Spray-Dried Porcine Collagen Microcapsules in Tara Gum–Maltodextrin Matrices: A Sustainable Approach to By-Product Valorization for Functional and Nutraceutical Applications
Abstract
1. Introduction
2. Materials and Methods
2.1. Materials
2.2. Extraction of Porcine Hydrolyzed Collagen
2.3. Microencapsulation by Spray Drying
2.4. Protein Determination
2.5. Moisture Content Determination
2.6. Water Activity (aw) Determination
2.7. Bulk Density Determination
2.8. Hygroscopicity Determination
2.9. Solubility Determination
2.10. Particle Size Determination
2.11. Scanning Electron Microscopy (SEM) Analysis
2.12. Fourier Transform Infrared (FTIR) Analysis
2.13. Thermogravimetric Analysis (TGA)
2.14. Statistical Analysis
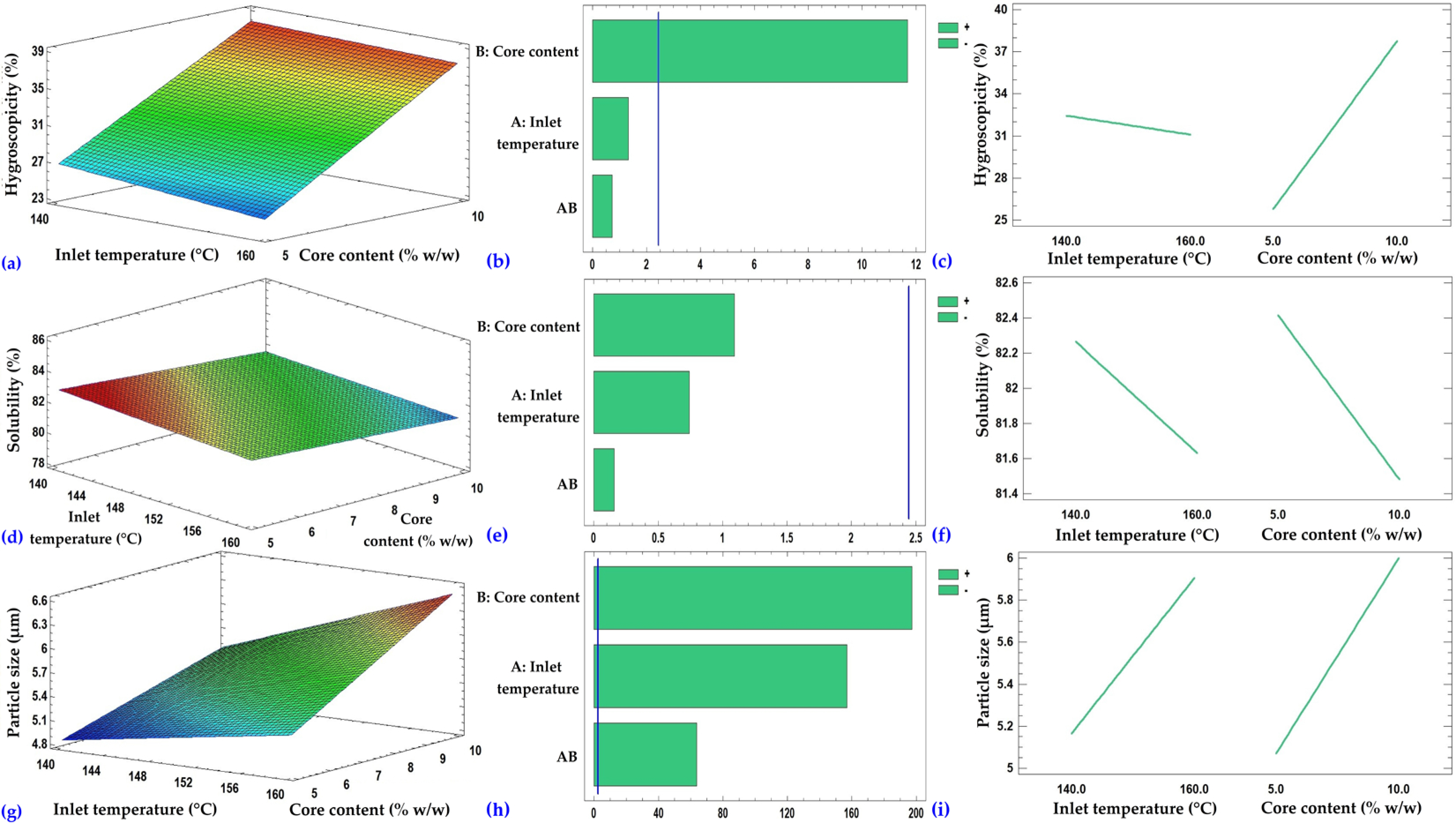
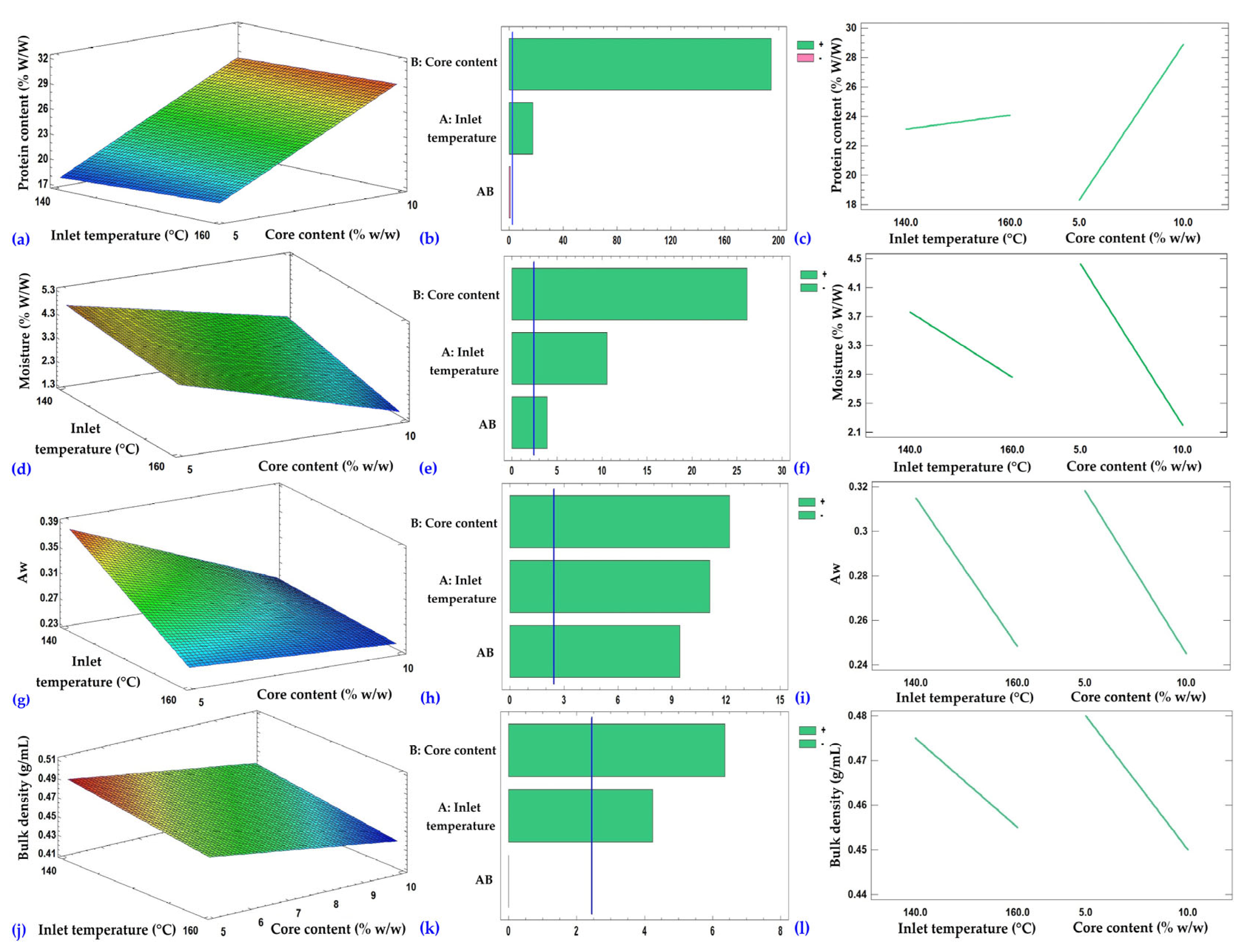
3. Results and Discussion
3.1. Wall Materials Morphology, Particle Size, FTIR, and TGA Analyses
3.2. Microencapsulation by Spray Drying
3.3. SEM, FTIR, and TGA Analyses of Microcapsules
3.4. Pearson Correlation Matrix and Principal Component Analysis (PCA)
4. Conclusions
Author Contributions
Funding
Data Availability Statement
Acknowledgments
Conflicts of Interest
Abbreviations
| A | Inlet Temperature |
| AB | Interaction between A and B |
| AOAC | Association of Official Analytical Chemists |
| ANOVA | Analysis of Variance |
| aw | Water Activity |
| B | Core Content |
| DLS | Dynamic Light Scattering |
| FTIR | Fourier Transform Infrared Spectroscopy |
| He–Ne | Helium–Neon |
| N | Normality |
| NaOH | Sodium Hydroxide |
| PCA | Principal Component Analysis |
| PC1 | First Principal Component |
| PC2 | Second Principal Component |
| SEM | Scanning Electron Microscopy |
| SENASA | Servicio Nacional de Sanidad Agraria (Peru) |
| TGA | Thermogravimetric Analysis |
| T1 | Treatment 1 (140 °C; 5% core, w/w) |
| T2 | Treatment 2 (160 °C; 5% core, w/w) |
| T3 | Treatment 3 (140 °C; 10% core, w/w) |
| T4 | Treatment 4 (160 °C; 10% core, w/w) |
| w/w | Weight/Weight (mass fraction) |
| °C | Degrees Celsius |
References
- Pinto, J.; Boavida-Dias, R.; Matos, H.A.; Azevedo, J. Analysis of the Food Loss and Waste Valorisation of Animal By-Products from the Retail Sector. Sustainability 2022, 14, 2830. [Google Scholar] [CrossRef]
- León-López, A.; Morales-Peñaloza, A.; Martínez-Juárez, V.M.; Vargas-Torres, A.; Zeugolis, D.I.; Aguirre-Álvarez, G. Hydrolyzed Collagen—Sources and Applications. Molecules 2019, 24, 4031. [Google Scholar] [CrossRef]
- Terzi, A.; Gallo, N.; Sibillano, T.; Altamura, D.; Masi, A.; Lassandro, R.; Sannino, A.; Salvatore, L.; Bunk, O.; Giannini, C.; et al. Travelling through the Natural Hierarchies of Type I Collagen with X-rays: From Tendons of Cattle, Horses, Sheep and Pigs. Materials 2023, 16, 4753. [Google Scholar] [CrossRef]
- Zeng, X.; Lv, B.; Zhang, K.; Zhu, Z.; Li, Q.; Sheng, B.; Zhao, D.; Li, C. Digestion Profiles of Protein in Edible Pork By-Products. Foods 2022, 11, 3191. [Google Scholar] [CrossRef]
- Cao, C.; Xiao, Z.; Ge, C.; Wu, Y. Animal by-products collagen and derived peptide, as important components of innovative sustainable food systems—A comprehensive review. Crit. Rev. Food Sci. Nutr. 2022, 62, 8703–8727. [Google Scholar] [CrossRef] [PubMed]
- Alibekov, R.S.; Alibekova, Z.I.; Bakhtybekova, A.R.; Taip, F.S.; Urazbayeva, K.A.; Kobzhasarova, Z.I. Review of the slaughter wastes and the meat by-products recycling opportunities. Front. Sustain. Food Syst. 2024, 8, 1410640. [Google Scholar] [CrossRef]
