Enhancing the Performance of Layered Wood Composites Through the Non-Food Application of Dietary Fiber in Their Bonding Matrix
Abstract
1. Introduction
2. Materials and Methods
2.1. Materials, Preparation, and Characterization
2.2. Experimental Setup
2.3. Statistical Analysis
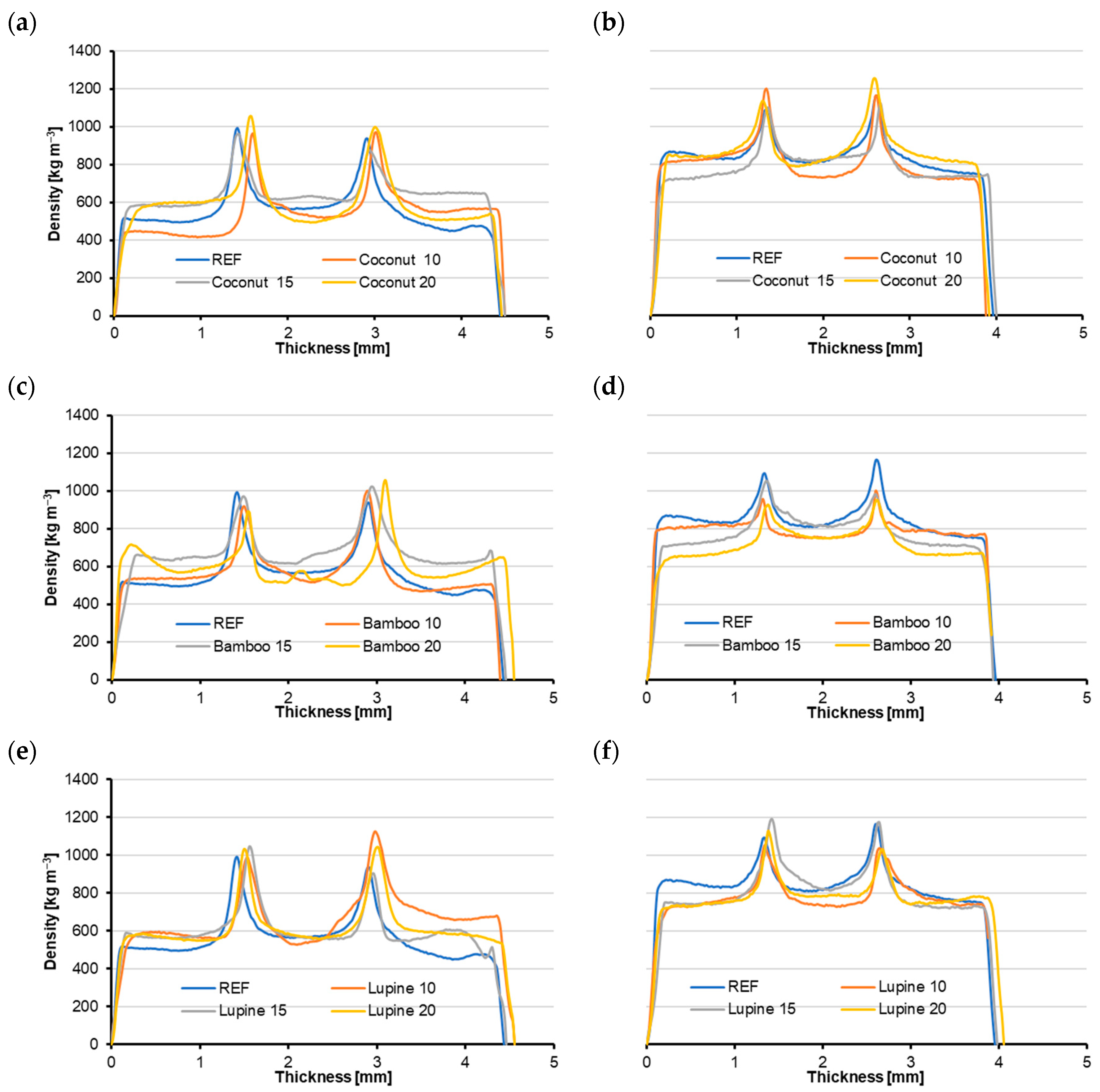
3. Results and Discussion
3.1. Modulus of Elasticity
3.2. Modulus of Rupture
3.3. Shear Strength
3.4. Fillers’ Water Absorption
3.5. Density Profile
4. Conclusions
Author Contributions
Funding
Institutional Review Board Statement
Informed Consent Statement
Data Availability Statement
Acknowledgments
Conflicts of Interest
References
- Kawalerczyk, J.; Dziurka, D.; Mirski, R.; Trociński, A. Flour fillers with urea-formaldehyde resin in plywood. BioResources 2019, 14, 6727–6735. [Google Scholar] [CrossRef]
- Hosseini, B.; Ghofrani, M.; Taghiyari, H.R.; Ghahri, S. Effect of soy flour addition into urea-formaldehyde resin on formaldehyde emission. Iran. J. Wood Pap. Sci. Res. 2019, 34, 387–396. [Google Scholar]
- Daniłowska, A.; Kowaluk, G. The use of coffee bean post-extraction residues as a filler in plywood technology. Ann. Warsaw Univ. Life Sci.—SGGW, For. Wood Technol. 2020, 109, 24–31. [Google Scholar] [CrossRef]
- Kawalerczyk, J.; Siuda, J.; Mirski, R.; Dziurka, D. Hemp flour as a formaldehyde scavenger for melamine-urea-formaldehyde adhesive in plywood production. BioResources 2020, 15, 4052–4064. [Google Scholar] [CrossRef]
- Wronka, M.; Wojnicz, D.; Kowaluk, G. The Influence of Various Modifications of Hazelnut Shell Flour as Potential Filler in Plywood Technology. Materials 2024, 17, 4128. [Google Scholar] [CrossRef] [PubMed]
- Ishangulyyev, R.; Kim, S.; Lee, S.H. Understanding food loss and waste-why are we losing and wasting food? Foods 2019, 8, 297. [Google Scholar] [CrossRef]
- Gooch, M.; Matsubuchi-Shaw, M.; Bucknell, D.; LaPlain, D.; Kohler, L. Quantifying the carbon footprint of household food waste and associated GHGs in Oakville, Ontario, and a municipality’s role in reducing both food waste and GHGs. Can. Geogr. 2022, 66, 769–782. [Google Scholar] [CrossRef]
- van der Werf, P.; Larsen, K.; Seabrook, J.A.; Gilliland, J. How neighbourhood food environments and a pay-as-you-throw (PAYT) waste program impact household foodwaste disposal in the city of Toronto. Sustain. 2020, 12, 7016. [Google Scholar] [CrossRef]
- Rosentrater, K.A. Modeling the economics of landfilling organic processing waste streams. Proc. SPIE—Int. Soc. Opt. Eng. 2005, 5997, 59970F. [Google Scholar] [CrossRef]
