Robust Speed Tracking of Induction Motors: An Arduino-Implemented Intelligent Control Approach †
Abstract
:1. Introduction
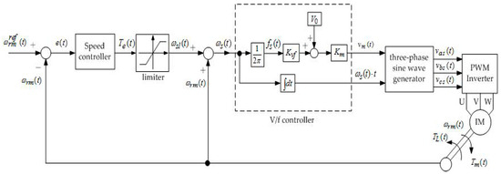
2. System Description
3. Proposed Intelligent Speed Controller
3.1. Development of a Modified Z-N PID Controller
3.2. Development of an FLC
- Case 1. This yields . We have since . Moreover, since . So, we get
 - Case 2. This yields . We have since . Moreover, since . So, we get
 
4. Experimental Study
4.1. Experimental Setup
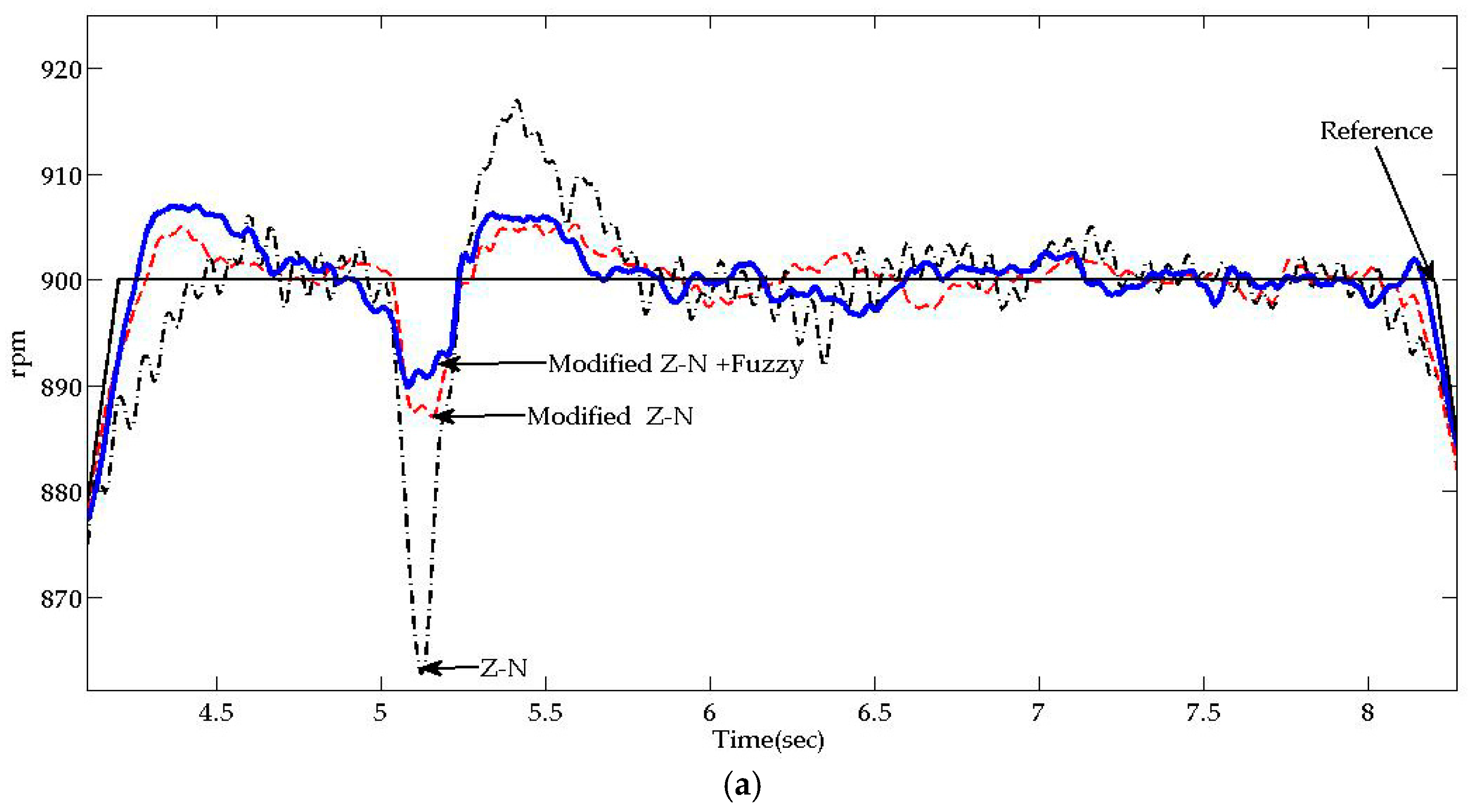
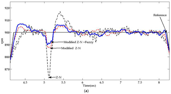
4.2. Experimental Results
- Case A. No external load torque is applied to the shaft;
 - Case B. An external load torque of 1.1 Nm is suddenly applied to the shaft at 5 s;
 - Case C. An external load torque of 1.1 Nm is suddenly applied to the shaft at 18 s.