- Ligarda-Samanez, C.A.; Huamán-Carrión, M.L.; Calsina-Ponce, W.C.; Cruz, G.D.; Calderón Huamaní, D.F.; Cabel-Moscoso, D.J.; Garcia-Espinoza, A.J.; Sucari-León, R.; Aroquipa-Durán, Y.; Muñoz-Saenz, J.C.; et al. Technological Innovations and Circular Economy in the Valorization of Agri-Food By-Products: Advances, Challenges and Perspectives. Foods 2025, 14, 1950. [Google Scholar] [CrossRef]
- Kewat, A.; Shakila, R.J.; Sharma, M.; Mishra, P. The use of spray drying technology to reduce bitter taste of fish collagen hydrolysate. J. Exp. Zool. India 2022, 25, 2383. [Google Scholar]
- Sanprasert, S.; Kumnerdsiri, P.; Seubsai, A.; Lueangjaroenkit, P.; Pongsetkul, J.; Indriani, S.; Petcharat, T.; Sai-ut, S.; Hunsakul, K.; Issara, U.; et al. Techno-Functional, Rheological, and Physico-Chemical Properties of Gelatin Capsule By-Product for Future Functional Food Ingredients. Foods 2025, 14, 1279. [Google Scholar] [CrossRef]
- Haluk, E.; Yeliz, K.; Orhan, Ö. Production of Bone Broth Powder with Spray Drying Using Three Different Carrier Agents. Korean J. Food Sci. Anim. Resour. 2018, 38, 1273–1285. [Google Scholar] [CrossRef] [PubMed]
- Piñón-Balderrama, C.I.; Leyva-Porras, C.; Terán-Figueroa, Y.; Espinosa-Solís, V.; Álvarez-Salas, C.; Saavedra-Leos, M.Z. Encapsulation of Active Ingredients in Food Industry by Spray-Drying and Nano Spray-Drying Technologies. Processes 2020, 8, 889. [Google Scholar] [CrossRef]
- Díaz-Montes, E. Wall Materials for Encapsulating Bioactive Compounds via Spray-Drying: A Review. Polymers 2023, 15, 2659. [Google Scholar] [CrossRef] [PubMed]
- Mardani, M.; Siahtiri, S.; Besati, M.; Baghani, M.; Baniassadi, M.; Nejad, A.M. Microencapsulation of natural products using spray drying; an overview. J. Microencapsul. 2024, 41, 649–678. [Google Scholar] [CrossRef]
- Berraquero-García, C.; Pérez-Gálvez, R.; Espejo-Carpio, F.J.; Guadix, A.; Guadix, E.M.; García-Moreno, P.J. Encapsulation of Bioactive Peptides by Spray-Drying and Electrospraying. Foods 2023, 12, 2005. [Google Scholar] [CrossRef]
- Lima, K.O.; da Rocha, M.; Alemán, A.; López-Caballero, M.E.; Tovar, C.A.; Gómez-Guillén, M.C.; Montero, P.; Prentice, C. Yogurt Fortification by the Addition of Microencapsulated Stripped Weakfish (Cynoscion guatucupa) Protein Hydrolysate. Antioxidants 2021, 10, 1567. [Google Scholar] [CrossRef]
- Cusi-Chipana, R.; Ligarda-Samanez, C.A.; Moscoso-Moscoso, E.; Choque-Quispe, D.; Palomino-Rincón, H.; Ramos-Pacheco, B.S.; Taipe-Pardo, F.; Peralta-Guevara, D.E. Stability of Nanoparticles of Bioactive Compounds from Native Potato (Solanum tuberosum spp. andigena) in Yogurt. In Advances in Sciences Behind Food, Energy, and Innovation: Selected Contributions to the 10th International Congress on Agroindustrial Engineering, CIIA-2024; Vilalta-Alonso, G., de Castro Pellegrini, C., Llanes-Santiago, O., Soto Pau, F., Radrigán-Ewoldt, R., Eds.; Springer Nature: Cham, Switzerland, 2025; pp. 247–258. [Google Scholar]
- Moscoso-Moscoso, E.; Ligarda-Samanez, C.A.; Choque-Quispe, D.; Huamán-Carrión, M.L.; Arévalo-Quijano, J.C.; De la Cruz, G.; Luciano-Alipio, R.; Calsina Ponce, W.C.; Sucari-León, R.; Quispe-Quezada, U.R.; et al. Preliminary Assessment of Tara Gum as a Wall Material: Physicochemical, Structural, Thermal, and Rheological Analyses of Different Drying Methods. Polymers 2024, 16, 838. [Google Scholar] [CrossRef]
