BiomacEMG: A Pareto-Optimized System for Assessing and Recognizing Hand Movement to Track Rehabilitation Progress
Abstract
1. Introduction
- The study developed a robot-assisted hand-motion therapy system.
- The system utilizes machine learning approaches to recognize and describe hand motion patterns in healthy people.
- The system also tracks rehabilitation progress.
2. Review of Related Approaches
3. Materials and Methods
- The carpi radials of the muscle flexor are responsible for the flexion and radial deviation of the wrist.
- Musculus flexor pollicis longus, which is responsible for the flexion of the pollicis.
- Musculus flexor digitorum, which is responsible for flexion of the fingers.
- The carpi ulnaris muscle flexor, which is responsible for flexion and ulnar deviation of the wrist.
- Muscuclus extensor pollicis longus at brevis, which is responsible for the extension of pollicis.
- The carpi ulnaris muscle extensor is responsible for extension and ulnar deviation of the wrist.
- Musculus extensor digitorum, that is responsible for extension of the fingers.
- Musculus extensor carpi radialis, which is responsible for extension and radial deviation of the wrist.
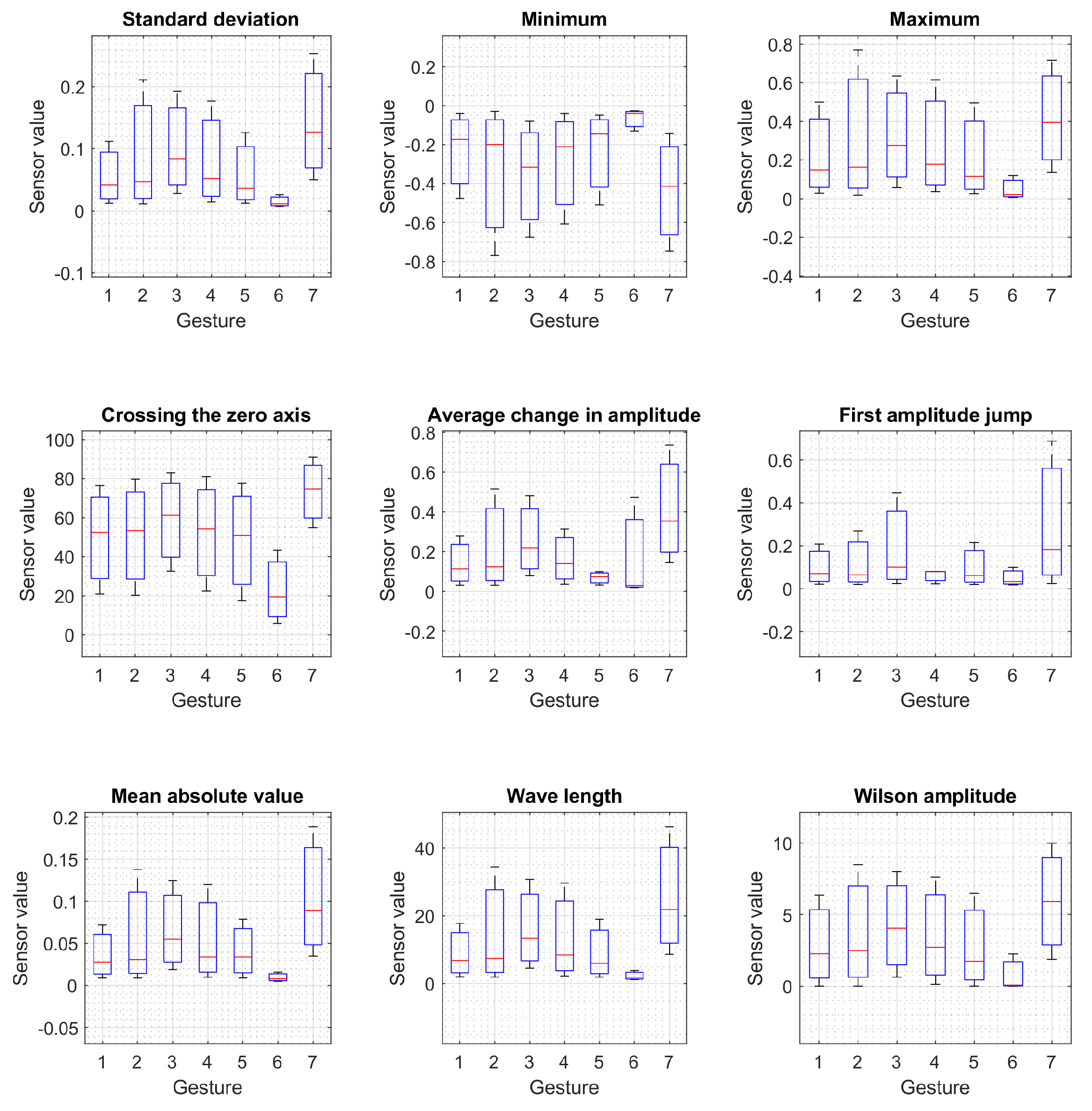
3.1. Features
- Standard deviation;
- Minimum;
- Maximum;
- Crossing the zero axis;
- Average change in amplitude;
- The first amplitude jump;
- Mean absolute value;
- Wave length;
- Wilson amplitude.