 
4.2.1. PC-Based IM Speed Tracking
4.2.2. Arduino-Based IM Speed Tracking
5. Conclusions
Acknowledgments
Author Contributions
Conflicts of Interest
References
- Blaschke, F. The principle of field orientation as applied to the new transvector closed-loop control system for rotating-field machines. Siemens Rev. 1972, 39, 217–220. [Google Scholar]
 - Krishnan, R. Electric Motor Drive: Modeling, Analysis and Control; Prentice Hall Inc.: Upper Saddle River, NJ, USA, 2001. [Google Scholar]
 - Zhang, Z.; Xu, H.; Xu, L.; Heilman, L.E. Sensorless direct field-oriented control of three-phase induction motors based on sliding mode for washing-machine drive applications. IEEE Trans. Ind. Appl. 2006, 42, 694–701. [Google Scholar] [CrossRef]
 - Elwer, A.S. A novel technique for tuning PI-controllers in induction motor drive systems for electric vehicle applications. J. Power Electron. 2006, 6, 322–329. [Google Scholar]
 - Santana, E.S.; Bim, E.; Amaral, W.C. A predictive algorithm for controlling speed and rotor flux of induction motor. IEEE Trans. Ind. Electron. 2008, 55, 717–725. [Google Scholar] [CrossRef]
 - Egiguren, P.A.; Caramazana, O.B.; Etxeberria, J.A.C. TNC-Generalized Predictive Speed Control of Induction Motor Drives. In Proceedings of the 37th Annual Conference of IEEE Industrial Electronics, Melbourne, Australia, 7–10 November 2011. [Google Scholar]
 - Kuo, B.C.; Golnaraghi, M.F. Automatic Control Systems; John Wiley & Sons: Hoboken, NJ, USA, 2003. [Google Scholar]
 - Thomas, J.; Hansson, A. Speed tracking of a linear induction motor-enumerative nonlinear model predictive control. IEEE Trans. Control Syst. Technol. 2013, 21, 1956–1962. [Google Scholar] [CrossRef]
 - Zaafouri, A.; Regaya, C.B.; Azza, H.B.; Châari, A. DSP-based adaptive backstepping using the tracking errors for high-performance sensorless speed control of induction motor drive. ISA Trans. 2016, 60, 333–347. [Google Scholar] [CrossRef] [PubMed]
 - Aouaouda, S.; Chadli, M.; Boukhnifer, M.; Karimi, H.R. Robust fault tolerant tracking controller design for vehicle dynamics: A descriptor approach. Mechatronics 2015, 30, 316–326. [Google Scholar] [CrossRef]
 - Hu, C.; Wang, R.; Yan, F.; Chen, N. Robust composite nonlinear feedback path-following control for underactuated surface vessels with desired-heading amendment. IEEE Trans. Ind. Electron. 2016, 63, 6386–6394. [Google Scholar] [CrossRef]
 - Hu, C.; Jing, H.; Wang, R.; Yan, F.; Chadli, M. Robust H∞ output-feedback control for path following of autonomous ground vehicles. Mech. Syst. Signal Process. 2016, 70, 414–427. [Google Scholar] [CrossRef]
 - Brrero, F.A.; Gonzalez, A.; Torralba, A.; Galvan, E.; Franquelo, L.G. Speed control of induction motors using a novel fuzzy sliding-mode structure. IEEE Trans. Fuzzy Syst. 2002, 10, 375–383. [Google Scholar] [CrossRef]
 - Heber, B.; Xu, L.; Tang, Y. Fuzzy logic enhanced speed control of an indirect field-oriented induction machine drive. IEEE Trans. Power Electron. 1997, 12, 772–778. [Google Scholar] [CrossRef]
 - Rafa, S.; Larabi, A.; Barazane, L.; Manceur, M.; Essounbouli, N.; Hamzaoui, A. Implementation of a new fuzzy vector control of induction motor. ISA Trans. 2014, 53, 744–754. [Google Scholar] [CrossRef] [PubMed]
 - Wai, R.J.; Chang, H.H. Backstepping wavelet neural network control for indirect field-oriented induction motor drives. IEEE Trans. Neural Netw. 2004, 15, 367–382. [Google Scholar] [CrossRef] [PubMed]
