Durability of Humoral Responses after an Adapted SARS-CoV-2 mRNA Vaccine Dose in Hemodialysis Patients
Abstract
1. Introduction
2. Materials and Methods
2.1. Study Design
2.2. Assessment of Long-Term Vaccine Responses Using Different Non-Neutralizing and Neutralizing Antibody Assays
2.3. Statistics
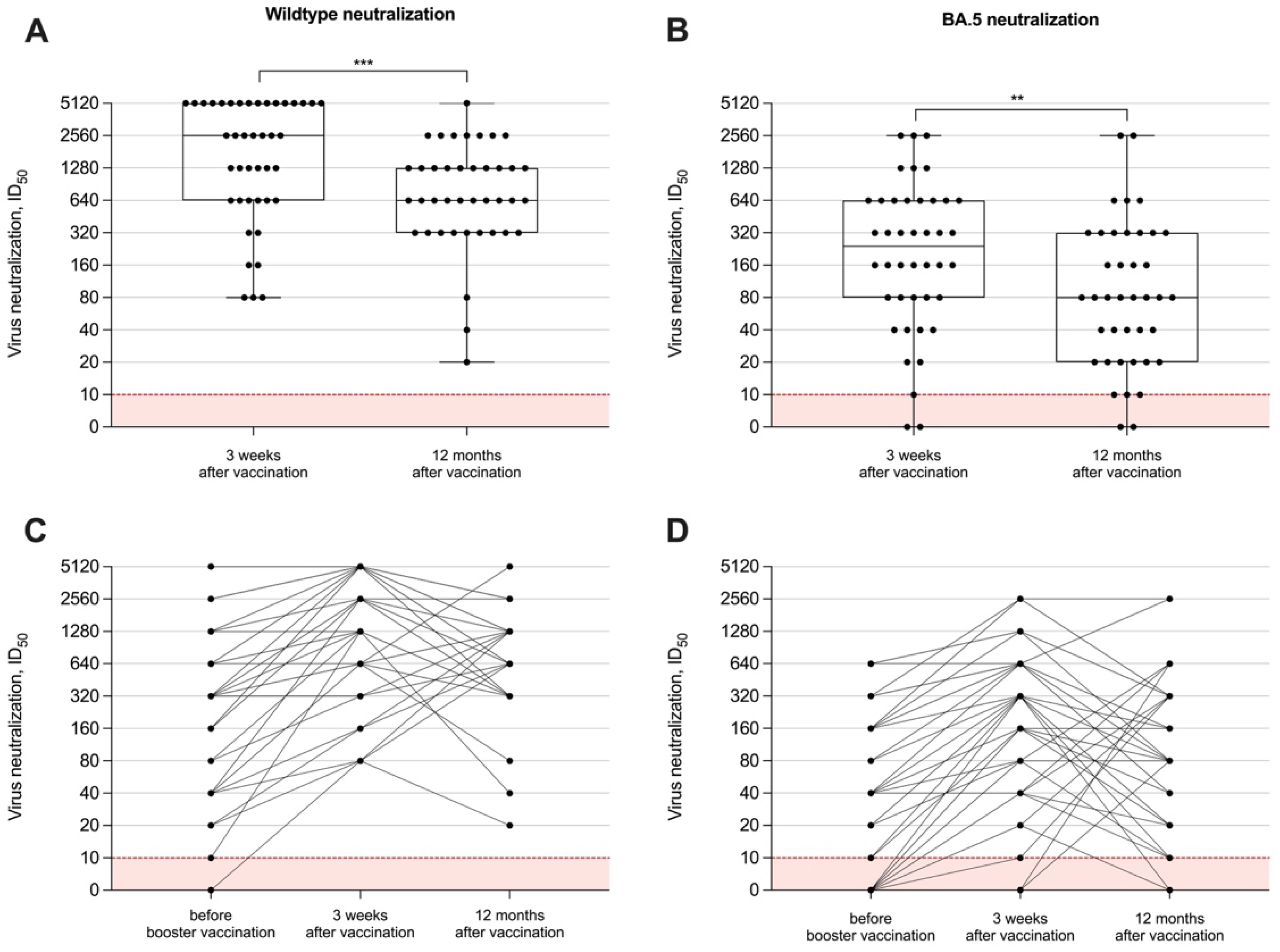
3. Results
3.1. Long-Term Humoral Immune Response after an Adapted Booster Vaccine Dose in Patients on Hemodialysis
3.2. In Vitro Neutralization of SARS-CoV-2 Variants 12 Months after Adapted Booster Vaccination
3.3. Breakthrough Infections in Hemodialysis Patients after Adapted Booster Vaccination
4. Discussion
Supplementary Materials
Author Contributions
Funding
Institutional Review Board Statement
Informed Consent Statement
Data Availability Statement
Conflicts of Interest
References
- Hoxha, E.; Suling, A.; Turner, J.E.; Haubitz, M.; Floege, J.; Huber, T.B.; Galle, J.-C. COVID-19 Prevalence and Mortality in Chronic Dialysis Patients. Dtsch. Ärztebl. Int. 2021, 118, 195–196. [Google Scholar] [CrossRef] [PubMed]
- Grupper, A.; Sharon, N.; Finn, T.; Cohen, R.; Israel, M.; Agbaria, A.; Rechavi, Y.; Schwartz, I.F.; Schwartz, D.; Lellouch, Y.; et al. Humoral Response to the Pfizer BNT162b2 Vaccine in Patients Undergoing Maintenance Hemodialysis. Clin. J. Am. Soc. Nephrol. 2021, 16, CJN.03500321. [Google Scholar] [CrossRef] [PubMed]
- Manley, H.J.; Li, N.C.; Aweh, G.N.; Hsu, C.M.; Weiner, D.E.; Miskulin, D.; Harford, A.M.; Johnson, D.; Lacson, E. SARS-CoV-2 Vaccine Effectiveness and Breakthrough Infections Among Patients Receiving Maintenance Dialysis. Am. J. Kidney Dis. 2023, 81, 406–415. [Google Scholar] [CrossRef] [PubMed]
- Zhang, X.; Chen, Q.; Xu, G. Clinical Manifestations of COVID-19 Infection in Dialysis Patients and Protective Effect of COVID-19 Vaccine. Inflamm. Res. 2023, 72, 989–1000. [Google Scholar] [CrossRef] [PubMed]
- Schaier, M.; Leick, A.; Uhlmann, L.; Kälble, F.; Eckstein, V.; Ho, A.; Meuer, S.; Mahnke, K.; Sommerer, C.; Zeier, M.; et al. The Role of Age-related T-cell Differentiation in Patients with Renal Replacement Therapy. Immunol. Cell Biol. 2017, 95, 895–905. [Google Scholar] [CrossRef] [PubMed]
- Sanders, J.S.F.; Bemelman, F.J.; Messchendorp, A.L.; Baan, C.C.; van Baarle, D.; van Binnendijk, R.; Diavatopoulos, D.A.; Frölke, S.C.; Geers, D.; GeurtsvanKessel, C.H.; et al. The RECOVAC Immune-Response Study: The Immunogenicity, Tolerability, and Safety of COVID-19 Vaccination in Patients with Chronic Kidney Disease, on Dialysis, or Living with a Kidney Transplant. Transplantation 2022, 106, 821–834. [Google Scholar] [CrossRef]
