Next Article in Journal
A Novel Computationally Efficient Approach for Exploring Neural Entrainment to Continuous Speech Stimuli Incorporating Cross-Correlation
Previous Article in Journal
Multi-Modal Clustering Discovery Method for Illegal Websites Based on Network Surveying and Mapping Big Data
 
 
Font Type:
Arial Georgia Verdana
Font Size:
Aa Aa Aa
Line Spacing:
Column Width:
Background:
Article

Prediction of Blade Tip Timing Sensor Waveforms Based on Radial Basis Function Neural Network

Faculty of Mechanical Engineering and Automation, Liaoning University of Technology, Jinzhou 121004, China
*
Author to whom correspondence should be addressed.
Appl. Sci. 2023, 13(17), 9838; https://doi.org/10.3390/app13179838
Submission received: 26 July 2023 / Revised: 25 August 2023 / Accepted: 25 August 2023 / Published: 31 August 2023
(This article belongs to the Section Acoustics and Vibrations)

Abstract

:
As the existing Blade Tip Timing (BTT) vibration measurement methods have serious under-sampling problems, where the blade resonance frequency is usually higher than the sampling frequency of the data acquisition system of the BTT method, resulting in large errors in the identification of blade vibration parameters, new solutions are needed to extend the capability of BTT to nonlinear and multimodal vibration analysis. Therefore, it is the current research direction to pursue new and more accurate measurement and signal processing methods. By analyzing the waveform data from the BTT sensor and using it for vibration analysis, it significantly extends the BTT database. To avoid the current problems of under-sampling and low recognition accuracy, this paper conducts a study on the recognition of rotating blade vibration parameters based on the Radial Basis Function (RBF) model by establishing a RBF neural network prediction model to analyze the static calibration experimental data and predict the waveform of the BTT sensor, and comparing the prediction curves of various models. As the results show, for the RBF model, the prediction accuracy is closely related to the source data of the sampling point data, when the source data predicted by the RBF model is close to the center of the samples, the prediction accuracy is high, meanwhile, the prediction accuracy decreases as it is far away from the center of these data. At the same time, the number of samples is too small to affect the prediction ability of the RBF model. By using this method, more waveforms under the Blade Tip Clearance (BTC) can be predicted with the available sample point data, and the errors in the experimental measurement process can be corrected.