- Chuaychan, S.; Benjakul, S. Effect of maltodextrin on characteristics and antioxidative activity of spray-dried powder of gelatin and gelatin hydrolysate from scales of spotted golden goatfish. J. Food Sci. Technol. 2016, 53, 3583–3592. [Google Scholar] [CrossRef] [PubMed]
- Vargas-Muñoz, D.P.; Kurozawa, L.E. Influence of combined hydrolyzed collagen and maltodextrin as carrier agents in spray drying of cocona pulp. Braz. J. Food Technol. 2020, 23, e2019254. [Google Scholar] [CrossRef]
- Pudžiuvelytė, L.; Petrauskaitė, E.; Stabrauskienė, J.; Bernatonienė, J. Spray-Drying Microencapsulation of Natural Bioactives: Advances in Sustainable Wall Materials. Pharmaceuticals 2025, 18, 963. [Google Scholar] [CrossRef]
- de Souza, H.K.S.; Fagundes-Klen, M.R.; Fiorese, M.L.; Triques, C.C.; da Silva, L.C.; Canan, C.; Rossin, A.R.S.; Furtado, C.H.; Maluf, J.U.; da Silva, E.A. Microencapsulation of Porcine Liver Hydrolysate by Spray Drying and Freeze-Drying with Different Carrier Agents. Waste Biomass Valorization 2024, 15, 2397–2416. [Google Scholar] [CrossRef]
- Halahlah, A.; Piironen, V.; Mikkonen, K.S.; Ho, T.M. Polysaccharides as wall materials in spray-dried microencapsulation of bioactive compounds: Physicochemical properties and characterization. Crit. Rev. Food Sci. Nutr. 2023, 63, 6983–7015. [Google Scholar] [CrossRef]
- Altamirano-Laura, F.Y.; Ligarda-Samanez, C.A.; Choque-Quispe, D.; Moscoso-Moscoso, E.; Taipe-Pardo, F.; Peralta-Guevara, D.E.; Ramos-Pacheco, B.S.; Palomino-Rincón, H. Influence of Core Percentage and Inlet Temperature on the Microencapsulation of Guinea Pig Blood Erythrocytes in Tara Gum and Quinoa Starch Matrices. In Advances in Sciences Behind Food, Energy, and Innovation: Selected Contributions to the 10th International Congress on Agroindustrial Engineering, CIIA-2024; Vilalta-Alonso, G., de Castro Pellegrini, C., Llanes-Santiago, O., Soto Pau, F., Radrigán-Ewoldt, R., Eds.; Springer Nature: Cham, Switzerland, 2025; pp. 3–13. [Google Scholar]
- Ligarda-Samanez, C.A.; Choque-Quispe, D.; Moscoso-Moscoso, E.; Huamán-Carrión, M.L.; Ramos-Pacheco, B.S.; De la Cruz, G.; Arévalo-Quijano, J.C.; Muñoz-Saenz, J.C.; Muñoz-Melgarejo, M.; Quispe-Quezada, U.R.; et al. Microencapsulation of Propolis and Honey Using Mixtures of Maltodextrin/Tara Gum and Modified Native Potato Starch/Tara Gum. Foods 2023, 12, 1873. [Google Scholar] [CrossRef]
- Stabrauskiene, J.; Pudziuvelyte, L.; Bernatoniene, J. Optimizing Encapsulation: Comparative Analysis of Spray-Drying and Freeze-Drying for Sustainable Recovery of Bioactive Compounds from Citrus x paradisi L. Peels. Pharm. 2024, 17, 596. [Google Scholar] [CrossRef]
- Benítez, R.; Ibarz, A.; Pagan, J. Hidrolizados de proteína: Procesos y aplicaciones. Acta Bioquímica Clínica Latinoam. 2008, 42, 227–236. [Google Scholar]
- Horwitz, W. Official Methods of Analysis of AOAC International; Volume I, Agricultural Chemicals, Contaminants, Drugs; AOAC International: Rockville, MD, USA, 2000. [Google Scholar]
- Fasoyiro, S.; Hovingh, R.; Gourama, H.; Cutter, C. Change in Water Activity and Fungal Counts of Maize-pigeon Pea Flour During Storage Utilizing Various Packaging Materials. Procedia Eng. 2016, 159, 72–76. [Google Scholar] [CrossRef]