3.1.1. Standard Deviation of the EMG Signal
3.1.2. EMG Signal Minimum Values
3.1.3. EMG Signal Maximum Values
3.1.4. EMG Signal Zero Crossing
3.1.5. The Mean Amplitude Change of the EMG Signal
3.1.6. Average Absolute Value of the EMG Signal
3.1.7. EMG Signal Wavelength
3.1.8. Wilson Amplitude of the EMG Signal
3.1.9. Summary of EMG Signal Estimates
3.2. Reducing the Classification Space by Applying a Linear Data Transformation to PCA
- Ensure that the data have the same mean and variability.
- Find the covariance matrix C.
- Calculate the real vectors and real values of the covariance matrix C.
- Sort the true values of in descending order and form the matrix A of the main components from the true vectors according to the list obtained.
3.3. Random Forest Classifiers for Hand Motion Identification
3.4. Pareto Optimization
| Algorithm 1: EMG feature selection using Pareto optimization |
|
4. Results
5. Discussion
6. Conclusions
Author Contributions
Funding
Institutional Review Board Statement
Informed Consent Statement
Data Availability Statement
Conflicts of Interest
Abbreviations
| EMG | Electromyography |
| HCI | Human-Computer Interaction |
| sEMG | Surface Electromyography |
| IMU | Inertial measurement unit |
| CNN | Convolutional Neural Network |
| MLPC | Multi-layer Perceptron Classifier |
| ANN | Artificial Neural Network |
| SVM | Support Vector Machine |
| RF | Random Forest |
| LR | Logistic Regression |
| EMD | Empirical Mode Decomposition |
| ABC | Artificial Bee Colony |
| BetaABC | Beta Artificial Bee Colony |
| BBABC | Binary Beta Artificial Bee Colony |
| DWT | Discrete Wavelet Transform |
| RNN | Recurrent Neural Network |
| FFNN | Feed-Forward Neural Network |
| LSTM | Long Short-Term Memory network |
| GRU | Gated Recurrent Unit |
| DualMyo | UC2018 DualMyo Hand Gesture Dataset |
| NinaPro | Ninapro dataset 5 (double Myo armband) |
| CRNN | Convolutional Recurrent Neural Network |
| STFT | Short Time Fourier Transform |
| CWT | Continuous-time Wavelet Transform |
| SAWT | Scale Average Wavelet Transform |
| IMC-CNN | In-Memory Computing Convolutional Neural Network |
| PCA | Principal Component Analysis |
| GRNN | General regression neural network |
| ZC | Zero Crossing |
| MAV | Mean absolute value |
| WAMP | Wilson Amplitude |
| MUAP | Motor Unit Action Potential |
| VR | Virtual Reality |
| AR | Augmented Reality |
References
- Guberman, J.; Haimson, O. Not robots; Cyborgs—Furthering anti-ableist research in human-computer interaction. First Monday 2023, 28. [Google Scholar] [CrossRef]
- Yasen, M.; Jusoh, S. A systematic review on hand gesture recognition techniques, challenges and applications. PeerJ Comput. Sci. 2019, 5, e218. [Google Scholar] [CrossRef] [PubMed]
- Sultana, A.; Ahmed, F.; Alam, M.S. A systematic review on surface electromyography-based classification system for identifying hand and finger movements. Healthc. Anal. 2023, 3, 100126. [Google Scholar] [CrossRef]
- Ibrahim, A.F.T.; Gannapathy, V.R.; Chong, L.W.; Isa, I.S.M. Analysis of Electromyography (EMG) Signal for Human Arm Muscle: A Review. In Lecture Notes in Electrical Engineering; Springer: Berlin/Heidelberg, Germany, 2015; pp. 567–575. [Google Scholar] [CrossRef]
