Vaccination with Formulation of Nanoparticles Loaded with Leishmania amazonensis Antigens Confers Protection against Experimental Visceral Leishmaniasis in Hamster
Abstract
1. Introduction
2. Materials and Methods
2.1. Animals and Experimental Groups
2.2. Vaccine Preparation
2.3. Experimental Protocol
2.4. Assessment of Anti-Leishmania Total IgG Reactivity
2.5. Parasite Burden Evaluation by qPCR
2.6. Statistical Analyses
3. Results
3.1. Characterization of Submicrometric Particle
3.2. Safety Analyses
3.3. Serum Reactivity of Anti-Leishmania Total IgG
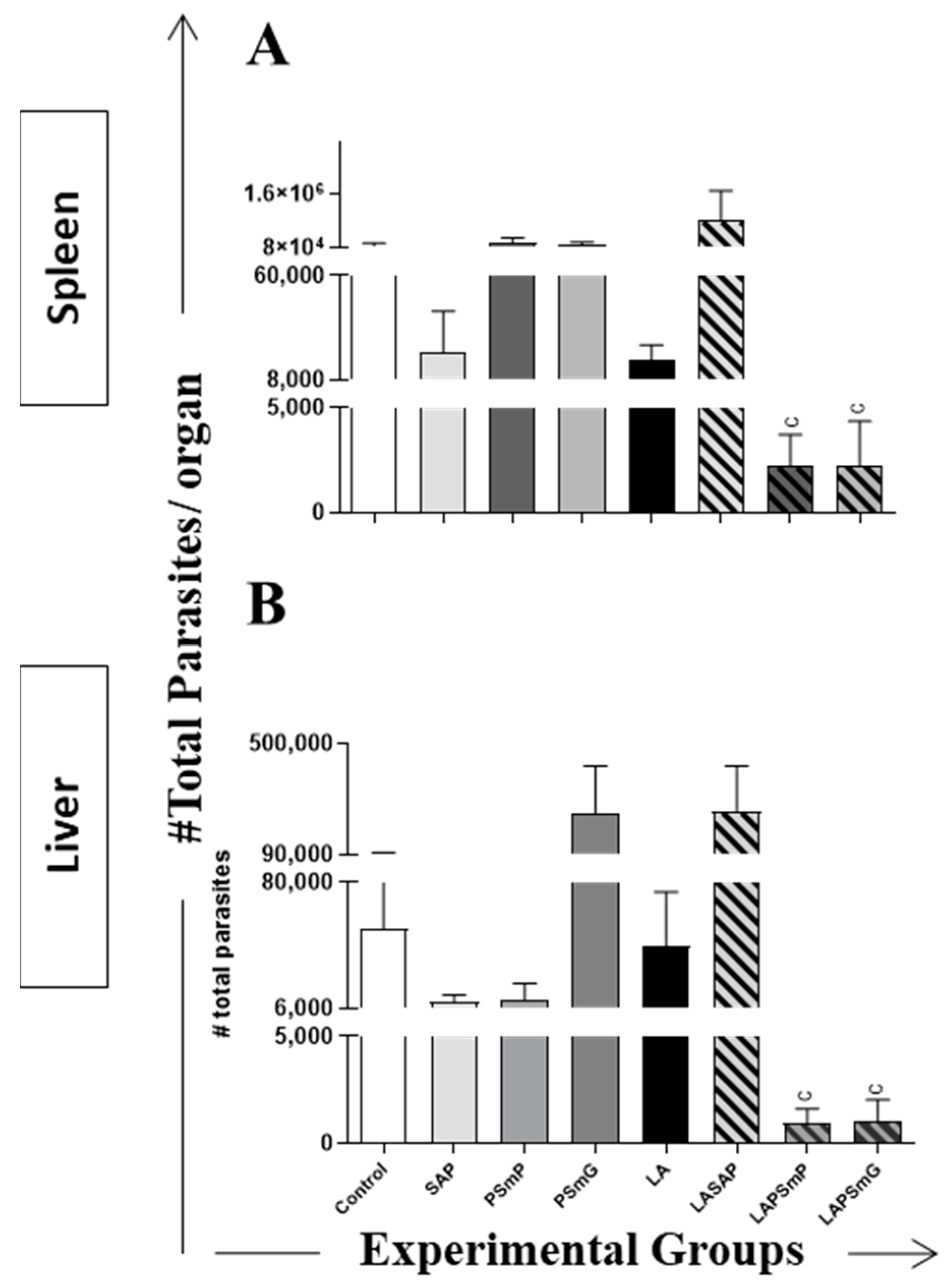
3.4. Vaccine Efficacy Evaluation
4. Discussion
5. Conclusions
Author Contributions
Funding
Institutional Review Board Statement
Informed Consent Statement
Acknowledgments
Conflicts of Interest
References
- Desjeux, P. Leishmaniasis: Current situation and new perspectives. Comp. Immunol. Microbiol. Infect. Dis. 2004, 27, 305–318. [Google Scholar] [CrossRef]
- Schriefer, A.M.E.; Wilson, M.E.; Carvalho, E.M. Recent developments leading toward a paradigm switch in the diagnostic and therapeutic approach to human leishmaniasis. Curr. Opin. Infect. Dis. 2008, 21, 483–488. [Google Scholar] [CrossRef] [PubMed]
- Chappuis, F.; Sundar, S.; Hailu, A.; Ghalib, H.; Rijal, S.; Peeling, R.W.; Alvar, J.; Boelaert, M. Visceral leishmaniasis: What are the needs fordiagnosis, treatment and control? Nat. Rev. Microbiol. 2007, 5, 873–882. [Google Scholar] [CrossRef] [PubMed]
- Murray, H.W.; Berman, J.D.; Davies, C.R.; Saravia, N.G. Advances in leishmaniasis. Lancet 2005, 366, 1561–1577. [Google Scholar] [CrossRef] [PubMed]
- Griensven, J.V.; Diro, E. Visceral Leishmaniasis. Infect. Dis. Clin. N. Am. 2012, 26, 309–322. [Google Scholar] [CrossRef]
- Organização Pan-America da Saúde-OPAS. Leishmanioses: Informe Epidemiológico nas Américas. Núm. 9, 2020; OPAS: Washington, DC, USA, 2020; Available online: https://iris.paho.org/handle/10665.2/51742 (accessed on 31 October 2022).
- Dos Reis, L.L.; Balieiro, A.A.S.; Fonseca, F.R.; Gonçalves, M.J.F. Changes in the epidemiology of visceral leishmaniasis in Brazil from 2001 to 2014. Rev. Da Soc. Bras. De Med. Trop. 2017, 50, 638–645. [Google Scholar] [CrossRef]