1. Introduction

Rotating blades are an important functional part of impeller machinery. However, severe operating conditions such as high speeds, extreme temperatures and heavy loads can very easily lead to blade failure. Therefore, the application of blade monitoring is very important for the safety and integrity of impeller machinery. Vibration-based condition monitoring is a practical method to analyze the vibration of a blade to obtain a more comprehensive understanding of the current state of the blade.
Vibrations in impeller machinery produce continuous stresses on the material, which deteriorate its properties. As a result, fatigue damage, especially High Circumference Fatigue (HCF), may occur. This can lead to the failure of components and, in extreme cases, cause the failure of the entire engine, which must be prevented. Due to their geometry and arrangement, rotor blades are susceptible to fatigue damage. Hence, a lot of research has been conducted in this area to understand and analyze blade vibrations to develop measurement methods [1].
The fundamental concept of Blade Tip Timing (BTT) is to take the rotational speed signal measured by the rotational speed sensor installed near the rotating shaft as the reference signal for each revolution, record the blade arrival moment by using the sensor to detect the rotating blade through the pulse signal generated, and obtain the vibration information of the blade by analyzing the blade sweeping through the sensor time sequence.
At the moment, in the field of blade vibration mode identification research based on BTT technology, a variety of modal analysis algorithms have been proposed, such as the single-parameter method, two-parameter method, sinusoidal fitting method, autoregressive method, compression perception, etc. [2]. As the accurate measurement of the tiny displacement of the blade tip is the basis for the reconstruction of the rotating blade vibration mode by BTT technology, it is urgent to improve the measurement accuracy of the blade tip displacement to ensure the accuracy of vibration mode reconstruction and health diagnosis [3].
Research on BTT vibration measurement technology has achieved great results after a long period of development and its evolution is shown in Table 1. Initially this was due to research by the United States WESTHOUSE corporation on the rotating blade vibration online measurement, and on the basis of this appeared the strain gauge detection method [4,5]. R.L. Powell and K.A. Stetson used holographic interference metric technology applied to vibration testing, leading to the emergence of the laser holographic method [6,7], using holographic irradiation to measure blade vibration. However, it requires a high degree of blade vibration mode monitoring, which is only possible in laboratory settings. After that, the American Electric Power Research Institute (EPRI) and Liberty Technology Center proposed to monitor the blade in time according to the Doppler effect of the acoustic signal generated by the blade acoustic response method [8,9], leading to the application of the acoustic response system to measure the vibration information of the blade. However, the operating environment of the actual rotating blade is a complex magnetic field with a wide frequency range, and the background noise can cause great interference. The BTT vibration measurement method appeared only afterwards; domestic research in this field started later. Duan et al. [10,11,12,13,14,15,16] form the earliest team in China to carry out research in the field of blade tip vibration measurement, and they have conducted a lot of pioneering work in system simulation modeling, system design and development, data analysis algorithms, etc. Zhou [17] has conducted related research in the field of blade tip synchronous signal processing. In recent years, blade tip synchronization measurements have been combined with rotating blade dynamics analysis to study the identification of blade micro-damage. Zhu [18] combined the BTT measurement technique and convolutional neural network, which yielded blade crack data. The project by Cao [19] proposed a spatial transformation-based parameter identification method based on fewer probes with single-probe BTT measurements. Ren [20] linearly fitted the multi-probe data of the BTT and linearly corrected the blade arrival time so as to correct the nonlinear vibration in a way that reduces the error of the vibration displacement analysis method.
Zhu et al. [18] applied a Convolutional Neural Network (CNN) combined with the BTT measurement technique to analyze the rotating blade crack data, linking the CNN and BTT measurements, thus providing an online real-time diagnosis of blade crack faults. Zhang et al. [21] proposed the feature learning method based on a CNN to learn new fault-sensitive features from the under-sampled raw data to address the shortcomings of the traditional BTT method. Eric et al. [22] applied a CNN to alternative aerodynamic wind turbine blades, and the alternative aerodynamic blade model was trained with high-precision data to predict the aerodynamic loads of the wind turbine blades; this approach is more accurate and creates a more precise proxy model. However, RBF NN approximates any continuous function with arbitrary accuracy compared to CNN when applied to BTT measurement data, which is more suitable for waveform prediction of BTT sensors. Reddy et al. [23] used three rotational frequency mode sets of helicopter rotor blades under flap, hysteresis and elastic torsion motions obtained from finite element analysis to detect structural damage of helicopter rotor blades with RBF NN, which obtained good damage detection results. However, this method, using RBF NN, does not fit its characteristics better, and RBF NN is more suitable for function approximation-type problems. Huang et al. [24] combined RBF NN with nonlinear BTT missile controllers, and introduced RBF NN to simulate nonlinear vectors, which utilizes the property of approximate convergence of RBF NN to converge the output signals to a small neighborhood to correct the uncertainties of aerodynamic parameters and smooth function vectors. This paper utilizes that property of the RBF NN to predict the BTT sensor waveforms based on experimental data to compensate for the waveform data under each BTC.
Bu et al. [25] proposed a high-dimensional aerodynamic acoustic optimization method based on the Kriging model and hovering rotor. Han et al. [26] proposed a hierarchical Kriging model that can be used for the agent model problem with variable fidelity, providing a derivation of a self-contained hierarchical Kriging model with more reasonable mean square error estimates. Joëlle et al. [27] used a multi-fidelity optimization technique based on a single low-fidelity model of the Kriging method for aerodynamic optimization design using a Co-Kriging proxy model. Huang et al. [28] constructed an efficient multi-fidelity agent model by utilizing the Co-Kriging method. The approach uses more low-fidelity information to raise the precision of the fidelity model agent and greatly reduces the computational cost of constructing the agent model. Atthaphon et al. [29] used the Kriging method to construct the local deviation and the radial basis function to construct the global model, and proposed a multi-fidelity optimization method based on the hybrid agent model.
So, the main purpose of this article is to use the RBF model and static calibration data to predict the waveform of the BTT sensor, the connection between the Output Voltage (OV) of the eddy current sensors measured by the experimental bench with the BTC and the angle at which the blade cuts the magnetic susceptor, to predict the collected waveform data by using the RBF model, and then comparing and analyzing other models to draw the model with the highest prediction accuracy. The structural arrangement of the article is as follows: in Section 2, the output voltage, the clearance and the angle by the established static calibration experimental bench are measured. Section 3 outlines the establishment of the RBF model, Kriging model, BP model and polynomial fitting equations. In Section 4 we compare and verify the prediction accuracy as well as the prediction error of the RBF model, Kriging model, BP model, and polynomial fitting function. Finally, Section 5 draws the conclusion of the article.

