Development of a Clinical Decision Support System Using Artificial Intelligence Methods for Liver Transplant Centers
Abstract
1. Introduction
2. Related Works
3. Materials and Method
3.1. Data Input

3.2. Dataset
3.3. Data Preprocessing
3.4. Feature Extraction
3.5. Machine and Deep Learning Techniques
3.5.1. K-Nearest Neighbors
3.5.2. Logistic Regression
3.5.3. Naive Bayes
3.5.4. Support Vector Machine
3.5.5. Decision Tree
3.5.6. Random Forest
3.5.7. Recurrent Neural Networks
3.5.8. Long Short-Term Memory
4. Experimental Results and Discussion
4.1. Statistical Analysis of Data
4.1.1. Model 1: Estimation of the Ex Variable Using the Two-State Logit Model
4.1.2. Model 2: Estimation of the Cause of Death Variable Using the Ordinal Model
4.1.3. Model 3: Estimation of the Tumor Recurrence Variable Using the Two-State Logit Model
4.1.4. Model 4: Estimation of the Recurrence Location Variable Using the Two-State Logit Model
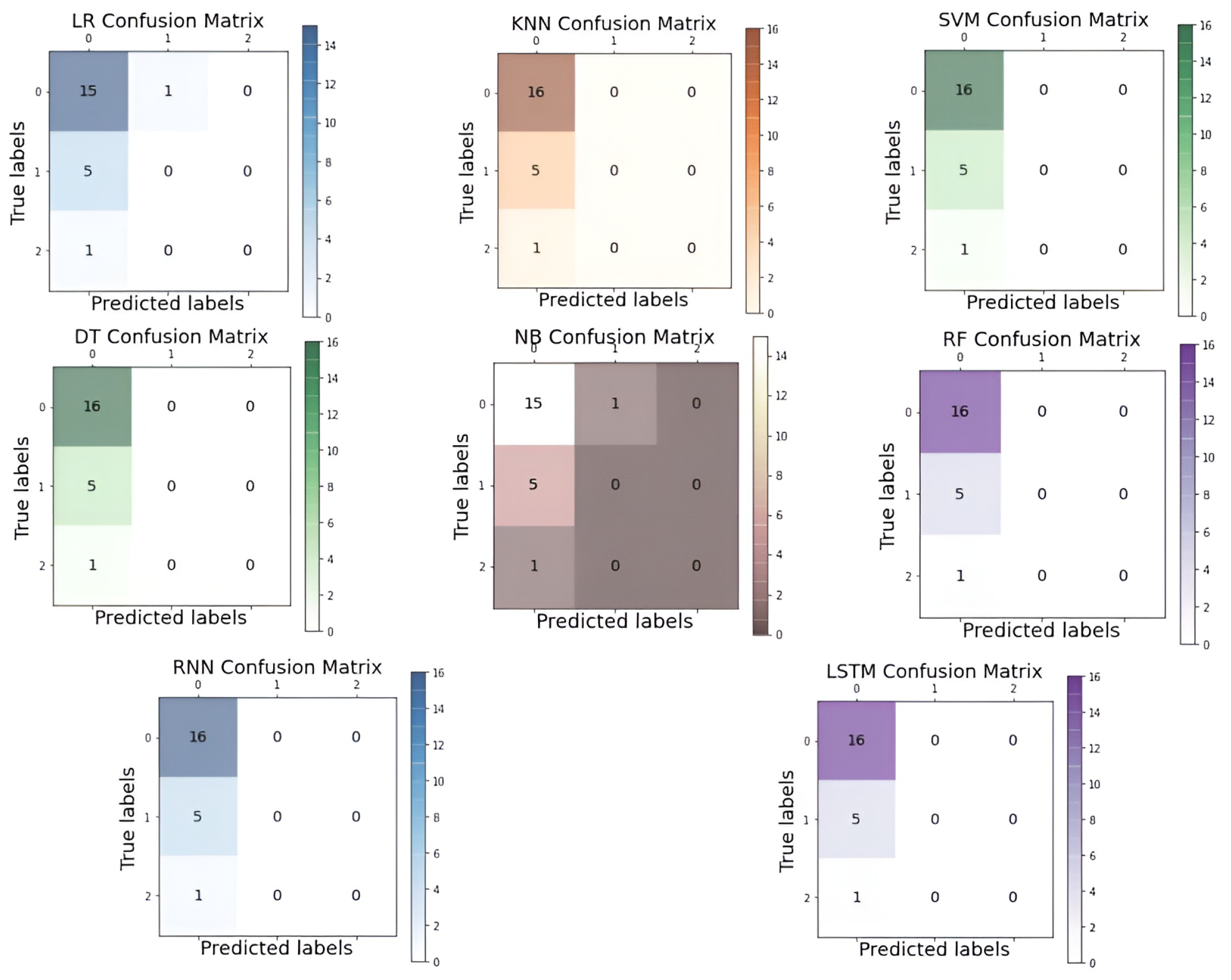
4.2. Results
- TP represents the number of true positives, instances correctly predicted as “Ex” by the model.
