Prediction of Intraday Electricity Supply Curves
Abstract
1. Introduction
Spanish Electricity Market
- Q1: Is it possible to predict supply curves more accurately than using the curves from the previous day?
- Q2: Is it useful to incorporate information from the previous market to predict curves from intraday market sessions?
2. State of the Art for Supply Curve Prediction
3. Methodology
3.1. Raw Data
- For the daily market, the names follow the format curva_pbc_uof_yyyymmdd.1, where yyyy refers to the year, mm to the month, and dd to the day the file refers to (to the date being negotiated, not the date the negotiation took place).
- For the intraday markets, the structure is similar, curva_pibc_uof_yyyymmddxx.1, where xx refers to the number of the market, going from 01 to 06. For instance, the file curva_pibc_uof_2021032704.1 contains data related to the fourth intraday market on 27 March 2021.
- Hour. This refers to the hour for which offers and demands are made. The number represents the position of that hour in the day, regardless of what the clock shows. For example, on a day when the clock is moved forward, the period from 03:00 to 04:00 corresponds to the third hour of the day, whereas, on a normal day, it would correspond to the fourth hour of the day.
- Date. This refers to the day for which offers and demands are made. It is given in the dd/mm/yyyy format.
- Country. This refers to the market to which the offer to buy or sell is presented. The codes are as follows: MI (Iberian Market: both Portugal and Spain), ES (Spain), or PT (Portugal).
- Unit. An alphanumeric code that is used to identify the current offer or demand.
- Offer type. This refers to whether the offer is for buying (C) or selling (V).
- Buy/Sell Energy. The amount of energy offered or demanded, expressed in MWh and in the Spanish number format.
- Buy/Sell Price. The bid or ask price for the respective energy, expressed in EUR/MWh and in the Spanish number format.
- Offered/Matched. This indicates whether the energy–price pair corresponds to the offers curve (O) or the resulting matching program (C).
- Choice of Date Range
- 20 May 2021 [22]. Maximum and minimum offer price limits were set at −500 EUR/MWh and 3000 EUR/MWh for the daily market and −9999 EUR/MWh and 9999 EUR/MWh for the intraday market.
- 11 May 2022 [23]. The price range from −500 EUR/MWh to 3000 EUR/MWh of the daily market was changed to the new one from −500 EUR/MWh to 4000 EUR/MWh. Despite this change, there are few offers above the previous limit of 3000 EUR/MWh. Therefore, we decided, instead of normalizing, to divide by the previous legal range (which remains, in practice, as the current range).
3.2. Preprocessing
3.2.1. Train-Test Split
3.2.2. Data Preprocessing
- The markets with a 24 h application horizon (the daily market and the first and third intraday markets) are affected by these time changes. Some days have 23 h, while others have 25. Since these represent a tiny percentage of the total dates, we chose to remove the last hour on 25 h days and duplicate the last hour on 23 h days, ensuring we always had 24 h.
- The second daily market, with its 28 h application period spread over 2 days, required a more detailed examination. Its application horizon covers an entire day and the last 4 h of the previous day. This market is only affected by time changes when they impact the 24 h day it applies to, resulting in markets with either 27 or 29 sessions. We handled this full day in the same way as the 24 h horizon markets.
- The offers and demands in the intraday markets with a horizon of less than 24 h (the fourth, fifth, and sixth) pertain to the respective last hours of the day, and therefore, these markets are not affected by the time changes. However, on 10 October 2022 (the clocks were set back on this date [24]), the fourth intraday market conducted 21 h instead of 20. Given the minor nature of the issue, we addressed it by removing the first hour and keeping the last 20, which is in line with the market structure and the format of our data.
3.2.3. Representation of Curves
3.2.4. Approximation Procedures for Curves
- Interpolation technique. Since we were working with nondecreasing step functions, it was reasonable to interpolate consistently with this property, using right-side constant interpolation (i.e., the interpolated values are equal to the largest grid point value smaller than them).
- Uniformity of the grid. Despite the broad price ranges presented by the markets, in reality, most offers occur within a more limited range. Given our interest in accurately representing this subinterval, it made more sense to use a non-uniform grid, allocating more density to these empirically observed regions. In Figure 2 and Figure 3, we observe that, although both interpolations generally fit the original curve well, the non-uniform interpolation captures the section of the curve with a higher density of transactions much better.
- Grid size. There is a trade-off between precise representation and the informational weight of the grid (which we wanted to reduce compared to the raw data). We opted for a grid of 150 points.