2. Static Calibration of Sensor Waveforms

When measuring the BTT data of a given thickness of the blade using a given tip timing sensor, the OV of the BTT sensor is mainly affected by the radial distance x between the blade tip and the sensor, and the angle α between the centerline of the blade and the sensor. Hence, the output voltage can be shown by the following formula:
U = U ( x , α )
First, calibrate the waveforms of the BTT sensor under static conditions. The experimental data between U x and U α are measured on the static calibration experimental bench as shown in Figure 1. Its principle is to fix a value of blade tip radial clearance x , and then measure the voltage U at different angles α . Thus, the U α curves at different clearances are measured. Lastly, within the radial clearance value measurement range (0.1–0.55 mm), the eddy current sensor measures the output voltage values for each angle within the different radial gaps under the conditions of this signal. After fitting the data, the calibrated sensor output waveform set is obtained.
A dynamic calibration system mainly involves a radial and circumferential calibration system. The radial calibration system consists of manual fine-tuning X-Y direction displacement sliding platform, a sensor and its fixed bracket. During the radial calibration, the Y-directional sliding platform is adjusted to keep both the blade centerline and the BTT sensor centerline coincident to the extent possible. Subsequently, the X-directional sliding platform is adjusted so that the transducer bracket fixed on the displacement table moves slightly with the transducer in the X-direction, thus adjusting the radial distance between the transducer probe and the bladed tip. A peripheral calibration system is composed of a manual fine-tuning rotary table in the R-direction, a fixed bracket, a peripheral adjustment plate and other components. Among them, the fixed bracket is connected to the operating platform by a fixing hole in it. The rotating table is bolted to the fixed bracket, on which the circumferential adjustment plate is fixed. A circumferential adjustment plate is provided with radial blade mounting slots to obtain different blade tip radii. To perform the circumferential calibration, the rotary table is first set to coarse adjustment and rotated so that the blade is in the centered position with the sensor. Afterwards, switch the rotary table to fine adjustment, and rotate the R-direction micrometer tip to revolve the circulating adjustment plate, so as to push the blade to rotate slightly and accomplish the circumferential calibration.
At a constant value of the BTC, there is an output voltage of the sensor which can be summarized as follows:
U = f ( x )
In which x is the peripheral displacement of the blade tip relative to the speed key phase sensor, f is a function of the fitted stationary calibration curve.

3. Neural Network Model

A neural network model is a mathematical model for estimating or approximating functions that mimic the function of a biological neural network (the central nervous system of animals) in its structure and function [30,31]. There are three main components of a neural network: the input layer, the hidden layer, and the output layer.

