Migraine during COVID-19: Data from Second Wave Pandemic in an Italian Cohort
Abstract
1. Introduction
2. Materials and Methods
2.1. Telephone Interviews and Variables of Interest
2.2. Study Outcomes
2.3. Ethics
2.4. Statistical Analysis
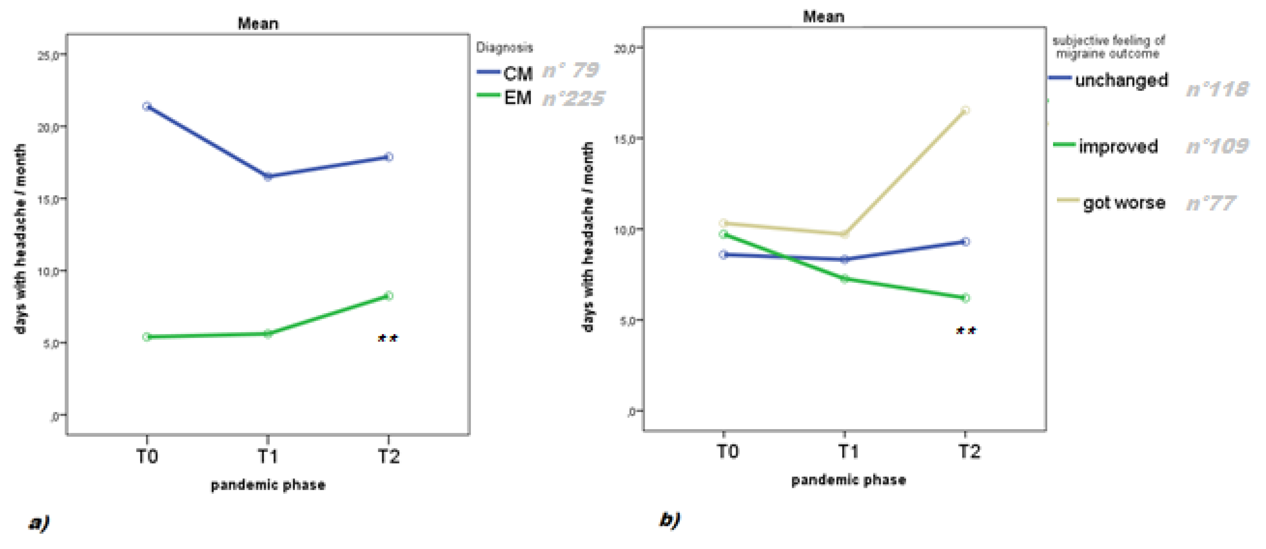
3. Results
Factors That Influence Headache Frequency
4. Discussion
4.1. COVID-19 Infection, Emotions, and Risk Perception in the Second Pandemic Wave
4.2. Study Limitations
5. Conclusions
Supplementary Materials
Author Contributions
Funding
Institutional Review Board Statement
Informed Consent Statement
Data Availability Statement
Conflicts of Interest
References
- Kaur, N.; Gupta, I.; Singh, H.; Karia, R.; Ashraf, A.; Habib, A.; Patel, U.K.; Malik, P. Epidemiological and Clinical Characteristics of 6635 COVID-19 Patients: A Pooled Analysis. SN Compr. Clin. Med. 2020, 2, 1048–1052. [Google Scholar] [CrossRef] [PubMed]
- Delussi, M.; Gentile, E.; Coppola, G.; Prudenzano, A.M.P.; Rainero, I.; Sances, G.; Abagnale, C.; Caponnetto, V.; De Cesaris, F.; Frattale, I.; et al. Investigating the Effects of COVID-19 Quarantine in Migraine: An Observational Cross-Sectional Study From the Italian National Headache Registry (RICe). Front. Neurol. 2020, 11, 597881. [Google Scholar] [CrossRef] [PubMed]
- Papetti, L.; Di Loro, P.A.; Tarantino, S.; Grazzi, L.; Guidetti, V.; Parisi, P.; Raieli, V.; Sciruicchio, V.; Termine, C.; Toldo, I.; et al. I stay at home with headache. A survey to investigate how the lockdown for COVID-19 impacted on headache in Italian children. Cephalalgia 2020, 40, 1459–1473. [Google Scholar] [CrossRef] [PubMed]
- Dallavalle, G.; Pezzotti, E.; Provenzi, L.; Toni, F.; Carpani, A.; Borgatti, R. Migraine Symptoms Improvement During the COVID-19 Lockdown in a Cohort of Children and Adolescents. Front. Neurol. 2020, 11, 579047. [Google Scholar] [CrossRef] [PubMed]
- Parodi, I.C.; Poeta, M.G.; Assini, A.; Schirinzi, E.; Del Sette, P. Impact of quarantine due to COVID infection on migraine: A survey in Genova, Italy. Neurol. Sci. 2020, 41, 2025–2027. [Google Scholar] [CrossRef] [PubMed]
- E Verhagen, I.; Van Casteren, D.S.; Lentsch, S.D.V.; Terwindt, G.M. Effect of lockdown during COVID-19 on migraine: A longitudinal cohort study. Cephalalgia 2021, 11. [Google Scholar] [CrossRef]
- Al-Hashel, J.Y.; Ismail, I.I. Impact of coronavirus disease 2019 (COVID-19) pandemic on patients with migraine: A web-based survey study. J. Headache Pain 2020, 21, 1–9. [Google Scholar] [CrossRef]
- Brooks, S.K.; Webster, R.K.; Smith, L.E.; Woodland, L.; Wessely, S.; Greenberg, N.; Rubin, G.J. The Psychological Impact of Quarantine and How to Reduce It: Rapid Review of the Evidence. SSRN Electron. J. 2020, 395, 912–920. [Google Scholar] [CrossRef]
