Adsorption/Coagulation/Ceramic Microfiltration for Treating Challenging Waters for Drinking Water Production
Abstract
1. Introduction
2. Materials and Methods
2.1. Intake Waters
2.2. Organic Microcontaminants
2.3. PAC and Coagulant
2.4. PAC/(Alum)/MF Pilot
2.5. PAC/(Alum)/MF Trials
2.6. Sampling and Analysis
2.7. Statistical Methods
3. Results and Discussion
3.1. Turbidity Removal and Aluminium Residuals
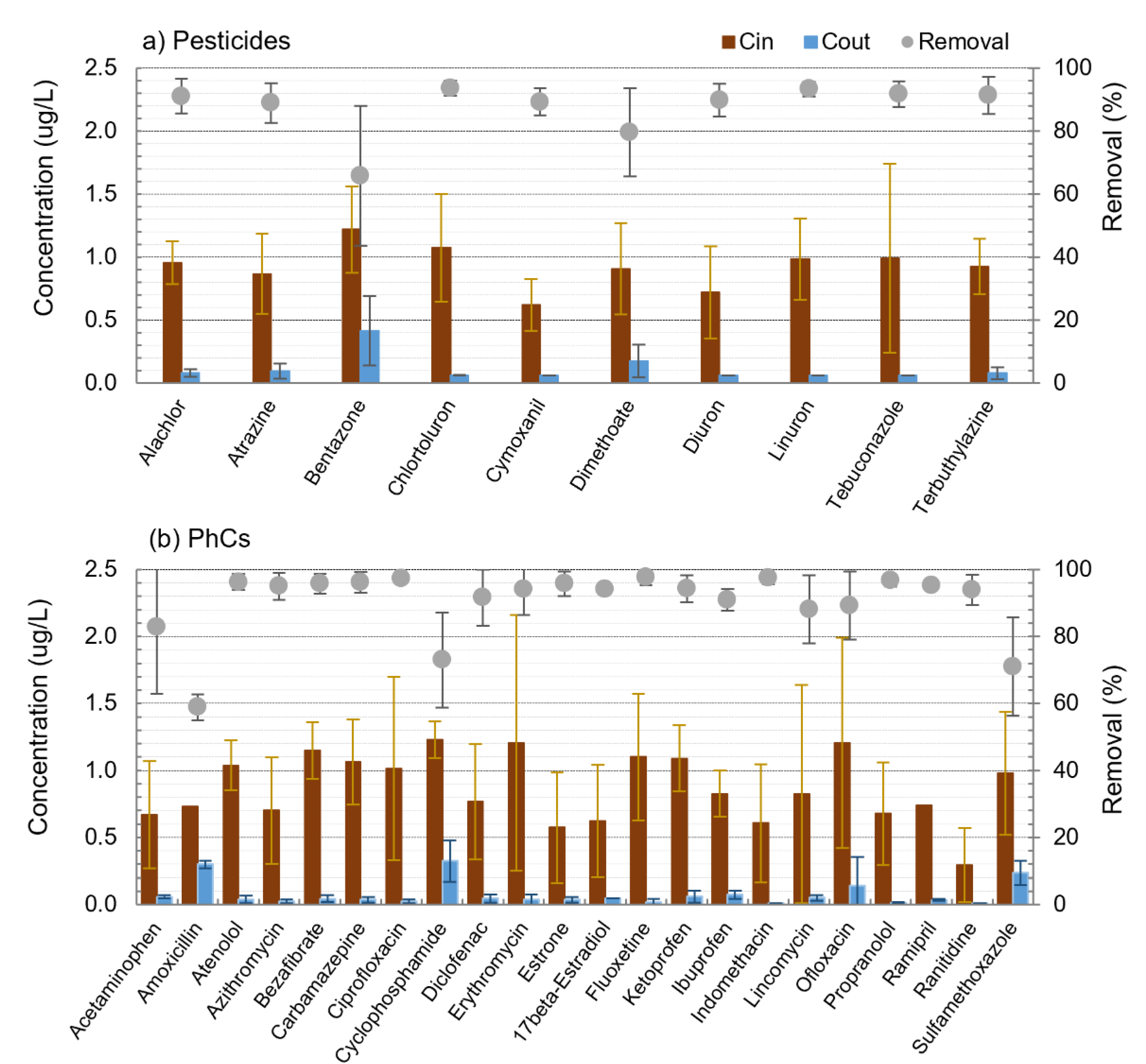
3.2. PhCs, Pesticides, and Microcystins Removal
3.3. NOM Removal and Trihalomethane Formation Potential (THMFP) Reduction
3.4. Bacteriophages (as Virus Indicators) and Aerobic Endospores (as Protozoan (oo)Cysts Indicators) Removal
4. Conclusions
Supplementary Materials
Author Contributions
Funding
Institutional Review Board Statement
Informed Consent Statement
Acknowledgments
Conflicts of Interest
References
- Hoek, J.P.; Bertelkamp, C.; Verliefde, A.R.D.; Singhal, N. Drinking water treatment technologies in Europe: State of the art–challenges–research needs. J. Water Supply Res. Technol. AQUA 2014, 63, 124–130. [Google Scholar] [CrossRef]
- Huerta-Fontela, M.; Galceran, M.T.; Ventura, F. Occurrence and removal of pharmaceuticals and hormones through drinking water treatment. Water Res. 2011, 45, 1432–1442. [Google Scholar] [CrossRef] [PubMed]
- Yang, Y.; Ok, Y.S.; Kim, K.-H.; Kwon, E.E.; Tsang, Y.F. Occurrences and removal of pharmaceuticals and personal care products (PPCPs) in drinking water and water/sewage treatment plants—A review. Sci. Total Environ. 2017, 596–597, 303–320. [Google Scholar] [CrossRef] [PubMed]
- Matsushita, T.; Morimoto, A.; Kuriyama, T.; Matsumoto, E.; Matsui, Y.; Shirasaki, N.; Kondo, T.; Takanashi, H.; Kameya, T. Removals of pesticides and pesticide transformation products during drinking water treatment processes and their impact on mutagen formation potential after chlorination. Water Res. 2018, 138, 67–76. [Google Scholar] [CrossRef] [PubMed]
- Rivera-Utrilla, J.; Sánchez-Polo, M.; Ferro-García, M.Á.; Prados-Joya, G.; Ocampo-Pérez, R. Pharmaceuticals as emerging contaminants and their removal from water—A review. Chemosphere 2013, 93, 1268–1287. [Google Scholar] [CrossRef]
- Furlong, E.T.; Batt, A.; Glassmeyer, S.T.; Noriega, M.C.; Kolpin, D.W.; Mash, H.; Schenck, K.M. Nationwide reconnaissance of contaminants of emerging concern in source and treated drinking waters of the United States: Pharmaceuticals. Sci. Total Environ. 2017, 579, 1629–1642. [Google Scholar] [CrossRef]
- Quesada, H.B.; Takaoka, A.; Cusioli, L.F.; Seibert, D.; Bezerra, C.O.; Bergamasco, R. Surface water pollution by pharmaceuticals and an alternative of removal by low-cost adsorbents: A review. Chemosphere 2019, 222, 766–780. [Google Scholar] [CrossRef]
