1. Introduction
The orthogonal anisotropic steel bridge deck is a bridge deck structure composed of longitudinal and transverse perpendicular longitudinal ribs and transverse ribs together with the deck cover, which has the significant advantages of low structural dead weight and high ultimate load capacity, and it is widely used in key node projects such as cable-stayed bridges and cross-line viaducts at home and abroad. Orthogonal anisotropic steel bridge panels are often used in asphalt concrete pavement, with the advantages of lightweight and good coordination of deformation, which are known as flexible pavement steel bridge panels. However, the special stress characteristics of such decks as well as flexible pavements combined with increasingly heavy traffic have led to varying degrees of disease in most orthotropic anisotropic steel bridge panels, thus affecting the service life of the bridge [
1]. Among them, the longitudinal ribs (U-ribs) on the deck support and the transverse diaphragm cause two types of defects due to positive and negative alternating out-of-plane deformations and stresses at the longitudinal rib-deck joint and the transverse diaphragm-deck joint, respectively. According to statistics, depending on the thickness of the bridge deck cover, the two abovementioned problems account for about 50.4% of the total [
2].
Reinforcement methods for steel bridge panels mainly include the steel plate reinforcement method, welding repair method, weld remelting method, stop crack hole method, crack closure method, etc. However, with the bridge deck cover and the longitudinal ribs, the horizontal partition between the flat, longitudinal, and horizontal connection and the structural structure are complex; the steel plate reinforcement method of the reinforcement life is short, and the repair effect is poor; the welding repair or remelting method will lead to residual tensile stress in the steel structure, and cannot avoid welding defects that are not conducive to either repair and reinforcement; and the stop crack hole method and crack closure method is only a temporary repair method, and damages the original structure. In recent years, some scholars have tried to combine UHPC (Ultra-High Performance Concrete) and steel bridge slabs with bolts to form UHPC rigid pavement steel bridge slabs with large positive and negative bending deformation capacities. The fatigue life of the bridge deck is significantly improved by reducing the stresses between the deck and the longitudinal and transverse ribs because the bending moment of the inertia of the bridge deck is increased [
3,
4]. Shao Xudong et al. of Hunan University conducted extensive research on combined steel-UHPC structures and found that the shear performance of the interface is a key factor in the joint work of steel plates and concrete [
5,
6]. In the process of static load carrying capacity tests and finite element analysis of steel-UHPC, Li Chuanxi et al. focused on the regions with large values of the principal tensile stresses in orthotropic anisotropic steel bridge panels, and found that the peak principal tensile stresses were concentrated at the lower bottom edge of the span deck plate and at the top edge of the panel where it meets the cross-sectional plate [
7]. Thus, the importance of the performance of the negative moment zone for orthotropic anisotropic steel bridge slabs is obvious.
All of the abovementioned studies used UHPC materials, while the cubic compressive strength of UHPC can reach more than 150 MPa, which has excessive performance for bridge deck applications [
8,
9]. In addition, the high cost of UHPC itself, the complex maintenance process, and the difficult removal of UHPC are just some of the many limitations when applying it to bridge decks [
10]. Studies have shown that ECC (Engineered Cementitious Composites) have good ductility and crack control, and exhibit good mechanical properties and fatigue resistance when used in combination with steel and steel plates [
11]. At the same time, ECC is very suitable for large-area bridge decks due to its low cost [
12]. In recent years, studies on steel-ECC composite structures have focused on the performance of pinned shear bonds [
13,
14], interfacial properties [
15,
16], and flexural properties [
17,
18]. Among them, flexural performance research mainly studied ECC and steel beams to form a combined beam, and Jiansheng Fan et al. [
17] found that the stiffness of steel-ECC beams was improved by 50% compared to steel-NC beams by flexural tests. In addition, Xue Huiqing et al. [
19] considered the tensile properties after incorporating ECC cracking, and each member was able to derive stable load-carrying values. Most of the works above use I-beams as the main structure and the stress distribution also does not match the stress characteristics of orthotropic anisotropic steel bridge plates, while the study of a ECC-steel combined bridge deck plate has not been fully developed. Some experts at Southeast University have also tried to apply it to bridge decks to improve the fatigue life of bridges [
20]. However, none of these scholars and experts have considered the setting of shear-resistant connector keys, so no overall combined structure was formed to work together, and no related research was produced thereafter.
This paper takes the steel-ECC combined deck sheet as the research object and conducts a four-point bending static loading test by microcomputer-controlled electro-hydraulic servo long column press so as to test the bending load capacity of a steel-ECC combined deck sheet under a negative bending moment, and it investigates the influence of the deck thickness and bolt spacing of the steel-ECC deck sheet on the bending resistance performance, thereby providing a theoretical and experimental basis for the steel bridge panel to adopt ECC for rigid deck pavement reinforcement.
