Next Article in Journal
Plant Management and Soil Improvement in Specialty Crop Production
Next Article in Special Issue
Size-Dependent Mechanical Properties and Excavation Responses of Basalt with Hidden Cracks at Baihetan Hydropower Station through DFN–FDEM Modeling
Previous Article in Journal
Application of Artificial Intelligence Methods in Processing of Emotions, Decisions, and Opinions
Previous Article in Special Issue
Application of Dimension Extending Technique to Unified Hardening Model
 
 
Font Type:
Arial Georgia Verdana
Font Size:
Aa Aa Aa
Line Spacing:
Column Width:
Background:
Article

Risk Assessment of TBM Construction Based on a Matter-Element Extension Model with Optimized Weight Distribution

College of Water Resources and Civil Engineering, Xinjiang Agricultural University, Urumqi 830052, China
*
Author to whom correspondence should be addressed.
Appl. Sci. 2024, 14(13), 5911; https://doi.org/10.3390/app14135911
Submission received: 14 May 2024 / Revised: 27 June 2024 / Accepted: 4 July 2024 / Published: 6 July 2024
(This article belongs to the Special Issue Advances in Failure Mechanism and Numerical Methods for Geomaterials)

Abstract

In order to effectively address the potential hazards associated with the construction of Phase II of the YE Water Supply Project’s KS tunnel in Xinjiang, this study employs the WBS-RBS (Work Breakdown Structure and Risk Breakdown Structure) method for risk identification. This approach aims to identify various risks that may arise during TBM (Tunnel Boring Machine) construction. To prevent incomplete risk factor identification resulting from subjective judgment, a risk index system is established based on the identification results. Subsequently, a matter-element extension model is utilized to quantify the risk factors within this index system, and comprehensive weights are determined using variable weight theory to assess construction risk levels. Importance analysis of each index is then conducted to identify those with significant impact on risk evaluation outcomes. Finally, by comparing actual engineering cases with other risk evaluation models, this paper verifies the reliability of its constructed risk assessment model and proposes measures for controlling potential risks based on these evaluations. The paper provides a clear definition of safety risks encountered during TBM construction and conducts comprehensive risk assessments as a valuable reference for research related to the tunnel boring machine construction period in tunnel engineering.

1. Introduction

The growing trend of adopting the TBM tunnel excavation method instead of the traditional drilling and blasting approach has become increasingly apparent in various industries, including water conservation, transportation, and mining. When constructing tunnels and underground engineering projects, risks are influenced by objective factors such as geological conditions and design requirements, as well as subjective factors like construction technology expertise, disaster detection capabilities, and site organization and coordination abilities. These two sets of factors have a mutual impact on each other’s levels. Due to the complex risks associated with TBM construction, there are multiple risk indicators that need identification; however, the evaluation results for each individual indicator often vary. Therefore, it is neither reasonable nor practical to solely rely on a highest-principle approach for grading evaluations. Consequently, this issue falls under the category of a typical comprehensive evaluation problem [1].
To enhance the scientific robustness of risk assessment in tunnel or underground construction projects, researchers have proposed various methodologies, including the application of techniques such as the Monte Carlo method, artificial neural network method, analytic hierarchy process, entropy weight method, and risk assessment matrix method. F. Sun [2] has developed an improved variable weight model for the comprehensive evaluation of shield tunnel structural health. The model employs variable weight theory to replace traditional fixed weights, thereby reflecting the impact of index value fluctuations on index weights; Y. Li [3] utilizes preference ratio and anti-entropy weight methods to analyze the weight of each index factor. Additionally, considering the uncertainty and fuzziness associated with landslide risk factors in diversion tunnel construction, an entropy theory-extension cloud model-based evaluation system is established for assessing diversion tunnel landslide risks; X. Wu [4] achieves more accurate and effective safety risk evaluations of existing tunnels under shield underpasses by establishing a relatively perfect safety risk evaluation system and standard while introducing evidence theory that can effectively integrate uncertain information. Furthermore, fuzzy Bayesian networks are combined to build a safety evaluation model for existing tunnels under shield underpasses; Z. Song [5] uses an analytic hierarchy process to calculate weights for all risk factors in a risk assessment index system and constructs a fuzzy relationship matrix combined with membership vectors obtained through the expert evaluation method. A nonlinear operator is introduced for comprehensive analysis of the risk weights and fuzzy relation matrix, resulting in a new TBM construction risk assessment model based on nonlinear FAHP; L. Zhang [6] proposes a security analysis method based on a fuzzy Bayesian network that takes into account judgment ability level, reliability level auxiliary pipe revealing data reliability when determining basic events’ fuzzy probability occurrence along with expert confidence indexes; Y. Zhao [7] developed a comprehensive model that combines a fuzzy analytic hierarchy process (FAHP) and set pair analysis (SPA) to assess safety risks in long highway operation tunnels. This integration successfully merges subjective weighting with objective evaluation, resulting in improved accuracy of these assessments.
The construction of the tunnel project is not only large-scale, very deep, and long-distance, but in this kind of tunnel project, the site geological conditions, natural climate, and hydrological conditions are more complex, and in the construction process, under the joint action of various risk factors, the risk of accidents is very high. Therefore, the use of a multi-factor risk assessment system can result in a better start for the whole project, do a good job of safety risk analysis for the overall construction, and analyze the internal links of various risk factors, so as to ensure the normal progress of tunnel construction.
The approach utilized in computing the index weight plays a crucial role in influencing the overall assessment mechanism. The three primary techniques for ascertaining index weight are subjective, objective, and comprehensive weighting [8]. There exist diverse methodologies for assessing subjective and objective weights in risk evaluation. Subjective approaches, such as the analytic hierarchy process and Delphi method, rely on expert opinions but may be susceptible to subjectivity bias. Objective approaches, including principal component analysis, the variable coefficient method, and the entropy weight method, enhance objectivity but necessitate an adequate sample size. A comprehensive approach that integrates both subjective and objective factors can yield a more balanced assessment of risk indices without being constrained by a singular methodology.
In light of the limitations associated with the aforementioned methods, a novel endeavor is undertaken to reasonably determine the weightage of indices in TBM construction risk assessment. By employing the work risk decomposition method, a more comprehensive index system for TBM construction risk assessment is formulated. Subsequently, the TBM construction risk index is quantitatively analyzed using matter-element extension theory, and the index weights are enhanced and revised through an improved variable weight analytic hierarchy process to rectify evaluation distortions caused by fluctuations in index values.
This paper aims to analyze and study the TBM construction section of the KS tunnel in the Xinjiang YE water supply project, conduct a comprehensive risk evaluation of the construction projects, obtain safety risk levels for tunnel sections based on the results of the evaluation, summarize corresponding measures to deal with risks, and enrich existing safety evaluation theories for tunnel construction projects. The importance analysis can conduct a more explicit study on the change of index parameters and obtain the impact of the change of index on the weight. According to the results, we can know which aspects of risk have greater impacts on the project. Additionally, this research on TBM construction risks in Xinjiang’s KS tunnel can help design, construction, and management units identify potential risks in similar engineering projects and timely adjust their plans accordingly.
The structure of this paper is as follows: First, we will outline the relevant theoretical basis and research progress of existing TBM risk assessment models, and clarify the positioning and innovation of this study. Then, the proposed model framework is introduced in detail, including model selection, variable selection, and evaluation index system. Then, the empirical calculation process and analysis results of the model are described. Finally, we will summarize the research results, discuss the limitations of the model, and propose future research directions.

2. Research Status of TBM Risk Assessment

Jafar Khademi used the fuzzy analytic hierarchy process to evaluate potential risks such as unstable surrounding rock, water influx, and collapse encountered during TBM excavation [9]. GU identified key risk factors in TBM construction and evaluated tunneling risks using the fuzzy comprehensive risk assessment method with entropy weight. The risks were mainly divided into equipment risk, excavation risk, and auxiliary construction risk based on engineering characteristics, further subdivided into more specific basic risks [10]. SI analyzed major geological issues encountered in deep-buried water diversion tunnel TBM construction and evaluated them based on indicators such as surrounding rock stability, high ground stress, and groundwater conditions [11]. LIU selected excavation parameters and rock mass parameters as evaluation indicators for coal mine tunnel TBM construction to assess the tunability of the tunnel and adaptability of TBM excavation layers [12]. WEN conducted a risk assessment for jamming caused by collapses during TBM excavation; they studied the relationship between torque and resistance moments of excavation parameters, established a probability calculation formula for jamming based on probability theory, and then evaluated the risk of the TBM cutterhead according to probability levels [13]. LIN assessed the occurrence of jams in TBM construction through interpretation structure models and Bayesian networks; they analyzed factors such as the surrounding rock grade, fault zones, and groundwater conditions that contribute to TBMs getting stuck using posterior probability analysis [14]. Leone studied the risks generated when TBMs pass through squeezing formations during construction; they conducted simulation studies using extensive data to analyze the adaptability of TBMs to various geological conditions, and nonlinear regression equations were established based on excavation parameters for evaluation purposes [15]. Leone adopted a linear elastic–viscoplastic constitutive model based on Perzyna overstress theory, which considered the time dependence of plastic deformation through a single viscous parameter [16]. Ji analyzed the maximum shear stress of surrounding rock and finally obtained the variation law of displacement and shear stress of surrounding rock with different deterioration degrees and different dip angles [17]. Based on field evaluation and numerical analysis, Lu proposed risk control countermeasures such as TBM driving parameter control, sand and gravel backfill, backfill grouting, and bottom grouting [18].
According to the aforementioned studies, it is evident that different studies place varying emphasis on indicator selection for different types of risks in TBM construction risk assessment. These disparities primarily stem from the diverse and intricate nature of the geological conditions, engineering environment, equipment performance, and construction technology involved in TBM construction. However, fully identifying these risks throughout the entire construction process often proves challenging. The risks associated with tunneling using a TBM is a dynamic issue wherein different risk factors may arise during various stages of construction or changes in surrounding rock types at the excavation face. For instance, during excavation, particular attention must be given to geological conditions and the safety performance of TBM equipment. Geological conditions can be influenced by numerous factors such as underground rock formation stability and groundwater conditions, which impact both the safety and efficiency of construction operations. Simultaneously, inherent risks are also present within TBM equipment itself; equipment failure or misoperation can lead to severe accidents. Therefore, it becomes imperative to systematically decompose risks layer by layer throughout each phase of the project when dealing with tunneling using a TBM.
In the TBM construction process, there are many uncertain risk factors, which are complicated and changeable. The complexity and uncertainty of these risk factors make the risk assessment of TBM construction extremely difficult. In order to assess the risk of TBM construction more accurately, considering that the risk in TBM construction is dynamic, full of uncertainty and fuzziness, a risk assessment method that can transform the qualitative analysis of uncertainty into quantitative analysis is needed to evaluate the risk of TBM construction of super-long tunnels.
Proper selection of evaluation methods in line with the characteristics of the project and an evaluation system built with multiple indicators can ensure the reliability of the evaluation process to the greatest extent, effectively improve the accuracy and application value of risk assessment, provide a solid decision basis for TBM operations, help risk control, and ensure the safe and efficient progress of the project. In the face of various unpredictable risks in tunnel boring machine construction, establishing a proper risk management system is the core element of successful tunnel construction.