- Reis, A.B.; Giunchetti, R.C.; Carrillo, E.; Martins-Filho, O.A.; Moreno, J. Immunity to Leishmania and the rational search for vaccines against canine leishmaniasis. Trends Parasitol. 2010, 26, 341–349. [Google Scholar] [CrossRef]
- Lemesre, J.L.; Holzmuller, P.; Gonçalves, R.B.; Bourdoiseau, G.; Hugnet, G.; Cavaleyra, M.; Papierok, G. Long-lasting protection against canine visceral leishmaniasis using the LiESAp-MDP vaccine in endemic areas of France: Double-blind randomised efficacy field trial. Vaccine 2007, 25, 4223–4234. [Google Scholar] [CrossRef]
- Giunchetti, R.C.; Correa-Oliveira, R.; Martins-Filho, O.A.; Teixeira-Carvalho, A.; Roatt, B.M.; Aguiar-Soares, R.D.O.; Souza, J.V.; Moreira, N.D.; Malaquias, L.C.C.; Castro, L.L.M.; et al. Immunogenicity of a killed Leishmania vaccine with saponin adjuvant in dogs. Vaccine 2007, 25, 7674–7686. [Google Scholar] [CrossRef]
- Fernandes, A.P.; Costa, M.M.; Coelho, E.A.; Michalick, M.S.; de Freitas, E.; Melo, M.N.; Tafuri, L.W.; Resende, D.M.; Hermont, V.; Abrantes, C.F.; et al. Protective immunity against challenge with Leishmania (Leishmania) chagasi in beagle dogs vaccinated with recombinant A2 protein. Vaccine 2008, 26, 5888–5895. [Google Scholar] [CrossRef]
- Giunchetti, R.C.; Corrêa-Oliveira, R.; Martins-Filho, O.A.; Teixeira-Carvalho, A.; Roatt, B.M.; de Oliveira Aguiar-Soares, R.D.; Coura-Vital, W.; de Abreu, R.T.; Malaquias, L.C.C.; Gontijo, N.F.; et al. A killed Leishmania vaccine with sand fly saliva extract and saponin adjuvant displays immunogenicity in dogs. Vaccine 2008, 265, 623–638. [Google Scholar] [CrossRef] [PubMed]
- Giunchetti, R.C.; Reis, A.B.; Silveira-Lemos, D.; Martins-Filho, O.A.; Corrêa-Oliveira, R.; Bethony, J.; Vale, A.M.; Quetz, J.S.; Bueno, L.L.; França-Silva, J.C.; et al. Antigenicity of a whole parasite vaccine as promising candidate against canine leishmaniasis. Res. Vet. Sci. 2008, 85, 106–112. [Google Scholar] [CrossRef] [PubMed]
- Roatt, B.M.; Aguiar-Soares, R.D.; Vitoriano-Souza, J.; Coura-Vital, W.; Braga, S.L.; Corrêa-Oliveira, R.; Martins-Filho, O.A.; Carvalho, A.T.; Lana, M.; Gontijo, N.F.; et al. Performance of LBSap vaccine after intradermal challenge with L. infantum and saliva of Lu. longipalpis: Immunogenicity and parasitological evaluation. PLoS ONE 2012, 7, e49780. [Google Scholar] [CrossRef] [PubMed]