3.1. Structure of Neural Network

McCulloch and Pitts referenced the structure of biological neurons to publish the abstract neuron model MP in 1943 [32].
The MP neuron model in Figure 2 receives input signals (x1~xn) from other neurons, which are passed through connections with weights (ε), where the total input (the sum of the products of all inputs and weights) received by the neuron (threshold T) is compared with the threshold T of the neuron, and the output signals are produced after processing by the response function.

3.1.1. RBF Neural Network Model

A radial basis function neural network (RBF NN) is a three-layer network widely used for function approximation and model classification. In 1988, Broomhead, Lowe, Moody and Darken first applied radial basis functions to neural network design [32].
The Radial Basis Function (RBF) is one that takes a value that depends only on the distance from the origin of the real-valued function of the method, that is, Φ ( x , c ) = Φ ( x c ) ( x c denotes the modulus of the difference vector, or two parameters). Either function Φ that satisfies the properties of Φ ( x ) = Φ ( x ) is called a radial basis function. The most common RBF is a Gaussian kernel function of the form k ( x x c ) = e x x c 2 2 σ 2 , where x c is the center of the kernel function, and σ is the width parameter of the function, which controls the radial range of action of the function.
Assume that the N-dimensional space has p input vectors (p = 1, 2, 3,…, P) whose corresponding target values in the output space are d p , p = 1, 2, 3,…, P, p pairs of input-output samples constitute the training sample set. Interpretation aims to find a nonlinear mapping function F ( x ) such that it satisfies
F ( x ) = d p   p = 1 ,   2 ,   3 , , P
where F depicts the interpolating surface.
The interpolation problem is solved using the RBF technique by selecting P basis functions to train the data, with individual basis functions of the following form:
φ ( x x p )   p = 1 ,   2 ,   3 , , P
where the basis function φ is a nonlinear function and the training data point x p is the center of x . The fundamental function takes the distance between the point x and the center x p in the input space as the independent variable of the function. Since the distances are radially homogeneous, the function is called a radial basis function. The definition of the difference function based on the RBF technique is a linear combination of cardinal functions as follows:
F ( x ) = p = 1 P ω p φ ( x x p )
Taking the interpolation condition of Equation (3) into Equation (5) results in a system of P linear equations with respect to the unknown coefficient ω p , (p = 1, 2, 3, …, P):
p = 1 P ω p φ x 1 x p = d 1 p = 1 P ω p φ x 2 x p = d 2 p = 1 P ω p φ x P x p = d P
Let φ i p = φ x i x p , i = 1, 2, 3, …, P, p = 1, 2, 3, …, P, replace the above system of equations as follows:
φ 11 φ 12 φ 1 P φ 21 φ 22 φ 2 P , , , φ P 1 φ P 2 φ P P ω 1 ω 2 ω P = d 1 d 2 d P
Suppose Φ denotes the P × P order matrix of element φ i p , where W and d denote the coefficient vector and the desired output vector, respectively, then Equation (7) can be expressed in vector form as follows:
Φ W = d
where Φ is referred to as the interpolation matrix, and if Φ is an invertible matrix, then the coefficient vector can be derived from (8), that is:
W = Φ 1 d

3.1.2. Radial Basis Function Neural Network

The RBF neural network is a feedforward neural network with excellent performance (Figure 3), it can approximate a non-linear function with arbitrary accuracy and has the capability of global approximation, which fundamentally solves the optimal localization problem of the BP network. The complementarity of RBF networks and fuzzy logic is beneficial for improving the learning generalization ability of neural networks. It is widely used due to strong robustness, memory capability, nonlinear mapping capability, self-learning capability and simple learning rules.
a i l = r a d b a s I i W 1 , 1 p b i l , a 2 = p u r e l i n L W 2 , 1 a 1 + b 1
a i l is i t h element of a 1 where I i W 1 , 1 is a vector made of the i t h row of I W 1 , 1 .