3. Frameworks and Methodologies for Research

3.1. Frameworks for Research

Figure 1 illustrates the research framework for evaluating construction risks in TBM projects, based on an enhanced variable weight matter-element extension model. The framework comprises four main components: (1) Establishing a comprehensive indicator system to identify construction risks; (2) Using the matter-element extension model to quantify the index; (3) Developing an optimized method for weight allocation through an improved variable weight approach; (4) Validating the TBM construction risk assessment model through actual engineering projects to determine the level of construction risks.

3.2. Methodologies for Research

3.2.1. Risk Identification of TBM Construction Based on the WBS-RBS Method

One of the key factors in conducting TBM construction risk analysis is to determine the influential factors and establish a rational and effective risk index system [19]. In project management, the work breakdown structure (WBS) is a crucial concept that involves systematically dividing the construction process into a well-defined hierarchical framework. On the other hand, the risk breakdown structure (RBS) is a technique used to progressively categorize potential risks originating from major sources into more specific risk factors until they become negligible [20]. Hillson et al. [21] were the first to combine the WBS and RBS methods, constructing a WBS-RBS risk identification coupling matrix for projects, identifying project risk factors, and establishing a project’s risk index system.
In tunnel TBM construction project risk management, according to the site environment and risk management design requirements, the target and limit of risk identification are preliminarily determined. For TBM construction of the tunnel, the goal of risk identification mainly refers to whether safety accidents will occur during TBM construction, including but not limited to equipment failure, casualties, environmental pollution, etc. The boundary of risk identification is more extensive, from the preparation work before TBM construction to the work in TBM excavation construction, etc., for example, in the early stage of TBM construction, the equipment needs to be comprehensively inspected and debuggable to ensure its safety and reliability. It is also necessary to conduct systematic safety education and skill training for personnel to improve their safety awareness and operational skills. In the normal driving process, all parameters should be monitored in real time. In the initial support stage, it is necessary to strengthen the tunnel support in time to avoid a collapse caused by groundwater flooding or rock mass loosening. As for the auxiliary construction stage, such as drainage, ventilation, and transportation, it is also necessary to pay attention to problems such as equipment failure and personnel injury.
  • Establish the work breakdown structure for TBM construction [22,23,24,25,26,27].
The WBS work breakdown structure method is founded on system engineering theory, enabling the gradual subdivision of a complex and extensive TBM tunnel project. Based on management content, it is divided into a single operational process, further disintegrating the TBM construction project into multiple work units that possess excellent controllability and operability.
According to the Work Breakdown Structure (WBS) principle, the TBM construction process (W) is divided into two levels:
(1)
Based on the TBM construction process, the first level of the WBS is further decomposed into four stages: TBM construction preparation (W1), TBM tunneling construction (W2), TBM preliminary support (W3), and TBM auxiliary equipment construction (W4). The stage of TBM construction preparation primarily refers to the preparatory phase when the TBM enters the tunnel excavation.
(2)
According to the operation conditions of each process of TBM construction, the first-level WBS is adjusted and optimized according to the characteristics of the process to form a more detailed second-level WBS, which is specifically the operation unit, and intuitively indicates that the first-level construction stage is composed of various second-level operation units. The obtained decomposition structure for TMB construction work using WBS method is illustrated in Figure 2.
2
Establish the decomposition structure of TBM construction risk sources [28,29,30,31]
By using the RBS method, the potential risks in the TBM construction process are analyzed layer by layer, and a complete risk decomposition tree is established. In this process, the various risks that may cause accidents are classified and summarized in detail to ensure that the various safety risk factors faced in the TBM construction process can be clearly defined and presented in a clear and identifiable state.
The main risks in terms of geology include collapse, sudden water influx, rock burst, and leakage of harmful gases during excavation or support processes. Therefore, factors contributing to these risks are considered to be the joint effect of the rock integrity coefficient, elastic deformation performance index, rock mass classification, internal development degree of the rock mass, moisture content of the rock mass, structural planes within the rock mass, tunnel depth, and groundwater conditions. Additionally, considering the stability, bearing capacity, and deformation characteristics from a geological perspective involves examining the presence of joints and bedding planes as well as whether they are located in an earthquake-prone zone. From a rock-properties perspective, physical properties such as abrasion resistance, frost resistance, permeability resistance, creep behavior, thermal properties, and strength are taken into account.
The equipment risk factors include the type of TBM selected according to the geological conditions, the designed cutterhead structure, the cutters for different rock types, the design of different types of surrounding rock support, the selection of related auxiliary equipment, etc. The equipment risks with higher occurrence frequency include non-timely ventilation and dust removal, TBM blockage, discontinuous slagging, wear of the cutterhead or cutter, the setting of tunneling parameters inconsistent with the actual situation, etc.
The influence of human-made risks in TBM construction cannot be ignored. It has a high degree of importance, because the interference and influence of human factors on TBM construction exist all the time in the construction process, and human activities exist in every construction link, so the area of human-made risks is full of uncertainty. If the organizational structure of the construction management team is unreasonable, it may lead to poor information flow and low decision-making efficiency, affect construction safety, and even lead to serious human-made risks in TBM construction.
The environmental risks mainly include damage to underground pipelines, surface subsidence, groundwater pollution, and building damage. Surface subsidence is a common risk in the process of underground excavation, which may lead to different degrees of surface subsidence, and then lead to deformation and cracking of building structures. Damage to underground pipelines will lead to slow construction progress, so it is also a problem that cannot be ignored. Construction wastewater generated in the process of excavation, and the discharge of pumped leaking water, may pollute groundwater.
According to the engineering RBS principle, a two-level risk decomposition is conducted for TBM construction risk sources (R).
(1)
Firstly, the primary Risk Breakdown Structure (RBS) for TBM construction projects and associated environmental risks comprises four categories: geological risk sources (R1), equipment-related risk sources (R2), human-induced risk sources (R3), and surrounding environment risk sources (R4).
(2)
Secondly, through a comprehensive analysis of TBM construction risks, and considering the decomposition direction of first-level risk sources, various secondary-level risk structures are derived from the initial structure. The resulting decomposed structure for TBM construction risks obtained using the RBS method is depicted in Figure 3.
3
Establishment of TBM construction risk identification coupling matrix
According to the established Work Breakdown Structure (WBS) and Risk Breakdown Structure (RBS), the lower-level units of both structures are interconnected to derive the coupling matrix for identifying construction risks in TBM projects [25]. In this matrix, “0” signifies that there is no risk generated by the interconnection, while “1” indicates that a risk is generated.
In constructing the coupling matrix, we first ensure that each item (W) in the WBS and each risk category (R) in the RBS are clearly identified. Then, by matching one by one, we create a crossing point for each pair of W × R that indicates whether W creates a risk during construction. For example, hazardous gas leakage is generated by the intersection of “technical preparation W11” and “tunnel depth R15, construction management status R31, security education situation R33”, reflecting that the technical preparation caused by the tunnel burial depth is too large, the construction management is confused, and the safety education is insufficient, resulting in the occurrence of harmful gas, but non-timely feedback and solutions to the problem. The likelihood of accidents increases greatly. The outcomes of the TBM construction risk identification coupling matrix are presented in Table 1. Finally, the specific risks are as follows: (1) W11R15, W11R31, W11R33: Hazardous gas leakage; (2) W12R11, W12R12, W12R12, W21R14, W35R14: Rock blast; (3) W12R12, W12R13, W21R13, W35R13: Surging water; (4) W12R14, W12R15, W21R11: Collapse; (5) W13R22, W13R23, W22R21, W21R22, W41R15: Discontinuous slagging; (6) W14R21, W14R31, W14R32, W14R33: TBM jamming; (7) W21R21, W21R22, W21R31, W21R32, W21R33: Support destabilization deformation; (8) W21R41, W42R42: Poor ventilation and dust collection; (9) W23R21, W23R22, W24R21, W24R22: Deviation of digging direction; (10) W31R11, W31R23, W31R24, W31R25: Cave collapse; (11) W32R23, W22R21, W21R22: Water accumulated in the hole; (12) W31R31, W31R32, W33R13: Lining leakage; (13) W41R24, W41R31, W41R41, W41R42, W41R43: Underground pipeline damage; (14) W34R13, W34R14, W21R15, W44R15: Deformation of surrounding buildings; (15) W21R42, W13R21, W13R22, W44R42: Stratigraphic ground settlement.
Initially, a comprehensive evaluation is conducted to identify potential risks associated with TBM projects involving the construction of exceptionally long tunnels. This assessment follows a hierarchical structure model based on the fundamental principles of the analytic hierarchy process (AHP). The model comprises three layers: the target layer, criterion layer, and indicator layer, arranged in descending order of significance. The target layer represents TBM construction risk for ultra-long tunnels (U), while the criterion layer comprises U = [U1, U2, U3, U4]. The indicator layer includes geological risk U1 = [U11, U12, U13, U14], equipment risk U2 = [U21, U22, U23, U24], tunnel risk U3 = [U31, U32, U33, U34], and surrounding environment risk U4 = [U41, U42, U43]. The final system for evaluating TBM construction risks is illustrated in Figure 4.