- Resende, L.A.; Roatt, B.M.; Aguiar-Soares, R.D.; Viana, K.F.; Mendonça, L.Z.; Lanna, M.F.; Silveira-Lemos, D.; Corrêa-Oliveira, R.; Martins-Filho, O.A.; Fujiwara, R.T.; et al. Cytokine and nitric oxide patterns in dogs immunized with LBSap vaccine, before and after experimental challenge with Leishmania chagasi plus saliva of Lutzomyia longipalpis. Vet. Par. 2013, 198, 371–381. [Google Scholar] [CrossRef] [PubMed][Green Version]
- Aguiar-Soares, R.D.D.O.; Roatt, B.M.; Ker, H.G.; Moreira, N.D.D.; Mathias, F.A.S.; Cardoso, J.M.D.O.; Gontijo, N.F.; Bruna-Romero, O.; Teixeira-Carvalho, A.; Martins-Filho, O.A.; et al. LbSapSal-vaccinated dogs exhibit increased circulating T-lymphocyte subsets (CD4+ and CD8+) as well as a reduction of parasitism after challenge with Leishmania infantum plus salivary gland of Lutzomyia longipalpis. Parasites Vectors 2014, 7, 61. [Google Scholar] [CrossRef]
- Resende, L.A.; Aguiar-Soares, R.D.D.O.; Gama-Ker, H.; Roatt, B.M.; Mendonça, L.Z.D.; Alves, M.L.R.; Silveira-Lemos, D.D.; Correa-Oliveira, R.; Martins-Filho, O.A.; Araújo, M.S.S.; et al. Impact of LbSapSal Vaccine in Canine Immunological and Parasitological Features before and after Leishmania chagasi-Challenge. PLoS ONE 2016, 11, e0161169. [Google Scholar] [CrossRef]
- Agallou, M.; Margaroni, M.; Kotsakis, S.D.; Karaguni, E. A Canine-Directed Chimeric Multi-Epitope Vaccine Induced Protective Immune Responses in BALB/c Mice Infected with Leishmania infantum. Vaccines 2020, 8, 350. [Google Scholar] [CrossRef]
- Elikaee, S.; Zarei, Z.; Khamesipour, A.; Akhoundi, B.; Borjian, A.R.; Afshar, M.J.A.; Allely, Q.K.; Heidari, S.; Mohebali, M. Live attenuated Leishmania major p27 gene knockout as a novel vaccine candidate: A study on safety, protective immunity and efficacy against canine visceral leishmaniasis caused by Leishmania infantum. Acta Trop. 2022, 225, 106153. [Google Scholar] [CrossRef]
- Srivastava, S.; Shankar, P.; Mishra, J.; Singh, S. Possibilities and challenges for developing a successful vaccine for leishmaniasis. Parasites Vectors 2016, 9, 277. [Google Scholar] [CrossRef]
- Pati, R.; Shevtsov, M.; Sonawane, A. Nanoparticle vaccines against infectious diseases. Front. Immunol. 2018, 9, 2224. [Google Scholar] [CrossRef]
- Doroud, D.; Rafati, S. Leishmaniasis: Focus on the design of nanoparticulate vaccine delivery systems. Expert Rev. Vaccines 2012, 11, 69–86. [Google Scholar] [CrossRef] [PubMed]