- Ligarda-Samanez, C.A.; Choque-Quispe, D.; Moscoso-Moscoso, E.; Huamán-Carrión, M.L.; Ramos-Pacheco, B.S.; Peralta-Guevara, D.E.; Cruz, G.D.; Martínez-Huamán, E.L.; Arévalo-Quijano, J.C.; Muñoz-Saenz, J.C.; et al. Obtaining and Characterizing Andean Multi-Floral Propolis Nanoencapsulates in Polymeric Matrices. Foods 2022, 11, 3153. [Google Scholar] [CrossRef] [PubMed]
- Ligarda-Samanez, C.A.; Choque-Quispe, D.; Moscoso-Moscoso, E.; Palomino-Rincón, H.; Taipe-Pardo, F.; Aguirre Landa, J.P.; Arévalo-Quijano, J.C.; Muñoz-Saenz, J.C.; Quispe-Quezada, U.R.; Huamán-Carrión, M.L.; et al. Nanoencapsulation of Phenolic Extracts from Native Potato Clones (Solanum tuberosum spp. andigena) by Spray Drying. Molecules 2023, 28, 4961. [Google Scholar] [CrossRef]
- Ligarda-Samanez, C.A.; Choque-Quispe, D.; Moscoso-Moscoso, E.; Pozo, L.M.F.; Ramos-Pacheco, B.S.; Palomino-Rincón, H.; Gutiérrez, R.J.G.; Peralta-Guevara, D.E. Effect of Inlet Air Temperature and Quinoa Starch/Gum Arabic Ratio on Nanoencapsulation of Bioactive Compounds from Andean Potato Cultivars by Spray-Drying. Molecules 2023, 28, 7875. [Google Scholar] [CrossRef]
- Ligarda-Samanez, C.A.; Moscoso-Moscoso, E.; Choque-Quispe, D.; Palomino-Rincón, H.; Martínez-Huamán, E.L.; Huamán-Carrión, M.L.; Peralta-Guevara, D.E.; Aroni-Huamán, J.; Arévalo-Quijano, J.C.; Palomino-Rincón, W.; et al. Microencapsulation of Erythrocytes Extracted from Cavia porcellus Blood in Matrices of Tara Gum and Native Potato Starch. Foods 2022, 11, 2107. [Google Scholar] [CrossRef]
- Mutavski, Z.; Vidović, S.; Lazarević, Z.; Ambrus, R.; Motzwickler-Németh, A.; Aladić, K.; Nastić, N. Stabilization and Preservation of Bioactive Compounds in Black Elderberry By-Product Extracts Using Maltodextrin and Gum Arabic via Spray Drying. Foods 2025, 14, 723. [Google Scholar] [CrossRef] [PubMed]
- Chen, L.; Yang, S.; Nan, Z.; Li, Y.; Ma, J.; Ding, J.; Lv, Y.; Yang, J. Detection of dextran, maltodextrin and soluble starch in the adulterated Lycium barbarum polysaccharides (LBPs) using Fourier-transform infrared spectroscopy (FTIR) and machine learning models. Heliyon 2023, 9, e17115. [Google Scholar] [CrossRef]
- Gorlov, I.F.; Titov, E.I.; Semenov, G.V.; Slozhenkina, M.I.; Sokolov, A.Y.; Omarov, R.S.; Goncharov, A.I.; Zlobina, E.Y.; Litvinova, E.V.; Karpenko, E.V. Collagen from porcine skin: A method of extraction and structural properties. Int. J. Food Prop. 2018, 21, 1031–1042. [Google Scholar] [CrossRef]
- Schmidt, M.M.; Fontoura, A.M.d.; Vidal, A.R.; Dornelles, R.C.P.; Kubota, E.H.; Mello, R.d.O.; Cansian, R.L.; Demiate, I.M.; Oliveira, C.S.d. Characterization of hydrolysates of collagen from mechanically separated chicken meat residue. Food Sci. Technol. 2020, 40, 355–362. [Google Scholar] [CrossRef]
- Ligarda-Samanez, C.A.; Choque-Quispe, D.; Palomino-Rincón, H.; Moscoso-Moscoso, E.; Guzmán Gutiérrez, R.J.; Banda Mozo, I. Microencapsulation of Propolis by Complex Coacervation with Chia Mucilage and Gelatin: Antioxidant Stability and Functional Potential. Antioxidants 2025, 14, 845. [Google Scholar] [CrossRef] [PubMed]
- Silvera Herrera, M.D. Determinación de los Parámetros Óptimos para la Extracción y Caracterización del Colágeno a Partir de Piel de Tilapia (Oreochromis niloticus); Universidad Nacional Micaela Bastidas de Apurímac: Abancay, Peru, 2019. [Google Scholar]
- Garrido Castelán, E. Efecto de las Proteínas de la Piel de Cerdo Sobre la Textura de Salchichas; Universidad Autónoma del Estado de Hidalgo: Pachuca, Mexico, 2006. [Google Scholar]