- FP represents the number of false positives, instances incorrectly predicted as “Ex” by the model while they are actually “Alive”.
- FN represents the number of false negatives, instances incorrectly predicted as “Alive” by the model while they are actually “Ex”.
- TN represents the number of true negatives, instances correctly predicted as “Alive” by the model.
- DT model achieved 81% precision.
- RNN and LSTM models achieved 82% recall.
- RNN and LSTM models obtained 74% F1-score.
- RNN and LSTM models achieved 82% accuracy.
- LSTM model achieved 99% AUC score.
- RNN and LSTM models achieved 67% precision.
- RNN and LSTM models achieved 82% recall.
- RNN and LSTM models obtained 74% F1-score.
- RNN and LSTM models achieved 82% accuracy.
- LSTM model achieved an AUC score of 98%.
- RNN and LSTM models achieved 62% precision.
- RNN and LSTM models achieved 79% recall.
- RNN and LSTM models obtained 69% F1-score.
- RNN and LSTM models achieved 79% accuracy.
- The LSTM model achieved an AUC score of 97%.
- RNN and LSTM models achieved 62% precision.
- RNN and LSTM models achieved 79% recall.
- RNN and LSTM models obtained 69% F1-score.
- RNN and LSTM models achieved 79% accuracy.
- LSTM model achieved 99% AUC score.
- RF model achieved 85% precision.
- LR, DT, and RF models achieved 86% recall.
- RF model obtained 85% F1-score.
- DT and RF models achieved 86% accuracy.
- LSTM model achieved an AUC score of 96%.
- LR model achieved 80% precision.
- LR, DT, RF, RNN, and LSTM models achieved 82% recall.
- LR model achieved 81% F1-score.
- SVM, DT, RF, RNN, and LSTM models achieved 82% accuracy.
- LSTM model achieved an AUC score of 98%.
- Total Test Data: 20
- True Positive (TP): The model correctly predicted 14 instances as “Ex”.
- False Positive (FP): The model incorrectly predicted 4 instances as “Ex” that were actually alive.
- False Negative (FN): The model incorrectly predicted 1 instance as alive that was actually “Ex”.
- True Negative (TN): The model correctly predicted 3 instances as alive.