- Dey, S.; Santra, M.; Choudhury, M.; Ghosh, A.R.; Samanta, P. Food waste generation and its industrial utilization: An overview. In Environmental Science and Pollution Research; Springer: Berlin/Heidelberg, Germany, 2024. [Google Scholar] [CrossRef]
- Vuong, Q.V.; Atherton, M.A. Extraction and utilisation of bioactive compounds from agricultural waste. In Utilisation of Bioactive Compounds from Agricultural and Food Production Waste; CRC Press: Boca Raton, FL, USA, 2017; pp. 127–158. ISBN 9781498741323. [Google Scholar]
- Mirabella, N.; Castellani, V.; Sala, S. Current options for the valorization of food manufacturing waste: A review. J. Clean. Prod. 2014, 65, 28–41. [Google Scholar] [CrossRef]
- Capelli, B.; Cysewski, G.R. Potential health benefits of spirulina microalgae. A review of the existing literature. Nutrafoods 2010, 9, 19–26. [Google Scholar] [CrossRef]
- Lafarga, T.; Fernández-Sevilla, J.M.; González-López, C.; Acién-Fernández, F.G. Spirulina for the food and functional food industries. Food Res. Int. 2020, 137, 109356. [Google Scholar] [CrossRef]
- Park, W.S.; Kim, H.J.; Li, M.; Lim, D.H.; Kim, J.; Kwak, S.S.; Kang, C.M.; Ferruzzi, M.G.; Ahn, M.J. Two classes of pigments, carotenoids and c-phycocyanin, in spirulina powder and their antioxidant activities. Molecules 2018, 23, 2065. [Google Scholar] [CrossRef]
- Chaouachi, M.; Vincent, S.; Groussard, C. A Review of the Health-Promoting Properties of Spirulina with a Focus on athletes’ Performance and Recovery. J. Diet. Suppl. 2024, 21, 210–241. [Google Scholar] [CrossRef]
- Stunda-Zujeva, A.; Berele, M. Algae as a Functional Food: A Case Study on Spirulina; Springer International Publishing: Berlin/Heidelberg, Germany, 2024; pp. 563–594. ISBN 9783031420269. [Google Scholar]
- Kinder, D.H.; Knecht, K.T. Lupine (Lupinus caudatus L., Lupinus albus L.) Seeds: History of Use, Use as an Antihyperglycemic Medicinal, and Use as a Food. In Nuts and Seeds in Health and Disease Prevention; Elsevier: Amsterdam, The Netherlands, 2011; pp. 711–716. ISBN 9780123756886. [Google Scholar]
- Boukid, F.; Pasqualone, A. Lupine (Lupinus spp.) proteins: Characteristics, safety and food applications. Eur. Food Res. Technol. 2022, 248, 345–356. [Google Scholar] [CrossRef]
- Guardianelli, L.M.; Carbas, B.; Brites, C.; Puppo, M.C.; Salinas, M.V. White Lupine (Lupinus albus L.) Flours for Healthy Wheat Breads: Rheological Properties of Dough and the Bread Quality. Foods 2023, 12, 1645. [Google Scholar] [CrossRef]
- Fauziyah, E.; Widyaningsih, T.S.; Hani, A.; Kuswantoro, D.P. The existence of bamboo plants and bamboo shoots business in Central Java, Indonesia. IOP Conf. Ser. Earth Environ. Sci. 2023, 1168, 012055. [Google Scholar] [CrossRef]