 - Uddin, M.N.; Wen, H. Development of a self-tuned neuro-fuzzy controller for induction motor drives. IEEE Trans. Ind. Appl. 2007, 43, 1108–1116. [Google Scholar] [CrossRef]
 - Hafeez, M.; Uddin, M.N.; Rahim, N.A. Self-tuned NFC and adaptive torque hysteresis-based DTC scheme for IM drive. IEEE Trans. Ind. Appl. 2014, 50, 1410–1420. [Google Scholar] [CrossRef]
 - Karithik, M.; Reddy, M.K. Speed control of induction motor by using self-tuned neuro fuzzy logic controller. Int. J. Innov. Technol. 2015, 3, 358–364. [Google Scholar]
 - Li, W. Design of a hybrid fuzzy logic proportional plus conventional integral-derivative controller. IEEE Trans. Fuzzy Syst. 1998, 6, 449–463. [Google Scholar] [CrossRef]
 - Lokriti, A.; Salhi, I.; Doubabi, S.; Zidani, Y. Induction motor speed drive improvement using fuzzy IP-self-tuning controller, a real time implementation. ISA Trans. 2013, 52, 406–417. [Google Scholar] [CrossRef] [PubMed]
 - Daya, J.L.F.; Subbiah, J.; Sanjeevikumar, P. Robust speed control of an induction motor drive using wavelet–fuzzy based self-tuning multiresolution controller. Int. J. Comput. Intell. Syst. 2013, 6, 724–738. [Google Scholar] [CrossRef]
 - Menghal, P.M.; Laxmi, A.J. Fuzzy based real time control of induction motor drive. Procedia Comput. Sci. 2016, 85, 228–235. [Google Scholar] [CrossRef]
 - Kumar, R.A.; Daya, J.L.F. A Novel Self-Tuning Fuzzy Based PID Controller for Speed Control of Induction Motor Drive. In Proceedings of the International Conference on Control Communication and Computing, Thiruvananthapuram, India, 13–15 December 2013. [Google Scholar]
 - Devi, K.; Gautam, S.; Nagaria, D. Speed control of 3-phase induction motor using self-tuning fuzzy PID controller and conventional PID controller. Int. J. Inf. Comput. Technol. 2014, 4, 1185–1193. [Google Scholar]
 - Yang, T.; Qiu, W.; Ma, Y.; Chadli, M.; Zhang, L. Fuzzy model-based predictive control of dissolved oxygen in activated sludge processes. Neurocomputing 2014, 136, 88–95. [Google Scholar] [CrossRef]
 - Van Doren, V. Auto-tuning control using Ziegler-Nichols. Control Eng. 2006, 53, 66–71. [Google Scholar]
 - Ho, T.J.; Yeh, L.Y. Design of a Hybrid PID Plus Fuzzy Controller for Speed Control of Induction Motors. In Proceedings of the 2010 IEEE Conference on Industrial Electronics and Applications, Taichung, Taiwan, 15–17 June 2010. [Google Scholar]
 - Olsson, M. Simulation Comparison of Auto-Tuning Methods for PID Control; Linköping University Electronic Press: Linköping, Sweden, 2008. [Google Scholar]
 - Suzuki, K.; Saito, S.; Kudor, T.; Tanaka, A.; Andoh, Y. Stability Improvement of V/F Controlled Large Capacity Voltage-Source Inverter Fed Induction Motor. In Proceedings of the 41st IEEE Conference on Industry Applications, Tampa, FL, USA, 8–12 October 2006. [Google Scholar]
 - Yang, R.; Chen, W.; Yu, Y.; Xu, D. Stability Improvement of V/F Controlled Induction Motor Drive Systems Based on Reactive Current Compensation. In Proceedings of the 2008 IEEE Conference on Electrical Machines and Systems, Wuhan, China, 17–20 October 2008. [Google Scholar]
 - Amudhavalli, D.; Narendran, L. Speed Control of an Induction Motor by V/F Method Using an Improved Z Source Inverter. In Proceedings of the 2012 IEEE Conference on Emerging Trends in Electrical Engineering and Energy Management, Tamil Nadu, India, 13–15 December 2012. [Google Scholar]