3.2.2. Extended Matter-Element Model with Variable Weight

Based on the current research status both domestically and internationally, it is evident that the TBM has witnessed a growing utilization in the construction of lengthy tunnels and underground projects in recent years. However, traditional drilling and blasting methods have posed challenges in adapting their risk assessment techniques to the evolving trend of constructing ultra-long and deeply buried tunnels. Insufficient attention has been given to researching risk assessment methods specifically tailored for TBM construction [32].
The initial development of the Matter-Element Extension Model was based on a robust mathematical statistical framework. By integrating principles from both Matter-Element Theory and Extension Set Theory, this model systematically establishes classical domains, segment domains, index levels, and matter elements for precise evaluation using empirical data. Furthermore, it effectively determines appropriate weights while calculating the correlation degree between the target matter element and each rating level to derive a comprehensive assessment outcome. Since its inception, scholars have continuously enhanced this model through various research endeavors. For instance, they have addressed issues related to single index values exceeding limits by employing standardization techniques; furthermore, they have improved evaluation accuracy while minimizing information loss by introducing the closeness criterion as an alternative to the maximum membership criterion [33].
  • Basic matter-element extension model.
According to the principles of matter-element theory and extension set, the classical domains, segment domains, index levels, and matter elements are established in the extension model for evaluation purposes using collected data. Additionally, their respective weights are determined. Finally, the comprehensive rating is obtained by calculating the correlation degree of each rating level. In order to further enhance the model’s effectiveness, scholars address the issue of single index values exceeding the limit of matter elements through standardization processing and introduce a closeness criterion to improve evaluation accuracy while reducing information loss.
The assessment criteria are classified into j tiers based on national standards or pertinent specifications. The index weights are adjusted in accordance with the variable weight theory, considering the variability of each evaluation index value as opposed to using a traditional fixed-weight approach. Ultimately, the determination of the comprehensive evaluation level involves assessing the grade variable’s closeness and characteristic values for each level of the matter element being evaluated and selecting the highest obtained closeness value. Furthermore, we assess the closeness between consecutive levels by utilizing the distinctive value of the grade variable.
The fundamental unit that defines entities in terms of “thing, characteristic, and quantity” (represented by P, C, and V, respectively) is known as the matter element. It serves as the elementary logical operation unit in the extension model of matter elements. The proposed approach aims to optimize the evaluation model for extending matter elements through adjustments in variable weights.
(1)
Establish classical domain, section domain, and matter element to be evaluated.
Set
R j = P j , C i , V i j = P j c 1 v 1 j   c 2 v 2 j     c n v n j = P j c 1 a 1 j , b 1 j   c 2 a 2 j , b 2 j     c n a n j , b n j
The evaluation level denoted as P j , which is the jth level, consists of n unique features (c1, c2, …, cn) and their respective value ranges (v1, v2, …, vn), representing the classical domain. The defined boundaries for this value range are a n j and b n j .
R j = P , C i , V p j = P j c 1 v p 1   c 2 v p 2     c n v p n = P j c 1 a p 1 , b p 1   c 2 a p 2 , b p 2     c n a p n , b p n
In the equation,
P represents the overall grade of the evaluated entity;
vp1, vp2, …, vpn denotes the segment of P that corresponds to c1, c2, …, cn, specifically referred to as the nodal domain.
R 0 = P 0 , C i , V j = P 0 c 1 v 1   c 2 v 2     c n v n
In the equation, R 0 represents the matter element under evaluation; v1, v2, …, vn denotes the measured data of P 0 in relation to c1, c2, …, cn, respectively.
(2)
Normalized processing
The issue of exceeding the limit in the single index value of the matter element to be evaluated can be addressed through normalization processing, thereby normalizing the classical domain matter element R j .
R j = P j , C i , V i j = P j c 1 a 1 j b p 1 , b 1 j b p 1   c 2 a 2 j b p 2 , b 2 j b p 2     c n a n j b p n   , b n j b p n
Similarly, the evaluation element R 0 needs to be normalized, and the following results are obtained:
R 0 = P 0 c 1 v 1 / b p 1   c 2 v 2 / b p 2     c n v n / b p n
2.
Determine variable weights of indicators.
Firstly, according to the established prediction index system, the 1~9 scale method proposed by Saaty (Table 2) is adopted to analyze the relative importance of any two indicators at each level [34], and the judgment matrix of prediction indices is obtained.
Z ˜ = a i j m × n = Z ˜ 1 Z ˜ 1 Z ˜ 1 Z ˜ 2 Z ˜ 1 Z ˜ n Z ˜ 2 Z ˜ 1 Z ˜ 2 Z ˜ 2 Z ˜ 2 Z ˜ n Z ˜ n Z ˜ 1 Z ˜ n Z ˜ 2 Z ˜ n Z ˜ n .
where a i j is an element in the judgment matrix Z ˜ , and a i j satisfies a i j = 1 / a i j .
Secondly, Equations (7) and (8) are used to calculate the weight vector w i and the maximum eigenvalue λ m a x of Z ˜ [35]:
w i = j = 1 n Z ˜ i j 1 n / j = 1 n j = 1 n Z ˜ i j 1 n
λ m a x = i = 1 n M w i n w i
Finally, in order to further determine the reliability of the calculation results, Equation (9) is used to verify whether the matrix Z ˜ meets the consistency requirements:
C R = λ m a x n n 1 R I
The random consistency index ( R I ) value can be located in Table 3, indicating the location where it is presented.
When the CR value is less than 0.1, it indicates that the matrix Z ˜ meets the consistency requirements, and the calculation results are more reliable.
Through the introduction of the variable weight theory, the influence of index value volatility is taken into consideration based on traditional fixed weights, thereby achieving an improved dynamic calculation method for variable weight indices [36]. The variable weight theory is proposed based on factor space theory. The fundamental statement of the variable weight theory states that if X = ( x 1 , x 2 , , x n ) represents the factor state vector, w = w 1 , w 2 , , w n represents the factor constant weight vector, and S W = S 1 X , S 2 X , , S n X represents the state variable weight vector, then the variable weight vector W W = W 1 X , W 2 X , , W n X can be expressed as a normalized Hadamard product of W and S W :
w i X = w i S i X k = 1 n w k S k X
where i = 1, 2, …, n, S i X is the equilibrium function, usually an exponential function with the natural constant e as the base.
The analytic hierarchy process is utilized to assess the relative importance of each factor index, considering both subjective and objective evaluation methods. Moreover, the weight vector for state variables is determined by taking into account the equilibrium function and measured index value, thereby incorporating the impact of fluctuations on index weights. As a result, a calculation formula is devised to determine the variable weight of evaluation indices.
S i X = e 2 a L L * b i j v i p L * b i j a i j c
w i X = w i e 2 a L L * b i j v i p L * b i j a i j c k = 1 n w k S k X
where a = 1.0; v i = a i j , b i j ;
L represents the rating level of index v i ;
L * represents the overall count of ratings within the assessment system;
c determines the threshold used to determine the state of incentives or punishments within the equilibrium function.
After the normalization,
s = 2 α [ L L * b i j v i p L * b i j a i j
where s 1 , 1 ;
s < 0 , S i X < 1 is the penalty;
s > 0 , S i X > 1 is the reward.
Therefore, the constructed variable weight state vector can be used to punish or encourage according to the measured values of the index.
3.
The value of the closeness function needs to be determined.
Theoretical analysis [37] has led to the development of an asymmetric formula (p = 1) for evaluating closeness, which replaces the previous maximum membership criterion.
N = 1 1 n n + 1 i = 1 n D w i
where N represents the proximity factor;
D denotes the measure of separation;
W is the weight.
In addition, the proximity of the item under evaluation to every grade is:
N j p 0 = 1 1 n n + 1 i = 1 n D j v i w i X
In the formula,
D j v i = v i a i j + b i j 2 1 2 b i j a i j
where n represents the count of assessment indicators.
4.
Rank confirmation.
By
N j p 0 = m a x N j p 0
The evaluated item is categorized as level j .
N ¯ j p 0 = N j p 0 min j N j p 0 max j N j p 0 min j N j p 0