- Jaramillo-Yánez, A.; Benalcázar, M.E.; Mena-Maldonado, E. Real-time hand gesture recognition using surface electromyography and machine learning: A systematic literature review. Sensors 2020, 20, 2467. [Google Scholar] [CrossRef] [PubMed]
- Akinrodoye, M.A.; Lui, F. Neuroanatomy, Somatic Nervous System; StatPearls Publishing: Treasure Island, FL, USA, 2022. [Google Scholar]
- Reaz, M.B.I.; Hussain, M.S.; Mohd-Yasin, F. Techniques of EMG signal analysis: Detection, processing, classification and applications. Biol. Proced. Online 2006, 8, 11–35. [Google Scholar] [CrossRef]
- Maura, R.M.; Parra, S.R.; Stevens, R.E.; Weeks, D.L.; Wolbrecht, E.T.; Perry, J.C. Literature review of stroke assessment for upper-extremity physical function via EEG, EMG, kinematic, and kinetic measurements and their reliability. J. Neuroeng. Rehabil. 2023, 20, 21. [Google Scholar] [CrossRef]
- Zanini, R.A.; Colombini, E.L.; de Castro, M.C.F. Parkinson’s Disease EMG Signal Prediction Using Neural Networks. In Proceedings of the 2019 IEEE International Conference on Systems, Man and Cybernetics (SMC), Bari, Italy, 6–9 October 2019; pp. 2446–2453. [Google Scholar] [CrossRef]
- Beni, N.H.; Jiang, N. Heartbeat detection from single-lead ECG contaminated with simulated EMG at diferent intensity levels: A comparative study. Biomed. Signal Process. Control 2023, 83, 104612. [Google Scholar] [CrossRef]
- Cimolato, A.; Driessen, J.J.M.; Mattos, L.S.; De Momi, E.; Laffranchi, M.; De Michieli, L. EMG-driven control in lower limb prostheses: A topic-based systematic review. J. Neuroeng. Rehabil. 2022, 19, 43. [Google Scholar] [CrossRef]
- Yang, Z.; Guo, S.; Suzuki, K.; Liu, Y.; Kawanishi, M. An EMG-Based Biomimetic Variable Stiffness Modulation Strategy for Bilateral Motor Skills Relearning of Upper Limb Elbow Joint Rehabilitation. J. Bionic Eng. 2023, 1–16. [Google Scholar] [CrossRef]
- Toledo-Peral, C.L.; Vega-Martínez, G.; Mercado-Gutiérrez, J.A.; Rodríguez-Reyes, G.; Vera-Hernández, A.; Leija-Salas, L.; Gutiérrez-Martínez, J. Virtual/Augmented Reality for Rehabilitation Applications Using Electromyography as Control/Biofeedback: Systematic Literature Review. Electronics 2022, 11, 2271. [Google Scholar] [CrossRef]
- Sun, J.; Liu, G.; Sun, Y.; Lin, K.; Zhou, Z.; Cai, J. Application of Surface Electromyography in Exercise Fatigue: A Review. Front. Syst. Neurosci. 2022, 16, 893275. [Google Scholar] [CrossRef] [PubMed]
- Khant, M.; Gouwanda, D.; Gopalai, A.A.; Lim, K.H.; Foong, C.C. Estimation of Lower Extremity Muscle Activity in Gait Using the Wearable Inertial Measurement Units and Neural Network. Sensors 2023, 23, 556. [Google Scholar] [CrossRef] [PubMed]
- Žemgulys, J.; Raudonis, V.; Maskeliūnas, R.; Damaševičius, R. Recognition of basketball referee signals from real-time videos. J. Ambient. Intell. Humaniz. Comput. 2020, 11, 979–991. [Google Scholar] [CrossRef]
- Kotov-Smolenskiy, A.M.; Khizhnikova, A.E.; Klochkov, A.S.; Suponeva, N.A.; Piradov, M.A. Surface EMG: Applicability in the Motion Analysis and Opportunities for Practical Rehabilitation. Hum. Physiol. 2021, 47, 237–247. [Google Scholar] [CrossRef]