- Darmajana, D.A.; Sagita, D.; Wulandari, N. Influence of Bamboo Shoots (Dendrocalamus asper) Flour Addition and Baking Temperatures on the Sensory and Physical Characteristics of Cookies. Int. J. Des. Nat. Ecodynamics 2023, 18, 1427–1434. [Google Scholar] [CrossRef]
- Felisberto, M.H.F.; Miyake, P.S.E.; Beraldo, A.L.; Clerici, M.T.P.S. Young bamboo culm: Potential food as source of fiber and starch. Food Res. Int. 2017, 101, 96–102. [Google Scholar] [CrossRef] [PubMed]
- Liese, W.; Köhl, M. Bamboo: The Plant and Its Uses; Springer: Cham, Switzerland, 2015; ISBN 9783319141329. [Google Scholar]
- Mustafa, U.; Naeem, N.; Masood, S.; Farooq, Z. Effect of Bamboo Powder Supplementation on Physicochemical and Organoleptic Characteristics of Fortified Cookies. Food Sci. Technol. 2016, 4, 7–13. [Google Scholar] [CrossRef]
- Nirmala, C.; Bisht, M.S.; Laishram, M. Bioactive compounds in bamboo shoots: Health benefits and prospects for developing functional foods. Int. J. Food Sci. Technol. 2014, 49, 1425–1431. [Google Scholar] [CrossRef]
- Kalyan, N.; Santosh, O.; Indira, A.; Kuhad, A.; Chongtham, N. Therapeutic Aspects of Bamboo for Wound Healing. In Environmental Footprints and Eco-Design of Products and Processes; Springer: Berlin/Heidelberg, Germany, 2023; pp. 237–264. [Google Scholar]
- Nirmala, C.; Bisht, M.S.; Bajwa, H.K.; Santosh, O. Bamboo: A rich source of natural antioxidants and its applications in the food and pharmaceutical industry. Trends Food Sci. Technol. 2018, 77, 91–99. [Google Scholar] [CrossRef]
- Tanimola, A.; Adekunle-Aremu, A.; Bolaji, O.; Oludemi, F.; Ibrahim, K. Physical, Chemical and Functional Properties of Flakes from Coconut Flour. Croat. J. Food Sci. Technol. 2022, 14, 282–290. [Google Scholar] [CrossRef]
- Naik, J. Growth Trends in Area, Production and Productivity of Coconut in Major Growing Countries. IOSR J. Humanit. Soc. Sci. 2017, 22, 47–56. [Google Scholar] [CrossRef]
- Yalegama, L.L.W.C.; Chavan, J.K. Studies on Utilization of Coconut Flour as a Source of Cell Wall Polysaccharides. Trop. Agric. Resour. 2006, 126–134. [Google Scholar]
- Wronka, A.; Kowaluk, G. Upcycling Different Particle Sizes and Contents of Pine Branches into Particleboard. Polymers 2022, 14, 4559. [Google Scholar] [CrossRef]
- Prasad, M.M.; Ganesan, K.; Babu, N.R. Production of sustainable polyester composite building material using industrial waste plastic core, hemp fabric, and shrimp shell powder: Effect of quasi-isotropic fiber stacking and particle loading. Proc. Inst. Mech. Eng. Part L J. Mater. Des. Appl. 2024, 2024, 14644207241267123. [Google Scholar] [CrossRef]