4. Summary of the Project and Preprocessing of Data

4.1. Summary of the Project

The KS tunnel spans a total length of 283 km and is constructed using eleven open-type [22] TBM machines. It reaches an average depth of 428 m, with a maximum depth of 774 m. This project is characterized by its immense scale, spanning multiple regions and involving complex construction techniques. The focus of this article lies on the research conducted on the section between KS 253 + 877 and KS 254 + 588 within the KS tunnel. From a rock classification perspective, this particular section comprises consecutive segments featuring different types of surrounding rocks, including II, IIIa, IV, and V. The geological profile of this section is shown in Figure 5.
Section KS 253 + 877~KS 254 + 045: The exposed lithology of this section comprises tuff, which is partially schistified, exhibiting a gray color and thick layered structure. The rock layers in this section are oriented at 280°NE ∠ 75~80°, indicating a medium-to-hard rock classification. The primary joint occurrence is observed at 290°NE ∠ 75°, with slight fissure development. Along the rock layer, there is a well-developed gray carbonaceous interlayer measuring 0.5~0.8 m in thickness and spaced at intervals of 3~10 m; their count amounts to five. These openings are sealed and exhibit smooth undulation. Within the interlayer, the surrounding rock experiences fragmentation and displays low strength along with minor wrinkling phenomena. The rock wall within this section remains dry while maintaining overall integrity of the surrounding rock mass, resulting in good chamber stability overall. Based on these observations, the overall categorization for the surrounding rocks within this section is determined as IIIa.
Section KS 254 + 045~KS 254 + 411: The exposed lithology of this section comprises tuff, characterized by a blue-gray hue and a thick layered structure. The orientation of the rock layers is 280°NE ∠ 75~80°, indicating its classification as hard rock. The primary joint occurrence is observed at 310°SW ∠ 5~15° and 290°NE ∠ 75°, with a total count of 10 joints exhibiting closed openings and smooth undulations. No fissures are present in this section. The rock walls within this segment exhibit dryness, showcasing excellent overall integrity of the surrounding rock mass and stable cavern conditions.
KS 254 + 411~KS 254 + 542 section: the exposed lithology of this section is the schistosity tuff, with gray-black to gray-green color and thick layered structure. The occurrence of the rock layer is 280°NE ∠ 75~80°, thus belonging to medium hard to soft rock. The surrounding rock of this section is affected by tectonic extrusion and hydrothermal alteration, with obvious crumple, strong carbonization, schistosity development, phyllite fossilization, chlorite fossilization, and a small amount of serpentine fossilization phenomenon; the main joint occurrence is 280~300°SW ∠ 30~45°, 290°NE ∠ 75°, the fracture surface is undulating and smooth and slightly rough and filled with phyllite film; the spacing is 1–3 m, running through the chamber, affected by the combination of fracture cutting and layer; the block drops 30~60 cm along the fracture surface, the waist line collapse on the right side of pile No. 254 + 454; the axial length is 3 m, the circumferential width is 1.3 m, and the radial depth is 1.7–2.0 m. The overall integrity of the surrounding rock of this section is poor to broken, the chamber is basically stable, and the local instability is significantly increased. The overall surrounding rock of this section is determined to be class IV. Since the pile No. 254 + 423, the surrounding rock gradually becomes complete, the fracture is less developed, and the strength is significantly increased.
KS 254 + 542~KS 254 + 588 section: the exposed lithology is the schistosity tuff, the color is mostly blue-gray, it has a thick layered structure, and the rock layer occurrence is 280°NE ∠ 75~80°, thus belonging to medium hard to soft rock. The surrounding rock in this section is obviously wrinkled, strongly altered, strongly carbonized, and poorly bonded between layers, with loose rock mass and loose rock fragments, and it is inferred that it has entered the fault influence zone. The surrounding rock fissures in this section are relatively developed, with main joint occurrence of 290~310°SW ∠ 40~55°; the fracture surface is undulating and smooth, slightly rough, filled with film-like or plate-like phyllite, gray-green, microcrystalline scale-like development, with width 0.1–5 cm, affected by the combination of fracture cutting and unfavorable layersl the top arch is often 40~60 cm, among which the pile number 254 + 582 collapse cavity is 2 m long in axial direction, 3 m wide in circumferential direction, and 5 m deep in radial direction. The overall surrounding rock category of this section is determined to be V.

4.2. The Selection of Risk Assessment Indices

There are numerous factors that can impact tunnel construction, and the mechanism of influence for different factors is intricate. Based on an analysis of existing research findings, these factors can generally be categorized as natural and geological factors. Given the complex characteristics of tunnel construction, it is quite challenging to conduct a thorough and all-encompassing examination of every factor that impacts tunnel construction. Additionally, it is essential to consider the accessibility of relevant information during engineering construction. This necessitates a comprehensive analysis of both the degree of influence on tunnel risk and the availability of information [38,39,40,41,42]. For the risks that may occur in tunnel TBM construction, the corresponding indicators are selected to reflect the degree of danger. For example, the elastic deformation energy index is usually used as the main evaluation index when evaluating the risk of rock burst. The elastic deformation energy index is the ratio of the elastic strain energy stored in the rock sample to its ability of plastic deformation dissipation before the peak strength of the rock is reached. To a certain extent, it can be used to directly reflect the degree of danger of rock burst. Similarly, the risk of sudden water inrush can be expressed by the groundwater level. The higher the value is, the greater the probability of risk occurrence is. The risk of landslide can be expressed by the rock integrity coefficient. The smaller the value is, the more fragmented the rock is in the tunneling process, and the more likely a landslide is. When selecting risk evaluation indicators for TBM construction, the first consideration is to select representative indicators of various risks, which can directly or indirectly reflect the actual situation of geological conditions, construction environment, equipment status, and human activities.
In this paper, 15 factors, including elastic deformation energy index (I1), groundwater level (I2), rock integrity coefficient (I3), gas monitoring data (I4), cutterhead torque (I5), ventilation system flow (I6), surrounding rock classification (I7), cutterhead speed (I8), entrance support effect (I9), water seepage (I10), protective layer thickness (I11), guiding system monitoring data (I12), underground space monitoring data (I13), underground pipeline detection data (I14), and surrounding building displacement monitoring number (I15) are selected to establish a tunnel risk evaluation index system. Referring to the classification standards of tunnel risk in literature, the occurrence probability of tunnel risk is divided into four grades: the ideal state (V1), low-risk state (V2), medium-risk state (V3), and high-risk state (V4). These four grades correspond to different states of indicators. Before the formal construction, the surveying unit conducted specific detection on different sections of the site and summarized the parameter range for rock formation and rock properties in this project. Therefore, this paper will use these parameter ranges as criteria for dividing risk levels. According to the data obtained from the preliminary survey and on-site measurement, relevant data are input into different grades, such as the elastic deformation energy index obtained from the on-site measurement, which is divided into different intervals according to the actual rock and rock properties obtained from the preliminary survey. For example, the interval [0, 2] represents no rockburst risk, the interval [2, 4] represents a weak rockburst risk, the interval [4, 6] represents a medium rockburst risk, and an interval greater than 6 represents a strong rockburst risk. The classification of rock mass integrity coefficient is also based on the coefficient value obtained from the preliminary survey, with the interval [0, 0.25] representing the faulted and broken rock segment, the interval [0.25, 0.5] representing the softer rock segment, the interval [0.5, 0.75] representing the medium hard rock segment, and the interval [0.75, 1] representing the hard rock segment. Similarly, other indicators are also divided in this way. Table 4 provides the evaluation indices and classification criteria for evaluating the risk of tunnels.
The present study focuses on the tunnel risk assessment by selecting eight representative sections of the tunnel as evaluation targets. Concrete instances are presented to illustrate the utilization of the extended variable weight matter-element model in evaluating construction hazards while conducting TBM tunneling.
According to the actual tunneling situation of the TBM, the rock strata, lithology, and groundwater level of the tunnel section were detected by equipment, and the data were sorted out and summarized in combination with the construction design and the design survey geological report of the KS tunnel, so as to obtain the specific parameter values of risk indicators. The parameter values of the risk factors of the eight selected tunnel sections are shown in Table 5.

4.3. Establishment of Matter-Element Model

In order to eliminate the problem of dimensionality disunity among different evaluation indices, Formulas (5) and (6) are adopted to normalize the data in Table 4 and Table 5. The outcomes of various evaluation indices pertaining to distinct risk levels are presented in Table 6 and Table 7 for the classical domain R i and segment domain R p , respectively.
The cumulative domain R p for each evaluation index is obtained by adding up its respective classical domain.

4.4. Variable Weight Determination

Table 8 and Table 9 present the outcomes acquired through employing the analytic hierarchy process with a scale method indexed at 9.
It is worth noting that in AHP analysis, the main diagonal element should theoretically be 1, which reflects the logical self-consistency that the relative importance of the same evaluation index is naturally 1. This study ensures the reliability of the judgment matrix through the consistency test, and all the main diagonal elements are 1 and meet the consistency requirements, thus ensuring the validity and reliability of the evaluation results.
The fuzzy analysis method was employed to analyze the results of weight changes, and auxiliary verification was conducted. It was determined that the changes in weights of indicators 7, 5, and 11 have a significant impact on the evaluation. Therefore, it is crucial to introduce an improved theory for adjusting weights in order to optimize them. The results can be observed in Figure 6.
By determining the constant weights of each evaluation indicator, and then using Equation (12) to calculate the variable weights of each indicator, where the variable weight factor α = 1.0, L* = 4, c = 0.2. For example, for indicator I1 of criterion K1#, the variable weight value can be calculated by substituting the constant weights and correlation coefficients into Equations (12) and (13). The specific calculation process is shown below. According to Equation (13), it is evident that the calculation process penalizes indicator I1 of criterion K1#, resulting in a smaller final result compared to its original value. Therefore, when the weight of this indicator decreases, other indicators will undergo changes accordingly. Increasing the weight of other more important indicators contributes to obtaining more accurate evaluation results. The complete calculation results of the weights of each evaluation index are shown in Table 10.
w i X = w i e 2 a L L * b i j v i p L * b i j a i j c k = 1 n w k S k X ,
= 0.187 × e 2 × 1 × 1 4 0.2 0.1 4 × 0.2 0 0.2 1.274 0.126