3.2. Constructing RBF Neural Network Models for Data Prediction

By utilizing the RBF NN interpolation algorithm, which predicts the collected static calibration experimental data, the prediction accuracy of the neural network model is initially analyzed for different data points.
Establish five groups of sample data for different scenarios and predict them using the RBF model, where Figure 4a–e represent the prediction models under ten, eight, six, five, and three sets of sample points, respectively. Figure 4a illustrates the prediction model for the full data point, where the prediction accuracy of the prediction model at this data point is theoretically closest to the experimentally measured true value. Figure 4b demonstrates the static calibration data at 0.55 mm, 0.45 mm, 0.4 mm, 0.35 mm, 0.3 mm, 0.25 mm, 0.2 mm, and 0.1 mm to compare the effect on the prediction accuracy of the RBF neural network model with reduced sample points. Figure 4c,d show the experimental data measured in the absence of 0.1 mm to observe the effect of the experimental data on the absence of proximity on the prediction ability of the waveform in the range of the BTC. Figure 4e presents the experimental data with only 0.1 mm, 0.4 mm, and 0.55 mm retained to compare the prediction ability of the RBF model in conditions where only the ends of the BTC measurement range and the middle are retained. Figure 4f shows the forecasting data with the Kriging forecasting model to compare the accuracy of the RBF forecasting model under six sets of sample points.
Table 2 provides a comparative analysis of MSE under four groups of different sample data, intercepting representative data from each group of data points as shown in the table, when the number of neurons increases, the value of MSE becomes smaller, the difference between the predicted value and the true value of the RBF model is smaller, with a better fitting of the model. Meanwhile, the MSE of RBF model is lower than that of Kriging and its accuracy is higher than the Kriging model, moreover, in the two models with a different number of groups of samples, the more data points there are and the smaller the value of MSE, the higher the prediction accuracy is. From the table, with fewer data points, the MSE value of the Kriging model instead becomes smaller for fewer data points, resulting in a difference in the degree of fitting compared to before.

4. Validating the Prediction Accuracy of RBF Neural Network

From Equation (1), it is known that output voltage U of electric eddy current sensor is related to the clearance x and the angle α of blade cutting magnetic induction line. Adopting the method of controlling variables, first fix the angle α at which the blade cuts the magnetic inductance, change the distance x between the blade and the BTT sensor, and obtain the U x curves at different angles α . Similarly, fixing a value of the clearance x and then measuring the output voltage U at different pinch angles α , we can obtain the U α curve at different clearances.