- Dukarska, D.; Kawalerczyk, J.; Kmieciak, J. Modified pine needles as a formaldehyde scavenger for urea-formaldehyde resin in plywood production. Eur. J. Wood Wood Prod. 2023. Preprint. [Google Scholar] [CrossRef]
- Liu, J.; Li, Y.; Mo, H.; Xie, E.; Fang, J.; Gan, W. Current utilization of waste biomass as filler for wood adhesives: A review. J. Ind. Eng. Chem. 2022, 115, 48–61. [Google Scholar] [CrossRef]
- Mirski, R.; Kawalerczyk, J.; Dziurka, D.; Siuda, J.; Wieruszewski, M. The application of oak bark powder as a filler for melamine-urea-formaldehyde adhesive in plywood manufacturing. Forests 2020, 11, 1249. [Google Scholar] [CrossRef]
- Jeżo, A.; Wronka, A.; Dębiński, A.; Kristak, L.; Reh, R.; Rizhikovs, J.; Kowaluk, G. Influence of Upcycled Post-Treatment Bark Biomass Addition to the Binder on Produced Plywood Properties. Forests 2023, 14, 110. [Google Scholar] [CrossRef]
- Walkiewicz, J.; Kawalerczyk, J.; Mirski, R.; Dziurka, D. The Application of Various Bark Species as a Fillers for UF Resin in Plywood Manufacturing. Materials 2022, 15, 7201. [Google Scholar] [CrossRef] [PubMed]
- Wronka, A.; Kowaluk, G. Upcycling of Wood Dust from Particleboard Recycling as a Filler in Lignocellulosic Layered Composite Technology. Materials 2023, 16, 7352. [Google Scholar] [CrossRef]
- EN 827; Adhesives—Determination of Conventional Solids Content and Constant Mass Solids Content. European Committee for Standardization: Brussels, Belgium, 2005.
- Stępniewska, S.; Cacak-Pietrzak, G.; Szafrańska, A.; Ostrowska-Ligęza, E.; Dziki, D. Assessment of the starch-amylolytic complex of rye flours by traditional methods and modern one. Materials 2021, 14, 7603. [Google Scholar] [CrossRef]
- Larrosa, A.P.Q.; Camara, Á.S.; Pohndorf, R.S.; da Rocha, S.F.; Pinto, L.A.D.A. Physicochemical, biochemical, and thermal properties of Arthrospira (Spirulina) biomass dried in spouted bed at different conditions. J. Appl. Phycol. 2018, 30, 1019–1029. [Google Scholar] [CrossRef]
- Puentes Parra, A.; Mora Huertas, C.E. Extraction and Characterization of Bamboo Rhipidocladum cf. Harmonicum (Parodi) McClure Starch. J. Bamboo Ratt. 2021, 19, 38–51. [Google Scholar]
- Srivastava, Y. Effect of Virgin Coconut Meal (VCM) on the Textural, Thermal and Physico Chemical Properties of Biscuits. Food Nutr. Sci. 2010, 01, 38–44. [Google Scholar] [CrossRef]
- EN 205; Adhesives—Wood Adhesives for Non-Structural Applications—Determination of Tensile Shear Strength of Lap Joints. European Committee for Standardization: Brussels, Belgium, 2016.