- Mamani Charca, M.D. Obtención de Colágeno Hidrolizado de Bovino a Través de Procesos Enzimáticos; Universidad Mayor de San Andrés: La Paz, Bolivia, 2018. [Google Scholar]
- Bailey, A.J.; Light, N.D. Connective Tissue in Meat and Meat Products; Elsevier Applied Science: London, UK, 1989. [Google Scholar]
- Palamutoğlu, R.; Sariçoban, C. The Effect of the Addition of Encapsulated Collagen Hydrolysate on Some Quality Characteristics of Sucuk. Korean J. Food Sci. Anim. Resour. 2016, 36, 807–818. [Google Scholar] [CrossRef]
- Kurozawa, L.E.; Park, K.J.; Hubinger, M.D. Effect of maltodextrin and gum arabic on water sorption and glass transition temperature of spray dried chicken meat hydrolysate protein. J. Food Eng. 2009, 91, 287–296. [Google Scholar] [CrossRef]
- Palamutoğlu, R.; Sarıçoban, C. Physico-chemical investigation and antioxidant activity of encapsulated fish collagen hydrolyzates with maltodextrin. Ann. Univ. Dunarea Jos Galati Fascicle VI—Food Technol. 2019, 43, 94–105. [Google Scholar] [CrossRef]
- Rocha, G.A.; Trindade, M.A.; Netto, F.M.; Favaro-Trindade, C.S. Microcapsules of a Casein Hydrolysate: Production, Characterization, and Application in Protein Bars. Food Sci. Technol. Int. 2009, 15, 407–413. [Google Scholar] [CrossRef]
- Premi, M.; Sharma, H.K. Effect of different combinations of maltodextrin, gum arabic and whey protein concentrate on the encapsulation behavior and oxidative stability of spray dried drumstick (Moringa oleifera) oil. Int. J. Biol. Macromol. 2017, 105, 1232–1240. [Google Scholar] [CrossRef]
- Ruengdech, A.; Siripatrawan, U. Improving encapsulating efficiency, stability, and antioxidant activity of catechin nanoemulsion using foam mat freeze-drying: The effect of wall material types and concentrations. Lwt 2022, 162, 113478. [Google Scholar] [CrossRef]
- Zotarelli, M.F.; da Silva, V.M.; Durigon, A.; Hubinger, M.D.; Laurindo, J.B. Production of mango powder by spray drying and cast-tape drying. Powder Technol. 2017, 305, 447–454. [Google Scholar] [CrossRef]
- Kha, T.C.; Nguyen, M.H.; Roach, P.D. Effects of spray drying conditions on the physicochemical and antioxidant properties of the Gac (Momordica cochinchinensis) fruit aril powder. J. Food Eng. 2010, 98, 385–392. [Google Scholar] [CrossRef]
- Ricci, A.; Arboleda Mejia, J.A.; Versari, A.; Chiarello, E.; Bordoni, A.; Parpinello, G.P. Microencapsulation of polyphenolic compounds recovered from red wine lees: Process optimization and nutraceutical study. Food Bioprod. Process. 2022, 132, 1–12. [Google Scholar] [CrossRef]
- Maag, P.; Dirr, S.; Özmutlu Karslioglu, Ö. Investigation of Bioavailability and Food-Processing Properties of Arthrospira platensis by Enzymatic Treatment and Micro-Encapsulation by Spray Drying. Foods 2022, 11, 1922. [Google Scholar] [CrossRef] [PubMed]
- Muñoz-Molina, N.; Parada, J.; Zambrano, A.; Chipon, C.; Robert, P.; Mariotti-Celis, M.S. Ultrasound-Assisted Extraction and Microencapsulation of Durvillaea incurvata Polyphenols: Toward a Stable Anti-Inflammatory Ingredient for Functional Foods. Foods 2025, 14, 2240. [Google Scholar] [CrossRef]
- Kaul, S.; Kaur, K.; Mehta, N.; Dhaliwal, S.S.; Kennedy, J.F. Characterization and optimization of spray dried iron and zinc nanoencapsules based on potato starch and maltodextrin. Carbohydr. Polym. 2022, 282, 119107. [Google Scholar] [CrossRef]
- Wang, L.; Clardy, A.; Hui, D.; Wu, Y. Physiochemical properties of encapsulated bitter melon juice using spray drying. Bioact. Carbohydr. Diet. Fibre 2021, 26, 100278. [Google Scholar] [CrossRef]