- Khoury, D.S.; Cromer, D.; Reynaldi, A.; Schlub, T.E.; Wheatley, A.K.; Juno, J.A.; Subbarao, K.; Kent, S.J.; Triccas, J.A.; Davenport, M.P. Neutralizing Antibody Levels Are Highly Predictive of Immune Protection from Symptomatic SARS-CoV-2 Infection. Nat. Med. 2021, 27, 1205–1211. [Google Scholar] [CrossRef] [PubMed]
- Khoury, D.S.; Docken, S.S.; Subbarao, K.; Kent, S.J.; Davenport, M.P.; Cromer, D. Predicting the Efficacy of Variant-Modified COVID-19 Vaccine Boosters. Nat. Med. 2023, 29, 574–578. [Google Scholar] [CrossRef] [PubMed]
- Chen, Y.; Zhao, X.; Zhou, H.; Zhu, H.; Jiang, S.; Wang, P. Broadly Neutralizing Antibodies to SARS-CoV-2 and Other Human Coronaviruses. Nat. Rev. Immunol. 2023, 23, 189–199. [Google Scholar] [CrossRef]
- Krammer, F.; Ellebedy, A.H. Variant-Adapted COVID-19 Booster Vaccines. Science 2023, 382, 157–159. [Google Scholar] [CrossRef]
- Torres, R.; Toro, L.; Sanhueza, M.E.; Lorca, E.; Ortiz, M.; Pefaur, J.; Clavero, R.; Machuca, E.; Gonzalez, F.; Herrera, P.; et al. Clinical Efficacy of SARS-CoV-2 Vaccination in Hemodialysis Patients. Kidney Int. Rep. 2022, 7, 2176–2185. [Google Scholar] [CrossRef] [PubMed]
- Rodríguez-Espinosa, D.; Montagud-Marrahi, E.; Cacho, J.; Arana, C.; Taurizano, N.; Hermida, E.; Risco-Zevallos, J.D.; Casals, J.; Rosario, A.; Cuadrado-Payán, E.; et al. Incidence of Severe Breakthrough SARS-CoV-2 Infections in Vaccinated Kidney Transplant and Haemodialysis Patients. J. Nephrol. 2022, 35, 769–778. [Google Scholar] [CrossRef] [PubMed]
- Menniti-Ippolito, F.; Mele, A.; Cas, R.D.; Masi, S.D.; Chiarotti, F.; Fabiani, M.; Baglio, G.; Traversa, G.; Colavita, F.; Castilletti, C.; et al. Safety and Efficacy of COVID-19 Vaccines in Patients on Dialysis: A Multicentre Cohort Study in Italy. J. Nephrol. 2023, 36, 2013–2022. [Google Scholar] [CrossRef]
- Wang, Q.; Bowen, A.; Valdez, R.; Gherasim, C.; Gordon, A.; Liu, L.; Ho, D.D. Antibody Response to Omicron BA.4–BA.5 Bivalent Booster. N. Engl. J. Med. 2023, 388, 567–569. [Google Scholar] [CrossRef] [PubMed]
- Benning, L.; Bartenschlager, M.; Kim, H.; Kälble, F.; Nusshag, C.; Buylaert, M.; Reichel, P.; Schaier, M.; Morath, C.; Zeier, M.; et al. Live-virus Serum Neutralization after Bivalent SARS-CoV-2 MRNA Vaccination in Hemodialysis Patients. J. Med. Virol. 2023, 95, e29303. [Google Scholar] [CrossRef]