3.3. Error Metrics
- Integrals are a continuous operation, whereas we only had a grid of points. The accuracy of our approximation to the true value of the integral would be better if we used a more dense grid of points. Therefore, we calculate the approximationby not using the non-uniform grid previously discussed but by reconstructing a more dense curve. The value of in (2) was set to 0.0001. Note that by scaling the prices we have, the integral is performed on the interval [0, 1].
- As mentioned, almost all offers and demands occur within a price range that does not cover everything considered by the regulations. See, for instance, Figure 2 and Figure 3, where the scaled prices are concentrated in the interval [0.4, 0.6]. When using the interpolation we just mentioned, the non-uniformity introduced in the grid is lost. To bring it back, we modified the distance formula. The idea is to use a density factor, K, that gives more weight to the more typical price ranges:The K factor in (3) is obtained as an estimate of the density of the bid prices for each session. This means that if, in a session, the majority of bids have their (scaled) prices in the interval [0.4, 0.6], then the differences in that interval have a greater weight than outside that interval. Each session has or can have a different K factor since it depends on the prices of its offers.
3.4. Models and Predictions
3.4.1. Input and Output Format
3.4.2. Correction of Predictions
3.4.3. Selection of Hyperparameters
3.4.4. Model Comparison
- . Both forecasts have the same accuracy, meaning that the observed differences are likely due to randomness;
- . One forecast has better accuracy than the other, meaning that the predictive difference between the models is unlikely to be due to randomness.
3.4.5. Naive Model
3.4.6. Multilayer Perceptron Model
- epoch. The number of complete passes of the training dataset (epochs). The assessed values were 5, 10, and 20;
- n. The number of layers besides the input and output layers. We considered one, two, three, and four layers;
- neuron. The number of neurons in each layer. The tested values were 5, 10, 20, 50, 100, 200, and 400;
- act. The activation function, which is a mathematical function applied to each node, introduces nonlinearity into the network and allows it to learn complex patterns. We tried two different functions: ReLU and tanh;
- batch. The number of training examples used in one forward and backward pass of the training process. The tested values were 3, 10, and 30.
3.4.7. CNN Model
- epoch. The number of complete passes of the training dataset (epochs). The assessed values are 50 and 100;
- n_dense. The number of fully connected layers besides the output layer. We studied one, two, and three layers;
- n_conv. The number of convolutional and pooling layers (we always introduce a pooling layer after each convolutional layer). We considered one, two, and three layers;
- neuron. The number of neurons in each fully connected layer. The tested values are 5, 10, 20, 50, and 100;
- fil. The number of filters in each convolutional layer. We considered eight and 16 filter cases;
- kernel. The dimensions of the kernel matrix in each convolutional layer. The values studied are , , and .
3.4.8. LSTM Model
- n_LSTM. The number of LSTM layers. We tested one and two layers;
- n_dense. The number of fully connected layers besides the output layer. The values studied are one, two, three, and four;
- unit. The number of cells per LSTM layer. The assessed values are 5, 10, 15, 20, and 50;
- neuron. The number of neurons in each fully connected layer. We tried 10, 40, 50, and 100 neurons;
- dropout. The random deactivation of some input units to reduce overfitting. The studied values are 0, 0.1, and 0.2.
3.4.9. BiLSTM Model
- n_LSTM. The number of LSTM layers. We tested one and two layers;
- n_dense. The number of fully connected layers besides the output layer. The considered values are one, two, three, and four;
- unit. The number of cells per LSTM layer. We tried 10, 20, 50 and 100 units;
- neuron. The number of neurons in each fully connected layer. The assessed values are 10, 40, 50, and 100;
- dropout. The random deactivation of some input units to reduce overfitting. The studied values are 0, 0.1, and 0.2.
3.4.10. CNN+LSTM Model
- n_CNN. The number of convolutional and pooling layers (we always introduce a pooling layer after each convolutional one). We considered one and two layers;
- n_LSTM. The number of LSTM layers. The considered values are one and two;
- n_dense. The Number of fully connected layers besides the output layer. We tried one, two, three, and four layers;
- filter. The number of filters in each convolutional layer. We considered eight and 16 filters;
- kernel. The dimensions of the kernel matrix in each convolutional layer. The assessed values are , , and ;
- unit. Number of cells per LSTM layer. We tried 10, 20, 50, and 100 units;
- dropout. The random deactivation of some input units to reduce overfitting. The studied values are 0, 0.1, and 0.2 (ranging from 0 to 1);
- neurons. The number of neurons in each fully connected layer: 5, 10, 20, 50, and 100 neurons were considered.
