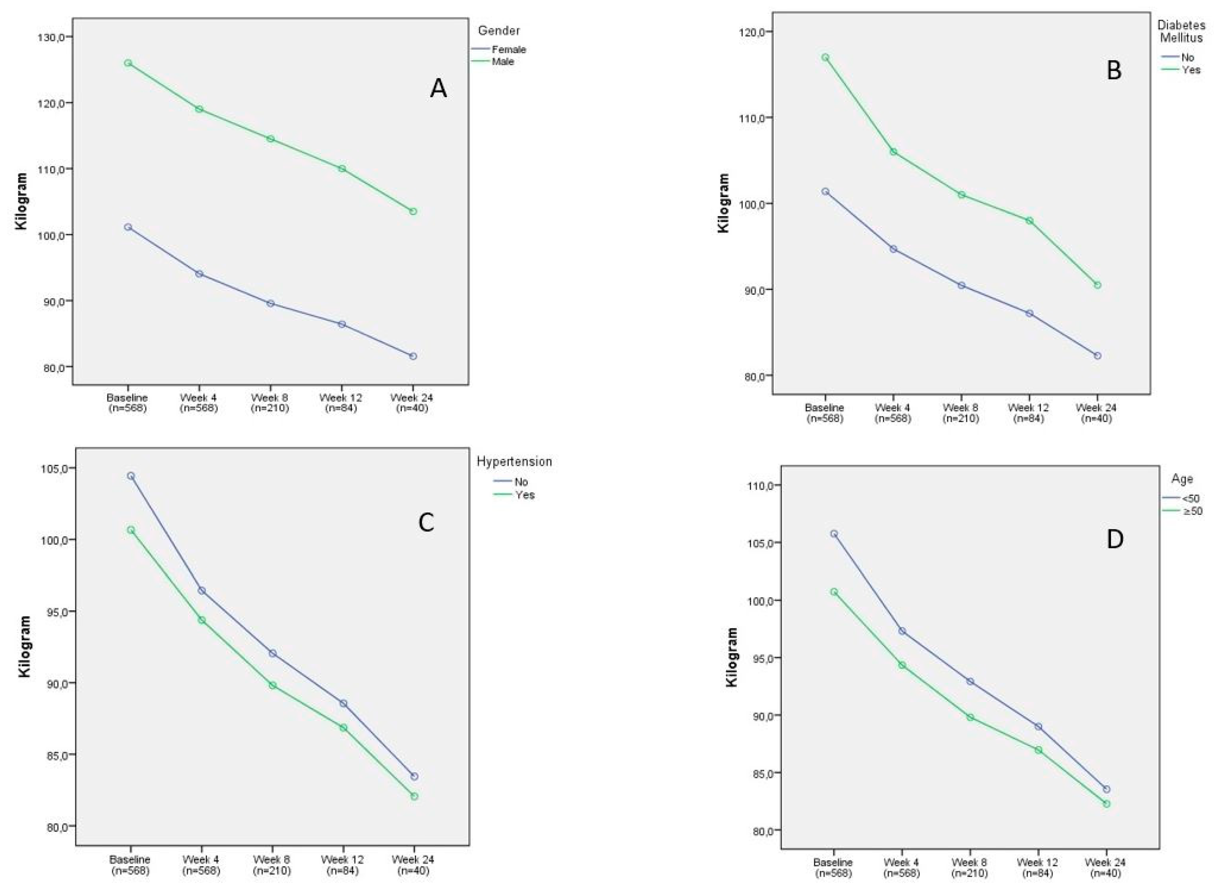
4. Results
5. Discussion
6. Conclusions
Author Contributions
Funding
Institutional Review Board Statement
Informed Consent Statement
Data Availability Statement
Conflicts of Interest
References
- World Health Organization. WHO European Regional Obesity Report 2022. Available online: https://www.who.int/europe/publications/i/item/9789289057738 (accessed on 15 September 2024).