- EN 310; Wood-Based Panels. Determination of Modulus of Elasticity in Bending and of Bending Strength. European Committee for Standardization: Brussels, Belgium, 1993.
- Dasiewicz, J.; Wronka, A. Influence of the use of chestnut starch as a binder filler in plywood technology. Ann. Warsaw Univ. Life Sci. SGGW For. Wood Technol. 2023, 148, 137–148. [Google Scholar] [CrossRef]
- Wojciechowska, M.; Kowaluk, G. Waste Banana Peel Flour as a Filler in Plywood Binder. Ann. WULS For. Wood Technol. 2023, 123, 143–152. [Google Scholar] [CrossRef]
- Aydin, I.; Demirkir, C.; Colak, S.; Colakoglu, G. Utilization of bark flours as additive in plywood manufacturing. Eur. J. Wood Wood Prod. 2017, 75, 63–69. [Google Scholar] [CrossRef]
- Ghahri, S.; Pizzi, A.; Mohebby, B.; Mirshokraie, A.; Mansouri, H.R. Soy-based, tannin-modified plywood adhesives. J. Adhes. 2018, 94, 218–237. [Google Scholar] [CrossRef]
- Ong, H.R.; Khan, M.M.R.; Prasad, D.M.R.; Yousuf, A.; Chowdhury, M.N.K. Palm kernel meal as a melamine urea formaldehyde adhesive filler for plywood applications. Int. J. Adhes. Adhes. 2018, 85, 8–14. [Google Scholar] [CrossRef]
- Felisberto, M.H.F.; Beraldo, A.L.; Clerici, M.T.P.S. Young bamboo culm flour of Dendrocalamus asper: Technological properties for food applications. LWT—Food Sci. Technol. 2017, 76, 230–235. [Google Scholar] [CrossRef]
- Buksa, K.; Ziobro, R.; Nowotna, A.; Adamczyk, G.; Sikora, M.; Zylewski, M. Water Binding Capacity of Rye Flours with the Addition of Native and Modified Arabinoxylan Preparations. J. Agric. Sci. Technol. 2014, 16, 1083–1095. [Google Scholar]
- Ge, Q.; Li, H.Q.; Huang, L.C.; Li, P.; Xiao, Z.Q.; Jin, K.N. Structure, physicochemical, and in vitro functional properties of insoluble dietary fiber from bamboo culm: A potential functional ingredient. J. Food Process. Preserv. 2022, 46, e16426. [Google Scholar] [CrossRef]
- Tańska, M.; Konopka, I.; Ruszkowska, M. Sensory, Physico-Chemical and Water Sorption Properties of Corn Extrudates Enriched with Spirulina. Plant Foods Hum. Nutr. 2017, 72, 250–257. [Google Scholar] [CrossRef]
- Erminawati; Sidik, W.; Listanti, R.; Zulfakar, H. Formulation and characterization of bread using coconut-pulp flour and wheat flour composite with addition of xanthan-gum. IOP Conf. Ser. Earth Environ. Sci. 2018, 102, 012010. [Google Scholar] [CrossRef]
- Gurr, J.; Barbu, M.C.; Frühwald, A.; Chaowana, P. The bond strength development of coconut wood in relation to its density variations. J. Adhes. 2022, 98, 1520–1533. [Google Scholar] [CrossRef]
- Chotěborský, R. Martensite overlay layer and its influence on substratum. In Proceedings of the 3rd International Conference on Trends in Agricultural Engineering, Prague, Czech Republic, 12–14 September 2007; pp. 182–185. [Google Scholar]
- Muller, M.; Hrabe, P.; Choteborsky, R. Experimental setting of adhesive bonds correcting coefficients. In Proceedings of the 3rd International Conference on Trends in Agricultural Engineering, Prague, Czech Republic, 12–14 September 2007; pp. 337–341. [Google Scholar]
- Kawalerczyk, J.; Dziurka, D.; Mirski, R.; Siuda, J.; Babicka, M. Possibility of use of NCC-reinforced melamine-urea- formaldehyde adhesive in plywood manufacturing. Drv. Ind. 2021, 72, 279–289. [Google Scholar] [CrossRef]
- Kawalerczyk, J.; Dziurka, D.; Mirski, R.; Szentner, K. Properties of plywood produced with urea-formaldehyde adhesive modified with nanocellulose and microcellulose. Drv. Ind. 2020, 71, 61–67. [Google Scholar] [CrossRef]