- Mehrizi, Z.T.; Ardestani, S.M.; Hoseini, M.H.M.; Khamesipour, A.; Mosaffa, N.; Ramezani, A. Novel Nanosized Chitosan-Betulinic Acid Against Resistant Leishmania Major and First Clinical Observation of such parasite in Kidney. Sci. Rep. 2018, 8, 11759. [Google Scholar] [CrossRef] [PubMed]
- Mehrizi, Z.T.; Khamesipour, A.; Ardestani, M.S.; Shahmabadi, H.E.; Hoseini, M.H.M.; Mosaffa, N.; Ramezani, A. Comparative analysis between four model nanoformulations of amphotericin B-chitosan, amphotericin B-dendrimer, betulinic acid-chitosan and betulinic acid-dendrimer for treatment of Leishmania major: Real-time PCR assay plus. Int. J. Nanomedicine 2019, 14, 7593–7607. [Google Scholar] [CrossRef] [PubMed]
- De Souza, A.; Marins, D.S.S.; Mathias, S.L.; Monteiro, L.M.; Yukuyama, M.N.; Scarim, C.B.; Löbenberg, R.; Bou-Chacra, N.A. Promising nanotherapy in treating leishmaniasis. Int. J. Pharm. 2018, 547, 421–431. [Google Scholar] [CrossRef] [PubMed]
- Moura, A.P.V.; Santos, L.C.B.; Brito, C.R.N.; Valencia, E.; Junqueira, C.; Filho, A.A.P.; Sant’Anna, M.R.V.; Gontijo, N.F.; Bartholomeu, D.C.; Fujiwara, R.T.; et al. Virus-like Particle Display of the α-Gal Carbohydrate for Vaccination against Leishmania Infection. ACS Cent. Sci. 2017, 3, 1026–1031. [Google Scholar] [CrossRef]
- Agallou, M.; Athanasiou, E.; Kammona, O.; Tastsoglou, S.; Hatzigeorgiou, A.G.; Kiparissides, C.; Karagouni, E. Transcriptome Analysis Identifies Immune Markers Related to Visceral Leishmaniasis Establishment in the Experimental Model of BALB/c Mice. Front. Immunol. 2019, 10, 2749. [Google Scholar] [CrossRef]
- Tosyali, O.A.; Allahverdivev, A.; Bagirova, M.; Abamor, E.S.; Avdogdu, M.; Dinparvar, S.; Acar, T.; Mustafaeva, Z.; Derman, S. Nano-Co-delivery of Lipophosphoglycan with Soluble and Autoclaved Leishmania Antigens into PLGA nanoparticles: Evaluation of in Vitro and in Vivo Immunostimulatory Effects against Visceral Leishmaniasis. Mater. Sci. Eng. C 2020, 120, 111684. [Google Scholar] [CrossRef]
- Ministério da Saúde. Situação Epidemiológica: Distribuição da Leishmaniose Tegumentar. 2022. Available online: https://www.gov.br/saude/pt-br/assuntos/saude-de-a-a-z/l/lt/situacao-epidemiologica (accessed on 31 October 2022).