5. Conclusions and Future Work
Author Contributions
Funding
Institutional Review Board Statement
Informed Consent Statement
Data Availability Statement
Conflicts of Interest
References
- Tanwar, N.; Rahman, K.F. Machine learning in liver disease diagnosis: Current progress and future opportunities. Iop Conf. Ser. Mater. Sci. Eng. 2021, 1022, 012029. [Google Scholar] [CrossRef]
- Morisco, F.; Bruno, R.; Bugianesi, E.; Burra, P.; Calvaruso, V.; Cannoni, A.; Caporaso, N.; Caviglia, G.P.; Ciancio, A.; Fargion, S.; et al. AISF position paper on liver disease and pregnancy. Dig. Liver Dis. 2016, 48, 120–137. [Google Scholar] [CrossRef] [PubMed]
- Pugliese, N.; Arcari, I.; Aghemo, A.; Lania, A.G.; Lleo, A.; Mazziotti, G. Osteosarcopenia in autoimmune cholestatic liver diseases: Causes, management, and challenges. World J. Gastroenterol. 2022, 28, 1430. [Google Scholar] [CrossRef]
- de Villa, G.H.; Chen, C.-T.; Chen, Y.-R. Spontaneous bone regeneration of the mandible in an elderly patient: A case report and review of the literature. Chang. Gung Med. J. 2003, 26, 363–369. [Google Scholar] [PubMed]
- Jin, H.; Kim, S.; Kim, J. Decision factors on effective liver patient data prediction. Int. J.-Bio-Sci.-Bio-Technol. 2014, 6, 167–178. [Google Scholar] [CrossRef]
- Ayeldeen, H.; Shaker, O.; Ayeldeen, G.; Anwar, K.M. Prediction of liver fibrosis stages by machine learning model: A decision tree approach. In Proceedings of the 2015 Third World Conference on Complex Systems (WCCS), Marrakech, Morocco, 23–25 November 2015; pp. 1–6. [Google Scholar]
- Abdar, M.; Zomorodi-Moghadam, M.; Das, R.; Ting, I.-H. Performance analysis of classification algorithms on early detection of liver disease. Expert Syst. Appl. 2017, 67, 239–251. [Google Scholar] [CrossRef]
- Yu, Y.-D.; Lee, K.-S.; Kim, J.M.; Ryu, J.H.; Lee, J.-G.; Lee, K.-W.; Kim, B.-W.; Kim, D.-S.; Korean Organ Transplantation Registry Study Group. Artificial intelligence for predicting survival following deceased donor liver transplantation: Retrospective multi-center study. Int. J. Surg. 2022, 105, 106838. [Google Scholar] [CrossRef] [PubMed]
- Cruz-Ramı´rez, M.; Hervás-Martı´nez, C.; Fernández, J.C.; Briceño, J.; Mata, M.d. Multi-objective evolutionary algorithm for donor–recipient decision system in liver transplants. Eur. J. Oper. Res. 2012, 222, 317–327. [Google Scholar] [CrossRef]
- Hashem, S.; ElHefnawi, M.; Habashy, S.; El-Adawy, M.; Esmat, G.; Elakel, W.; Abdelazziz, A.O.; Nabeel, M.M.; Abdelmaksoud, A.H.; Elbaz, T.M.; et al. Machine learning prediction models for diagnosing hepatocellular carcinoma with HCV-related chronic liver disease. Comput. Methods Programs Biomed. 2020, 196, 105551. [Google Scholar] [CrossRef]
- Briceño, J.; Cruz-Ramírez, M.; Prieto, M.; Navasa, M.; Urbina, J.O.D.; Orti, R.; Gómez-Bravo, M.-Á.; Otero, A.; Varo, E.; Tomé, S.; et al. Use of artificial intelligence as an innovative donor-recipient matching model for liver transplantation: Results from a multicenter Spanish study. J. Hepatol. 2014, 61, 1020–1028. [Google Scholar] [CrossRef] [PubMed]
- Chen, C.; Chen, B.; Yang, J.; Li, X.; Peng, X.; Feng, Y.; Guo, R.; Zou, F.; Zhou, S.; Hei, Z. Development and validation of a machine learning model for prediction of liver transplantation outcomes. Front. Med. 2023, 10, 1066817. [Google Scholar]
- Ilyas, Ö. Recurrent neural network based methods for hepatitis diagnosis. Int. Symp. Sci. Res. Innov. Stud. 2021, 22, 25. [Google Scholar]
- Zhang, D.; Hao, X.; Wang, D.; Qin, C.; Zhao, B.; Liang, L.; Liu, W. An efficient lightweight convolutional neural network for industrial surface defect detection. Artif. Intell. Rev. 2023, 56, 10651–10677. [Google Scholar] [CrossRef]
- Zhang, D.; Hao, X.; Liang, L.; Liu, W.; Qin, C. A novel deep convolutional neural network algorithm for surface defect detection. J. Comput. Des. Eng. 2022, 9, 1616–1632. [Google Scholar] [CrossRef]