3.4.11. Transformer Model
- epoch. The number of complete passes of the training dataset (epochs). The assessed values are 20 and 50;
- n_dense. The number of fully connected layers besides the output layer. One, two, and three layers were considered;
- n_trans. The number of Transformer blocks. We tried one, two, and three layers;
- head. The number of parallel attention mechanisms. The tested values are eight and 16;
- dim. The size of the query, key, and value vectors used in the attention mechanism. The assessed values are 10, 20, 50, and 75;
- dropout. The random deactivation of some input units to reduce overfitting. The studied values are 0, 0.1, and 0.2;
- neuron. The number of neurons in each fully connected layer. We considered 20, 50, 100, and 200 neurons.
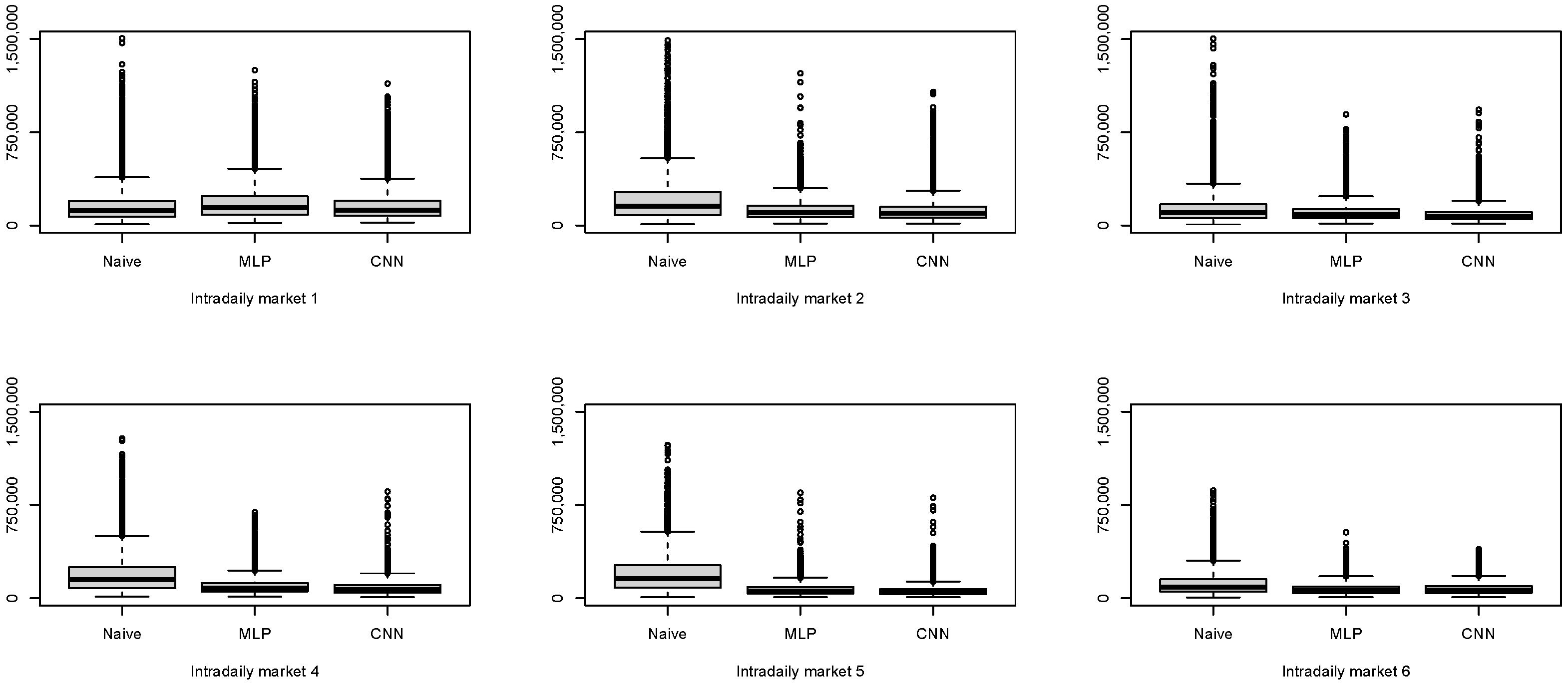
4. Results
4.1. Error Metrics
4.2. Model Comparison
5. Conclusions and Extensions
Author Contributions
Funding
Institutional Review Board Statement
Informed Consent Statement
Data Availability Statement
Acknowledgments
Conflicts of Interest
Abbreviations
| BiLSTM | Bidirectional long short-term memory |
| CNN | Convolutional neural network |
| EPEX | European power exchange |
| LSTM | Long short-term memory |
| MAD | Median absolute deviation |
| MIBEL | Mercado Iberico de Electricidad (Iberian Electricity Market) |
| MLP | Multilayer perceptron |
| OMIE | Operador del Mercado Ibérico de Energía (Iberian Energy Market Operator) |
| SD | Standard deviation |
Appendix A. Selected Hyperparameters
| Market | best_mean | best_epoch | best_n | best_neuron | best_act | best_batch |
|---|---|---|---|---|---|---|
| 1st | 153,721.7 | 20 | 3 | 200 | relu | 3 |
| 2nd | 121,656.5 | 20 | 3 | 400 | relu | 3 |
| 3rd | 107,365.2 | 20 | 3 | 200 | relu | 3 |
| 4th | 97,758.4 | 20 | 1 | 100 | relu | 3 |
| 5th | 66,961.5 | 20 | 4 | 100 | relu | 3 |
| 6th | 67,873.2 | 20 | 3 | 100 | relu | 3 |
| Market | best_mean | best_epoch | best_n_dense | best_n_conv | best_fil | best_kernel | best_neuron |
|---|---|---|---|---|---|---|---|
| 1st | 159,051 | 50 | 2 | 1 | 16 | 7 | 50 |
| 2nd | 117,692 | 50 | 2 | 1 | 8 | 5 | 100 |