- Tamulis, Z.; Vasiljevas, M.; Damaševičius, R.; Maskeliunas, R.; Misra, S. Affective Computing for eHealth Using Low-Cost Remote Internet of Things-Based EMG Platform. In Intelligent Internet of Things for Healthcare and Industry; Internet of Things; Springer: Cham, Switzerland, 2022; pp. 67–81. [Google Scholar]
- Zheng, Z.; Wu, Z.; Zhao, R.; Ni, Y.; Jing, X.; Gao, S. A Review of EMG-, FMG-, and EIT-Based Biosensors and Relevant Human-Machine Interactivities and Biomedical Applications. Biosensors 2022, 12, 516. [Google Scholar] [CrossRef]
- Zheng, M.; Crouch, M.S.; Eggleston, M.S. Surface Electromyography as a Natural Human-Machine Interface: A Review. IEEE Sens. J. 2022, 22, 9198–9214. [Google Scholar] [CrossRef]
- Vasiljevas, M.; Turcinas, R.; Damasevicius, R. EMG speller with adaptive stimulus rate and dictionary support. In Proceedings of the 2014 Federated Conference on Computer Science and Information Systems, FedCSIS 2014, Warsaw, Poland, 7–10 September 2014; pp. 227–234. [Google Scholar]
- Aly, H.; Youssef, S.M. Bio-signal based motion control system using deep learning models: A deep learning approach for motion classification using EEG and EMG signal fusion. J. Ambient. Intell. Humaniz. Comput. 2021, 14, 991–1002. [Google Scholar] [CrossRef]
- Issa, M.E.; Helm, A.M.; Al-Qaness, M.A.A.; Dahou, A.; Elaziz, M.A.; Damaševičius, R. Human Activity Recognition Based on Embedded Sensor Data Fusion for the Internet of Healthcare Things. Healthcare 2022, 10, 1084. [Google Scholar] [CrossRef] [PubMed]
- Latreche, A.; Kelaiaia, R.; Chemori, A.; Kerboua, A. A New Home-Based Upper- and Lower-Limb Telerehabilitation Platform with Experimental Validation. Arab. J. Sci. Eng. 2023. [Google Scholar] [CrossRef]
- Latreche, A.; Kelaiaia, R.; Chemori, A.; Kerboua, A. Reliability and validity analysis of MediaPipe-based measurement system for some human rehabilitation motions. Measurement 2023, 214, 112826. [Google Scholar] [CrossRef]
- Antón, D.; Kurillo, G.; Goñi, A.; Illarramendi, A.; Bajcsy, R. Real-time communication for Kinect-based telerehabilitation. Future Gener. Comput. Syst. 2017, 75, 72–81. [Google Scholar] [CrossRef]
- Han, M.; Zandigohar, M.; Furmanek, M.P.; Yarossi, M.; Schirner, G.; Erdoğmuş, D. Classifications of Dynamic EMG in Hand Gesture and Unsupervised Grasp Motion Segmentation. In Proceedings of the 43rd Annual International Conference of the IEEE Engineering in Medicine & Biology Society (EMBC), Mexico, 1–5 November 2021; pp. 359–364. [Google Scholar] [CrossRef]
- Jia, G.; Lam, H.; Ma, S.; Yang, Z.; Xu, Y.; Xiao, B. Classification of Electromyographic Hand Gesture Signals Using Modified Fuzzy C-Means Clustering and Two-Step Machine Learning Approach. IEEE Trans. Neural Syst. Rehabil. Eng. 2020, 28, 1428–1435. [Google Scholar] [CrossRef] [PubMed]
- Alfaro, J.G.C.; Trejos, A.L. User-Independent Hand Gesture Recognition Classification Models Using Sensor Fusion. Sensors 2022, 22, 1321. [Google Scholar] [CrossRef] [PubMed]
- Phinyomark, A.; Campbell, E.; Scheme, E. Surface Electromyography (EMG) Signal Processing, Classification, and Practical Considerations. In Series in BioEngineering; Springer: Singapore, 2019; pp. 3–29. [Google Scholar] [CrossRef]