- Serban, M.; Balescu, I.; Petrea, S.; Gaspar, B.; Pop, L.; Varlas, V.; Stoian, M.; Diaconu, C.; Balalau, C.; Bacalbasa, N. Artificial intelligence and liver transplantation; literature review. J. Mind Med. Sci. 2024, 11, 374–380. [Google Scholar] [CrossRef]
- Prasad, R.; Kasiemobi, O.M. Prediction of mortality in liver transplant recipients using neural network. In Proceedings of the 2024 IEEE International Conference on Computing, Power and Communication Technologies (IC2PCT), Greater Noida, India, 9–10 February 2024; Volume 5, pp. 1759–1765. [Google Scholar]
- Hidayat, E.; Fajrian, N.A.; Muda, A.K.; Huoy, C.Y.; Ahmad, S. A comparative study of feature extraction using PCA and LDA for face recognition. In Proceedings of the 2011 7th International Conference on Information Assurance and Security (IAS), Melacca, Malaysia, 5–8 December 2011; pp. 354–359. [Google Scholar]
- Aburomman, A.A.; Reaz, M.B.I. Ensemble of binary SVM classifiers based on PCA and LDA feature extraction for intrusion detection. In Proceedings of the 2016 IEEE Advanced Information Management, Communicates, Electronic and Automation Control Conference (IMCEC), Xi’an, China, 3–5 October 2016; pp. 636–640. [Google Scholar]
- Widiantoro, A.D.; Mustafid, M.; Sanjaya, R. Model Analytic in Fintech User Comment Features Using LDA-CNN on Imbalanced Data. Int. J. Intell. Eng. Syst. 2024, 17, 1079–1098. [Google Scholar]
- Ibrahim, I.; Abdulazeez, A. The role of machine learning algorithms for diagnosing diseases. J. Appl. Sci. Technol. 2021, 2, 10–19. [Google Scholar] [CrossRef]
- Osisanwo, F.Y.; Akinsola, J.E.T.; Awodele, O.; Hinmikaiye, J.O.; Olakanmi, O.; Akinjobi, J. Supervised machine learning algorithms: Classification and comparison. Int. J. Comput. Trends Technol. (IJCTT) 2017, 48, 128–138. [Google Scholar]
- Badrouchi, S.; Ahmed, A.; Bacha, M.M.; Abderrahim, E.; Abdallah, T.B. A machine learning framework for predicting long-term graft survival after kidney transplantation. Expert Syst. Appl. 2021, 182, 115235. [Google Scholar] [CrossRef]
- Moghadam, P.; Ahmadi, A. A machine learning framework to predict kidney graft failure with class imbalance using Red Deer algorithm. Expert Syst. Appl. 2022, 210, 118515. [Google Scholar] [CrossRef]
- Chawla, R.; Balaji, S.; Alabdali, R.N.; Naguib, I.A.; Hamed, N.O.; Zahran, H.Y. Predicting the kidney graft survival using optimized African buffalo-based artificial neural network. J. Healthc. Eng. 2022, 2022, 6503714. [Google Scholar] [CrossRef] [PubMed]
- Yoo, K.D.; Noh, J.; Lee, H.; Kim, D.K.; Lim, C.S.; Kim, Y.H.; Lee, J.P.; Kim, G.; Kim, Y.S. A machine learning approach using survival statistics to predict graft survival in kidney transplant recipients: A multicenter cohort study. Sci. Rep. 2017, 7, 890. [Google Scholar] [CrossRef] [PubMed]
- Dreiseitl, S.; Ohno-Machado, L. Logistic regression and artificial neural network classification models: A methodology review. J. Biomed. Inform. 2002, 35–36, 352–359. [Google Scholar] [CrossRef]
- Paheding, S.; Saleem, A.; Siddiqui, M.F.H.; Rawashdeh, N.; Essa, A.; Reyes, A.A. Advancing horizons in remote sensing: A comprehensive survey of deep learning models and applications in image classification and beyond. Neural Comput. Appl. 2024, 36, 16727–16767. [Google Scholar] [CrossRef]
- Paquette, F.X.; Ghassemi, A.; Bukhtiyarova, O.; Cisse, M.; Gagnon, N.; Della Vecchia, A.; Rabearivelo, H.A.; Loudiyi, Y. Machine learning support for decision-making in kidney transplantation: Step-by-step development of a technological solution. Jmir Med. Inform. 2022, 10, e34554. [Google Scholar] [CrossRef] [PubMed]
- Simic-Ogrizovic, S.; Furuncic, D.; Lezaic, V.; Radivojevic, D.; Blagojevic, R.; Djukanovic, L. Using ANN in selection of the most important variables in prediction of chronic renal allograft rejection progression. Transplant. Proc. 1999, 31, 368. [Google Scholar] [CrossRef] [PubMed]
- Atallah, D.M.; Badawy, M.; El-Sayed, A.; Ghoneim, M.A. Predicting kidney transplantation outcome based on hybrid feature selection and KNN classifier. Multimed. Tools Appl. 2019, 78, 20383–20407. [Google Scholar] [CrossRef]