- Couto, C.F.; Lange, L.C.; Amaral, M.C.S. Occurrence, fate and removal of pharmaceutically active compounds (PhACs) in water and wastewater treatment plants—A review. J. Water Process Eng. 2019, 32, 100927. [Google Scholar] [CrossRef]
- Li, Z.; Jennings, A. Global variations in pesticide regulations and health risk assessment of maximum concentration levels in drinking water. J. Environ. Manag. 2018, 212, 384–394. [Google Scholar] [CrossRef]
- Sjerps, R.M.A.; Kooij, P.J.F.; Loon, A.V.; Wezel, A.P.V. Occurrence of pesticides in Dutch drinking water sources. Chemosphere 2019, 235, 510–518. [Google Scholar] [CrossRef]
- Souza, R.M.; Seibert, D.; Quesada, H.B.; Bassetti, F.J.; Fagundes-Klen, M.R.; Bergamasco, R. Occurrence, impacts and general aspects of pesticides in surface water—A review. Process Saf. Environ. Prot. 2020, 135, 22–37. [Google Scholar] [CrossRef]
- Ghasemnejad-Berenji, M.; Nemati, M.; Pourheydar, B.; Gholizadeh, S.; Karimipour, M.; Mohebbi, I.; Jafari, A. Neurological effects of long-term exposure to low doses of pesticides mixtures in male rats: Biochemical, histological, and neurobehavioral evaluations. Chemosphere 2021, 264, 128464. [Google Scholar] [CrossRef] [PubMed]
- He, X.; Liu, Y.-L.; Conklin, A.; Westrick, J.; Weavers, L.K.; Dionysiou, D.D.; Lenhart, J.J.; Mouser, P.J.; Szlag, D.; Walker, H.W. Toxic cyanobacteria and drinking water: Impacts, detection, and treatment. Harmful Algae 2016, 54, 174–193. [Google Scholar] [CrossRef] [PubMed]
- Dixon, M.B.; Yann, R.; Ho, L.; Chow, C.W.K.; O’Neill, B.K.; Newcombe, G. A coagulation–powdered activated carbon–ultrafiltration—Multiple barrier approach for removing toxins from two Australian cyanobacterial blooms. J. Hazard. Mater. 2011, 186, 1553–1559. [Google Scholar] [CrossRef] [PubMed]
- WHO. Guidelines for Drinking-Water Quality; World Health Organization: Geneve, Switzerland, 2011; ISBN 978-92-4-154815-1.
- Castro-Hermida, J.A.; González-Warleta, M.; Mezo, M. Cryptosporidium spp. and Giardia duodenalis as pathogenic contaminants of water in Galicia, Spain: The need for safe drinking water. Int. J. Hyg. Environ. Health 2015, 218, 132–138. [Google Scholar] [CrossRef]
- Ramo, A.; Cacho, E.D.; Sánchez-Acedo, C.; Quílez, J. Occurrence of Cryptosporidium and Giardia in raw and finished drinking water in north-eastern Spain. Sci. Total Environ. 2017, 580, 1007–1013. [Google Scholar] [CrossRef]
- Shirasaki, N.; Matsushita, T.; Matsui, Y.; Kobuke, M.; Ohno, K. Comparison of removal performance of two surrogates for pathogenic waterborne viruses, bacteriophage Qb and MS2, in a coagulation–ceramic microfiltration system. J. Membr. Sci. 2009, 326, 564–571. [Google Scholar] [CrossRef]