4.5. Determine Risk Grade

According to Formulas (15) and (16), the closeness degree of the tunnel section to different risk levels is calculated and standardized, so as to establish an evaluation system. To validate the reliability of the enhanced variable weight matter-element extension model, a comparative analysis was conducted with both the standard matter-element extension model and the fuzzy comprehensive evaluation method. The corresponding findings are presented in Table 11.
According to Table 11, the risk level of sections K1#, K2#, K3#, and K4# is V1 (ideal state). Although they are in an ideal excavation condition, it is still necessary to prepare for potential risks during construction. Sections K5# and K6# have a risk level of V2 (low-risk state), where the surrounding rock has a significant impact on excavation construction. To reduce risks, necessary support measures and drainage work should be implemented. The use of HW150 system arches (0.45 m) with steel reinforcement and embedded grouting pipes at collapse areas can help form a closed structure as soon as possible. Sections K7# and K8# have a risk level of V3 (medium-risk state) due to their location in fractured segments. However, with proper support and initial lining, normal construction can still be carried out. Similarly to sections mentioned earlier, HW150 system arches with steel reinforcement should be used for support along with embedded grouting pipes at collapse areas to form a closed structure promptly. During excavation construction, the possibility of sudden water influx or collapse risks should be considered based on changes in weightage and fuzzy evaluation criteria. Early detection work should be conducted in advance to mitigate these risks.
Based on the actual excavation conditions of sections KS 260 + 052 to KS 262 + 835, the joint and fracture development in the surrounding rock of sections, K1# and K2# is relatively minor. The overall integrity of the surrounding rock is good during TBM excavation, leaning more towards V1 grade (ideal state). However, the standard expandable model lacks adaptability when facing changes in indicators and is not sufficiently relevant to risk assessment issues. In contrast, sections K3# and K4# have no joint or fracture development in the surrounding rock, with mostly dry rock walls and high stability of the tunnel cavity. Under certain circumstances without considering other factors, it can be considered an ideal excavation environment.
Sections K5#, K6#, on the other hand, are affected by structural compression and hydrothermal alteration. They exhibit significant folding, strong carbonization, developed rock cleavage, and slight surface spalling during TBM construction. However, the fuzzy comprehensive models used do not consider coupling effects resulting from changes in multiple risk indicators, which deviates from reality.
Sections K7# and K8#, influenced by faulted fractured zones, show poor integrity of surrounding rocks with intense weathering and strong carbonization of rocks. The interlayer bonding is weak, with loose rocky material prone to fragmentation. During the TBM excavation process, severe block falling occurs along with local structural face collapse phenomena in some areas.

4.6. Significance Analysis

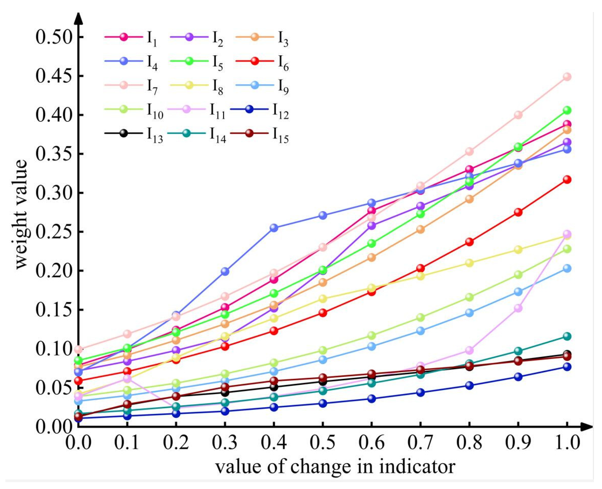
One indicator is selected for variable determination of its weight, with other indicators at a fixed value. However, when the weight of this indicator changes greatly, it is an important indicator; on the contrary, if the change is small, it is a less important indicator. The value of other indicators is controlled to 0.125, and the variable indicator is recorded on a scale from 0 to 1 by increments of 0.1. The result is shown in Figure 7, below.
In Figure 7, it can be seen that the weight values of each evaluation index are proportional to the actual measured values. This phenomenon occurs because the model takes into account the influence of the objective fluctuation of the index values on the index weight in the process of model establishment. The fluctuation of the index values in the figure can reflect the importance of the index, thus showing the influence of different indices on the tunnel risk. By sorting the changes in the weight values of each index in Figure 7 and ranking them in order of magnitude, the order is I7 > I5 > I1 > I3 > I2 > I4 > I6 > I11 > I8 > I10 > I9 > I14 > I13 > I15 > I12, with the magnitude of the changes in weight values increasing in the order of 0.449 > 0.406 > 0.388 > 0.381 > 0.365 > 0.356 > 0.317 > 0.247 > 0.245 > 0.228 > 0.203 > 0.116 > 0.093 > 0.090 > 0.077. According to the theory of variable weight, the weight values of each evaluation index will change with the change in actual measured values, and the magnitude of the change in the weight values of different indices is also different, because the model takes into account the objective fluctuation of the index values on the index weight.
Specific analysis of the data shows that the weight changes in the surrounding rock category I7 and cutter head torque I5 are obviously large, which indicates that the changes of these two indices have a great impact on the tunnel risk assessment results. The monitoring data I12 of the guidance system has the smallest variation, which indicates that the change in I12 has relatively little impact on the evaluation results in this model. The fluctuation range of the protective layer thickness I11 is relatively obvious, although the importance is not as high as the surrounding rock category; it is still obvious that the protective layer plays a role in reducing the risk.

5. Results

This paper provides a comprehensive discussion and summary of the risk categories associated with TBM construction in super-long tunnels. It also references the relevant literature and the actual construction site conditions to establish a risk evaluation index system for TBM construction in super-long tunnels. Furthermore, by utilizing the WBS-RBS method, the paper meticulously decomposes the TBM construction process step by step, analyzes specific risk sources, and forms a complete systematic risk identification matrix. The results obtained from this method successfully establish a reliable and high-quality risk evaluation index system for TBM construction in super-long tunnels that meets all necessary requirements.
The matter-element extension theory is selected as the research tool for quantitative data analysis. The subjective weights obtained through the analytic hierarchy process are utilized to fully incorporate subjective understanding and judgment of risks in actual projects, thereby humanizing risk evaluation and aligning it with real-world situations. Simultaneously, the objective weights obtained through variable weight theory comprehensively consider the influence of various objective factors on risk evaluation, enhancing its comprehensiveness and scientific rigor. After determining the comprehensive weight of risk assessment indices, the construction risk of a super-long tunnel TBM is evaluated using the asymmetric proximity degree. It can be inferred from the importance analysis that the probability of natural factors causing risks in TBM construction is relatively high, including geological conditions, hydrological environment, and climate conditions.
This paper considers the ability of the TBM to deal with risks and the impact of the interaction of risk factors in the establishment of the model, which makes the risk assessment based on the improved variable weight matter-element extension model in the actual tunneling process more objective and reasonable.
The evaluation outcomes of the improved variable weight matter-element extension model for tunnel risk assessment reveal a significant level of agreement with those obtained from both the standard matter-element extension model and fuzzy comprehensive evaluation method. However, it is important to note that the enhanced variable weight matter-element extension model demonstrates a stronger alignment with actual construction conditions and offers a more precise depiction of TBM excavation situations. These findings underscore its effectiveness and feasibility in accurately evaluating tunnel risks.
Although all three methods have achieved good results in tunnel risk assessment, compared with directly using level IV as a judgment criterion for tunnel risk in the matter-element extension theory model, this study has constructed a comprehensive indicator system for evaluating risks in ultra-long tunnels during TBM construction by introducing the WBS-RBS method. It considers various aspects of tunnel risks from a macro perspective and takes into account the complexity of different indicator levels from a micro perspective. The quantification of the indicators is achieved through the utilization of the matter-element extension model, which is then integrated into the enhanced variable weight theory to improve their practical applicability. As a result, the evaluation outcomes become more scientifically valid.

6. Discussion

The research findings can provide essential guidance for risk identification in the ongoing TBM excavation. Due to the indirect acquisition of a multitude of data during the excavation process, real-time adjustment of construction plans to mitigate construction risks becomes challenging. Given the intricate and dynamic environment in which TBM construction takes place, there exist numerous potential risk factors such as groundwater influx, rock stability issues, equipment failures, etc. Hence, it is imperative to comprehensively assess and control risks throughout the construction process.

6.1. The Impact of Choosing Various Risk Indicators on the Outcomes

Previous research has indicated that the choice of various risk indicators greatly influences the results of risk assessment in TBM construction, due to the intricate and fluctuating surroundings. The choice of risk indicators can considerably influence the results of risk evaluation. For instance, if the assessment process focuses solely on construction progress as a risk indicator, it may overlook potential risks such as groundwater influx, leading to inaccurate assessments. Therefore, when selecting risk indicators, multiple factors need to be comprehensively considered, including the nature of risk factors, their scope of influence, and their controllability to ensure accurate and comprehensive assessment results. The utilization of the WBS-RBS method in constructing a comprehensive system for evaluating risks enables stakeholders to gain a more thorough understanding of various project components while accurately identifying potential risks. WBS-RBS ensures systematic and comprehensive identification of risks while avoiding omissions or overlooking important factors.

6.2. The Influence of Different Risk Assessment Weights and Models on the Results

During the risk assessment process, the selection of appropriate models, data handling techniques, optimization of parameter settings, and consideration of risk factor weights all play crucial roles in influencing the evaluation results. In order to obtain more precise and reliable evaluation outcomes, it is imperative to conduct comprehensive research and extensive discussions in these aspects.

6.2.1. Discussion on Weight Optimization

When evaluating multiple risk factors, it is imperative to consider the interplay and allocation of weights among these risks. Different risk assessment models may make varying assumptions and employ diverse methods in assigning weights to risk factors, thereby potentially influencing the evaluation results. Therefore, when evaluating multiple risk factors, it is necessary to fully consider the correlation between risks. If conditions permit, different variable weight methods should be compared for weight optimization results, so as to select a better method to obtain more accurate evaluation results, for example, the gray correlation degree based on combination weight [43], the variable weight combination model based on XGBoost-LSTM [44], the combination weighting method based on game theory [45], etc.

6.2.2. Exploration of the Model for Evaluating Risks

When applying a risk assessment model, the evaluation results can also be influenced by the quality of data and data processing methods. Data quality encompasses factors such as completeness, accuracy, and consistency. Inadequate data quality may introduce bias into the evaluation results. Furthermore, the choice of data processing techniques and methods (e.g., data imputation, filtering, normalization) can also impact the evaluation outcomes [46]. Hence, it is imperative to employ appropriate data processing techniques and methods to enhance the usability of the data.