| 3rd | 95,489.6 | 100 | 1 | 3 | 8 | 5 | 100 |
| 4th | 89,170.1 | 100 | 1 | 3 | 8 | 3 | 100 |
| 5th | 58,594.2 | 100 | 2 | 1 | 8 | 5 | 100 |
| 6th | 65,483.3 | 50 | 3 | 3 | 8 | 7 | 50 |
| Market | best_mean | best_n_LSTM | best_n_dense | best_unit | best_neuron | best_dropout |
|---|---|---|---|---|---|---|
| 1st | 163,648 | 1 | 4 | 20 | 40 | 0.2 |
| 2nd | 147,153 | 1 | 2 | 10 | 100 | 0.2 |
| 3rd | 133,267 | 1 | 1 | 20 | 50 | 0 |
| 4th | 125,865 | 1 | 3 | 10 | 100 | 0 |
| 5th | 102,703 | 1 | 1 | 100 | 100 | 0 |
| 6th | 101,212 | 1 | 2 | 100 | 40 | 0 |
| Market | best_mean | best_n_LSTM | best_n_dense | best_unit | best_neuron | best_dropout |
|---|---|---|---|---|---|---|
| 1st | 168,036 | 1 | 4 | 50 | 100 | 0 |
| 2nd | 137,046 | 1 | 3 | 10 | 40 | 0.1 |
| 3rd | 134,913 | 1 | 3 | 20 | 40 | 0 |
| 4th | 120,819 | 1 | 2 | 10 | 100 | 0.1 |
| 5th | 93,953.1 | 1 | 4 | 50 | 100 | 0 |
| 6th | 93,598.4 | 1 | 4 | 10 | 100 | 0.1 |
| Market | best_mean | best_n_CNN | best_n_LSTM | best_n_dense | best_filter | best_kernel | best_unit | best_dropout | best_neuron |
|---|---|---|---|---|---|---|---|---|---|
| 1st | 214,795 | 2 | 1 | 2 | 8 | 3 | 20 | 0.2 | 50 |
| 2nd | 194,554 | 2 | 2 | 4 | 8 | 5 | 100 | 0 | 5 |
| 3rd | 187,181 | 2 | 1 | 4 | 8 | 7 | 20 | 0.1 | 10 |
| 4th | 164,056 | 2 | 2 | 4 | 8 | 3 | 20 | 0.2 | 10 |
| 5th | 138,093 | 1 | 1 | 3 | 16 | 5 | 20 | 0.2 | 20 |
| 6th | 125,495 | 1 | 1 | 4 | 16 | 3 | 10 | 0 | 10 |
| Market | best_mean | best_epoch | best_n_dense | best_n_trans | best_head | best_dim | best_dropout | best_neuron |
|---|---|---|---|---|---|---|---|---|
| 1st | 210,978 | 50 | 3 | 1 | 8 | 10 | 0.1 | 200 |
| 2nd | 196,384 | 50 | 3 | 3 | 8 | 20 | 0 | 200 |
| 3rd | 185,167 | 50 | 3 | 3 | 8 | 10 | 0.2 | 200 |
| 4th | 163,819 | 50 | 3 | 2 | 8 | 50 | 0 | 200 |
| 5th | 139,121 | 50 | 3 | 3 | 8 | 50 | 0.1 | 200 |
| 6th | 126,295 | 50 | 3 | 1 | 8 | 10 | 0 | 200 |
References
- Jefatura del Estado. Law 54/1997, of November 27, of the Electrical Sector. 1997. Available online: https://www.boe.es/buscar/pdf/1997/BOE-A-1997-25340-consolidado.pdf (accessed on 7 September 2024). (In Spanish).