- Elslande, J.V.; Oyaert, M.; Lorent, N.; Weygaerde, Y.V.; Pottelbergh, G.V.; Godderis, L.; Ranst, M.V.; André, E.; Padalko, E.; Lagrou, K.; et al. Lower Persistence of Anti-Nucleocapsid Compared to Anti-Spike Antibodies up to One Year after SARS-CoV-2 Infection. Diagn. Microbiol. Infect. Dis. 2022, 103, 115659. [Google Scholar] [CrossRef] [PubMed]
- Paul, G.; Strnad, P.; Wienand, O.; Krause, U.; Plecko, T.; Effenberger-Klein, A.; Giel, K.E.; Junne, F.; Galante-Gottschalk, A.; Ehehalt, S.; et al. The Humoral Immune Response More than One Year after SARS-CoV-2 Infection: Low Detection Rate of Anti-Nucleocapsid Antibodies via Euroimmun ELISA. Infection 2023, 51, 83–90. [Google Scholar] [CrossRef]
- Krutikov, M.; Palmer, T.; Tut, G.; Fuller, C.; Azmi, B.; Giddings, R.; Shrotri, M.; Kaur, N.; Sylla, P.; Lancaster, T.; et al. Prevalence and Duration of Detectable SARS-CoV-2 Nucleocapsid Antibodies in Staff and Residents of Long-Term Care Facilities over the First Year of the Pandemic (VIVALDI Study): Prospective Cohort Study in England. Lancet Healthy Longev. 2022, 3, e13–e21. [Google Scholar] [CrossRef]
- Gandhi, R.T.; Lynch, J.B.; Rio, C. del Mild or Moderate COVID-19. N. Engl. J. Med. 2020, 383, 1757–1766. [Google Scholar] [CrossRef]
- Madhi, S.A.; Baillie, V.; Cutland, C.L.; Voysey, M.; Koen, A.L.; Fairlie, L.; Padayachee, S.D.; Dheda, K.; Barnabas, S.L.; Bhorat, Q.E.; et al. Efficacy of the ChAdOx1 NCoV-19 COVID-19 Vaccine against the B.1.351 Variant. N. Engl. J. Med. 2021, 384, NEJMoa2102214. [Google Scholar] [CrossRef]
- Tan, C.W.; Chia, W.N.; Qin, X.; Liu, P.; Chen, M.I.-C.; Tiu, C.; Hu, Z.; Chen, V.C.-W.; Young, B.E.; Sia, W.R.; et al. A SARS-CoV-2 Surrogate Virus Neutralization Test Based on Antibody-Mediated Blockage of ACE2–Spike Protein–Protein Interaction. Nat. Biotechnol. 2020, 38, 1073–1078. [Google Scholar] [CrossRef] [PubMed]
- Perkmann, T.; Perkmann-Nagele, N.; Koller, T.; Mucher, P.; Radakovics, A.; Marculescu, R.; Wolzt, M.; Wagner, O.F.; Binder, C.J.; Haslacher, H. Anti-Spike Protein Assays to Determine SARS-CoV-2 Antibody Levels: A Head-to-Head Comparison of Five Quantitative Assays. Microbiol. Spectr. 2021, 9, e00247-21. [Google Scholar] [CrossRef] [PubMed]
- Tönshoff, B.; Müller, B.; Elling, R.; Renk, H.; Meissner, P.; Hengel, H.; Garbade, S.F.; Kieser, M.; Jeltsch, K.; Grulich-Henn, J.; et al. Prevalence of SARS-CoV-2 Infection in Children and Their Parents in Southwest Germany. JAMA Pediatr. 2021, 175, 586–593. [Google Scholar] [CrossRef] [PubMed]