- Delgado, L.F.; Charles, P.; Glucina, K.; Morlay, C. The removal of endocrine disrupting compounds, pharmaceutically activated compounds and cyanobacterial toxins during drinking water preparation using activated carbon—A review. Sci. Total Environ. 2012, 435–436, 509–525. [Google Scholar] [CrossRef]
- Stoquart, C.; Servais, P.; Berube, P.R.; Barbeau, B. Hybrid membrane processes using activated carbon treatment for drinking water: A review. J. Membr. Sci. 2012, 411–412, 1–12. [Google Scholar] [CrossRef]
- Campinas, M.; Silva, C.; Viegas, R.M.C.; Coelho, R.; Lucas, H.; Rosa, M.J. To what extent may pharmaceuticals and pesticides be removed by PAC conventional addition to low-turbidity surface waters and what are the potential bottlenecks? J. Water Proc. Eng. 2020, 101833, in Press. [Google Scholar] [CrossRef]
- Huang, X.; Wan, Y.; Shi, B.; Shi, J. Effects of powdered activated carbon on the coagulation-flocculation process in humic acid and humic acid-kaolin water treatment. Chemosphere 2020, 238, 1246372. [Google Scholar] [CrossRef] [PubMed]
- Bratby, J. Coagulation and Flocculation in Water and Wastewater Treatment, 3rd ed.; IWA Publishing: London, UK, 2016; ISBN 9781780407494. [Google Scholar]
- Zhu, B.; Clifford, D.A.; Chellam, S. Virus removal by iron coagulation–microfiltration. Water Res. 2005, 39, 5153–5161. [Google Scholar] [CrossRef] [PubMed]
- Campinas, M.; Viegas, R.; Silva, C.; Rosa, M.J. Technical Guidelines of PAC/MF—Powdered Activated Carbon/Ceramic Microfiltration for Drinking Water Production; LNEC: Lisbon, Portugal, 2017; ISBN 978-972-49-2299-7. [Google Scholar]
- Oh, H.K.; Takizawa, S.; Ohgaki, S.; Katayama, H.; Oguma, K.; Yu, M.J. Removal of organics and viruses using hybrid ceramic MF system without draining PAC. Desalination 2007, 202, 191–198. [Google Scholar] [CrossRef]
- Fiksdal, L.; Leiknes, T. The effect of coagulation with MF/UF membrane filtration for the removal of virus in drinking water. J. Membr. Sci. 2006, 79, 364–371. [Google Scholar] [CrossRef]
- Viegas, R.M.C.; Campinas, M.; Coelho, R.; Lucas, H.; Rosa, M.J. Hybrid process of adsorption/coagulation/ceramic MF for removing pesticides in drinking water treatment—inline vs contact tank PAC dosing. Membranes 2021, 11, 72. [Google Scholar] [CrossRef]
- Metcalfe, D.; Jarvis, P.; Rockey, C.; Judd, S. Pre-treatment of surface waters for ceramic microfiltration. Sep. Purif. Technol. 2016, 163, 173–180. [Google Scholar] [CrossRef]
- Park, W.; Jeong, S.; Im, S.-J.; Jang, A. High turbidity water treatment by ceramic microfiltration membrane: Fouling identification and process optimization. Environ. Technol. Innov. 2020, 17, 100578. [Google Scholar] [CrossRef]
- Lee, S.-J.; Kim, J.-H. Differential natural organic matter fouling of ceramic versus polymeric ultrafiltration membranes. Water Res. 2014, 48, 43–51. [Google Scholar] [CrossRef]