- Kaufmann, P.; Englehart, K.; Platzner, M. Fluctuating emg signals: Investigating long-term effects of pattern matching algorithms. In Proceedings of the 2010 Annual International Conference of the IEEE Engineering in Medicine and Biology, Buenos Aires, Argentina, 31 August–4 September 2010; pp. 6357–6360. [Google Scholar] [CrossRef]
- Gopal, P.; Gesta, A.; Mohebbi, A. A Systematic Study on Electromyography-Based Hand Gesture Recognition for Assistive Robots Using Deep Learning and Machine Learning Models. Sensors 2022, 22, 3650. [Google Scholar] [CrossRef]
- Benalcázar, M.E.; Caraguay, L.V.; López, L.I.B. A user-specific hand gesture recognition model based on feed-forward neural networks, emgs, and correction of sensor orientation. Appl. Sci. 2020, 10, 8604. [Google Scholar] [CrossRef]
- Fajardo, J.M.; Gomez, O.; Prieto, F. EMG hand gesture classification using handcrafted and deep features. Biomed. Signal Process. Control 2021, 63, 102210. [Google Scholar] [CrossRef]
- Sharma, N.; Ryait, H.S.; Sharma, S. Classification of biological signals and time domain feature extraction using capsule optimized auto encoder-electroencephalographic and electromyography. Int. J. Adapt. Control Signal Process. 2022, 36, 1670–1690. [Google Scholar] [CrossRef]
- Ieracitano, C.; Mammone, N.; Hussain, A.; Morabito, F.C. A novel multi-modal machine learning based approach for automatic classification of EEG recordings in dementia. Neural Netw. 2020, 123, 176–190. [Google Scholar] [CrossRef]
- Lee, K.H.; Min, J.Y.; Byun, S. Electromyogram-based classification of hand and finger gestures using artificial neural networks. Sensors 2022, 22, 225. [Google Scholar] [CrossRef]
- Damasevicius, R.; Vasiljevas, M.; Martisius, I.; Jusas, V.; Birvinskas, D.; Wozniak, M. BoostEMD: An extension of EMD method and its application for denoising of EMG signals. Elektron. Elektrotechnika 2015, 21, 57–61. [Google Scholar]
- Manikanta, D.C.S.; Gowtham, G.; Gantasala, K. Implementation of Feature Extraction of Neuro Muscular EMG Signal. In Proceedings of the 2022 2nd International Conference on Advanced Technologies in Intelligent Control, Environment, Computing & Communication Engineering (ICATIECE), Bangalore, India, 16–17 December 2022; pp. 1–5. [Google Scholar] [CrossRef]
- Sahu, P.; Singh, B.K.; Nirala, N. Beta Artificial Bee Colony Algorithm for EMG Feature Selection. In Lecture Notes in Electrical Engineering; Springer Nature: Singapore, 2023; pp. 3–17. [Google Scholar] [CrossRef]
- Sahu, P.; Singh, B.K.; Nirala, N. An improved feature selection approach using global best guided Gaussian artificial bee colony for EMG classification. Biomed. Signal Process. Control 2023, 80, 104399. [Google Scholar] [CrossRef]
- Goh, G.D.; Lee, J.M.; Goh, G.L.; Huang, X.; Lee, S.; Yeong, W.Y. Machine Learning for Bioelectronics on Wearable and Implantable Devices: Challenges and Potential. Tissue Eng. Part A 2023, 29, 20–46. [Google Scholar] [CrossRef] [PubMed]
- Buongiorno, D.; Cascarano, G.D.; De Feudis, I.; Brunetti, A.; Carnimeo, L.; Dimauro, G.; Bevilacqua, V. Deep learning for processing electromyographic signals: A taxonomy-based survey. Neurocomputing 2021, 452, 549–565. [Google Scholar] [CrossRef]