- Suzuki, R.; Yamasoba, D.; Kimura, I.; Wang, L.; Kishimoto, M.; Ito, J.; Morioka, Y.; Nao, N.; Nasser, H.; Uriu, K.; et al. Attenuated Fusogenicity and Pathogenicity of SARS-CoV-2 Omicron Variant. Nature 2022, 603, 700–705. [Google Scholar] [CrossRef] [PubMed]
- Regev-Yochay, G.; Gonen, T.; Gilboa, M.; Mandelboim, M.; Indenbaum, V.; Amit, S.; Meltzer, L.; Asraf, K.; Cohen, C.; Fluss, R.; et al. Efficacy of a Fourth Dose of COVID-19 MRNA Vaccine against Omicron. N. Engl. J. Med. 2022, 386, 1377–1380. [Google Scholar] [CrossRef] [PubMed]
- Huth, L.; Schäfer, L.; Almanzar, G.; Lupoli, G.; Bischof, M.; Wratil, P.R.; Stövesand, T.; Drechsler, C.; Keppler, O.T.; Prelog, M. Immunologic Effect of Bivalent MRNA Booster in Patients Undergoing Hemodialysis. N. Engl. J. Med. 2023, 388, NEJMc2216309. [Google Scholar] [CrossRef] [PubMed]
- Mahallawi, W.H. COVID-19 Vaccine in Hemodialysis Patients: Time for a Boost. Saudi Med. J. 2023, 44, 882–888. [Google Scholar] [CrossRef] [PubMed]
- Garcia, P.; Han, J.; Montez-Rath, M.E.; Sun, S.; Shang, T.; Parsonnet, J.; Chertow, G.M.; Anand, S.; Schiller, B.; Abra, G. SARS-CoV-2 Booster Vaccine Response among Patients Receiving Dialysis. Clin. J. Am. Soc. Nephrol. 2022, 17, CJN.00890122. [Google Scholar] [CrossRef] [PubMed]
- Anft, M.; Skrzypczyk, S.; Frahnert, M.; Fricke, L.; Zapka, J.; Kühn, D.; Koos, B.; Adamzik, M.; Pfaender, S.; Stervbo, U.; et al. Immunogenicity of Bivalent Omicron BA.4/5–Adapted Vaccine in Hemodialysis Patients. Kidney Int. Rep. 2023, 8, 939–941. [Google Scholar] [CrossRef]
- Bronder, S.; Mihm, J.; Urschel, R.; Klemis, V.; Schmidt, T.; Marx, S.; Abu-Omar, A.; Hielscher, F.; Guckelmus, C.; Widera, M.; et al. Potent Induction of Humoral and Cellular Immunity after Bivalent BA.4/5 MRNA Vaccination in Dialysis Patients. NPJ Vaccines 2024, 9, 25. [Google Scholar] [CrossRef]
- Zhang, Z.; Mateus, J.; Coelho, C.H.; Dan, J.M.; Moderbacher, C.R.; Gálvez, R.I.; Cortes, F.H.; Grifoni, A.; Tarke, A.; Chang, J.; et al. Humoral and Cellular Immune Memory to Four COVID-19 Vaccines. Cell 2022, 185, 2434–2451.e17. [Google Scholar] [CrossRef] [PubMed]
- Ishii, T.; Hamada, K.; Jubishi, D.; Hashimoto, H.; Okamoto, K.; Hisasue, N.; Sunohara, M.; Saito, M.; Shinohara, T.; Yamashita, M.; et al. Waning Cellular Immune Responses and Predictive Factors in Maintaining Cellular Immunity against SARS-CoV-2 Six Months after BNT162b2 MRNA Vaccination. Sci. Rep. 2023, 13, 9607. [Google Scholar] [CrossRef] [PubMed]