- Haug, N.; Geyrhofer, L.; Londei, A.; Dervic, E.; Desvars-Larrive, A.; Loreto, V.; Pinior, B.; Thurner, S.; Klimek, P. Ranking the effec-tiveness of worldwide COVID-19 government interventions. Nat. Hum. Behav. 2020, 4, 1303–1312. [Google Scholar] [CrossRef] [PubMed]
- Headache Classification Committee of the International Headache Society (IHS). The International Classification of Headache Disorders,3rd edition. Cephalalgia 2018, 38, 1–211. [Google Scholar] [CrossRef] [PubMed]
- Majid, U.; Wasim, A.; Bakshi, S.; Truong, J. Knowledge, (mis-)conceptions, risk perception, and behavior change during pandemics: A scoping review of 149 studies. Public Underst. Sci. 2020, 29, 777–799. [Google Scholar] [CrossRef] [PubMed]
- Rui, J.R.; Yang, K.; Chen, J. Information Sources, Risk Perception, and Efficacy Appraisal’s Prediction of Engagement in Protective Behaviors Against COVID-19 in China: Repeated Cross-sectional Survey. JMIR Hum. Factors 2021, 8, e23232. [Google Scholar] [CrossRef] [PubMed]
- Delussi, M.; Vecchio, E.; Libro, G.; Quitadamo, S.; De Tommaso, M. Failure of preventive treatments in migraine: An observational retrospective study in a tertiary headache center. BMC Neurol. 2020, 20, 1–12. [Google Scholar] [CrossRef] [PubMed]
- Szperka, C.L.; Ailani, J.; Barmherzig, R.; Klein, B.C.; Minen, M.T.; Singh, R.B.H.; Shapiro, R.E. Migraine Care in the Era of COVID-19: Clinical Pearls and Plea to Insurers. Headache J. Head Face Pain 2020, 60, 833–842. [Google Scholar] [CrossRef] [PubMed]
- Caronna, E.; Gallardo, V.J.; Fonseca, E.; Gómez-Galván, J.B.; Alpuente, A.; Torres-Ferrus, M.; Pozo-Rosich, P. How Does Migraine Change After 10 Years? A Clinical Cohort Follow-Up Analysis. Headache 2020, 60, 916–928. [Google Scholar] [CrossRef] [PubMed]
- Stewart, W.F.; Lipton, R.B.; Kolodner, K. Migraine disability assessment (MIDAS) score: Relation to headache frequency, pain intensity, and headache symptoms. Headache J. Head Face Pain 2003, 43, 258–265. [Google Scholar] [CrossRef] [PubMed]


| Sex | F 238 M 66 |
|---|---|
| Age Mean ± Standard deviation | 45.38 ± 12.9 |
| Years of education | >13 119 13 117 5 12 8 56 |
| Residence | Center 50 North 73 South 81 |
| Migraine diagnosis | CM 79 EM 225 |
| Mean | SD | t | p | ||
|---|---|---|---|---|---|
| Anger | T1 | 4.40 | 2.77 | −2.38 | 0.02 |
| T2 | 4.83 | 2.78 | |||
| Disgust | T1 | 3.35 | 2.80 | −3.33 | 0.001 |
| T2 | 3.94 | 2.78 | |||
| Relaxation | T1 | 4.73 | 2.64 | 3.92 | 0.001 |
| T2 | 4.05 | 2.32 | |||
| Fear | T1 | 5.84 | 2.76 | 2.54 | 0.01 |
| T2 | 5.42 | 2.82 | |||
| Anxiety | T1 | 5.82 | 2.81 | 1.10 | n.s. |
| T2 | 5.64 | 2.79 | |||
| Sadness | T1 | 5.33 | 2.81 | −0.17 | n.s. |
| T2 | 5.35 | 2.70 | |||
| Happiness | T1 | 4.70 | 2.37 | −0.18 | n.s. |
| T2 | 4.73 | 2.22 | |||
| COVID Risk Perception | T1 | 6.17 | 2.79 | 1.94 | n.s. (0.053) |
| T2 | 5.82 | 2.74 |
| Pandemic Phase | Mean | SE | 95% CI | ANOVA | Contrasts | |