- Mark, E.; Goldsman, D.; Gurbaxani, B.; Keskinocak, P.; Sokol, J. Using machine learning and an ensemble of methods to predict kidney transplant survival. PLoS ONE 2019, 14, e0209068. [Google Scholar] [CrossRef]
- Hassani, Z.; Emami, N. Prediction of the survival of kidney transplantation with imbalanced data using intelligent algorithms. Comput. Sci. J. Mold. 2018, 26, 163–181. [Google Scholar]
- Ravindhran, B.; Chandak, P.; Schafer, N.; Kundalia, K.; Hwang, W.; Antoniadis, S.; Haroon, U.; Zakri, R.H. Machine learning models in predicting graft survival in kidney transplantation: Meta-analysis. BJS Open 2023, 7, zrad011. [Google Scholar] [CrossRef]
- Shi, P.; Fu, C. Time-dependent LSTM for Survival Prediction and Patient Subtyping in Kidney Disease Trajectory. medRxiv 2024. [Google Scholar]
- Decruyenaere, A.; Decruyenaere, P.; Peeters, P.; Vermassen, F.; Dhaene, T.; Couckuyt, I. Prediction of delayed graft function after kidney transplantation: Comparison between logistic regression and machine learning methods. BMC Med. Inform. Decis. Mak. 2015, 15, 83. [Google Scholar] [CrossRef] [PubMed]
- Luo, Y.; Tang, Z.; Hu, X.; Lu, S.; Miao, B.; Hong, S.; Bai, H.; Sun, C.; Qiu, J.; Liang, H.; et al. Machine learning for the prediction of severe pneumonia during posttransplant hospitalization in recipients of a deceased-donor kidney transplant. Ann. Transl. Med. 2020, 8, 82. [Google Scholar] [CrossRef] [PubMed]
- Greco, R.; Papalia, T.; Lofaro, D.; Maestripieri, S.; Mancuso, D.; Bonofiglio, R. Decisional trees in renal transplant follow-up. Transplant Proc. 2010, 42, 1134–1136. [Google Scholar] [CrossRef] [PubMed]
- Tolstyak, Y.; Zhuk, R.; Yakovlev, I.; Shakhovska, N.; Gregus ml, M.; Chopyak, V.; Melnykova, N. The ensembles of machine learning methods for survival predicting after kidney transplantation. Appl. Sci. 2021, 11, 10380. [Google Scholar] [CrossRef]
- Esteban, C.; Staeck, O.; Baier, S.; Yang, Y.; Tresp, V. Predicting clinical events by combining static and dynamic information using recurrent neural networks. In Proceedings of the 2016 IEEE International Conference on Healthcare Informatics (ICHI), Chicago, IL, USA, 4–7 October 2016; pp. 93–101. [Google Scholar]
- Brown, T.S.; Elster, E.A.; Stevens, K.; Graybill, J.C.; Gillern, S.; Phinney, S.; Salifu, M.O.; Jindal, R.M. Bayesian modeling of pretransplant variables accurately predicts kidney graft survival. Am. J. Nephrol. 2012, 36, 561–569. [Google Scholar] [CrossRef]
- Lofaro, D.; Maestripieri, S.; Greco, R.; Papalia, T.; Mancuso, D.; Conforti, D.; Bonofiglio, R. Prediction of chronic allograft nephropathy using classification trees. Transplant Proc. 2010, 42, 1130–1133. [Google Scholar] [CrossRef]
- Öztemel, E. Artificial Neural Networks; PapatyaYayincilik: Istanbul, Turkey, 2003. [Google Scholar]
- Ichino, M.; Yaguchi, H. Generalized Minkowski metrics for mixed feature-type data analysis. IEEE Trans. Syst. Man Cybern. 1994, 24, 698–708. [Google Scholar] [CrossRef]
- Graf, R.; Zeldovich, M.; Friedrich, S. Comparing linear discriminant analysis and supervised learning algorithms for binary classification—A method comparison study. Biom. J. 2024, 66, 2200098. [Google Scholar] [CrossRef] [PubMed]
- Alzubi, J.; Nayyar, A.; Kumar, A. Machine learning from theory to algorithms: An overview. J. Phys. Conf. Ser. 2018, 1142, 012012. [Google Scholar] [CrossRef]
- Swapna, G.; Vinayakumar, R.; Soman, K.P. Diabetes detection using deep learning algorithms. ICT Express 2018, 4, 243–246. [Google Scholar]
- Hasan, M.W. Design of IoT energy consumption forecasting model for residential buildings based on improved long short-term memory (LSTM). Meas. Energy 2025, 5, 100033. [Google Scholar] [CrossRef]
- Ertorsun, A.D.; Bağ, B.; Uzar, G.; Turanoğlu, M.A. Evaluation of the Performance of Diagnostic Tests with ROC (Receiver Operating Characteristic) Curve Method. 2010. Available online: https://tip.baskent.edu.tr/kw/upload/464/dosyalar/cg/sempozyum/ogrsmpzsnm12/10.2.pdf (accessed on 20 January 2025).





