6.3. Research on the Limitations of the Study

The construction risk assessment of the TBM is conducted using an enhanced variable weight matter-element extension model, which utilizes a risk index system built upon WBS-RBS. Although it comprehensively identifies risks and optimizes weight allocation based on actual conditions, similarly to any other research, there are still certain limitations. For instance, the parameter indicators corresponding to risks are too singular and insufficient in scale. Additionally, the model is specifically designed for open-type TBM production and may not be easily adaptable to other TBM models. Regarding the establishment of the model, three key points are discussed.
(1)
Firstly, by considering the collection of feature data that is more in line with risk indicators, a more comprehensive risk evaluation index system can be established. The data selected for this study are directly obtained during construction and excavation processes, but the utilization of advanced predictive data is not sufficient. Predictive data can also serve as a risk indicator in risk assessment. Incorporating predictions into the risk evaluation model implies that data processing and indicator quantification will become more complex, and the coupling reactions between predictive data and other data need to be analyzed in depth.
(2)
For risk assessment models in TBM construction, such as this one, the data are extensive and intricate, making it challenging to apply a simple weight distribution approach in such a complex construction environment. Therefore, considering this aspect, we have opted for enhancing the variable weight theory method to optimize the allocation of weights among different risk factors. Other alternative methods include weighting based on additive or multiplicative synthesis normalization, weighting based on the sum of squared deviations, weighting based on game theory principles, and weighting based on objective optimization techniques.
(3)
The construction environment involved in this study is simple, which can provide reference for similar projects. Further optimization analysis is needed for different environments. For example, geological conditions can be analyzed from the perspective of remote sensing, and the changes in geological conditions can be observed on a large scale, and then a comprehensive analysis can be carried out by combining this information with the actual geological conditions during tunneling.
In future research, our focus will be on investigating predictive data indicators that can be incorporated into the existing risk data index system model. We aim to examine the coupling relationship between these predictive indicators and the existing models, enhance the integration of case data, explore the model’s applicability in diverse environments for necessary modifications, and employ advanced equipment for verification purposes. Additionally, we intend to develop a real-time identification system for assessing TBM construction risk levels and identifying risk types promptly to serve as an early warning mechanism during TBM construction.

7. Conclusions

The variable weight theory is introduced to enhance and modernize the risk assessment process for tunnel TBM construction. This modification aims to address evaluation deviations caused by fluctuating index values, ultimately improving the accuracy and applicability of the evaluation method. Additionally, fuzzy analysis is utilized to demonstrate that changes in construction risk index values directly impact the weight factor. The degree of influence of different indicators on risk assessment results when values change is analyzed, aiding in identifying the most important indicators. The key findings can be summarized as follows:
(1)
The WBS-RBS method is utilized to establish a comprehensive risk evaluation index system for TBM construction sections, which compensates for the shortcomings of risk identification that may result in omissions and incomplete identification in expert evaluation methods. This results in a more refined risk evaluation index system that can comprehensively reflect the actual risks at all levels of TBM construction. Furthermore, this approach fully considers the randomness and fuzziness of the risk grade boundary values while directly utilizing original engineering data, thereby avoiding data normalization processes and reducing information loss possibilities.
(2)
The method mentioned in the original text applies a variable weight theory based on the extensible model of physical elements, incorporating both subjective and objective evaluation factors, namely, the analytic hierarchy process (AHP) and an improved variable weight theory. This approach takes into consideration the impact of indicator value volatility on indicator weights, thereby accounting for fluctuations in traditional fixed weights. By employing this model to assess the risk of eight tunnel sections in the KS Tunnel, more precise results are obtained compared to utilizing the traditional method with fixed weights.
(3)
It is evident from the importance analysis that the change in rock mass classification during TBM excavation has a significant impact on the risk assessment of tunnel TBM construction, while the influence of the guidance monitoring system is relatively minor. This is not only because a TBM is a large-scale equipment integrating multiple functions, but also because, when evaluating the construction risk of a TBM, its own ability to deal with risks and the effectiveness of on-site construction management should also be taken into account. By considering these factors in the model’s calculations, the model can be made more closely aligned with reality, and the results will be more accurate.
(4)
The modified variable weight matter-element extension model is used to evaluate the risk of eight TBM construction sections of the KS tunnel, and the comparison and analysis with the traditional risk assessment model are carried out to verify the reasonability and feasibility of constructing the new model. The risk evaluation based on the KS tunnel verifies that the new model has good operability in the risk analysis of TBM construction.
(5)
In application, a series of strategies can be adopted to optimize the model: firstly, the model is applied in a small range of engineering sites to improve the application ability of the model; secondly, the data system is optimized to ensure the comprehensiveness and immediacy of the data required by the model. We hope that this model can be promoted in more infrastructure construction projects in the future to further verify its universality and reliability.

Author Contributions

Conceptualization, T.F. and K.S.; methodology, R.S.; resources, Z.L.; data curation, J.Z.; writing—original draft preparation, K.S.; writing—review and editing, T.F. All authors have read and agreed to the published version of the manuscript.

Funding

This research received no external funding.

Institutional Review Board Statement

Not applicable.

Informed Consent Statement

Not applicable.

Data Availability Statement

This study comes from a confidential project and data cannot be disclosed due to privacy concerns.

Acknowledgments

Thank you to all co-authors for their contributions to the study and especially to the anonymous reviewers for their valuable comments on this paper, which improved the quality of our study.

Conflicts of Interest

The authors declare no conflicts of interest.