- Scott, P.; Novais, O. Cutaneous leishmaniasis: Immune responses in protection and pathogenesis. Nat. R Immunol. 2016, 16, 581–592. [Google Scholar] [CrossRef]
- Fessi, H.; Puisieux, F.; Devissaguet, J.P.; Ammoury, N.; Benita, S. Nanocapsule formation by interfacial polymer deposition following solvent displacement. Int. J. Pharm. 1989, 55, R1–R4. [Google Scholar] [CrossRef]
- Garcia, G.J.M.; Schroeter, J.D.; Kimbell, J.S. Olfactory deposition of inhaled nanoparticles in humans. Inhal. Toxicol. 2015, 27, 394–403. [Google Scholar] [CrossRef]
- Moreira, D.; Vitoriano-souza, J.; Roatt, B.M.; Melo, P.; Vieira, D.A.; Ker, H.G.; Mirelle, J.; Cardoso, D.O.; Giunchetti, R.C.; Carneiro, M.; et al. Parasite Burden in Hamsters Infected with Two Different Strains of Leishmania (Leishmania) infantum: “Leishman Donovan Units” versus Real-Time PCR. PLoS ONE 2012, 7, e47907. [Google Scholar] [CrossRef] [PubMed][Green Version]
- Da Silva, C.J.; Mattos, C.B.; Felipin, K.P.; Silva, H.P.J.; Cantanhêde, L.M.; Porrozzi, R.; Medeiros, J.F.; Ferreira, R.G.M. First autochthonous case of canine visceral leishmaniasis in Rondônia, Brazil, a region with no history of visceral leishmaniasis. Rev. da Soc. Bras. de Med. Trop. 2018, 51, 712–715. [Google Scholar] [CrossRef] [PubMed]
- Faria, M.T.; Barbosa, F.S.; Teixeira-Neto, R.G.; Pinheiro, G.R.G.; Manhani, M.N.; Marcelino, A.P.; Barbosa, J.R.; Fontes, G. Autochthonous case of Canine Visceral Leishmaniasis in a non-endemic area in Minas Gerais, Brazil. Pesq. Vet. Bras. 2017, 37, 1505–1508. [Google Scholar] [CrossRef]
- Santana, R.S.; Souza, K.B.; Lussari, F.; Fonseca, E.S.; Andrade, C.O.; Meidas, M.M.K.; D’Andrea, l.A.Z.; Silva, F.A.; Flores, E.F.; Anjolete, I.R.; et al. Cases and distribution of visceral leishmaniasis in western São Paulo: A neglected disease in this region of Brazil. PLoS Neg. Trop. Dis. 2021, 15, e000941. [Google Scholar] [CrossRef] [PubMed]
- Cecílio, P.; Oliveira, F.; Silva, A.C. Vaccines for Human Leishmaniasis: Where Do We Stand and What Is Still Missing? Leishmaniases as Re-emerging Diseases; IntechOpen: London, UK, 2018. [Google Scholar]
- Ministério da Saúde. Leishmaniose Visceral. 2022. Available online: https://www.gov.br/saude/pt-br/assuntos/saude-de-a-a-z/l/leishmaniose-visceral (accessed on 2 November 2022).
- Petitdidier, E.; Pagniez, J.; Pissarra, J.; Holzmuller, P.; Papierok, G.; Vincendeau, P.; Lemesre, J.-L.; Bras-Gonçalves, R. Peptide-based vaccine successfully induces protective immunity against canine visceral leishmaniasis. NPJ Vaccines 2019, 4, 49. [Google Scholar] [CrossRef] [PubMed]
- Danhier, F.; Ansorena, E.; Silva, J.M.; Coco, R.; Le Breton, A.; Préat, V. PLGA-based nanoparticles: An overview of biomedical applications. J. Control. Release 2012, 161, 505–522. [Google Scholar] [CrossRef] [PubMed]
- Moreno, J. Assessment of vaccine-induced immunity against canine visceral leishmaniasis. Front. Vet. Sci. 2019, 6, 1–10. [Google Scholar] [CrossRef] [PubMed]
- Fries, C.N.; Curvino, E.J.; Chen, J.L.; Permar, S.R.; Fouda, G.G.; Collier, J.H. Advances in nanomaterial vaccine strategies to address infectious diseases impacting global health. Nat. Nanotechnol. 2021, 16, 1–14. [Google Scholar] [CrossRef]
- Aikins, M.E.; Bazzill, J.; Moon, J.J. Vaccine nanoparticles for protection against HIV infection. Nanomedicine 2017, 12, 673–682. [Google Scholar] [CrossRef]