- Jefatura del Estado. Law 24/2013, of December 26, of the Electric Sector. 2012. Available online: https://www.boe.es/buscar/pdf/2013/BOE-A-2013-13645-consolidado.pdf (accessed on 6 September 2024). (In Spanish).
- Agosti, L.; Padilla, A.J.; Requejo, A. El mercado de generación eléctrica en España: Estructura, funcionamiento y resultados. Econ. Ind. 2007, 364, 21–37. [Google Scholar]
- The Spanish Electricity Market. Available online: https://www.energigreen.com/mercado-electrico-espanol/ (accessed on 9 September 2024). (In Spanish).
- Energía-y-Sociedad. The Process of Liberalization and Separation of Regulated Activities. 2023. Available online: https://www.energiaysociedad.es/manual-de-la-energia/4-1-el-proceso-de-liberalizacion-y-separacion-de-actividades-reguladas/ (accessed on 6 September 2024). (In Spanish).
- Operador del Mercado Ibérico de Energía. Daily Market Operation. Available online: https://www.omie.es/sites/default/files/inline-files/mercado_diario.pdf (accessed on 6 September 2024).
- Operador del Mercado Ibérico de Energía. Details of How the Intraday Market Works. Available online: https://www.omie.es/sites/default/files/inline-files/mercados_intradiario_y_continuo.pdf (accessed on 6 September 2024). (In Spanish).
- Nowotarski, J.; Weron, R. Recent advances in electricity price forecasting: A review of probabilistic forecasting. Renew. Sustain. Energy Rev. 2018, 81, 1548–1568. [Google Scholar] [CrossRef]
- Hong, T.; Pinson, P.; Wang, Y.; Weron, R.; Yang, D.; Zareipour, H. Energy Forecasting: A Review and Outlook. IEEE Open Access J. Power Energy 2020, 7, 376–388. [Google Scholar] [CrossRef]
- Lago, J.; Marcjasz, G.; De Schutter, B.; Weron, R. Forecasting day-ahead electricity prices: A review of state-of-the-art algorithms, best practices and an open-access benchmark. Appl. Energy 2021, 293, 116983. [Google Scholar] [CrossRef]
- Ziel, F.; Steinert, R. Electricity price forecasting using sale and purchase curves: The X-Model. Energy Econ. 2016, 59, 435–454. [Google Scholar] [CrossRef]
- Aneiros, G.; Vilar, J.M.; Cao, R.; Muñoz San Roque, A. Functional Prediction for the Residual Demand in Electricity Spot Markets. IEEE Trans. Power Syst. 2013, 28, 4201–4208. [Google Scholar] [CrossRef]
- Kulakov, S. X-Model: Further Development and Possible Modifications. Forecasting 2020, 2, 20–35. [Google Scholar] [CrossRef]
- Shah, I.; Lisi, F. Forecasting of electricity price through a functional prediction of sale and purchase curves. J. Forecast. 2020, 39, 242–259. [Google Scholar] [CrossRef]
- Soloviova, M.; Vargiolu, T. Efficient Representation of Supply and Demand Curves on Day-Ahead Electricity Markets. J. Energy Mark. 2021, 14, 99–126. [Google Scholar] [CrossRef]
- Pinhão, M.; Fonseca, M.; Covas, R. Electricity Spot Price Forecast by Modelling Supply and Demand Curve. Mathematics 2022, 10, 2012. [Google Scholar] [CrossRef]
- Mestre, G.; Sánchez-Úbeda, E.F.; Muñoz San Roque, A.; Alonso, E. The arithmetic of stepwise offer curves. Energy 2022, 239, 122444. [Google Scholar] [CrossRef]
- Foronda-Pascual, D.; Alonso, A.M. Prediction of Matching Prices in Electricity Markets through Curve Representation. Energies 2023, 16, 7812. [Google Scholar] [CrossRef]
- Li, Z.; Alonso, A.M.; Elías, A.; Morales, J.M. Clustering and forecasting of day-ahead electricity supply curves using a market-based distance. Int. J. Electr. Power Energy Syst. 2024, 58, 109977. [Google Scholar] [CrossRef]
- European Union. Overview of European Electricity Markets. 2016. Available online: https://energy.ec.europa.eu/system/files/2017-08/overview_of_european_electricity_markets_0.pdf (accessed on 1 October 2024).