| Average | Max. Value | Min. Value | |
|---|---|---|---|
| Gender | 1.44 | 2 | 1 |
| Age | 40.33 | 73 | 1 |
| Size (cm) | 160.67 | 185 | 1 |
| Weight (kg) | 65.75 | 109 | 12 |
| BMI | 30.25 | 36.94 | 9.91 |
| Blood group | 3.64 | 8 | 1 |
| Donor Age | 34.53 | 71 | 0 |
| Donor Gender | 1.34 | 2 | 1 |
| Donor Kinship Degree | 0.87 | 5 | 0 |
| Donor Height | 168.86 | 190 | 125 |
| Models | Precision (%) | Recall (%) | F1–Score (%) | Accuracy (%) | AUC (%) | ||||||||||
|---|---|---|---|---|---|---|---|---|---|---|---|---|---|---|---|
| N-M | PCA | LDA | N-M | PCA | LDA | N-M | PCA | LDA | N-M | PCA | LDA | N-M | PCA | LDA | |
| LR | 82 | 85 | 86 | 82 | 86 | 82 | 82 | 86 | 83 | 86 | 86 | 82 | 66 | 70 | 80 |
| KNN | 67 | 75 | 86 | 82 | 86 | 82 | 74 | 76 | 83 | 86 | 77 | 82 | 50 | 70 | 77 |
| SVM | 88 | 79 | 86 | 86 | 86 | 82 | 83 | 79 | 83 | 86 | 81 | 82 | 84 | 69 | 80 |
| NB | 72 | 75 | 86 | 55 | 54 | 82 | 60 | 76 | 83 | 54 | 77 | 77 | 52 | 70 | 80 |
| DT | 75 | 92 | 84 | 77 | 77 | 77 | 76 | 90 | 79 | 77 | 90 | 77 | 56 | 70 | 76 |
| RF | 88 | 82 | 84 | 86 | 86 | 77 | 83 | 82 | 79 | 86 | 82 | 77 | 93 | 76 | 77 |
| RNN | 67 | 67 | 67 | 82 | 81 | 82 | 74 | 75 | 74 | 81 | 81 | 81 | 76 | 77 | 70 |
| LSTM | 67 | 67 | 67 | 82 | 81 | 82 | 74 | 74 | 74 | 81 | 81 | 81 | 98 | 97 | 98 |
| Models | Precision (%) | Recall (%) | F1–Score (%) | Accuracy (%) | AUC (%) | ||||||||||
|---|---|---|---|---|---|---|---|---|---|---|---|---|---|---|---|
| N-M | PCA | LDA | N-M | PCA | LDA | N-M | PCA | LDA | N-M | PCA | LDA | N-M | PCA | LDA | |
| LR | 53 | 46 | 52 | 73 | 68 | 68 | 61 | 55 | 59 | 72 | 68 | 68 | 90 | 31 | 45 |
| KNN | 53 | 46 | 53 | 73 | 68 | 73 | 61 | 55 | 61 | 72 | 68 | 73 | 53 | 47 | 49 |
| SVM | 53 | 46 | 53 | 73 | 68 | 73 | 61 | 55 | 61 | 72 | 68 | 73 | 92 | 45 | 70 |
| NB | 53 | 46 | 52 | 73 | 68 | 68 | 61 | 55 | 59 | 72 | 68 | 68 | 50 | 38 | 42 |
| DT | 81 | 46 | 55 | 77 | 68 | 73 | 72 | 55 | 63 | 72 | 68 | 72 | 62 | 47 | 51 |
| RF | 53 | 46 | 55 | 73 | 68 | 73 | 61 | 55 | 63 | 73 | 68 | 72 | 67 | 47 | 46 |
| RNN | 67 | 67 | 67 | 82 | 82 | 82 | 74 | 74 | 74 | 82 | 82 | 82 | 75 | 77 | 50 |
| LSTM | 67 | 67 | 67 | 82 | 82 | 82 | 74 | 74 | 74 | 82 | 82 | 82 | 99 | 98 | 98 |
| Models | Precision (%) | Recall (%) | F1-Score (%) | Accuracy (%) | AUC (%) | ||||||||||