- Mudiyanselage, S.E.; Nguyen, P.H.D.; Rajabi, M.S.; Akhavian, R. Automated Workers’ Ergonomic Risk Assessment in Manual Material Handling Using sEMG Wearable Sensors and Machine Learning. Electronics 2021, 10, 2558. [Google Scholar] [CrossRef]
- Qiu, S.; Zhao, H.; Jiang, N.; Wang, Z.; Liu, L.; An, Y.; Zhao, H.; Miao, X.; Liu, R.; Fortino, G. Multi-sensor information fusion based on machine learning for real applications in human activity recognition: State-of-the-art and research challenges. Inf. Fusion 2022, 80, 241–265. [Google Scholar] [CrossRef]
- Côté-Allard, U.; Fall, C.L.; Drouin, A.; Campeau-Lecours, A.; Gosselin, C.; Glette, K.; Laviolette, F.; Gosselin, B. Deep Learning for Electromyographic Hand Gesture Signal Classification Using Transfer Learning. IEEE Trans. Neural Syst. Rehabil. Eng. 2019, 27, 760–771. [Google Scholar] [CrossRef]
- Simão, M.; Neto, P.; Gibaru, O. EMG-based online classification of gestures with recurrent neural networks. Pattern Recognit. Lett. 2019, 128, 45–51. [Google Scholar] [CrossRef]
- Jo, Y.; Oh, D. Real-Time Hand Gesture Classification Using Crnn with Scale Average Wavelet Transform. J. Mech. Med. Biol. 2020, 20, 2040028. [Google Scholar] [CrossRef]
- Wei, C.; Wang, H.; Zhou, B.; Feng, N.; Hu, F.; Lu, Y.; Jiang, D.; Wang, Z. sEMG signal-based lower limb movements recognition using tunable Q-factor wavelet transform and Kraskov entropy. IRBM 2023, 44, 100773. [Google Scholar] [CrossRef]
- Toro-Ossaba, A.; Jaramillo-Tigreros, J.; Tejada, J.C.; Peña, A.; López-González, A.; Castanho, R.A. LSTM Recurrent Neural Network for Hand Gesture Recognition Using EMG Signals. Appl. Sci. 2022, 12, 9700. [Google Scholar] [CrossRef]
- Li, J.; Wei, L.; Wen, Y.; Liu, X.; Wang, H. Hand gesture recognition based improved multi-channels CNN architecture using EMG sensors. J. Intell. Fuzzy Syst. 2022, 43, 643–656. [Google Scholar] [CrossRef]
- Qi, J.; Jiang, G.; Li, G.; Sun, Y.; Tao, B. Surface EMG hand gesture recognition system based on PCA and GRNN. Neural Comput. Appl. 2020, 32, 6343–6351. [Google Scholar] [CrossRef]
- Shanmuganathan, V.; Yesudhas, H.R.; Khan, M.S.; Khari, M.; Gandomi, A.H. R-CNN and wavelet feature extraction for hand gesture recognition with EMG signals. Neural Comput. Appl. 2020, 32, 16723–16736. [Google Scholar] [CrossRef]
- Pan, L.; Liu, K.; Zhu, K.; Li, J. Comparing EMG Pattern Recognition with and Without Hand and Wrist Movements. J. Bionic Eng. 2022, 19, 700–708. [Google Scholar] [CrossRef]
- Zhang, Z.; Yang, K.; Qian, J.; Zhang, L. Real-time surface EMG pattern recognition for hand gestures based on an artificial neural network. Sensors 2019, 19, 3170. [Google Scholar] [CrossRef] [PubMed]
- Aviles, M.; Sánchez-Reyes, L.M.; Fuentes-Aguilar, R.; Toledo-Pérez, D.; Rodríguez-Reséndiz, J. A Novel Methodology for Classifying EMG Movements Based on SVM and Genetic Algorithms. Micromachines 2022, 13, 2108. [Google Scholar] [CrossRef] [PubMed]
- Toledo-Pérez, D.C.; Rodríguez-Reséndiz, J.; Gómez-Loenzo, R.A. A Study of Computing Zero Crossing Methods and an Improved Proposal for EMG Signals. IEEE Access 2020, 8, 8783–8790. [Google Scholar] [CrossRef]