- Paramithiotis, E.; Sugden, S.; Papp, E.; Bonhomme, M.; Chermak, T.; Crawford, S.Y.; Demetriades, S.Z.; Galdos, G.; Lambert, B.L.; Mattison, J.; et al. Cellular Immunity Is Critical for Assessing COVID-19 Vaccine Effectiveness in Immunocompromised Individuals. Front. Immunol. 2022, 13, 880784. [Google Scholar] [CrossRef] [PubMed]
- Karoui, K.E.; Hourmant, M.; Ayav, C.; Glowacki, F.; Couchoud, C.; Lapidus, N.; REIN Registry. Vaccination and COVID-19 Dynamics in Dialysis Patients. Clin. J. Am. Soc. Nephrol. 2022, 17, CJN.10300721. [Google Scholar] [CrossRef] [PubMed]




Disclaimer/Publisher’s Note: The statements, opinions and data contained in all publications are solely those of the individual author(s) and contributor(s) and not of MDPI and/or the editor(s). MDPI and/or the editor(s) disclaim responsibility for any injury to people or property resulting from any ideas, methods, instructions or products referred to in the content. |
© 2024 by the authors. Licensee MDPI, Basel, Switzerland. This article is an open access article distributed under the terms and conditions of the Creative Commons Attribution (CC BY) license (https://creativecommons.org/licenses/by/4.0/).
Share and Cite
Benning, L.; Bartenschlager, M.; Kim, H.; Morath, C.; Zeier, M.; Schnitzler, P.; Bartenschlager, R.; Speer, C. Durability of Humoral Responses after an Adapted SARS-CoV-2 mRNA Vaccine Dose in Hemodialysis Patients. Vaccines 2024, 12, 738. https://doi.org/10.3390/vaccines12070738
Benning L, Bartenschlager M, Kim H, Morath C, Zeier M, Schnitzler P, Bartenschlager R, Speer C. Durability of Humoral Responses after an Adapted SARS-CoV-2 mRNA Vaccine Dose in Hemodialysis Patients. Vaccines. 2024; 12(7):738. https://doi.org/10.3390/vaccines12070738
Chicago/Turabian StyleBenning, Louise, Marie Bartenschlager, Heeyoung Kim, Christian Morath, Martin Zeier, Paul Schnitzler, Ralf Bartenschlager, and Claudius Speer. 2024. "Durability of Humoral Responses after an Adapted SARS-CoV-2 mRNA Vaccine Dose in Hemodialysis Patients" Vaccines 12, no. 7: 738. https://doi.org/10.3390/vaccines12070738
APA StyleBenning, L., Bartenschlager, M., Kim, H., Morath, C., Zeier, M., Schnitzler, P., Bartenschlager, R., & Speer, C. (2024). Durability of Humoral Responses after an Adapted SARS-CoV-2 mRNA Vaccine Dose in Hemodialysis Patients. Vaccines, 12(7), 738. https://doi.org/10.3390/vaccines12070738