3. Analyzing Experimental Phenomena and Results
3.1. Load-Deflection Curve
The load-deflection curves were plotted by taking the average deflection values of 1/4 span and 1/2 span for each group of two specimens, as shown in
Figure 6, while the deflection specific data are shown in
Table 4. The three working stages of the load-deflection curve of the steel-ECC composite structure are obvious from the curves: the elastic stage, crack extension stage, and yielding stage. The whole composite structure is in the elastic working stage from the beginning of loading the ECC slab before the cracks appear when the steel strain is not large and the growth of both the ECC surface and the steel strain is relatively stable. With the further increase in the load, the reinforcement in the ECC plate starts to enter the yielding stage, and the curve takes the first turn, the deflection curve is out of linear growth, and the whole curve tends to flatten out, at which time it enters the crack expansion stage. As the load continued to increase, the reinforcement reached the yielding point and the deflection curve began to turn into the yielding stage for the second time, the cracks in the ECC plate expanded rapidly toward the bottom of the beam, the beam deflection increased rapidly again, and the load-bearing capacity remained stable. After the test unloading, the whole specimen showed an obvious rebound phenomenon, and the ECC layer did not flake off, indicating that the ECC has high ductility, and the steel plate did not yield during the whole loading period. Finally, a large area of cracks appeared in the flexural-only section of the lower ECC layer, and the load-bearing capacity was lost, indicating damage to the member.
The steel-ECC composite structure can maintain good tensile strength even after being subjected to negative moment stress. This is partly due to the material properties of the ECC material itself, which has high tensile strength, and partly due to its ability to maintain the ultimate tensile strength in its high strain state after reaching the ultimate tensile strength.
In the initial stage of the curve, the linear state is approximately straight, the effect of the ECC thickness variable on the stiffness of the member is significantly greater than the effect of the bolt spacing variable on the stiffness of the member, and the stiffness of the member increases with the increase in the ECC thickness while it decreases with the increase in the bolt spacing. After the first turn of the curve, when the member enters the working stage with cracks, the curve only changes in slope, the influence of each parameter on the stiffness of the structure is still maintained, the influence of the two variables on the stiffness of the member is almost increased (due to the large shear stress of the bolts with larger spacing at this stage and the early deformation, which leads to the relative slip of the ECC and the steel plate and interlaminar damage), and the stiffness decreases.
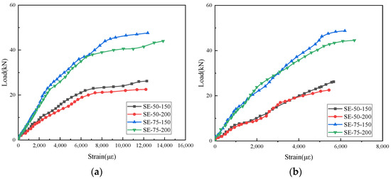
3.2. Load-Strain Curve
At the beginning of test loading, the specimen deflection increases rapidly with the increase in load, there is no relative slip deformation on both sides, and the strains on the steel and ECC surfaces continue to increase. The load-strain curve on the ECC surface maintains a continuous increase in microstrain at lower load levels due to the unique strain-hardening-force-deformation characteristics of the ECC, and the strain on the ECC surface increases with load only after cracks appear on the surface layer. The surface load-strain curve of the reinforcement remained linear without significant transitions until yielding and was relatively stable after reaching the peak. The load-strain curves for the same ECC thickness combination are very similar, and the difference in load capacity is not significant.
As shown in
Figure 7, by comparing the load-strain curves of the ECC and the reinforcement, the tensile strain on the surface of ECC was 1800–2000 με and the surface strain of steel was 900–1000 με before the cracks appeared in the ECC layer, and with the formation of the initial cracks in the members, the load-strain curves of ECC and reinforcement changed significantly. In terms of microstrain growth, both the ECC surface strain and the reinforcement surface strain are basically in linear growth, which is mainly due to the strain-hardening property of the ECC, which allows both strains to increase smoothly at low-loading levels. After the measured strain value of the reinforcement reaches 6000 με and the measured strain value of the ECC concrete bottom surface exceeds 12,000 με, the reinforcement yields and the specimen gradually loses its load-bearing capacity due to concrete cracking. At the yielding stage, the load-strain curve approaches a horizontal line, indicating the good ductility of the member.
3.3. Crack Development Pattern
When the load was increased to about 30% of the ultimate load, numerous transverse small cracks began to appear on the bottom and sides of the ECC of the pure bending moment section. As the load increased, the cracks on the bottom of the pure moment section ECC continued to expand, and small cracks gradually appeared on the bottom surface of the non-pure moment section ECC. When the load was applied to about 70% of the ultimate load, the cracks on the bottom surface of the ECC appeared to expand in width and increase in area, and they were mainly concentrated in the pure moment section.
Figure 8 shows the site picture of ECC cracking. As the load continued to be applied, the cracks continued to expand, and, eventually, the large-area cracks crossed the bottom surface of the ECC and the specimens gradually lost their load-bearing capacity. For the negative moment specimens of the steel-ECC composite slab, the damage modes were all crack damage on the ECC bottom slab. The cracks of the ECC bottom slab showed more and smaller widths, which is because the PVE fibers bore most of the tensile stress of the concrete bottom slab through the bridge linkage effect, which redistributes the stress around the cracks and inhibits the crack propagation at the bottom of the ECC. The test cracks and load results are summarized in
Table 5.