- Moslemi, M.; Hosseini, H.; Erfan, M.; Mortazavian, A.M.; Fard, R.M.N.; Neyestani, T.R.; Komeyli, R. Characterisation of spray-dried microparticles containing iron coated by pectin/resistant starch. Int. J. Food Sci. Technol. 2014, 49, 1736–1742. [Google Scholar] [CrossRef]
- Fernandes, R.V.d.B.; Borges, S.V.; Botrel, D.A. Gum arabic/starch/maltodextrin/inulin as wall materials on the microencapsulation of rosemary essential oil. Carbohydr. Polym. 2014, 101, 524–532. [Google Scholar] [CrossRef]
- Wardhani, D.H.; Wardana, I.N.; Ulya, H.N.; Cahyono, H.; Kumoro, A.C.; Aryanti, N. The effect of spray-drying inlet conditions on iron encapsulation using hydrolysed glucomannan as a matrix. Food Bioprod. Process. 2020, 123, 72–79. [Google Scholar] [CrossRef]
- Burgos-Díaz, C.; Leal-Calderon, F.; Mosi-Roa, Y.; Chacón-Fuentes, M.; Garrido-Miranda, K.; Opazo-Navarrete, M.; Quiroz, A.; Bustamante, M. Enhancing the Retention and Oxidative Stability of Volatile Flavors: A Novel Approach Utilizing O/W Pickering Emulsions Based on Agri-Food Byproducts and Spray-Drying. Foods 2024, 13, 1326. [Google Scholar] [CrossRef]
- Welch, C.; Khawar, M.; Böhm, B.; Gryczke, A.; Ries, F. Experimental Investigation of Spray Drying Breakup Regimes of a PVP-VA 64 Solution Using High-Speed Imaging. Pharmaceutics 2024, 16, 1547. [Google Scholar] [CrossRef] [PubMed]
- Binas, S.; Mardani, M.; Siahtiri, S.; Nejad, A.M. Trehalose and Neurodegeneration: A Review of Its Role in Autophagy, Protein Aggregation, and Neuroprotection. ASME Open J. Eng. 2025, 4, 040805. [Google Scholar] [CrossRef]
- Samborska, K.; Poozesh, S.; Barańska, A.; Sobulska, M.; Jedlińska, A.; Arpagaus, C.; Malekjani, N.; Jafari, S.M. Innovations in spray drying process for food and pharma industries. J. Food Eng. 2022, 321, 110960. [Google Scholar] [CrossRef]
- Chopde, S.; Datir, R.; Deshmukh, G.; Dhotre, A.; Patil, M. Nanoparticle formation by nanospray drying & its application in nanoencapsulation of food bioactive ingredients. J. Agric. Food Res. 2020, 2, 100085. [Google Scholar] [CrossRef]
- Baldelli, A.; Wells, S.; Pratap-Singh, A. Impact of Product Formulation on Spray-Dried Microencapsulated Zinc for Food Fortification. Food Bioprocess Technol. 2021, 14, 2286–2301. [Google Scholar] [CrossRef]
- Bordón, M.G.; Alasino, N.P.X.; Villanueva-Lazo, Á.; Carrera-Sánchez, C.; Pedroche-Jiménez, J.; Millán-Linares, M.d.C.; Ribotta, P.D.; Martínez, M.L. Scale-up and optimization of the spray drying conditions for the development of functional microparticles based on chia oil. Food Bioprod. Process. 2021, 130, 48–67. [Google Scholar] [CrossRef]
- Caruana, R.; Montalbano, F.; Zizzo, M.G.; Puleio, R.; Caldara, G.; Cicero, L.; Cassata, G.; Licciardi, M. Enhanced anticancer effect of quercetin microparticles formulation obtained by spray drying. Int. J. Food Sci. Technol. 2022, 57, 2739–2746. [Google Scholar] [CrossRef]
- de Moura, S.C.S.R.; Schettini, G.N.; Gallina, D.A.; Dutra Alvim, I.; Hubinger, M.D. Microencapsulation of hibiscus bioactives and its application in yogurt. J. Food Process. Preserv. 2022, 46, e16468. [Google Scholar] [CrossRef]
- Dueik, V.; Diosady, L.L. Microencapsulation of iron in a reversed enteric coating using spray drying technology for double fortification of salt with iodine and iron. J. Food Process Eng. 2017, 40, e12376. [Google Scholar] [CrossRef]