References

  1. Zhao, Y.; Liu, R.; Zhang, X.; Whiteing, A. A chance-constrained stochastic approach to intermodal container routing problems. PLoS ONE 2018, 13, e0192275. [Google Scholar] [CrossRef] [PubMed] [PubMed Central]
  2. Sun, F.; Wu, D.; Li, W.; Xie, X.; Li, C. Comprehensive Evaluation of Shield Tunnels Structural Health Assessment Based on Improved Matter-element Extension Model with Variable Weight. Railw. Stand. Des. 2022, 66, 115–123. [Google Scholar] [CrossRef]
  3. Li, Y.; Jin, C.L.; Gong, L.; Tian, J.; Zhu, G.Y. Risk Assesssment of Water Diversion Tunnel Collapse Based on Entropy Theory and Extension Cloud Model. J. Yangtze River Sci. Res. Inst. 2022, 39, 70. [Google Scholar]
  4. Wu, X.; Liu, Q.; Chen, H.; Zeng, T.; Wang, J.; Tao, W. Preassessment of safety risk of shield tunneling underneath existing tunnel based on fuzzy Bayesian networks and evidence theory. Tunn. Constr. 2021, 41, 713. [Google Scholar]
  5. Song, Z.P.; Guo, D.S.; Xu, T.; Hua, W.X. Risk assessment model in TBM construction based on nonlinear fuzzy analytic hierarchy process. Rock Soil Mech. 2021, 42, 1424–1433. [Google Scholar] [CrossRef]
  6. Zhang, L.; Wu, X.; Qin, Y.; Skibniewski, M.J.; Liu, W. Towards a Fuzzy Bayesian Network Based Approach for Safety Risk Analysis of Tunnel-Induced Pipeline Damage. Risk Anal. 2016, 36, 278–301. [Google Scholar] [CrossRef] [PubMed]
  7. Zhao, Y.; Qiu, R.; Chen, M.; Xiao, S. Research on Operational Safety Risk Assessment Method for Long and Large Highway Tunnels Based on FAHP and SPA. Appl. Sci. 2023, 13, 9151. [Google Scholar] [CrossRef]
  8. Pang, Y.J.; Liu, K.D.; Zhang, B.W. The Method of Determining the Objective Index Weight in the Synthetic Evaluation System. Syst. Eng. Theory Pract. 2001, 21, 37–42. [Google Scholar]
  9. Khademi Hamidi, J.; Shahriar, K.; Rezai, B.; Rostami, J.; Bejari, H. Risk assessment based selection of rock TBM for adverse geological conditions using Fuzzy-AHP. Bull. Eng. Geol. Environ. 2010, 4, 523–532. [Google Scholar] [CrossRef]
  10. Weihong, G.; Enmao, W.; Wenda, Z. Risk assessment on the TBM construction of railway tunnels. J. Saf. Environ. 2018, 3, 843–848. [Google Scholar]
  11. Fuan, S.; Kun, L.; Shiwei, D. Comprehensive Classification of Surrounding Rock of Deep Buried Long Hydraulic Tunnel Constructed with Tunnel Boring Machine. J. Yangtze River Sci. Res. Inst. 2020, 8, 150–154. [Google Scholar]
  12. Liu, J.; Zhang, S.; Zhao, C.; Yang, Z.; Ji, P.; Wei, Y. A method for classification of surrounding rock based on the excavatability performance and adaptability of tunnel boring machines and its applications. Coal Geol. Explor. 2023, 8, 161–170. [Google Scholar]
  13. Wen, S.; Kong, Q. Risk Assessment on the Accident of TBM Cutterhead Jamming Caused by Tunnel Collapse. J. Yangtze River Sci. Res. Inst. 2014, 4, 59–62. [Google Scholar]
  14. Lin, P.; Xiong, Y.; Xu, Z. Risk assessment of TBM jamming based on Bayesian networks. Bull. Eng. Geol. Environ. 2022, 1, 47. [Google Scholar] [CrossRef]
  15. Leone, T.; Nordas, A.N.; Anagnostou, G. An estimation equation for the TBM thrust force in creeping rock. Comput. Geotech. 2024, 165, 105802. [Google Scholar] [CrossRef]
  16. Leone, T.; Nordas, A.N.; Anagnostou, G. Effects of Creep on Shield Tunnelling Through Squeezing Ground. Rock Mech. Rock Eng. 2024, 57, 351–374. [Google Scholar] [CrossRef]
  17. Ji, M.; Wang, X.; Luo, M.; Wang, D.; Teng, H.; Du, M. Stability Analysis of Tunnel Surrounding Rock When TBM Passes through Fracture Zones with Different Deterioration Levels and Dip Angles. Sustainability 2023, 15, 5243. [Google Scholar] [CrossRef]
  18. Lu, F.; Li, L.; Chen, Z.; Liu, M.; Li, P.; Gao, X.; Ji, C.; Gong, L. Risk analysis and countermeasures of TBM tunnelling over the operational tunnel. Front. Earth Sci. 2023, 11, 1103405. [Google Scholar] [CrossRef]
  19. Xue, Y.; Liu, Y.Q.; Dai, W.; Fang, Y. Risk Identification of Water Conservancy Projects in the Whole Process of WS-RBS Method. China Rural. Water Hydropower 2014, 2, 71–78. [Google Scholar]
  20. Dong, S.; Li, S.; Yu, F.; Wang, K. Risk Assessment of Immersed Tube Tunnel Construction. Processes 2023, 11, 980. [Google Scholar] [CrossRef]
  21. Hillson, D.; Grimaldi, S.; Rafele, C. Managing project risks using a cross risk breakdown matrix. Risk Manag. 2006, 8, 61–76. [Google Scholar] [CrossRef]
  22. Deng, M.; Tan, Z. Some issues during TBM trial advance of super-long tunnel group and development direction of construction technology. Mod. Tunn. Technol. 2019, 56, 1–12. [Google Scholar]
  23. Ying, G.Z.; Wang, P.C.; Zhu, D.Y.; Lei, X.S.; Qin, Z. Risk Assessment of Subway Construction Based on Fuzzy Comprehensive Evaluation Model. Chin. J. Undergr. Space Eng. 2016, 12, 539–545. [Google Scholar]
  24. Guo, F.; Wang, H. Risk assessment of tunnel construction by using fuzzy comprehensive evaluation method based on bayesian networks. J. Railw. Sci. Eng. 2016, 13, 401–406. [Google Scholar] [CrossRef]
  25. Jyothi, N.S.; Parkavi, A. A study on task management system. In Proceedings of the 2016 International Conference on Research Advances in Integrated Navigation Systems (RAINS), Bangalore, India, 6–7 May 2016; pp. 1–6. [Google Scholar]
  26. Su, J.; Zhang, D.L.; Zhou, Z.Y.; Niu, X.K.; Tai, Q.M. Safety Risk Assessment and Control of Existing Bridge Crossed by Tunnel Construction. Chin. J. Rock Mech. Eng. 2015, 34, 3188–3195. [Google Scholar] [CrossRef]
  27. Zhao, Y.X.; Xu, W.Y. Risk assessment of TBM construction for tunnels based on AHP and fuzzy synthetic evaluation. Rock Soil Mech. 2009, 30, 793–798. [Google Scholar]
  28. Lu, M.-l.; Liu, W.-n.; Luo, F.-g. Review on Risk Assessment Methods for Tunnelling and Underground Projiects. J. Eng. Geol. 2006, 4, 462–469. [Google Scholar]
  29. Huang, H.W. State of the Art of the Research on Risk Management in Construction of Tunnel and Underground Work. Chin. J. Undergr. Space Eng. 2006, 1, 13–20. [Google Scholar]
  30. Wang, Y.; Ran, W.; Wu, L.; Wu, Y. Assessment of River Water Quality Based on an Improved Fuzzy Matter-Element Model. Int J. Environ. Res. Public Health 2019, 16, 2793. [Google Scholar] [CrossRef] [PubMed] [PubMed Central]
  31. Liu, R.; Liu, Y.; Xin, D.; Li, S.; Zheng, Z.; Ma, C.; Zhang, C. Prediction of Water Inflow in Subsea Tunnels under Blasting Vibration. Water 2018, 10, 1336. [Google Scholar] [CrossRef]
  32. Bi, A.; Luo, Z.; Kong, Y.; Zhao, L. Comprehensive weighted matter-element extension method for the safety evaluation of underground gas storage. R. Soc. Open Sci. 2020, 7, 191302. [Google Scholar] [CrossRef] [PubMed] [PubMed Central]
  33. Chen, J.; Chen, Y.; Yang, S.; Zhong, X.; Han, X. A prediction model on rockburst intensity grade based on variable weight and matter-element extension. PLoS ONE 2019, 14, e0218525. [Google Scholar] [CrossRef] [PubMed] [PubMed Central]
  34. Saaty, T.L. The Analytic Hicrarchy Process; Mc Graw Hill: New York, NY, USA, 1980; Volume 9, pp. 1–45. [Google Scholar]
  35. Lianfen, W.; Shubai, X. Introduction to Analytic Hierarchy Process; China Renmin University Press: Beijing, China, 1990. [Google Scholar]
  36. Gao, L.; Ma, C.; Wang, Q.; Zhou, A. Sustainable use zoning of land resources considering ecological and geological problems in Pearl River Delta Economic Zone, China. Sci. Rep. 2019, 9, 16052. [Google Scholar] [CrossRef] [PubMed] [PubMed Central]
  37. Zhang, X.P. The definition of product about fuzzy comprehensive evaluation methods based on closeness. J. Shandong Univ. 2004, 2, 25–29. [Google Scholar]
  38. Jiang, J.; Liu, G.; Ou, X. Risk Coupling Analysis of Deep Foundation Pits Adjacent to Existing Underpass Tunnels Based on Dynamic Bayesian Network and N–K Model. Appl. Sci. 2022, 12, 10467. [Google Scholar] [CrossRef]
  39. Caliendo, C.; Genovese, G.; Russo, I. Risk Analysis of Road Tunnels: A Computational Fluid Dynamic Model for Assessing the Effects of Natural Ventilation. Appl. Sci. 2021, 11, 32. [Google Scholar] [CrossRef]
  40. Huang, M.; Zhang, Z.; Song, Y.; Gao, S.; Yu, C. Risk Assessment of Tunnel Face Instability under Multi Factor Coupling Based on Conditional Probability and Tunnel Construction Mechanics. Appl. Sci. 2022, 12, 7881. [Google Scholar] [CrossRef]
  41. Wang, J.; Cao, A.; Wu, Z.; Sun, Z.; Lin, X.; Sun, L.; Liu, W.; Liu, X.; Li, H.; Sun, Y.; et al. Dynamic Risk Assessment of Ultra-Shallow-Buried and Large-Span Double-Arch Tunnel Construction. Appl. Sci. 2021, 11, 11721. [Google Scholar] [CrossRef]
  42. Shi, K.; Shi, R.; Fu, T.; Lu, Z.; Zhang, J. A Novel Identification Approach Using RFECV–Optuna–XGBoost for Assessing Surrounding Rock Grade of Tunnel Boring Machine Based on Tunneling Parameters. Appl. Sci. 2024, 14, 2347. [Google Scholar] [CrossRef]
  43. Yanyue, W. Crey Relative Degree Decision Making Model Based on Combinatorial Weight and Its Application. Ind. Constr. 2004, 4, 61–65. [Google Scholar]
  44. Deng, S.Y.; Zhou, L.T.; Wang, F.; Liu, Z.K. XGBoost-LSTM Combinatorial Model with Variable Weight forDam Deformation Prediction and Its Application. J. Yangtze River Sci. Res. Inst. 2022, 10, 72–79. [Google Scholar]
  45. Jin, T.; Zhang, P.; Niu, Y.; Lv, X. Integrating Combination Weighting of Game Theory and Fuzzy Comprehensive Evaluation for Selecting Deep Foundation Pit Support Scheme. Buildings 2024, 14, 619. [Google Scholar] [CrossRef]
  46. Thibault, E.; Chioua, M.; McKay, M.; Korbel, M.; Patience, G.S.; Stuart, P.R. Experimental methods in chemical engineering: Data processing and data usage in decision-making. Can. J. Chem. Eng. 2023, 11, 6055–6078. [Google Scholar] [CrossRef]
Figure 1. TBM construction risk assessment research framework diagram.
Figure 1. TBM construction risk assessment research framework diagram.
Applsci 14 05911 g001
Figure 2. TBM construction work breakdown structure diagram.
Figure 2. TBM construction work breakdown structure diagram.
Applsci 14 05911 g002
Figure 3. Decomposition structure diagram of TBM construction risk sources.
Figure 3. Decomposition structure diagram of TBM construction risk sources.
Applsci 14 05911 g003
Figure 4. TBM construction risk index system.
Figure 4. TBM construction risk index system.
Applsci 14 05911 g004
Figure 5. Geological profile.
Figure 5. Geological profile.
Applsci 14 05911 g005
Figure 6. Fuzzy analysis weight change trend.
Figure 6. Fuzzy analysis weight change trend.
Applsci 14 05911 g006
Figure 7. Index weight change chart.
Figure 7. Index weight change chart.
Applsci 14 05911 g007
Table 1. TBM construction risk identification coupling matrix.
Table 1. TBM construction risk identification coupling matrix.
W1W2W3W4
W11W12W13W14W21W22W23W24W31W32W33W34W35W41W42W43W44W45
R1R11010010001000000001
R12010010000000000001
R13010010000111100001
R14010010000011100001
R15110010000000011110
R2R21001111110000000000
R22001011110000011110
R23001000001000000000
R24001000001000011110
R3R31100111111111111111
R32000111111111111111
R33100111111111111111
R4R41000111110000011111
R42000111000000011111
R43000000000000011111
Table 2. Criteria for constructing the judgment matrix of AHP.
Table 2. Criteria for constructing the judgment matrix of AHP.
ScaleComparison Results of Index Importance Difference
1i is as important as j, or i is compared with i,
j is compared with j itself;
2i is slightly more important than j, but not to the extent of 3;
3i is marginally more significant compared to j;
4i is more important than j, but not to the extent of 5;
5i holds greater significance compared to j;
6i is much more important than j, but not to the extent of 7;
7i holds significantly higher importance than j;
8i is more important than j, but not to the extent of 9;
9i is of greater importance than j;
SupplementWhen i is compared with j, the importance assignment is the reciprocal of the scalar when i is compared with j.
Table 3. The values of the random consistency index.
Table 3. The values of the random consistency index.
n1011121314151617
RI1.491.521.541.561.581.591.5941.60
Table 4. Scoring criteria for various factor indicators.
Table 4. Scoring criteria for various factor indicators.
CategoryRiskIndexNo.V1V2V3V4Unit
U1U11Elastic deformation energy indexI10–22–44–66–10
U12Groundwater levelI2<6060–9090–120>120m
U13Rock integrity coefficientI30.75–10.5–0.750.5–0.250.25–0
U14Gas monitoring dataI40–12.512.5–2525–37.537.5–100mg/m3
U2U21Cutterhead torqueI5900–15001500–21002100–27002700–3300kN m
U22Ventilation system flowI61800–20001000–1800500–10000–500m3/min
U23Surrounding rock classificationI7IIIII(A/B)IVV
U24Cutterhead speedI87–86–75–6<5R/min
U3U31Entrance support effectI9Very high stabilityHigh stabilityModerate stabilityLow stability
U32Water seepageI10NilHumidificationTrickleinrush of water
U33Protective layer thicknessI1110–1540–5050–5555–60cm
U34Guiding system monitoring dataI12Zero deviationTiny deviationSmall deviationLarge deviation
U4U41Underground space monitoring dataI130–0.10.1–0.30.3–11–2mm
U42Underground pipeline detection dataI14No damageTiny damageSmall damageLarge damage
U43Surrounding building displacement monitoring numberI150–0.10.1–0.40.4–11–6mm
Table 5. Risk factor parameter values from KS 2253 + 935 to KS 2254 + 586.
Table 5. Risk factor parameter values from KS 2253 + 935 to KS 2254 + 586.
Tunnel SectionI1I2I3I4I5I6I7I8I9I10I11I12I13I14I15
K1#1410.731013001850IIIa7Very highNil15Tiny0.1Tiny0.1
K2#1.2400.721114501850IIIa7.1Very highNil15Tiny0.1Tiny0.1
K3#1.9500.851016001900II7.9Very highNil15Tiny0.1Tiny0.2
K4#2530.86917501900II7.8Very highNil15Tiny0.1Tiny0.2
K5#0.8550.301114001800IV6.6Very highHumidification40Tiny0.3Small1.5
K6#0.7570.311014501800IV6.5Very highHumidification40Tiny0.25Small1.5
K7#0.3530.211112001750V5.5Very highTrickle40Tiny0.5Large4
K8#0.4510.201213001750V5.3Very highTrickle40Tiny0.6Large4
Table 6. Risk assessment index level evaluation criteria (dimensionless).
Table 6. Risk assessment index level evaluation criteria (dimensionless).
No.V1V2V3V4
I10, 0.20.2, 0.40.4, 0.60.6, 1
I20, 0.30.3, 0.450.45, 0.60.6, 1
I30, 0.250.25, 0.50.5, 0.750.75, 1
I40, 0.1250.125, 0.250.25, 0.3750.375, 1
I50, 0.250.25, 0.50.5, 0.750.75, 1
I60, 0.10.1, 0.50.5, 0.750.75, 1
I70, 0.250.25, 0.50.5, 0.750.75, 1
I80, 0.1260.125, 0.250.25, 0.50.5, 1
I90, 0.250.25, 0.50.5, 0.750.75, 1
I100, 0.250.25, 0.50.5, 0.750.75, 1
I110, 0.10.7, 0.80.8, 0.90.9, 1
I120, 0.250.25, 0.50.5, 0.750.75, 1
I130, 0.050.05, 0.150.15, 0.50.5, 1
I140, 0.250.25, 0.50.5, 0.750.75, 1
I150, 0.0670.067, 0.1670.167, 0.3330.333, 1
Table 7. Risk factor parameter values from KS 2253 + 935 to KS 2254 + 586 (dimensionless).
Table 7. Risk factor parameter values from KS 2253 + 935 to KS 2254 + 586 (dimensionless).
Tunnel SectionI1I2I3I4I5I6I7I8I9I10I11I12I13I14I15
K1#0.10.2050.730.10.1670.0750.30.1250.100.10.30.050.190.0167
K2#0.120.20.720.110.2290.0750.30.11250.100.10.30.050.20.0167
K3#0.190.250.850.10.2910.050.10.01250.100.10.20.050.050.0333
K4#0.20.2650.860.090.3540.050.10.0250.100.10.20.050.050.0333
K5#0.080.2750.300.110.2080.10.50.1750.10.550.60.250.150.710.25
K6#0.070.2850.310.10.2290.10.50.18750.10.550.60.250.1250.720.25
K7#0.030.2650.210.110.1250.1250.80.31250.10.810.60.230.250.830.667
K8#0.040.2550.200.120.1670.1250.80.33750.10.810.60.230.30.840.667
Table 8. Outcomes of the AHP analytical hierarchy process.
Table 8. Outcomes of the AHP analytical hierarchy process.
I1I2I3I4I5I6I7I8I9I10I11I12I13I14I15
I1133335355567979
I21/313334255557777
I31/31/31334355557777
I41/31/31/3133356557977
I51/31/31/31/313333577977
I61/51/41/41/31/31333355555
I71/31/21/31/31/31/3133355557
I81/51/51/51/51/31/31/313333557
I91/51/51/51/61/31/31/31/31333355
I101/51/51/51/51/51/31/31/31/3133333
I111/61/51/51/51/71/51/51/31/31/313333
I121/71/71/71/71/71/51/51/31/31/31/31333
I131/91/71/71/91/91/51/51/51/31/31/31/3133
I141/71/71/71/71/71/51/51/51/51/31/31/31/313
I151/91/71/71/71/71/51/71/71/51/31/31/31/31/31
Table 9. Summary of the findings from the consistency testing.
Table 9. Summary of the findings from the consistency testing.
Maximal Characteristic RootCIRICRConsistency Test Results
17.0890.1491.5900.094yes
Table 10. Weight of evaluation indicators.
Table 10. Weight of evaluation indicators.
No.Fixed Weight Variable Weight
K1#K2#K3#K4#K5#K6#K7#K8#
I10.187 0.126 0.126 0.128 0.126 0.116 0.118 0.107 0.108
I20.146 0.108 0.106 0.111 0.109 0.122 0.122 0.121 0.116
I30.129 0.124 0.125 0.120 0.122 0.108 0.104 0.113 0.113
I40.115 0.090 0.093 0.085 0.085 0.077 0.089 0.086 0.087
I50.095 0.104 0.117 0.104 0.100 0.093 0.095 0.079 0.085
I60.067 0.061 0.060 0.071 0.064 0.053 0.052 0.046 0.045
I70.065 0.139 0.137 0.132 0.132 0.119 0.124 0.115 0.112
I80.047 0.061 0.057 0.045 0.049 0.061 0.063 0.077 0.079
I90.038 0.037 0.036 0.042 0.044 0.030 0.030 0.025 0.024
I100.029 0.034 0.023 0.027 0.028 0.057 0.056 0.079 0.077
I110.024 0.046 0.046 0.054 0.056 0.038 0.037 0.031 0.031
I120.019 0.018 0.016 0.026 0.027 0.020 0.020 0.016 0.016
I130.015 0.020 0.020 0.023 0.024 0.027 0.013 0.026 0.027
I140.013 0.023 0.028 0.020 0.021 0.053 0.053 0.056 0.056
I150.010 0.009 0.009 0.012 0.012 0.023 0.023 0.024 0.024
Table 11. Risk level assessment of tunnel collapse from KS 253 + 935-KS 254 + 586.
Table 11. Risk level assessment of tunnel collapse from KS 253 + 935-KS 254 + 586.
Tunnel SectionAccessible DegreeModel in This PaperStandard Extension ModelFuzzy Synthetic Model
V1V2V3V4
K1#1.0000.8310.4070.000V1V2V1
K2#1.0000.8690.4260.000V1V2V1
K3#1.0000.7850.3840.000V1V1V1
K4#1.0000.8020.3930.000V1V1V1
K5#0.6911.0000.7130.000V2V2V3
K6#0.6851.0000.6980.000V2V2V3
K7#0.0000.9001.0000.482V3V3V4
K8#0.0000.9561.0000.298V3V3V4
Disclaimer/Publisher’s Note: The statements, opinions and data contained in all publications are solely those of the individual author(s) and contributor(s) and not of MDPI and/or the editor(s). MDPI and/or the editor(s) disclaim responsibility for any injury to people or property resulting from any ideas, methods, instructions or products referred to in the content.