- Cases, C.M.P.; Baldovino, R.G.; Manguerra, M.V.; Dupo, V.B.; Dajay, R.C.R.; Bugtai, N.T. An EMG-based Gesture Recognition for Active-assistive Rehabilitation. In Proceedings of the 12th IEEE International Conference on Humanoid, Nanotechnology, Information Technology, Communication and Control, Environment, and Management (HNICEM), Manila, Philippines, 3–7 December 2020. [Google Scholar] [CrossRef]
- Bahador, A.; Yousefi, M.; Marashi, M.; Bahador, O. High accurate lightweight deep learning method for gesture recognition based on surface electromyography. Comput. Methods Programs Biomed. 2020, 195, 105643. [Google Scholar] [CrossRef]
- Farinha, D.; Dias, J.; Neves, P.; Pereira, K.; Ferreira, C.; Pires, G. Assistive Robotic Hand Orthosis (ARHO) controlled with EMG: Evaluation of a preliminary Prototype. In Proceedings of the 6th IEEE Portuguese Meeting on Bioengineering (ENBENG), Lisbon, Portugal, 22–23 February 2019; pp. 1–4. [Google Scholar] [CrossRef]
- Palma, F.; Perramont, N.; Rojas, V.; Bertolotto, B.; Tuesta, M. Electromyographic amplitude and coactivation of the core muscles during different unstable push-up exercises. Med. Sport 2021, 74, 209–222. [Google Scholar] [CrossRef]
- Shi, W.T.; Lyu, Z.J.; Tang, S.T.; Chia, T.L.; Yang, C.Y. A bionic hand controlled by hand gesture recognition based on surface EMG signals: A preliminary study. Biocybern. Biomed. Eng. 2018, 38, 126–135. [Google Scholar] [CrossRef]
- Zhou, H.; Zhang, Q.; Zhang, M.; Shahnewaz, S.; Wei, S.; Ruan, J.; Zhang, X.; Zhang, L. Toward Hand Pattern Recognition in Assistive and Rehabilitation Robotics Using EMG and Kinematics. Front. Neurorobot. 2021, 15, 659876. [Google Scholar] [CrossRef]
- Lu, Z.; Tong, K.Y.; Zhang, X.; Li, S.; Zhou, P. Myoelectric Pattern Recognition for Controlling a Robotic Hand: A Feasibility Study in Stroke. IEEE Trans. Biomed. Eng. 2019, 66, 365–372. [Google Scholar] [CrossRef] [PubMed]
- Meyers, E.C.; Gabrieli, D.; Tacca, N.; Wengerd, L.; Darrow, M.; Friedenberg, D. Decoding hand and wrist movement intention from chronic stroke survivors with hemiparesis using a user-friendly, wearable EMG-based neural interface. Arch. Phys. Med. Rehabil. 2021, 103, e14–e15. [Google Scholar] [CrossRef]
- Lu, Z.; Yu Tong, K.; Shin, H.; Li, S.; Zhou, P. Advanced Myoelectric Control for Robotic Hand-Assisted Training: Outcome from a Stroke Patient. Front. Neurol. 2017, 8, 107. [Google Scholar] [CrossRef] [PubMed]




| Gesture | Standard Deviation | Minimum | Maximum | Crossing the Zero Axis | Average Change in Amplitude | First Amplitude Jump | Mean Absolute Value | Wave Length | Wilson Amplitude |
|---|---|---|---|---|---|---|---|---|---|
| 1 | 0.055 | −0.229 | 0.225 | 49.91 | 0.141 | 0.099 | 0.036 | 8.87 | 2.878 |
| 2 | 0.089 | −0.333 | 0.317 | 51.13 | 0.223 | 0.117 | 0.059 | 14.59 | 3.66 |
| 3 | 0.101 | −0.357 | 0.32 | 58.91 | 0.259 | 0.190 | 0.066 | 16.2 | 4.22 |
| 4 | 0.081 | −0.286 | 0.276 | 52.53 | 0.16367 | 0.061 | 0.054 | 13.43 | 3.49 |
| 5 | 0.058 | −0.234 | 0.212 | 48.64 | 0.069 | 0.098 | 0.040 | 8.976 | 2.746 |
| 6 | 0.014 | −0.065 | 0.049 | 22.85 | 0.17433 | 0.05 | 0.009 | 2.299 | 0.773 |
| 7 | 0.143 | −0.434 | 0.415 | 73.46 | 0.411 | 0.297 | 0.104 | 25.58 | 5.928 |
| Gesture | Standard Deviation | Minimum | Maximum | Crossing the Zero Axis | Average Change in Amplitude | First Amplitude Jump | Mean Absolute Value | Wave Length | Wilson Amplitude |