- Latip, L.D.; Zzaman, W.; Abedin, M.Z.; Yang, T.A. Optimization of Spray Drying Process in Commercial Hydrolyzed Fish Scale Collagen and Characterization by Scanning Electron Microscope and Fourier Transform Infrared Spectroscopy. J. Food Process. Preserv. 2015, 39, 1754–1761. [Google Scholar] [CrossRef]
- Lisboa, H.M.; Duarte, M.E.; Cavalcanti-Mata, M.E. Modeling of food drying processes in industrial spray dryers. Food Bioprod. Process. 2018, 107, 49–60. [Google Scholar] [CrossRef]
- Deshmukh, R.; Wagh, P.; Naik, J. Solvent evaporation and spray drying technique for micro- and nanospheres/particles preparation: A review. Dry. Technol. 2016, 34, 1758–1772. [Google Scholar] [CrossRef]
- Arpagaus, C.; John, P.; Collenberg, A.; Rütti, D. 10—Nanocapsules formation by nano spray drying. In Nanoencapsulation Technologies for the Food and Nutraceutical Industries; Jafari, S.M., Ed.; Academic Press: Cambridge, MA, USA, 2017; pp. 346–401. [Google Scholar]
- Han, J.; Fitzpatrick, J.; Cronin, K.; Maidannyk, V.; Miao, S. Breakage behaviour and functionality of spray-dried agglomerated model infant milk formula: Effect of proteins and carbohydrates content. Food Chem. 2022, 391, 133179. [Google Scholar] [CrossRef]
- Nandiyanto, A.B.D.; Okuyama, K. Progress in developing spray-drying methods for the production of controlled morphology particles: From the nanometer to submicrometer size ranges. Adv. Powder Technol. 2011, 22, 1–19. [Google Scholar] [CrossRef]
- Asghari-Varzaneh, E.; Shahedi, M.; Shekarchizadeh, H. Iron microencapsulation in gum tragacanth using solvent evaporation method. Int. J. Biol. Macromol. 2017, 103, 640–647. [Google Scholar] [CrossRef] [PubMed]
- Ramakrishnan, Y.; Adzahan, N.M.; Yusof, Y.A.; Muhammad, K. Effect of wall materials on the spray drying efficiency, powder properties and stability of bioactive compounds in tamarillo juice microencapsulation. Powder Technol. 2018, 328, 406–414. [Google Scholar] [CrossRef]
- da Silva Júnior, M.E.; Araújo, M.V.R.L.; Martins, A.C.S.; dos Santos Lima, M.; da Silva, F.L.H.; Converti, A.; Maciel, M.I.S. Microencapsulation by spray-drying and freeze-drying of extract of phenolic compounds obtained from ciriguela peel. Sci. Rep. 2023, 13, 15222. [Google Scholar] [CrossRef]
- Lobel, B.T.; Baiocco, D.; Al-Sharabi, M.; Routh, A.F.; Zhang, Z.; Cayre, O.J. Current Challenges in Microcapsule Designs and Microencapsulation Processes: A Review. ACS Appl. Mater. Interfaces 2024, 16, 40326–40355. [Google Scholar] [CrossRef]
- Ligarda-Samanez, C.A.; Choque-Quispe, D.; Moscoso-Moscoso, E.; Ramos-Pacheco, B.S.; Palomino-Rincón, H.; Peralta-Guevara, D.E. Microencapsulation of bioactive compounds from Hesperomeles escalloniifolia Schltdl (Capachu) in quinoa starch and Tara Gum. CyTA—J. Food 2025, 23, 2564354. [Google Scholar] [CrossRef]
- Ligarda-Samanez, C.A.; Moscoso-Moscoso, E.; Choque-Quispe, D.; Ramos-Pacheco, B.S.; Arévalo-Quijano, J.C.; Cruz, G.D.; Huamán-Carrión, M.L.; Quispe-Quezada, U.R.; Gutiérrez-Gómez, E.; Cabel-Moscoso, D.J.; et al. Native Potato Starch and Tara Gum as Polymeric Matrices to Obtain Iron-Loaded Microcapsules from Ovine and Bovine Erythrocytes. Polymers 2023, 15, 3985. [Google Scholar] [CrossRef] [PubMed]
- Vítězová, M.; Jančiková, S.; Dordević, D.; Vítěz, T.; Elbl, J.; Hanišáková, N.; Jampílek, J.; Kushkevych, I. The Possibility of Using Spent Coffee Grounds to Improve Wastewater Treatment Due to Respiration Activity of Microorganisms. Appl. Sci. 2019, 9, 3155. [Google Scholar] [CrossRef]