- Liu, J.; Wang, J.; Cardinal, J. Evolution and reform of UK electricity market. Renew. Sustain. Energy Rev. 2022, 161, 112317. [Google Scholar] [CrossRef]
- Comisión Nacional de los Mercados y la Competencia. Resolution of May 6, 2021, of the National Commission of Markets and Competition, Approving the Operating Rules of the Daily and Intraday Electricity Markets for Their Adaptation of the Supply Limits to the European Matching Limits. 2021. Available online: https://www.boe.es/boe/dias/2021/05/20/pdfs/BOE-A-2021-8362.pdf (accessed on 6 September 2024). (In Spanish).
- Operador del Mercado Ibérico de Energía. Evolution of the Electricity Market. Annual Report. 2023. Available online: https://www.omie.es/sites/default/files/2023-02/Informe Anual 2022 ESP.pdf (accessed on 6 September 2024). (In Spanish).
- Real Observatorio de la Armada. Official Time Changes in Spain Since 1918. Available online: https://armada.defensa.gob.es (accessed on 6 September 2024). (In Spanish).
- Diebold, F.X.; Mariano, R.S. Comparing predictive accuracy. J. Bus. Econ. Stat. 1995, 20, 253–263. [Google Scholar] [CrossRef]
- Harvey, D.; Leybourne, S.; Newbold, P. Testing the equality of prediction mean squared errors. Int. J. Forecast. 1997, 13, 281–291. [Google Scholar] [CrossRef]
- Hyndman, R.; Athanasopoulos, G.; Bergmeir, C.; Caceres, G.; Chhay, L.; O’Hara-Wild, M.; Petropoulos, F.; Razbash, S.; Wang, E.; Yasmeen, F. Forecast: Forecasting Functions for Time Series and Linear Models; R Package Version 8.23.0; The R Foundation: Indianapolis, IN, USA, 2024. [Google Scholar]
- Alpaydin, E. Multilayer Perceptrons. In Introduction to Machine Learning; MIT Press: Cambridge, MA, USA, 2014; pp. 267–316. [Google Scholar]
- Afzal, S.; Ziapour, B.M.; Shokri, A.; Shakibi, H.; Sobhani, B. Building energy consumption prediction using multilayer perceptron neural network-assisted models; comparison of different optimization algorithms. Energy 2023, 282, 128446. [Google Scholar] [CrossRef]
- O’Shea, K.; Nash, R. An Introduction to Convolutional Neural Networks. arXiv 2015, arXiv:1511.08458. [Google Scholar]
- Hu, H.; Gong, S.; Taheri, B. Energy demand forecasting using convolutional neural network and modified war strategy optimization algorithm. Heliyon 2024, 10, e27353. [Google Scholar] [CrossRef]
- Staudemeyer, R.C.; Morris, E.R. Understanding LSTM—A tutorial into Long Short-Term Memory Recurrent Neural Networks. arXiv 2019, arXiv:1909.09586. [Google Scholar]
- Peng, L.; Wang, L.; Xia, D.; Gao, Q. Effective energy consumption forecasting using empirical wavelet transform and long short-term memory. Energy 2022, 238, 121756. [Google Scholar] [CrossRef]
- da Silva, D.G.; de Moura Meneses, A.A. Comparing Long Short-Term Memory (LSTM) and bidirectional LSTM deep neural networks for power consumption prediction. Energy Rep. 2023, 10, 3315–3334. [Google Scholar] [CrossRef]
- Vaswani, A.; Shazeer, N.; Parmar, N.; Uszkoreit, J.; Jones, L.; Gomez, A.N.; Kaiser, L.; Polosukhin, I. Attention Is All You Need. arXiv 2023, arXiv:1706.03762. [Google Scholar]