4.1. Predicted Static Radial Characteristic Curve

When the blade cutting angle α is 17.825 ° and 35.65 ° , respectively, the RBF neural network model, Kriging prediction model, BP neural network model, and polynomial function are adopted for prediction comparison to verify their accuracy. The blades in the middle position range from the centerline to the edge of the sensor when the blade cutting angle α is 17.825 ° . Moreover, in the angle under the BTC in 0.45 mm after the blade is unable to cut the eddy current sensor magnetic induction line, there is no output voltage signal. Therefore, the BTC measurement range is 0.1~0.45 mm under this angle.
As shown in Figure 5a–f, the comparison plots among the RBF model prediction curves, Kriging model prediction curves, BP model prediction curves, and polynomial curves against the static radial characteristic curves for the blade cutting angle of magnetic susceptibility at 17.825 ° reveal that the prediction curves under the different models possess a high overlapping degree and are basically similar to the static radial characteristic curves. The prediction curves of the Kriging model show pointwise errors, but with the same orientation. The overlap between the prediction curves of the BP model and the polynomial fitting curves shown in Figure 5c,f is slightly lower compared to the curves plotted from the empirical values, but there is a higher overlap for the RBF model compared to Figure 5a.
Further, Figure 6 shows the RBF model, Kriging model, BP model and polynomial function fitting predicted curves against the static calibration data, from which it is found that there is a small fluctuation between the curves at the clearance of 0.25 mm. The prediction errors of each model are shown in Figure 7 and Figure 8. The absolute errors of the RBF model, Kriging model and BP model are less than 40 mV. With the same number of sampling points in the same group, the RBF model’s prediction accuracy is high when the clearance is small and decreases compared to the Kriging model when the clearance becomes large, and the BP model has a higher accuracy in the localized range of 0.1–0.45 mm in Figure 7a,b. The prediction accuracies of the above models are within the measurement errors of the sensors. The absolute error predicted by the polynomial function is lower compared to the RBF model and Kriging model, however it is less than 60 mV, which is still within the allowed range. The training data curves of the BP model are shown in the upper half of Figure 8. With its training set, test set and function fitting curves highly overlapping, it presents an excellent training data state.
The output voltage reaches its maximum value where the centerline of the blade coincides with that of the sensor, at which α = 35.65 ° . Figure 9a–f show the correlations among the RBF model prediction curves, Kriging model prediction curves, BP model and polynomial function fitting curves versus the ratio of static radial characteristic curves. The RBF model prediction curves in Figure 9a basically match with the data measured from experiments. Combining this to Figure 5a, the overall prediction trend and the overlap of the prediction curves are the same even though the selected blade cutting angle of the magnetic induction line is different. Similarly, in Figure 9b, the degree of variation in the prediction curves is still not significant. In Figure 9c, the prediction curve of the BP model has a significant overlap with the static radial characteristic curve between 0.2 and 0.35 mm, and a small overlap in the gap range other than this range, which indicates that the BP model has a local optimal feature. Figure 9d,e show the comparison plots between the models, and it is found that their prediction curves are consistent as a whole, but locally their overlap at various points is low and there are large fluctuations. Figure 9f proves that the polynomial curves predicted from the experimental data are well-aligned with the static radial characteristic curves.
The predictive curves of each model at α = 35.65 ° are shown in Figure 10 to have a high degree of overlap with the static calibration data, and their predictions have the best results at that angle. In Figure 11 and Figure 12, the prediction errors are shown under the angle α = 35.65 ° . The predictive precision of the RBF model and Kriging model are higher as seen in Figure 11, but the RBF model is less accurate. Moreover, the accuracy at wide clearances is also superior. While the accuracy of the polynomial in Figure 11c is lower compared to the precision of the RBF model, the prediction error is also within the range of 40 mV, which is still a promising level of accuracy. However, in Figure 12 the BP model has superior prediction accuracy in the range of 0.1–0.5 mm, lower compared to RBF, but the prediction accuracy decreases significantly beyond 0.5 mm, indicating the limitation of its high local accuracy.