| Run | A | B | Protein Content (%) | Moisture (%) | aw | Bulk Density (g/mL) | Hygroscopicity (%) | Solubility (%) | Particle Size (µm) | |||||||
|---|---|---|---|---|---|---|---|---|---|---|---|---|---|---|---|---|
| ±s | ±s | ±s | ±s | ±s | ±s | ±s | ||||||||||
| T1 | 140 | 5 | 17.82 a | 0.13 | 4.71 a | 0.06 | 0.38 b | 0.01 | 0.49 a | 0.02 | 26.81 a | 2.24 | 82.80 a | 3.08 | 4.85 a | 0.03 |
| T2 | 160 | 5 | 18.82 b | 0.01 | 4.14 b | 0.08 | 0.26 a | 0.01 | 0.47 ab | 0.02 | 24.72 a | 1.90 | 82.03 a | 1.60 | 5.29 b | 0.02 |
| T3 | 140 | 10 | 28.45 c | 0.04 | 2.81 c | 0.15 | 0.25 a | 0.01 | 0.46 b | 0.03 | 38.08 b | 0.31 | 81.73 b | 2.21 | 5.48 c | 0.03 |
| T4 | 160 | 10 | 29.36 d | 0.09 | 1.58 d | 0.19 | 0.24 a | 0.01 | 0.44 b | 0.01 | 37.46 b | 1.40 | 81.23 b | 2.93 | 6.52 d | 0.04 |
Disclaimer/Publisher’s Note: The statements, opinions and data contained in all publications are solely those of the individual author(s) and contributor(s) and not of MDPI and/or the editor(s). MDPI and/or the editor(s) disclaim responsibility for any injury to people or property resulting from any ideas, methods, instructions or products referred to in the content. |
© 2025 by the authors. Licensee MDPI, Basel, Switzerland. This article is an open access article distributed under the terms and conditions of the Creative Commons Attribution (CC BY) license (https://creativecommons.org/licenses/by/4.0/).
Share and Cite
Ligarda-Samanez, C.A.; Ccana-Buleje, T.G.; Choque-Quispe, D.; Palomino-Rincón, H.; Taipe-Pardo, F.; Moscoso-Moscoso, E.; Muñoz-Melgarejo, M.; Luciano-Alipio, R.; Carrión, J.C.; Muñoz-Saenz, J.C.; et al. Spray-Dried Porcine Collagen Microcapsules in Tara Gum–Maltodextrin Matrices: A Sustainable Approach to By-Product Valorization for Functional and Nutraceutical Applications. Appl. Sci. 2025, 15, 12667. https://doi.org/10.3390/app152312667
Ligarda-Samanez CA, Ccana-Buleje TG, Choque-Quispe D, Palomino-Rincón H, Taipe-Pardo F, Moscoso-Moscoso E, Muñoz-Melgarejo M, Luciano-Alipio R, Carrión JC, Muñoz-Saenz JC, et al. Spray-Dried Porcine Collagen Microcapsules in Tara Gum–Maltodextrin Matrices: A Sustainable Approach to By-Product Valorization for Functional and Nutraceutical Applications. Applied Sciences. 2025; 15(23):12667. https://doi.org/10.3390/app152312667
Chicago/Turabian StyleLigarda-Samanez, Carlos A., Thamirys G. Ccana-Buleje, David Choque-Quispe, Henry Palomino-Rincón, Fredy Taipe-Pardo, Elibet Moscoso-Moscoso, Mauricio Muñoz-Melgarejo, Rober Luciano-Alipio, Justina Cervantes Carrión, Jenny C. Muñoz-Saenz, and et al. 2025. "Spray-Dried Porcine Collagen Microcapsules in Tara Gum–Maltodextrin Matrices: A Sustainable Approach to By-Product Valorization for Functional and Nutraceutical Applications" Applied Sciences 15, no. 23: 12667. https://doi.org/10.3390/app152312667
APA StyleLigarda-Samanez, C. A., Ccana-Buleje, T. G., Choque-Quispe, D., Palomino-Rincón, H., Taipe-Pardo, F., Moscoso-Moscoso, E., Muñoz-Melgarejo, M., Luciano-Alipio, R., Carrión, J. C., Muñoz-Saenz, J. C., Quispe-Quezada, U. R., & Jilaja-Carita, E. E. (2025). Spray-Dried Porcine Collagen Microcapsules in Tara Gum–Maltodextrin Matrices: A Sustainable Approach to By-Product Valorization for Functional and Nutraceutical Applications. Applied Sciences, 15(23), 12667. https://doi.org/10.3390/app152312667