- Chan, J.W.; Yeo, C.K. A Transformer based approach to electricity load forecasting. Electr. J. 2024, 37, 107370. [Google Scholar] [CrossRef]
- Benjamin, D.; Berger, J.O.; Johannesson, M.; Nosek, B.A.; Wagenmakers, E.J.; Berk, R.; Bollen, K.A.; Brown, L.; Camerer, C. Redefine statistical significance. Nat. Hum. Behav. 2018, 2, 6–10. [Google Scholar] [CrossRef]





| 1st Session | 2nd Session | 3rd Session | 4th Session | 5th Session | 6th Session | |
|---|---|---|---|---|---|---|
| Market opening | 14:00 D-1 | 17:00 D-1 | 21:00 D-1 | 1:00 D | 4:00 D | 9:00 D |
| Market close | 15:00 D-1 | 17:50 D-1 | 21:50 D-1 | 1:50 D | 4:50 D | 9:50 D |
| Matching | 15:00 D-1 | 17:50 D-1 | 21:50 D-1 | 1:50 D | 4:50 D | 9:50 D |
| PIBCA program publication | 15:07 D-1 | 17:57 D-1 | 21:57 D-1 | 1:57 D | 4:57 D | 9:57 D |
| PHF publication of the OSs | 16:20 D-1 | 18:20 D-1 | 22:20 D-1 | 2:20 D | 5:20 D | 10:20 D |
| Market horizon | 24 h | 28 h | 24 h | 20 h | 17 h | 12 h |
| (Time period) | (1–24 D) | (21–24 D-1 & 1–24 D) | (1–24 D) | (5–24 D) | (8–24 D) | (13–24 D) |
| Hour | Date | Country | Unit | Offer Type | Buy/Sell Energy | Buy/Sell Price | Offered/ Matched |
|---|---|---|---|---|---|---|---|
| 1 | 01/01/2020 | MI | ENDEC04 | C | 22.0 | 180.30 | O |
| 1 | 01/01/2020 | MI | ENDE01 | C | 1237.7 | 180.30 | O |
| 1 | 01/01/2020 | MI | EE21C01 | C | 1434.7 | 180.30 | O |
| Market | Mean | Median | SD | MAD |
|---|---|---|---|---|
| 1st | 161,035 | 119,650 | 144,772 | 57,635 |
| 2nd | 201,648 | 153,984 | 170,172 | 82,586 |
| 3rd | 137,397 | 101,724 | 128,090 | 50,949 |
| 4th | 190,072 | 149,545 | 155,449 | 77,801 |
| 5th | 198,397 | 157,803 | 158,881 | 84,706 |
| 6th | 117,832 | 88,306 | 101,669 | 44,601 |
| Market | Mean | Median | SD | MAD |
|---|---|---|---|---|
| 1st | 182,371 | 142,978 | 140,956 | 67,747 |
| 2nd | 126,912 | 101,131 | 91,371 | 42,882 |
| 3rd | 106,281 | 85,497 | 74,003 | 31,410 |
| 4th | 99,136 | 79,452 | 69,457 | 30,375 |
| 5th | 71,913 | 57,084 | 54,572 | 22,910 |
| 6th | 75,030 | 61,623 | 50,305 | 24,885 |
| Market | Mean | Median | SD | MAD |
|---|---|---|---|---|
| 1st | 157,291 | 121,796 | 120,665 | 53,156 |
| 2nd | 119,827 | 97,033 | 88,847 | 39,610 |
| 3rd | 88,953 | 71,184 | 66,079 | 26,554 |
| 4th | 85,012 | 68,360 | 61,345 | 27,868 |
| 5th | 60,332 | 46,474 | 48,765 | 17,705 |
| 6th | 77,024 | 64,683 | 50,501 | 25,960 |
| Market | Mean | Median | SD | MAD |
|---|---|---|---|---|
| 1st | 807,905 | 631,225 | 525,548 | 241,955 |
| 2nd | 454,070 | 438,301 | 207,141 | 115,938 |
| 3rd | 493,333 | 407,004 | 299,729 | 120,577 |
| 4th | 305,885 | 284,560 | 142,275 | 77,029 |
| 5th | 621,313 | 507,990 | 408,766 | 177,791 |
| 6th | 369,563 | 325,991 | 185,801 | 86,222 |
| Market | Mean | Median | SD | MAD |
|---|---|---|---|---|
| 1st | 9,949,320 | 7,113,820 | 8,181,740 | 3,309,050 |
| 2nd | 1,335,310 | 509,853 | 1,676,470 | 243,729 |
| 3rd | 396,317 | 368,620 | 163,949 | 80,360 |
| 4th | 363,259 | 346,863 | 189,974 | 95,969 |
| 5th | 318,561 | 298,485 | 156,222 | 78,313 |
| 6th | 4,114,860 | 3,600,920 | 2,997,620 | 1,386,870 |
| Market | Mean | Median | SD | MAD |