- Poobalan, A.S.; Aucott, L.S.; Smith, W.C.; Avenell, A.; Jung, R.; Broom, J. Long-term weight loss effects on all cause mortality in overweight/obese populations. Obes. Rev. 2007, 8, 503–513. [Google Scholar] [CrossRef] [PubMed]
- Gadde, K.M.; Martin, C.K.; Berthoud, H.R.; Heymsfield, S.B. Obesity: Pathophysiology and Management. J. Am. Coll. Cardiol. 2018, 71, 69–84. [Google Scholar] [CrossRef] [PubMed]
- Polidori, D.; Sanghvi, A.; Seeley, R.J.; Hall, K.D. How Strongly Does Appetite Counter Weight Loss? Quantification of the Feedback Control of Human Energy Intake. Obesity 2016, 24, 2289–2295. [Google Scholar] [CrossRef] [PubMed]
- Yumuk, V.; Tsigos, C.; Fried, M.; Schindler, K.; Busetto, L.; Micic, D.; Toplak, H. European Guidelines for Obesity Management in Adults. Obes. Facts 2015, 8, 402–424. [Google Scholar] [CrossRef] [PubMed]
- Durrer Schutz, D.; Busetto, L.; Dicker, D.; Farpour-Lambert, N.; Pryke, R.; Toplak, H.; Widmer, D.; Yumuk, V.; Schutz, Y. European Practical and Patient-Centred Guidelines for Adult Obesity Management in Primary Care. Obes. Facts 2019, 12, 40–66. [Google Scholar] [CrossRef]
- Lau, D.C.; Douketis, J.D.; Morrison, K.M.; Hramiak, I.M.; Sharma, A.M.; Ur, E. 2006 Canadian clinical practice guidelines on the management and prevention of obesity in adults and children [summary]. CMAJ 2007, 176, S1–S13. [Google Scholar] [CrossRef] [PubMed]
- Knudsen, L.B. Liraglutide: The therapeutic promise from animal models. Int. J. Clin. Pract. Suppl. 2010, 64, 4–11. [Google Scholar] [CrossRef]
- van Can, J.; Sloth, B.; Jensen, C.B.; Flint, A.; Blaak, E.E.; Saris, W.H. Effects of the once-daily GLP-1 analog liraglutide on gastric emptying, glycemic parameters, appetite and energy metabolism in obese, non-diabetic adults. Int. J. Obes. 2014, 38, 784–793. [Google Scholar] [CrossRef] [PubMed]
- Pi-Sunyer, X.; Astrup, A.; Fujioka, K.; Greenway, F.; Halpern, A.; Krempf, M.; Lau, D.C.; le Roux, C.W.; Violante Ortiz, R.; Jensen, C.B.; et al. A Randomized, Controlled Trial of 3.0 mg of Liraglutide in Weight Management. N. Engl. J. Med. 2015, 373, 11–22. [Google Scholar] [CrossRef]
- Davies, M.J.; Bergenstal, R.; Bode, B.; Kushner, R.F.; Lewin, A.; Skjøth, T.V.; Andreasen, A.H.; Jensen, C.B.; DeFronzo, R.A. Efficacy of Liraglutide for Weight Loss Among Patients With Type 2 Diabetes: The SCALE Diabetes Randomized Clinical Trial. JAMA 2015, 314, 687–699. [Google Scholar] [CrossRef]
- Blackman, A.; Foster, G.D.; Zammit, G.; Rosenberg, R.; Aronne, L.; Wadden, T.; Claudius, B.; Jensen, C.B.; Mignot, E. Effect of liraglutide 3.0 mg in individuals with obesity and moderate or severe obstructive sleep apnea: The SCALE Sleep Apnea randomized clinical trial. Int. J. Obes. 2016, 40, 1310–1319. [Google Scholar] [CrossRef] [PubMed]
- Wadden, T.A.; Hollander, P.; Klein, S.; Niswender, K.; Woo, V.; Hale, P.M.; Aronne, L. Weight maintenance and additional weight loss with liraglutide after low-calorie-diet-induced weight loss: The SCALE Maintenance randomized study. Int. J. Obes. 2013, 37, 1443–1451. [Google Scholar] [CrossRef] [PubMed]
- Lin, K.J.; Schneeweiss, S. Considerations for the analysis of longitudinal electronic health records linked to claims data to study the effectiveness and safety of drugs. Clin. Pharmacol. Ther. 2016, 100, 147–159. [Google Scholar] [CrossRef] [PubMed]
- American Diabetes Association. Standards of Care in Diabetes-2023 Abridged for Primary Care Providers. Clin. Diabetes 2022, 41, 4–31. [Google Scholar] [CrossRef]
- Association of Turkish Endocrinology and Metabolism Guidelines for the Management of Obesity. 2019. Available online: https://file.temd.org.tr/Uploads/publications/guides/documents/20190506163904-2019tbl_kilavuz5ccdcb9e5d.pdf?a=1 (accessed on 15 September 2024).