As shown in
Figure 9, the two groups of variables have different effects on the crack width. The influence of the ECC layer thickness is reflected in the magnitude of the load under the same crack width, the cracking load of the specimen with the ECC layer thickness of 75 mm is twice that of the specimen with a thickness of 50 mm, and the difference of the ultimate load is about 25 KN, which indicates that the thicker ECC layer helps to limit the crack width. The influence of the spacing of the bolts is mainly reflected in the cracking load of the beam, and the difference is about 5 KN. The spacing of the bolts is large, the force is more concentrated, the force on each bolt increases, and the ECC layer is pulled and cracked earlier.
3.4. Damage Modes and Finite Element Analysis
Using the classical calculation method combining Eshelby’s equivalent intercalation theory with Mori Tanaka’s model, the ECC material containing PVA fibers was equated to a single dielectric material, and the parameters for homogenization of the composite were calculated as shown in
Table 6.
Accordingly, the plastic damage model of ECC material can be determined and its intrinsic structure relationship is determined according to the uniaxial compressive and tensile stress-strain relationship of concrete according to the specification of the “Technical Specification for the Application of Fiber Concrete JGJ/T221-2010”. ABAQUS finite element analysis software was used to perform the test force analysis on the plate members of this test. Among them, the ECC and steel plate were simulated by the C3D8R three-dimensional solid unit, which can greatly improve the computational efficiency by using the integration method of nodes with three translational degrees of freedom and eight nodes forming a unit. The mesh size of the steel plate is 10 mm, and the mesh size of the ECC plate is 5 mm; the steel reinforcement is simulated by the two-node 3D T3D2 of the truss unit and the mesh size is 50 mm, and it is embedded in the ECC in “Embedded” mode, corresponding to the test member SE-50-150-1; and the established finite element model is shown in
Figure 10.
The ultimate load calculated by the finite element model is 28.64 kN, which is consistent with the test results, and the error is controlled within 10%. The reason for the error may be that the model calculation of the composite material and the assumptions and simplifications made by the CDP plastic damage model for ECC do not perfectly match the real material, and, in addition, the embedding and connection of the bolts and reinforcement also deviate from the actual situation to some extent. By defining the parameters of the tensile damage factor in the CDP plastic damage model in ABAQUS software, a tensile damage cloud of the structure was obtained, as shown in
Figure 11. The tensile damage in the model is very similar to the crack distribution in the test process and results, with cracks appearing early and concentrated in the pure bending section and relatively late and scattered in the non-pure bending section. After the test unloading, the whole specimen showed an obvious rebound phenomenon, but the ECC layer did not peel off as a result, indicating that the ECC has high ductility and the steel plate did not yield during the whole loading period. Finally, a large area of cracks appeared in the flexure-only section of the lower ECC layer, and the load-bearing capacity was lost, explaining the damage to the member.
The CDP model of the combined structure established by the inclusions theory can more accurately simulate the force of the test specimen throughout the test process, the inclusions theory, and CDP damage model, but there are certain errors that include: (1) the Eshelby–Mori–Tanaka single inclusions theory yielded elastic mode tends to be homogeneous, and the actual model of multiple inclusions mixed material properties there is a certain error; (2) the CDP model is a simulation method of isotropic elastic damage superimposed on anisotropic tensile and compressive plastic damage, while the ECC is a non-homogeneous and complex mechanical property, which forms an elastic-plastic material with considerable ductility after the addition of reinforcement; (3) the embedding mode of reinforcement is idealized, and it is not able to effectively simulate the non-negligible adhesive slip between reinforcement and the ECC. However, the ultimate load capacity and crack distribution are roughly similar to the experimental results, which can more accurately simulate the force process of the combined structure under four-point bending.
4. Conclusions
(1) According to the test results of four groups of eight members, the damage mode of the steel-ECC composite deck slab under negative moment loading is relatively stable, and the composite structure composed of the ECC and steel plate shows good integrity and good ductility under a negative moment.
(2) The sensitivity of the main design parameters to the ultimate load capacity of the steel-ECC composite slab is greater for the thickness of the ECC layer than for the spacing of the pegs. When the thickness of the ECC layer is increased from 50 mm to 75 mm, the ultimate load-bearing capacity of the steel-ECC composite structure increases by 92.6%; when the spacing of the bolts is decreased from 200 mm to 150 mm, the ultimate load-bearing capacity of the member increases by 13.4%.
(3) The thickness of the ECC and the spacing of the bolts have important effects on the bending load capacity of the steel-ECC composite members. Increasing the thickness of the ECC layer and reducing the distance between the bolts can increase the cracking load, and the steel-ECC composite deck structure can maintain a certain load-bearing capacity under large deflection.
(4) Through the finite element simulation of plastic damage, the tensile damage in the model matches well with the crack distribution and damage mode in the test process and results, which further confirms the good bending performance of the steel-ECC composite deck plate with a negative bending moment.