- Thomas, C.; Rawat, A.; Hope-Weeks, L.; Ahsan, F. Aerosolized PLA and PLGA nanoparticles enhance humoral, mucosal and cytokine responses to hepatitis B vaccine. Mol. Pharm. 2011, 8, 405–415. [Google Scholar] [CrossRef]
- Tokatlian, T.; Kulp, D.W.; Mutafyan, A.A.; Jones, C.A.; Menis, S.; Georgeson, E.; Kubitz, M.; Zhang, M.H.; Melo, M.B.; Silva, M. Enhancing humoral responses against HIV envelope trimers via nanoparticle delivery with stabilized synthetic liposomes. Sci. Rep. 2018, 8, 1–13. [Google Scholar] [CrossRef] [PubMed]
- Kanekiyo, M.; Wei, C.J.; Yassine, H.M.; McTamney, P.M.; Boyington, J.C.; Whittle, J.R.R.; Rao, S.S.; Kong, W.P.; Wang, L.; Nabel, G.J. Self-assembling influenza nanoparticle vaccines elicit broadly neutralizing H1N1 antibodies. Nature 2013, 499, 102–106. [Google Scholar] [CrossRef] [PubMed]
- Niikura, K.; Matsunaga, T.; Suzuki, T.; Kobayashi, S.; Yamaguchi, H.; Orba, Y.; Kawaguchi, A.; Hasegawa, H.; Kajino, K.; Ninomiya, N.; et al. Gold nanoparticles as a vaccine platform: Influence of size and shape on immunological responses in vitro and in vivo. ACS Nano 2013, 7, 3926–3938. [Google Scholar] [CrossRef] [PubMed]
- Oliveira, D.C.D.P.; Barros, A.L.B.; Belardi, R.M.; Goes, A.M.; Oliveira, S.B.K.; Soares, D.C.F. Mesoporous silica nanoparticles as a potential vaccine adjuvant against Schistosoma mansoni. J. Drug Deliv. Sci. Technol. 2016, 35, 234–240. [Google Scholar] [CrossRef]
- Martinez-Gutierrez, F.; Olive, P.L.; Banuelos, A.; Orrantia, E.; Nino, N.; Sanchez, E.M.; Ruiz, F.; Bach, H.; Av-Gay, Y. Synthesis, characterization, and evaluation of antimicrobial and cytotoxic effect of silver and titanium nanoparticles. Nanomedicine 2010, 6, 681–688. [Google Scholar] [CrossRef]
- Das Moreira, D.N.; Vitoriano-Souza, J.; Roatt, B.M.; de Abreu Vieira, P.M.; Coura-Vital, W.; de Oliveira Cardoso, J.M.; Rezende, M.T.; Ker, H.G.; Giunchetti, R.C.; Carneiro, C.-M.; et al. Clinical, hematological and biochemical alterations in hamster (Mesocricetus auratus) experimentally infected with Leishmania infantum through different routes of inoculation. Parasites Vectors 2016, 9, 1. [Google Scholar] [CrossRef]
- Reis, A.B.; Teixeira-Carvalho, A.; Giunchetti, R.C.; Guerra, L.L.; Carvalho, M.G.; Mayrink, W.; Genaro, G.; Corrêa-Oliveira, R.; Martins-Filho, O.A. Phenotypic features of circulating leucocytes as immunological markers for clinical status and bone marrow parasite density in dogs naturally infected by Leishmania chagasi. Clin. Exp. Immunol. 2006, 146, 303–311. [Google Scholar] [CrossRef]
- De Freitas, J.C.C.; Lopes-Neto, B.E.; De Abreu, C.R.A.; Coura-Vital, W.; Braga, S.L.; Reis, A.B.; Nunes-Pinheiro, D.C.S. Profile of anti-Leishmania antibodies related to clinical picture in canine visceral leishmaniasis. Res. Vet. Sci. 2012, 93, 705–709. [Google Scholar] [CrossRef]
- Santos, W.R.; De Lima, V.M.F.; De Souza, E.P.; Bernardo, R.R.; Palatnik, M.; De Sousa, C.B.P. Saponins, IL12 and BCG adjuvant in the FML-vaccine formulation against murine visceral leishmaniasis. Vaccine 2012, 21, 30–43. [Google Scholar] [CrossRef]
- Ottino, J.; Leite, J.C.; Melo-Júnior, O.A.; González, M.A.C.; De Carvalho, T.F.; Garcia, G.M.; Batista, M.A.; Silveira, P.; Cardoso, M.S.; Bueno, L.L.; et al. Nanoformulations with Leishmania braziliensis Antigens Triggered Controlled Parasite Burden in Vaccinated Golden Hamster (Mesocricetus auratus) against Visceral Leishmaniasis. Pathogens 2022, 10, 11. [Google Scholar] [CrossRef]