- Cetiner, S. A single-center study on the biochemical effect and clinical effectiveness of liraglutide in Turkish patients. Eur. Rev. Med. Pharmacol. Sci. 2023, 27, 8740–8753. [Google Scholar] [CrossRef]
- Astrup, A.; Carraro, R.; Finer, N.; Harper, A.; Kunesova, M.; Lean, M.E.; Niskanen, L.; Rasmussen, M.F.; Rissanen, A.; Rössner, S.; et al. Safety, tolerability and sustained weight loss over 2 years with the once-daily human GLP-1 analog, liraglutide. Int. J. Obes. 2012, 36, 843–854. [Google Scholar] [CrossRef]
- Schultes, B.; Timper, K.; Cavadini, G.; Rüh, J.; Gerber, P.A. Weight loss and treatment patterns in a real-world population of adults receiving liraglutide 3.0 mg for weight management in routine clinical practice in Switzerland (ADDRESS study). Diabetes Obes. Metab. 2024, 26, 1023–1032. [Google Scholar] [CrossRef]
- Haase, C.L.; Serratore Achenbach, M.G.; Lucrezi, G.; Jeswani, N.; Maurer, S.; Egermann, U. Use of Liraglutide 3.0 mg for Weight Management in a Real-World Setting in Switzerland. Obes. Facts 2021, 14, 568–576. [Google Scholar] [CrossRef]
- Alonso-Troncoso, I.; Carollo-Limeres, C.; Rios-Prego, M.; Guler, I.; Cadarso-Suárez, C.; F-Mariño, A. Liraglutide in a real-world setting: Joint modeling of metabolic response, prediction of efficacy, and cardiovascular risk. Endocrinol. Diabetes Nutr. 2019, 66, 376–384. [Google Scholar] [CrossRef]
- Wharton, S.; Liu, A.; Pakseresht, A.; Nørtoft, E.; Haase, C.L.; Mancini, J.; Power, G.S.; Vanderlelie, S.; Christensen, R.A.G. Real-World Clinical Effectiveness of Liraglutide 3.0 mg for Weight Management in Canada. Obesity 2019, 27, 917–924. [Google Scholar] [CrossRef]
- Papamargaritis, D.; Al-Najim, W.; Lim, J.; Crane, J.; Lean, M.; le Roux, C.; McGowan, B.; O’Shea, D.; Webb, D.; Wilding, J.; et al. Effectiveness and cost of integrating a pragmatic pathway for prescribing liraglutide 3.0 mg in obesity services (STRIVE study): Study protocol of an open-label, real-world, randomised, controlled trial. BMJ Open 2020, 10, e034137. [Google Scholar] [CrossRef] [PubMed]
- Park, J.S.; Kwon, J.; Choi, H.J.; Lee, C. Clinical effectiveness of liraglutide on weight loss in South Koreans: First real-world retrospective data on Saxenda in Asia. Medicine 2021, 100, e23780. [Google Scholar] [CrossRef] [PubMed]
- Altınkaynak, M.; Göksoy Solak, Y.; Şenkal, N.; Tor, Y.B.; Akpınar, T.; Kose, M. Obezitenin Medikal Tedavisinde Liraglutide Etkinliğinin Araştırılması. Sakarya Tıp. Dergisi. 2023, 13, 334–339. [Google Scholar] [CrossRef]
- Santini, S.; Vionnet, N.; Pasquier, J.; Gonzalez-Rodriguez, E.; Fraga, M.; Pitteloud, N.; Favre, L. Marked weight loss on liraglutide 3.0 mg: Real-life experience of a Swiss cohort with obesity. Obesity 2023, 31, 74–82. [Google Scholar] [CrossRef]








| Mean ± SD (Min–Max) | |
|---|---|
| Age (year) | 42.37 ± 10.5 (18–71) |
| Female sex, n (%) | 487 (85.6) |
| Height (cm) | 165.51 ± 8.3 (142–197) |
| Weight (kg) | 98.09 ± 17.48 (65–208) |
| Body mass index (BMI) (kg/m2) | 35.77 ± 5.45 (27.05–72) |
| Systolic pressure (mmHg) | 128.3 ± 19.13 (90–180) |
| Diastolic pressure (mmHg) | 81.17 ± 11.55 (60–110) |