|---|---|---|---|---|---|---|---|---|---|
| 1 | 0.012 | −0.476 | 0.028 | 20.87 | 0.032 | 0.021 | 0.009 | 2 | 0 |
| 2 | 0.011 | −0.77 | 0.018 | 20.25 | 0.032 | 0.02 | 0.009 | 1.94 | 0 |
| 3 | 0.028 | −0.675 | 0.057 | 32.62 | 0.079 | 0.024 | 0.019 | 4.53 | 0.625 |
| 4 | 0.014 | −0.607 | 0.036 | 22.37 | 0.037 | 0.023 | 0.01 | 2.25 | 0.125 |
| 5 | 0.012 | −0.51 | 0.026 | 17.62 | 0.033 | 0.02 | 0.009 | 1.93 | 0 |
| 6 | 0.007 | −0.13 | 0.007 | 5.875 | 0.02 | 0.018 | 0.005 | 1.19 | 0 |
| 7 | 0.05 | −0.746 | 0.137 | 54.87 | 0.145 | 0.024 | 0.035 | 8.63 | 1.875 |
| Gesture | Standard Deviation | Minimum | Maximum | Crossing the Zero Axis | Average Change in Amplitude | First Amplitude Jump | Mean Absolute Value | Wave Length | Wilson Amplitude |
|---|---|---|---|---|---|---|---|---|---|
| 1 | 0.112 | −0.04 | 0.5 | 76.37 | 0.278 | 0.208 | 0.072 | 17.78 | 6.375 |
| 2 | 0.211 | −0.03 | 0.77 | 79.75 | 0.515 | 0.269 | 0.138 | 34.4 | 8.5 |
| 3 | 0.193 | −0.08 | 0.635 | 82.87 | 0.48 | 0.447 | 0.125 | 30.75 | 8 |
| 4 | 0.177 | −0.04 | 0.614 | 81 | 0.314 | 0.08 | 0.12 | 29.62 | 7.625 |
| 5 | 0.126 | −0.048 | 0.496 | 77.5 | 0.1 | 0.215 | 0.079 | 19 | 6.5 |
| 6 | 0.026 | −0.027 | 0.119 | 43.25 | 0.472 | 0.099 | 0.016 | 3.867 | 2.25 |
| 7 | 0.253 | −0.144 | 0.716 | 90.87 | 0.735 | 0.687 | 0.189 | 46.26 | 10 |
Disclaimer/Publisher’s Note: The statements, opinions and data contained in all publications are solely those of the individual author(s) and contributor(s) and not of MDPI and/or the editor(s). MDPI and/or the editor(s) disclaim responsibility for any injury to people or property resulting from any ideas, methods, instructions or products referred to in the content. |
© 2023 by the authors. Licensee MDPI, Basel, Switzerland. This article is an open access article distributed under the terms and conditions of the Creative Commons Attribution (CC BY) license (https://creativecommons.org/licenses/by/4.0/).
Share and Cite
Maskeliūnas, R.; Damaševičius, R.; Raudonis, V.; Adomavičienė, A.; Raistenskis, J.; Griškevičius, J. BiomacEMG: A Pareto-Optimized System for Assessing and Recognizing Hand Movement to Track Rehabilitation Progress. Appl. Sci. 2023, 13, 5744. https://doi.org/10.3390/app13095744
Maskeliūnas R, Damaševičius R, Raudonis V, Adomavičienė A, Raistenskis J, Griškevičius J. BiomacEMG: A Pareto-Optimized System for Assessing and Recognizing Hand Movement to Track Rehabilitation Progress. Applied Sciences. 2023; 13(9):5744. https://doi.org/10.3390/app13095744
Chicago/Turabian StyleMaskeliūnas, Rytis, Robertas Damaševičius, Vidas Raudonis, Aušra Adomavičienė, Juozas Raistenskis, and Julius Griškevičius. 2023. "BiomacEMG: A Pareto-Optimized System for Assessing and Recognizing Hand Movement to Track Rehabilitation Progress" Applied Sciences 13, no. 9: 5744. https://doi.org/10.3390/app13095744
APA StyleMaskeliūnas, R., Damaševičius, R., Raudonis, V., Adomavičienė, A., Raistenskis, J., & Griškevičius, J. (2023). BiomacEMG: A Pareto-Optimized System for Assessing and Recognizing Hand Movement to Track Rehabilitation Progress. Applied Sciences, 13(9), 5744. https://doi.org/10.3390/app13095744