|---|---|---|---|---|---|---|---|---|---|---|---|---|---|---|---|
| N-M | PCA | LDA | N-M | PCA | LDA | N-M | PCA | LDA | N-M | PCA | LDA | N-M | PCA | LDA | |
| LR | 46 | 46 | 76 | 68 | 68 | 73 | 55 | 55 | 65 | 31 | 68 | 73 | 91 | 91 | 52 |
| KNN | 46 | 46 | 46 | 68 | 68 | 68 | 55 | 55 | 55 | 68 | 68 | 68 | 53 | 53 | 56 |
| SVM | 46 | 46 | 46 | 68 | 68 | 68 | 55 | 55 | 55 | 68 | 68 | 68 | 79 | 93 | 76 |
| NB | 46 | 46 | 76 | 68 | 68 | 73 | 55 | 55 | 65 | 68 | 68 | 73 | 50 | 50 | 50 |
| DT | 51 | 46 | 49 | 68 | 68 | 68 | 58 | 55 | 57 | 68 | 68 | 68 | 53 | 50 | 51 |
| RF | 46 | 45 | 49 | 68 | 64 | 68 | 55 | 53 | 57 | 68 | 64 | 68 | 83 | 50 | 56 |
| RNN | 62 | 62 | 62 | 79 | 79 | 79 | 69 | 69 | 69 | 79 | 79 | 79 | 77 | 75 | 50 |
| LSTM | 62 | 62 | 62 | 79 | 79 | 79 | 69 | 69 | 69 | 79 | 79 | 79 | 97 | 99 | 99 |
| Models | Precision (%) | Recall (%) | F1-Score (%) | Accuracy (%) | AUC (%) | ||||||||||
|---|---|---|---|---|---|---|---|---|---|---|---|---|---|---|---|
| N-M | PCA | LDA | N-M | PCA | LDA | N-M | PCA | LDA | N-M | PCA | LDA | N-M | PCA | LDA | |
| LR | 82 | 80 | 85 | 86 | 82 | 86 | 84 | 81 | 85 | 81 | 81 | 86 | 59 | 60 | 59 |
| KNN | 73 | 73 | 80 | 77 | 77 | 82 | 75 | 75 | 81 | 77 | 77 | 82 | 66 | 71 | 76 |
| SVM | 67 | 67 | 85 | 82 | 82 | 86 | 74 | 74 | 85 | 82 | 82 | 86 | 80 | 84 | 94 |
| NB | 75 | 66 | 85 | 68 | 77 | 86 | 70 | 71 | 85 | 68 | 77 | 68 | 61 | 80 | 61 |
| DT | 84 | 76 | 86 | 86 | 82 | 73 | 82 | 79 | 75 | 86 | 82 | 73 | 60 | 61 | 73 |
| RF | 85 | 67 | 84 | 86 | 82 | 82 | 85 | 74 | 81 | 86 | 82 | 73 | 82 | 77 | 88 |
| RNN | 67 | 67 | 62 | 82 | 82 | 79 | 74 | 74 | 69 | 81 | 82 | 79 | 71 | 77 | 50 |
| LSTM | 67 | 67 | 62 | 82 | 82 | 79 | 74 | 74 | 69 | 82 | 82 | 79 | 96 | 98 | 99 |
| Models | Precision (%) | Recall (%) | F1-Score (%) | Accuracy (%) | AUC (%) | ||||||||||
|---|---|---|---|---|---|---|---|---|---|---|---|---|---|---|---|
| N-M | PCA | LDA | N-M | PCA | LDA | N-M | PCA | LDA | N-M | PCA | LDA | N-M | PCA | LDA | |
| LR | 85 | 82 | 98 | 96 | 96 | 98 | 96 | 96 | 99 | 92 | 87 | 99 | 66 | 65 | 99 |
| KNN | 87 | 88 | 98 | 96 | 96 | 96 | 96 | 96 | 96 | 89 | 86 | 99 | 50 | 71 | 99 |
| SVM | 82 | 82 | 98 | 96 | 96 | 96 | 96 | 96 | 96 | 86 | 83 | 98 | 76 | 73 | 100 |
| NB | 82 | 82 | 98 | 96 | 96 | 96 | 96 | 96 | 96 | 69 | 85 | 95 | 52 | 65 | 99 |