 - Ho, T.J.; Chang, C.H. Effective Speed Tracking of Induction Motors Using Microcontroller-Based Intelligent Control. In Proceedings of the 2017 IEEE International Conference on Applied System Innovation, Sapporo, Japan, 13–17 May 2017. [Google Scholar]
 - Lin, F.J.; Wang, D.H.; Huang, P.K. FPGA-based fuzzy sliding-mode control for a linear induction motor drive. IEEE Proc. Electr. Power Appl. 2005, 152, 1137–1148. [Google Scholar] [CrossRef]
 - Circesta, M.N.; Dinu, A. A VHDL holistic modeling approach and FPGA implementation of a digital sensorless induction motor control scheme. IEEE Trans. Ind. Electron. 2007, 54, 1853–1864. [Google Scholar] [CrossRef]
 - Thejaswini, R.; Sindhuja, R. Voltage/Frequency control of an induction motor using FPGA. Int. J. Emerg. Eng. Res. Technol. 2014, 2, 101–106. [Google Scholar]
 - Nandhini, C.; Jagadeeswari, M. FPGA implementation for speed monitoring and speed control of AC motor using V/F control. Int. J. Innov. Res. Sci. Eng. Technol. 2016, 5, 8581–8588. [Google Scholar]
 
















| 4.25–8.25 s | 16.25–20.25 s | |||
|---|---|---|---|---|
| Max. RMSE Speed Error (%) | (s) | Max. RMSE Speed Error (%) | (s) | |
| Modified Z-N+Fuzzy | 0.57 | 4.3 | 0.45 | 16.4 | 
| Modified Z-N | 0.64 | 4.3 | 0.68 | 16.4 | 
| Z-N | 0.68 | 4.4 | 0.46 | 16.5 | 
| 4.25–8.25 s | ||
|---|---|---|
| Max. RMSE Speed Error (%) | (s) | |
| Modified Z-N+Fuzzy | 1.76 | 4.3 | 
| Modified Z-N | 1.82 | 4.3 | 
| Z-N | 3.89 | 4.6 | 
| 16.25–20.25 s | ||
|---|---|---|
| Max. RMSE Speed Error (%) | (s) | |
| Modified Z-N+Fuzzy | 2.78 | 16.3 | 
| Modified Z-N | 3.89 | 16.4 | 
| Z-N | 5.78 | N/A | 
| 4.25–8.25 s | 16.25–20.25 s | |||
|---|---|---|---|---|
| Max. Speed Error (%) | (s) | Max. Speed Error (%) | (s) | |
| Modified Z-N+Fuzzy | 1.78 | 4.3 | 2.67 | 16.3 | 
| Modified Z-N | 3.11 | 4.3 | 2.66 | 16.3 | 
| Z-N | 2.1 | 4.4 | 3.67 | 16.3 | 
| 4.25–8.25 s | ||
|---|---|---|
| Max. Speed Error (%) | (s) | |
| Modified Z-N+Fuzzy | 7.78 | 5.3 | 
| Modified Z-N | 15.56 | 5.6 | 
| Z-N | 16.11 | 5.7 | 
| 16.25–20.25 s | ||
|---|---|---|
| Max. Speed Error (%) | (s) | |
| Modified Z-N+Fuzzy | 10.56 | 18.2 | 
| Modified Z-N | 16.67 | 8.8 | 
| Z-N | 24.44 | N/A | 
© 2018 by the authors. Licensee MDPI, Basel, Switzerland. This article is an open access article distributed under the terms and conditions of the Creative Commons Attribution (CC BY) license (http://creativecommons.org/licenses/by/4.0/).
Share and Cite
Ho, T.-J.; Chang, C.-H. Robust Speed Tracking of Induction Motors: An Arduino-Implemented Intelligent Control Approach. Appl. Sci. 2018, 8, 159. https://doi.org/10.3390/app8020159
Ho T-J, Chang C-H. Robust Speed Tracking of Induction Motors: An Arduino-Implemented Intelligent Control Approach. Applied Sciences. 2018; 8(2):159. https://doi.org/10.3390/app8020159
Chicago/Turabian StyleHo, Tan-Jan, and Chun-Hao Chang. 2018. "Robust Speed Tracking of Induction Motors: An Arduino-Implemented Intelligent Control Approach" Applied Sciences 8, no. 2: 159. https://doi.org/10.3390/app8020159
APA StyleHo, T.-J., & Chang, C.-H. (2018). Robust Speed Tracking of Induction Motors: An Arduino-Implemented Intelligent Control Approach. Applied Sciences, 8(2), 159. https://doi.org/10.3390/app8020159
        