|---|---|---|---|---|
| 1st | 237,219 | 192,560 | 165,774 | 73,009 |
| 2nd | 270,741 | 238,881 | 190,208 | 105,736 |
| 3rd | 224,195 | 187,946 | 153,898 | 74,907 |
| 4th | 199,779 | 164,432 | 142,618 | 67,457 |
| 5th | 178,912 | 144,792 | 132,740 | 61,505 |
| 6th | 180,031 | 158,938 | 129,836 | 74,575 |
| Market | Mean | Median | SD | MAD |
|---|---|---|---|---|
| 1st | 202,487 | 157,074 | 146,240 | 47,723 |
| 2nd | 236,436 | 192,165 | 168,999 | 74,396 |
| 3rd | 203,799 | 164,773 | 146,345 | 55,942 |
| 4th | 182,406 | 146,881 | 132,737 | 55,306 |
| 5th | 161,450 | 129,051 | 116,126 | 43,136 |
| 6th | 143,626 | 120,655 | 98,667 | 41,839 |
| Market | Naive | MLP | CNN | LSTM | BiLSTM | CNN+LSTM | Transformer |
|---|---|---|---|---|---|---|---|
| 1st | 161,035 | 182,371 | 157,291 | 807,905 | 9.94932 × 106 | 237,219 | 202,487 |
| 2nd | 201,648 | 126,912 | 119,827 | 454,070 | 1.33531 × 106 | 270,741 | 236,436 |
| 3rd | 137,397 | 106,281 | 88,953.2 | 493,333 | 396,317 | 224,195 | 203,799 |
| 4th | 190,072 | 99,136.6 | 85,012.3 | 305,885 | 363,259 | 199,779 | 182,406 |
| 5th | 198,397 | 71,913.8 | 60,331.9 | 621,313 | 318,561 | 178,912 | 161,450 |
| 6th | 117,832 | 75,030.5 | 77,023.6 | 369,563 | 4.11486 × 106 | 180,031 | 143,626 |
| Market | DM | p-Value |
|---|---|---|
| 1st | −4.9711 | ≪0.005 |
| 2nd | 31.9851 | ≪0.005 |
| 3rd | 17.5485 | ≪0.005 |
| 4th | 32.7746 | ≪0.005 |
| 5th | 46.5074 | ≪0.005 |
| 6th | 19.0330 | ≪0.005 |
| Market | DM | p-Value |
|---|---|---|
| 1st | 6.1157 | ≪0.005 |
| 2nd | 34.4745 | ≪0.005 |
| 3rd | 21.8768 | ≪0.005 |
| 4th | 34.0464 | ≪0.005 |
| 5th | 47.9174 | ≪0.005 |
| 6th | 18.4540 | ≪0.005 |
| Market | DM | p-Value |
|---|---|---|
| 1st | 34.2805 | ≪0.005 |
| 2nd | 6.7702 | ≪0.005 |
| 3rd | 12.7954 | ≪0.005 |
| 4th | 16.5296 | ≪0.005 |
| 5th | 22.0421 | ≪0.005 |
| 6th | −1.9850 | 0.0239 |
Disclaimer/Publisher’s Note: The statements, opinions and data contained in all publications are solely those of the individual author(s) and contributor(s) and not of MDPI and/or the editor(s). MDPI and/or the editor(s) disclaim responsibility for any injury to people or property resulting from any ideas, methods, instructions or products referred to in the content. |
© 2024 by the authors. Licensee MDPI, Basel, Switzerland. This article is an open access article distributed under the terms and conditions of the Creative Commons Attribution (CC BY) license (https://creativecommons.org/licenses/by/4.0/).
Share and Cite
Vivó, G.; Alonso, A.M. Prediction of Intraday Electricity Supply Curves. Appl. Sci. 2024, 14, 10663. https://doi.org/10.3390/app142210663
Vivó G, Alonso AM. Prediction of Intraday Electricity Supply Curves. Applied Sciences. 2024; 14(22):10663. https://doi.org/10.3390/app142210663
Chicago/Turabian StyleVivó, Guillermo, and Andrés M. Alonso. 2024. "Prediction of Intraday Electricity Supply Curves" Applied Sciences 14, no. 22: 10663. https://doi.org/10.3390/app142210663
APA StyleVivó, G., & Alonso, A. M. (2024). Prediction of Intraday Electricity Supply Curves. Applied Sciences, 14(22), 10663. https://doi.org/10.3390/app142210663