| DT | 82 | 85 | 97 | 94 | 89 | 98 | 94 | 88 | 99 | 83 | 75 | 97 | 56 | 50 | 95 |
| RF | 82 | 84 | 97 | 96 | 95 | 98 | 96 | 96 | 97 | 89 | 82 | 98 | 84 | 76 | 99 |
| RNN | 67 | 82 | 74 | 77 | 94 | 96 | 97 | 94 | 95 | 86 | 82 | 94 | 71 | 79 | 99 |
| LSTM | 67 | 82 | 74 | 77 | 94 | 98 | 97 | 93 | 98 | 86 | 82 | 94 | 94 | 96 | 99 |
Disclaimer/Publisher’s Note: The statements, opinions and data contained in all publications are solely those of the individual author(s) and contributor(s) and not of MDPI and/or the editor(s). MDPI and/or the editor(s) disclaim responsibility for any injury to people or property resulting from any ideas, methods, instructions or products referred to in the content. |
© 2025 by the authors. Licensee MDPI, Basel, Switzerland. This article is an open access article distributed under the terms and conditions of the Creative Commons Attribution (CC BY) license (https://creativecommons.org/licenses/by/4.0/).
Share and Cite
Yağanoğlu, M.; Öztürk, G.; Bozkurt, F.; Bilen, Z.; Yetiş Demir, Z.; Kul, S.; Şimşek, E.; Kara, S.; Eygu, H.; Altundaş, N.; et al. Development of a Clinical Decision Support System Using Artificial Intelligence Methods for Liver Transplant Centers. Appl. Sci. 2025, 15, 1248. https://doi.org/10.3390/app15031248
Yağanoğlu M, Öztürk G, Bozkurt F, Bilen Z, Yetiş Demir Z, Kul S, Şimşek E, Kara S, Eygu H, Altundaş N, et al. Development of a Clinical Decision Support System Using Artificial Intelligence Methods for Liver Transplant Centers. Applied Sciences. 2025; 15(3):1248. https://doi.org/10.3390/app15031248
Chicago/Turabian StyleYağanoğlu, Mete, Gürkan Öztürk, Ferhat Bozkurt, Zeynep Bilen, Zühal Yetiş Demir, Sinan Kul, Emrah Şimşek, Salih Kara, Hakan Eygu, Necip Altundaş, and et al. 2025. "Development of a Clinical Decision Support System Using Artificial Intelligence Methods for Liver Transplant Centers" Applied Sciences 15, no. 3: 1248. https://doi.org/10.3390/app15031248
APA StyleYağanoğlu, M., Öztürk, G., Bozkurt, F., Bilen, Z., Yetiş Demir, Z., Kul, S., Şimşek, E., Kara, S., Eygu, H., Altundaş, N., Aksungur, N., Korkut, E., Başar, M. S., & Öztürk, N. (2025). Development of a Clinical Decision Support System Using Artificial Intelligence Methods for Liver Transplant Centers. Applied Sciences, 15(3), 1248. https://doi.org/10.3390/app15031248