- Resende, L.A.; Aguiar-Soares, R.D.O.; Moreira, N.D.D.; Ferreira, S.A.; Lanna, M.F.; Cardoso, J.M.O.; Mathias, F.A.S.; Coura-Vital, W.; Mariano, R.M.D.S.; Leite, J.C.; et al. In vitro Infectivity of Strains Isolated From Dogs Naturally Infected With Leishmania infantum Present a Distinct Pathogenic Profile in Hamsters. Front. Med. 2020, 28, 496. [Google Scholar] [CrossRef] [PubMed]
- De Oliveira Aguiar-Soares, R.D.; Roatt, B.M.; Mathias, F.A.S.; Reis, L.E.S.; de Oliveira Cardoso, J.M.; de Brito, R.C.F.; Ker, H.G.; Corrêa-Oliveira, R.; Giunchetti, R.C.; Reis, A.B. Phase I and II Clinical Trial Comparing the LBSap, Leishmune®, and Leish-Tec® Vaccines against Canine Visceral Leishmaniasis. Vaccines 2020, 8, 690. [Google Scholar] [CrossRef] [PubMed]
- Mendonça, L.Z.; Resende, L.A.; Lanna, M.F.; de Oliveira Aguiar-Soares, R.D.; Roatt, B.M.; de Oliveira e Castro, R.A.; Batista, M.A.; Silveira-Lemos, D.; de Assis Silva Gomes, J.; Fujiwara, R.T.; et al. Multicomponent LBSap vaccine displays immunological and parasitological profiles similar to those of Leish-Tec® and Leishmune® vaccines against visceral leishmaniasis. Parasites Vectors 2016, 9, 1. [Google Scholar] [CrossRef] [PubMed]
- Giunchetti, R.C.; Silveira, P.; Resende, L.A.; Leite, J.C.; de Oliveira Melo-Júnior, O.A.; Rodrigues Alves, M.L.; Costa, L.M.; Lair, D.F.; Chaves, V.R.; Soares, I.S.; et al. Canine visceral leishmaniasis biomarkers and their employment in vaccines. Vet. Parasitol. 2019, 271, 87–97. [Google Scholar] [CrossRef] [PubMed]
- Queiroz, P.V.S.; Monteiro, G.R.G.; Macedo, V.P.S.; Rocha, M.A.C.; Batista, L.M.M.; Queiroz, J.W.; Jerônimo, S.M.B.; Ximenes, M.F.F.M. Canine visceral leishmaniasis in urban and rural areas of Northeast Brazil. Res. Vet. Sci. 2009, 86, 267–273. [Google Scholar] [CrossRef] [PubMed]
- Maeda, K.; Sadoughi, S.; Morimoto, A.; Uchida, K.; Chambers, J.K.; Sanjoba, C.; Yamagishi, J.; Goto, Y. Hepatomegaly Associated with Non-Obstructive Sinusoidal Dilation in Experimental Visceral Leishmaniasis. Pathogens 2021, 10, 1356. [Google Scholar] [CrossRef]
- Margaroni, M.; Agallou, M.; Athanasiou, E.; Kammona, O.; Kiparissides, C.; Gaitanaki, C.; Karagouni, E. Vaccination with poly(D,L-lactide-co-glycolide) nanoparticles loaded with soluble Leishmania antigens and modified with a TNFα-mimicking peptide or monophosphoryl lipid aconfers protection against experimental visceral leishmaniasis. Int. J. Nanomed. 2017, 12, 6169–6184. [Google Scholar] [CrossRef]
- Dos-Santos, W.; Jesus, E.; Paranhos-Silva, M.; Pereira, A.; Santos, J.; Baleeiro, C.; Nascimento, E.G.; Moreira, E.D.; Oliveira, G.G.S.; Pontes-de-Carvalho, L.C. Associations among immunological, parasitological and clinical parameters in canine visceral leishmaniasis: Emaciation, spleen parasitism, specific antibodies and leishmanin skin test reaction. Vet. Immunol. Immunopathol. 2008, 5, 3–4. [Google Scholar] [CrossRef]
- Leal, G.A.; Roatt, B.; de Oliveira Aguiar-Soares, R.; Carneiro, C.; Giunchetti, R.C.; Teixeira-Carvalho, A.; Martins-Filho, O.A.; Francisco, A.F.; Cardoso, J.M.; Mathias, F.A.S.; et al. Immunological profile of resistance and susceptibility in naturally infected dogs by Leishmania infantum. Vet. Parasitol. 2014, 205, 472–482. [Google Scholar] [CrossRef]