| Total cholesterol (mg/dl) | 214.1 ± 41.15 (114–402) |
| Low-density lipoprotein (mg/dL) | 139.08 ± 35.5 (15–279) |
| High-density lipoprotein (mg/dL) | 54.06 ± 12.65 (18–103) |
| Triglycerides (mg/dL) | 151.36 ± 91.70 (39–1133) |
| Glucose (mg/dL) | 102.60 ± 25.388 (75–411) |
| Aspartate transaminase (U/L) | 19.69 ± 10.2 (7–89) |
| Alanine transaminase (U/L) | 26.95 ± 20.06 (2–188) |
| Glycated haemoglobin (Hba1c) (%) | 5.69 ± 0.75 (4.4–12.7) |
| Week 4 (n = 568) Mean ± SD (Min–Max) | Week 8 (n = 210) Mean ± SD (Min–Max) | Week 12 (n = 84) Mean ± SD (Min–Max) | Week 24 (n = 40) Mean ± SD (Min–Max) | |
|---|---|---|---|---|
| Age (year) | 42.37 ± 10.5 (18–71) | 42.96 ± 10.98 (18–71) | 44.58 ± 10.95 (19–67) | 43.97 ± 10.57 (20–66) |
| Female sex, n (%) | 486 (85.6) | 188 (89.5) | 77 (91.7) | 38 (95) |
| Weight (kg) | 91.63 ± 16.66 (59–193) | 88.39 ± 15.92 (61–177) | 85.90 ± 18.19 (64–169) | 82.62 ± 15.95 (58–105) |
| Body mass index (BMI) (kg/m2) | 33.41 ± 5.26 (24.6–66.8) | 32.10 ± 5.11 (24.1–64.2) | 31.90 ± 5.69 (24.4–58.5) | 30.57 ± 5.23 (23.1–51.9) |
| Diabetes mellitus, n (%) | 38 (6.7) | 16 (7.6) | 7 (8.3) | 2 (5) |
| Prediabetes, n (%) | 166 (29.2) | 67 (31.9) | 26 (31) | 15 (37.5) |
| Hypertension, n (%) | 369 (65) | 125 (59.5) | 45 (53.6) | 22 (55) |
| n (%) | |
|---|---|
| None | 170 (29.99) |
| Nausea | 293 (51.58) |
| Constipation | 35 (6.16) |
| Gastro-oesophageal reflux disease | 24 (4.22) |
| Diarrhoea | 18 (3.16) |
| Palpitation | 11 (1.93) |
| Headache | 8 (1.41) |
| Vomiting | 5 (0.80) |
| Dizziness | 4 (0.7) |
Disclaimer/Publisher’s Note: The statements, opinions and data contained in all publications are solely those of the individual author(s) and contributor(s) and not of MDPI and/or the editor(s). MDPI and/or the editor(s) disclaim responsibility for any injury to people or property resulting from any ideas, methods, instructions or products referred to in the content. |
© 2024 by the authors. Licensee MDPI, Basel, Switzerland. This article is an open access article distributed under the terms and conditions of the Creative Commons Attribution (CC BY) license (https://creativecommons.org/licenses/by/4.0/).
Share and Cite
Oral, A.; Küçük, C.; Köse, M. Real-World Clinical Effectiveness of Liraglutide for Weight Management in Türkiye: Insights from the LIRA-TR Study. J. Clin. Med. 2024, 13, 6121. https://doi.org/10.3390/jcm13206121
Oral A, Küçük C, Köse M. Real-World Clinical Effectiveness of Liraglutide for Weight Management in Türkiye: Insights from the LIRA-TR Study. Journal of Clinical Medicine. 2024; 13(20):6121. https://doi.org/10.3390/jcm13206121
Chicago/Turabian StyleOral, Alihan, Celalettin Küçük, and Murat Köse. 2024. "Real-World Clinical Effectiveness of Liraglutide for Weight Management in Türkiye: Insights from the LIRA-TR Study" Journal of Clinical Medicine 13, no. 20: 6121. https://doi.org/10.3390/jcm13206121
APA StyleOral, A., Küçük, C., & Köse, M. (2024). Real-World Clinical Effectiveness of Liraglutide for Weight Management in Türkiye: Insights from the LIRA-TR Study. Journal of Clinical Medicine, 13(20), 6121. https://doi.org/10.3390/jcm13206121