Share and Cite

MDPI and ACS Style

Fu, T.; Shi, K.; Shi, R.; Lu, Z.; Zhang, J. Risk Assessment of TBM Construction Based on a Matter-Element Extension Model with Optimized Weight Distribution. Appl. Sci. 2024, 14, 5911. https://doi.org/10.3390/app14135911

AMA Style

Fu T, Shi K, Shi R, Lu Z, Zhang J. Risk Assessment of TBM Construction Based on a Matter-Element Extension Model with Optimized Weight Distribution. Applied Sciences. 2024; 14(13):5911. https://doi.org/10.3390/app14135911

Chicago/Turabian Style

Fu, Tao, Kebin Shi, Renyi Shi, Zhipeng Lu, and Jianming Zhang. 2024. "Risk Assessment of TBM Construction Based on a Matter-Element Extension Model with Optimized Weight Distribution" Applied Sciences 14, no. 13: 5911. https://doi.org/10.3390/app14135911

APA Style

Fu, T., Shi, K., Shi, R., Lu, Z., & Zhang, J. (2024). Risk Assessment of TBM Construction Based on a Matter-Element Extension Model with Optimized Weight Distribution. Applied Sciences, 14(13), 5911. https://doi.org/10.3390/app14135911

Note that from the first issue of 2016, this journal uses article numbers instead of page numbers. See further details here.

Article Metrics

Back to TopTop