- Mirski, R.; Kawalerczyk, J.; Dziurka, D.; Wieruszewski, M.; Trociński, A. Effects of using bark particles with various dimensions as a filler for urea-formaldehyde resin in plywood. BioResources 2020, 15, 1692–1701. [Google Scholar] [CrossRef]
- Li, X.; Huang, Z.; Tan, B.; Li, S.; Yang, S.; Wang, J.; Fan, D. Effect of Molecules Containing Hydrophobic Groups on Viscosity of Urea Formaldehyde Resin. Chin. J. Wood Sci. Technol. 2023, 37, 65–71. [Google Scholar] [CrossRef]
- Fukui, K.; Momen, K.; Ichiba, G.; Fukasawa, T.; Ishigami, T. Utilization of woody biomass combustion fly ash as a filler in the glue used for plywood production. Adv. Powder Technol. 2020, 31, 4482–4490. [Google Scholar] [CrossRef]
- Qin, Y.; Zeng, K.; Shu, B.; Xing, B.; He, X. A study of the particle-reinforced bonded joint performance. Mater. Today Commun. 2023, 37, 107036. [Google Scholar] [CrossRef]







| Veneer Wood Specie | Veneer Thickness | Number of Veneers in the Composite | Bonding Mass Spread | Filler Flour Type and Amount in Bonding Mass | ||||
|---|---|---|---|---|---|---|---|---|
| Rye | Spirulina | Bamboo | Coconut | Lupine | ||||
| [mm] | [–] | [g m−2] | [pbw] | |||||
| Birch (Betula L.) | 1.6 | 3 | 180 | 10 | 10 | |||
| 15 | ||||||||
| 20 | ||||||||
| Pine (Pinus sylvestris L.) | 1.8 | 3 | 180 | 10 | 10 | |||
| 15 | ||||||||
| 20 | ||||||||
| Filler Content [pbw] | Filler Type | ||||
|---|---|---|---|---|---|
| Rye | Spirulina | Bamboo | Coconut | Lupine | |
| Curing time (Mean ± Standard Deviation) [s] | |||||
| 10 | 94 ± 2 | 100 ± 2 | 96 ± 2 | 95 ± 4 | 93 ± 4 |
| 15 | Nbt * | 106 ± 2 | 97 ± 1 | 96 ± 3 | 96 ± 3 |
| 20 | 110 ± 2 | 101 ± 1 | 101 ± 3 | 101 ± 2 | |
Disclaimer/Publisher’s Note: The statements, opinions and data contained in all publications are solely those of the individual author(s) and contributor(s) and not of MDPI and/or the editor(s). MDPI and/or the editor(s) disclaim responsibility for any injury to people or property resulting from any ideas, methods, instructions or products referred to in the content. |
© 2024 by the authors. Licensee MDPI, Basel, Switzerland. This article is an open access article distributed under the terms and conditions of the Creative Commons Attribution (CC BY) license (https://creativecommons.org/licenses/by/4.0/).
Share and Cite
Wronka, M.; Wronka, A.; Kowaluk, G. Enhancing the Performance of Layered Wood Composites Through the Non-Food Application of Dietary Fiber in Their Bonding Matrix. Appl. Sci. 2024, 14, 11780. https://doi.org/10.3390/app142411780
Wronka M, Wronka A, Kowaluk G. Enhancing the Performance of Layered Wood Composites Through the Non-Food Application of Dietary Fiber in Their Bonding Matrix. Applied Sciences. 2024; 14(24):11780. https://doi.org/10.3390/app142411780
Chicago/Turabian StyleWronka, Marta, Anita Wronka, and Grzegorz Kowaluk. 2024. "Enhancing the Performance of Layered Wood Composites Through the Non-Food Application of Dietary Fiber in Their Bonding Matrix" Applied Sciences 14, no. 24: 11780. https://doi.org/10.3390/app142411780
APA StyleWronka, M., Wronka, A., & Kowaluk, G. (2024). Enhancing the Performance of Layered Wood Composites Through the Non-Food Application of Dietary Fiber in Their Bonding Matrix. Applied Sciences, 14(24), 11780. https://doi.org/10.3390/app142411780