|---|---|---|---|---|---|---|
| Lower | Upper | |||||
| Headache Frequency | ||||||
| T0 | 9.556 | 0.471 | 8.629 | 10.483 | F 11.86 | T0 vs. T1 p 0.03 |
| T1 | 8.447 | 0.474 | 7.515 | 9.380 | p < 0.0001 | T1 vs. T2 p < 0.0001 |
| T2 | 10.750 | 0.594 | 9.582 | 11.918 | T0 vs. T2 p 0.03 | |
| Acute Medication Use | ||||||
| T0 | 7.997 | 0.573 | 6.869 | 9.124 | F 8.17 | T0 vs. T1 p 0.03 |
| T1 | 6.957 | 0.588 | 5.801 | 8.113 | p < 0.0001 | T1 vs. T2 p < 0.0001 |
| T2 | 9.503 | 0.630 | 8.263 | 10.743 | T0 vs. T2 p 0.03 | |
| Headache Intensity | ||||||
| T0 | 6.896 | 0.119 | 6.661 | 7.131 | F 5.69 | T0 vs. T1 p < 0.001 |
| T1 | 6.546 | 0.125 | 6.300 | 6.793 | p 0.004 | T1 vs. T2 p n.s. |
| T2 | 6.762 | 0.115 | 6.535 | 6.989 | T0 vs. T2 p n.s. | |
| Anger | Disgust | Fear | Anxiety | Sadness | Happiness | Relaxation | Risk Perception | |
|---|---|---|---|---|---|---|---|---|
| Pearson | 0.266 | 0.195 | 0.319 | 0.280 | 0.220 | −0.022 | −0.044 | 0.212 |
| p | <0.001 | <0.001 | <0.001 | <0.001 | <0.001 | n.s. | n.s. | <0.001 |
Publisher’s Note: MDPI stays neutral with regard to jurisdictional claims in published maps and institutional affiliations. |
© 2021 by the authors. Licensee MDPI, Basel, Switzerland. This article is an open access article distributed under the terms and conditions of the Creative Commons Attribution (CC BY) license (https://creativecommons.org/licenses/by/4.0/).
Share and Cite
Gentile, E.; Delussi, M.; Abagnale, C.; Caponnetto, V.; De Cesaris, F.; Frattale, I.; Guaschino, E.; Marcinnò, A.; Ornello, R.; Pistoia, F.; et al. Migraine during COVID-19: Data from Second Wave Pandemic in an Italian Cohort. Brain Sci. 2021, 11, 482. https://doi.org/10.3390/brainsci11040482
Gentile E, Delussi M, Abagnale C, Caponnetto V, De Cesaris F, Frattale I, Guaschino E, Marcinnò A, Ornello R, Pistoia F, et al. Migraine during COVID-19: Data from Second Wave Pandemic in an Italian Cohort. Brain Sciences. 2021; 11(4):482. https://doi.org/10.3390/brainsci11040482
Chicago/Turabian StyleGentile, Eleonora, Marianna Delussi, Chiara Abagnale, Valeria Caponnetto, Francesco De Cesaris, Ilaria Frattale, Elena Guaschino, Andrea Marcinnò, Raffaele Ornello, Francesca Pistoia, and et al. 2021. "Migraine during COVID-19: Data from Second Wave Pandemic in an Italian Cohort" Brain Sciences 11, no. 4: 482. https://doi.org/10.3390/brainsci11040482
APA StyleGentile, E., Delussi, M., Abagnale, C., Caponnetto, V., De Cesaris, F., Frattale, I., Guaschino, E., Marcinnò, A., Ornello, R., Pistoia, F., Putortì, A., Candida, G., Roveta, F., Lupi, C., Coppola, G., Prudenzano, A. M. P., Rainero, I., Sances, G., Roca, M. E., ... de Tommaso, M. (2021). Migraine during COVID-19: Data from Second Wave Pandemic in an Italian Cohort. Brain Sciences, 11(4), 482. https://doi.org/10.3390/brainsci11040482