- Proverbio, D.; Spada, E.; Giorgi, G.B.; Perego, R.; Valena, E. Relationship between Leishmania IFAT titer and clinicopathological manifestations (clinical score) in dogs. Biomed Res. Int. 2014, 412808. [Google Scholar] [CrossRef]
- Laranjeira, D.F.; Matta, V.L.; Tomokane, T.Y.; Marcondes, M.; Corbet, C.E.; Laurenti, M.D. Serological and infection statuses of dogs from a visceral leishmaniasis-endemic area. Rev. Saúde Publica 2014, 48, 563–571. [Google Scholar] [CrossRef] [PubMed]





| PLA (mg/mL) | Chitosan (mg/mL) | Antigen (1 mg/mL) | Size (nm) | Polydispersity | Zeta Potential (mV) | |
|---|---|---|---|---|---|---|
| PSmP | 5 | 5 | - | 350.6 ± 15.3 | 0.159 | +66.6 ± 4.3 |
| PSmG | 50 | 50 | - | 613.4 ± 16.8 | 0.133 | +66.8 ± 4.4 |
| LAPSmP | 5 | 5 | L. amazonensis | 409.8 ± 11.7 | 0.157 | +42.2 ± 5.8 |
| LAPSmG | 50 | 50 | L. amazonensis | 652.7 ± 12.3 | 0.153 | +56.3 ± 4.3 |
Disclaimer/Publisher’s Note: The statements, opinions and data contained in all publications are solely those of the individual author(s) and contributor(s) and not of MDPI and/or the editor(s). MDPI and/or the editor(s) disclaim responsibility for any injury to people or property resulting from any ideas, methods, instructions or products referred to in the content. |
© 2023 by the authors. Licensee MDPI, Basel, Switzerland. This article is an open access article distributed under the terms and conditions of the Creative Commons Attribution (CC BY) license (https://creativecommons.org/licenses/by/4.0/).
Share and Cite
González, M.A.C.; Gonçalves, A.A.M.; Ottino, J.; Leite, J.C.; Resende, L.A.; Melo-Júnior, O.A.; Silveira, P.; Cardoso, M.S.; Fujiwara, R.T.; Bueno, L.L.; et al. Vaccination with Formulation of Nanoparticles Loaded with Leishmania amazonensis Antigens Confers Protection against Experimental Visceral Leishmaniasis in Hamster. Vaccines 2023, 11, 111. https://doi.org/10.3390/vaccines11010111
González MAC, Gonçalves AAM, Ottino J, Leite JC, Resende LA, Melo-Júnior OA, Silveira P, Cardoso MS, Fujiwara RT, Bueno LL, et al. Vaccination with Formulation of Nanoparticles Loaded with Leishmania amazonensis Antigens Confers Protection against Experimental Visceral Leishmaniasis in Hamster. Vaccines. 2023; 11(1):111. https://doi.org/10.3390/vaccines11010111
Chicago/Turabian StyleGonzález, Marco Antonio Cabrera, Ana Alice Maia Gonçalves, Jennifer Ottino, Jaqueline Costa Leite, Lucilene Aparecida Resende, Otoni Alves Melo-Júnior, Patrícia Silveira, Mariana Santos Cardoso, Ricardo Toshio Fujiwara, Lilian Lacerda Bueno, and et al. 2023. "Vaccination with Formulation of Nanoparticles Loaded with Leishmania amazonensis Antigens Confers Protection against Experimental Visceral Leishmaniasis in Hamster" Vaccines 11, no. 1: 111. https://doi.org/10.3390/vaccines11010111
APA StyleGonzález, M. A. C., Gonçalves, A. A. M., Ottino, J., Leite, J. C., Resende, L. A., Melo-Júnior, O. A., Silveira, P., Cardoso, M. S., Fujiwara, R. T., Bueno, L. L., Santos, R. L., Carvalho, T. F. d., Garcia, G. M., Paes, P. R. d. O., Galdino, A. S., Chávez-Fumagalli, M. A., Melo, M. M., Silveira-Lemos, D., Martins-Filho, O. A., ... Giunchetti, R. C. (2023). Vaccination with Formulation of Nanoparticles Loaded with Leishmania amazonensis Antigens Confers Protection against Experimental Visceral Leishmaniasis in Hamster. Vaccines, 11(1), 111. https://doi.org/10.3390/vaccines11010111