- Oligny, L.; Bérubé, P.R.; Barbeau, B. Impact of PAC fines in fouling of polymeric and ceramic low-pressure membranes for drinking water treatment. Membranes 2016, 6, 38. [Google Scholar] [CrossRef]
- Panglisch, S.; Kraus, G.; Tatzel, A.; Lickes, J.-P. Membrane performance in combined processes including ozonation or advanced oxidation, powdered activated carbon and coagulation—Investigations in pilot scale. Desalination 2010, 250, 819–823. [Google Scholar] [CrossRef]
- Matsui, Y.; Hasegawa, H.; Ohno, K.; Matsushita, T.; Mima, S.; Kawase, Y.; Aizawa, T. Effects of super-powdered activated carbon pretreatment on coagulation and trans-membrane pressure buildup during microfiltration. Water Res. 2010, 43, 5160–5170. [Google Scholar] [CrossRef] [PubMed]
- Viegas, R.M.C.; Mesquita, E.; Campinas, M.; Inocêncio, P.; Teixeira, A.P.; Martins, J.; Rosa, M.J. Water reclamation with hybrid coagulation–ceramic microfiltration: First part of a long-term pilot study in Portugal. J. Water Reuse Desal. 2015, 5, 550–556. [Google Scholar] [CrossRef]
- Campinas, M.; Viegas, R.M.C.; Silva, C.; Lucas, H.; Rosa, M.J. Operational performance and cost analysis of PAC/ceramic MF for drinking water production: Exploring treatment capacity as a new indicator for performance assessment and optimization. Sep. Purif. Technol. 2020, 255, 117443. [Google Scholar] [CrossRef]
- Li, C.; Sun, W.; Lu, Z.; Ao, X.; Li, S. Ceramic nanocomposite membranes and membrane fouling: A review. Water Res. 2020, 175, 115674. [Google Scholar] [CrossRef]
- Li, K.; Li, S.; Sun, C.; Huang, Y.; Guibai, L.; Liang, H. Membrane fouling in an integrated adsorption–UF system: Effects of NOM and adsorbent properties. Environ. Sci. Water Res. Technol. 2020, 6, 78–86. [Google Scholar] [CrossRef]
- Bu, F.; Gao, B.; Yue, Q.; Liu, C.; Wang, W.; Shen, X. The combination of coagulation and adsorption for controlling ultrafiltration membrane fouling in water treatment. Water 2019, 11, 90. [Google Scholar] [CrossRef]
- Campinas, M.; Rosa, M.J. Removal of microcystins by PAC/UF. Sep. Purif. Technol. 2010, 71, 114–120. [Google Scholar] [CrossRef]
- Ivancev-Tumbas, I.; Hobby, R. Removal of organic xenobiotics by combined out/in ultrafiltration and powdered activated carbon adsorption. Desalination 2010, 255, 124–128. [Google Scholar] [CrossRef]
- Sheng, C.; Nnanna, A.G.A.; Liu, Y.; Vargo, J.D. Removal of trace pharmaceuticals from water using coagulation and powdered activated carbon as pretreatment to ultrafiltration membrane system. Sci. Total Environ. 2016, 550, 1075–1083. [Google Scholar] [CrossRef]
- Löwenberg, J.; Zenker, A.; Baggenstos, M.; Koch, G.; Kazner, C.; Wintgens, T. Comparison of two PAC/UF processes for the removal of micropollutants from wastewater treatment plant effluent: Process performance and removal efficiency. Water Res. 2014, 56, 26–36. [Google Scholar] [CrossRef]
- Echevarría, C.; Valderrama, C.; Cortina, J.L.; Martín, I.; Arnaldos, M.; Bernat, X.; De la Cal, A.; Boleda, M.R.; Veja, A.; Teuler, A.; et al. Hybrid sorption and pressure-driven membrane technologies for organic micropollutants removal in advanced water reclamation: A techno-economic assessment. J. Clean. Prod. 2020, 273, 123108. [Google Scholar] [CrossRef]
- Margot, J.; Kienle, C.; Magnet, A.; Weil, M.; Rossi, L.; de Alencastro, L.F.; Abegglen, C.; Thonney, D.; Chèvre, N.; Schärer, M.; et al. Treatment of micropollutants in municipal wastewater: Ozone or powdered activated carbon? Sci. Total Environ. 2013, 461–462, 480–498. [Google Scholar] [CrossRef] [PubMed]
- de Ridder, D.J.; Villacorte, L.; Verliefde, A.R.D.; Verberk, J.Q.J.C.; Heijman, S.G.J.; Amy, G.L.; van Dijk, J.C. Modeling equilibrium adsorption of organic micropollutants onto activated carbon. Water Res. 2010, 44, 3077–3086. [Google Scholar] [CrossRef] [PubMed]
- Mestre, A.S.; Pires, R.A.; Aroso, I.; Fernandes, E.M.; Pinto, M.L.; Reis, R.L.; Andrade, M.A.; Pires, J.; Silva, S.P.; Carvalho, A.P. Activated carbons prepared from industrial pre-treated cork: Sustainable adsorbents for pharmaceutical compounds removal. Chem. Eng. J. 2014, 253, 408–417. [Google Scholar] [CrossRef]
- APHA/AWWA/WEF. Standard Methods for the Examination of Water and Wastewater (SMEWW), 23rd ed.; APHA—American Public Health Association: Washington, DC, USA; AWWA—American Water Works Association: Denver, CO, USA; WEF—Water Environment Federation: Alexandria, VA, USA, 2017. [Google Scholar]
- Kim, J.H.; Choi, I. Choosing the Level of Significance: A Decision-theoretic Approach. Abacus 2019. [Google Scholar] [CrossRef]
- Sillanpaa, M.; Ncibi, M.C.; Matilainen, A.; Vepsalainen, M. Removal of natural organic matter in drinking water treatment by coagulation: A comprehensive review. Chemosphere 2018, 190, 54–71. [Google Scholar] [CrossRef]
- Golea, D.M.; Upton, A.; Jarvis, P.; Moore, G.; Sutherland, S.; Parsons, S.A.; Judd, S.J. THM and HAA formation from NOM in raw and treated surface waters. Water Res. 2017, 112, 226–235. [Google Scholar] [CrossRef]
- Mesquita, M.M.; Emelko, M. Bacteriophages as Surrogates for the Fate and Transport of Pathogens in Source Water and in Drinking Water Treatment Processes. Bacteriophages 2012. [Google Scholar] [CrossRef][Green Version]
- Huang, H.; Young, T.A.; Schwab, K.J.; Jacangelo, J.G. Mechanisms of virus removal from secondary wastewater effluent by low pressure membrane filtration. J. Membr. Sci. 2012, 409–410, 1–8. [Google Scholar] [CrossRef]
- Headd, B.; Bradford, S.A. Use of aerobic spores as a surrogate for Cryptosporidium oocysts in drinking water supplies. Water Res. 2016, 90, 185–202. [Google Scholar] [CrossRef]










| Water | T (°C) | pH | Alkalinity (mg/L CaCO3) | Turbidity (NTU) | TOC (mgC/L) | DOC (mgC/L) | A254 (m−1) | SUVA (L/(mg·m)) |
|---|---|---|---|---|---|---|---|---|
| W1 | 18 ± 2 | 7.6 ± 0.1 | 81 ± 23 | 0.6 ± 0.3 | 1.6 ± 0.3 | 1.5 ± 0.3 | 1.3 ± 0.1 | 1.0 ± 0.2 |
| W2 | 24 ± 4 | 7.7 ± 0.1 | 62 ± 5 | 3.0 ± 1.5 | 2.5 ± 0.4 | 2.2 ± 0.3 | 2.3 ± 0.7 | 1.1 ± 0.5 |
| Spiking Trial | Intake Water | Microcontaminant Spiked | Microcontaminants’ Initial Concentration, µg/L (Total) | PAC | Alum | ||
|---|---|---|---|---|---|---|---|
| PhCs | Pesticides | MC-LReq | mg/L | mg/L Al2O3 | |||
| Spk 1 | W1 | 10 pesticides | 9.9 | 13 | 0 | ||
| Spk 2 | W1 | 14 PhCs | 17.5 | 12 | 0 | ||
| Spk3 | W1 | 13 PhCs + 5 pesticides | 9.1 | 3.8 | 11 | 0 | |
| Spk 4 | W1 | 6 pesticides | 8.4 | 10 | 0 | ||
| Spk 5 | W1 | 10 PhCs + 3 pesticides | 10.4 | 1.3 | 9 | 0 | |
| Spk 6 | W1 | 4 microcystins | 1.3 | 7 | 0 | ||
| Spk 7 | W2 | 11 PhCs + 2 pesticides | 11.3 | 1.7 | 18 | 0 | |
| Spk 8 | W2 | 19 PhCs | 17.5 | 13 | 2 | ||
| Spk 9 | W2 | 10 pesticides | 10.8 | 8 | 3.1 | ||
| Spk 10 | W2 | 16 PhCs | 8.8 | 7 | 2 | ||
| Spk 11 | W2 | 9 pesticides | 6.9 | 4 | 2 | ||
Publisher’s Note: MDPI stays neutral with regard to jurisdictional claims in published maps and institutional affiliations. |
© 2021 by the authors. Licensee MDPI, Basel, Switzerland. This article is an open access article distributed under the terms and conditions of the Creative Commons Attribution (CC BY) license (http://creativecommons.org/licenses/by/4.0/).
Share and Cite
Campinas, M.; Viegas, R.M.C.; Coelho, R.; Lucas, H.; Rosa, M.J. Adsorption/Coagulation/Ceramic Microfiltration for Treating Challenging Waters for Drinking Water Production. Membranes 2021, 11, 91. https://doi.org/10.3390/membranes11020091
Campinas M, Viegas RMC, Coelho R, Lucas H, Rosa MJ. Adsorption/Coagulation/Ceramic Microfiltration for Treating Challenging Waters for Drinking Water Production. Membranes. 2021; 11(2):91. https://doi.org/10.3390/membranes11020091
Chicago/Turabian StyleCampinas, Margarida, Rui M. C. Viegas, Rosário Coelho, Helena Lucas, and Maria João Rosa. 2021. "Adsorption/Coagulation/Ceramic Microfiltration for Treating Challenging Waters for Drinking Water Production" Membranes 11, no. 2: 91. https://doi.org/10.3390/membranes11020091
APA StyleCampinas, M., Viegas, R. M. C., Coelho, R., Lucas, H., & Rosa, M. J. (2021). Adsorption/Coagulation/Ceramic Microfiltration for Treating Challenging Waters for Drinking Water Production. Membranes, 11(2), 91. https://doi.org/10.3390/membranes11020091