4.2. Predicting Static Circumferential Characteristic Curves

Comparison analysis is performed based on the RBF neural network model, Kriging model, BP model, and polynomial function to predict static circumferential characteristic curves at 0.15 mm and 0.2 mm blade tip clearance. Comparison plots between the predicted curves of the RBF model, Kriging model, BP model, and the polynomial function fitted curves against the static circumstantial characteristic curves are shown in Figure 13a–f for the BTC of 0.2 mm. In Figure 13a–c, the RBF model prediction curves, Kriging model prediction curves, and BP model prediction curves are highly consistent with the static circumferential feature curves. There is also a high consistency of the prediction curves across the comparison plots for each model.
It is shown in Figure 14 that the four models at all angles when the BTC is at 0.2 mm have an extremely high degree of overlap with the static calibration data, which shows excellent performance. Forecasting errors when blade tip clearance is 0.2 mm are shown in Figure 15 and Figure 16. For the RBF, Kriging, and BP models, their prediction accuracies are high over the range of sampled data, with absolute errors within 20 mV. In Figure 15a,b,d, the RBF model demonstrates highly precise. There is higher fitting accuracy of the polynomial function when there are more data points, but its accuracy is lower than the other three models for fewer sample points, however the errors are all within the allowable range for the sensors. The training curve of the BP model is shown in the upper part of Figure 16, which has good accuracy and good overlap among the various data sets.
When the clearance x = 0.15 mm, the comparison plots as shown in Figure 17a–f among the RBF model prediction curves, Kriging model prediction curves, BP model prediction curves, and polynomial function curves against the static circumferential characteristic curves. In Figure 17a, the curves of the RBF model coincide with the static circumferential characteristic curves due to the static calibration data at the BTC of 0.15 mm being used for the prediction of the RBF model. The curves of the Kriging model in Figure 17b have minor fluctuations in the curves at 15 ° and 55 ° , which still have a high degree of overlap. Some errors exist in the BP model in Figure 17c at 20 50 ° when it is slightly lower than the static circumferential characteristic curve measured from the experiment. The comparative plots in Figure 17d,e with the RBF model compared with the Kriging model and BP model revealed that their prediction curves have a high overlap at a clearance of 0.15 mm. The polynomial function curve and the static circumferential characteristic curve in Figure 17f have a higher overlap in 10 60 ° . Beyond this range, the overlap is lower and separate, this curve demonstrates that the polynomial function fit curve has as high an accuracy as the other three models only in the 10 60 ° range.
From Figure 18, it is found that the prediction curves of the four models have high overlapping with the static calibration data in the range of angle 10 60 ° , but outside of this range the overlap among the models is lower. Figure 19 depicts the prediction error at a clearance of 0.15 mm. The Kriging model predicts data with high accuracy close to the sample point, which gradually decreases as it moves away from the center of their points in Figure 19a,b. Figure 19d shows that the general trend of the RBF model is more stable, it has less fluctuation and high approximation accuracy in the process of changing to the center of the data points. However, the polynomial function fitting curves cannot assure a great degree of accuracy for all samples, where large errors exist. Figure 20 shows the prediction error under six sets of sample points when the clearance is 0.15 mm, whose absolute prediction error is in the range of 10 mV. While the prediction error is smaller and more accurate near the center of the data point, whose prediction accuracy gradually diminishes when moving away from the center of the data point.

5. Conclusions

In this paper, we simulated the waveforms of the BTT sensors under different conditions by numerical analysis, which are used to estimate the actual waveforms in the current main method. However, utilizing the theoretical simulation results to estimate the actual BTT waveform is more difficult. For the difficulty of measuring dynamic experimental blade tip clearance data, this paper introduces a waveform prediction method using the BTT sensor based on an RBF neural network and static calibration data. In the first instance, the experimental data is obtained through the established static calibration experiment bench, and the static calibration data is used as sample point data for the real measured value. Later, dividing the measured values into different sample point arrays, the sample point data are predicted by establishing the RBF prediction model, Kriging prediction model, BP prediction model and polynomial function prediction equation, and the prediction curves are compared with the measured actual value fitted curves. It is concluded that the RBF neural network model approaches any nonlinear function with arbitrary accuracy, and it can be globally approximated, which has a high forecasting ability and still has good prediction accuracy with different groups of sampling points. In the case of fewer sample data, the RBF model’s fitted curves still have good prediction accuracy. Additionally, forecasting accuracies of the RBF model and Kriging model are essentially identical, while the BP model has a higher local accuracy, which decreases significantly when it is far away from the center of their points. Whereas the polynomial fitting function is less accurate relative to the RBF model, the Kriging model and the BP model, showing more significant prediction errors in some cases.

Author Contributions

Conceptualization, L.Z.; methodology L.Z.; software, C.C.; validation, L.Z.; formal analysis, C.C.; investigation, Y.X.; data curation, C.C.; writing-original draft preparation, L.Z.; writing-review and editing, L.Z., C.C. and J.C.; visualization, Q.S.; supervision, L.Z.; project administration, L.Z. All authors have read and agreed to the published version of the manuscript.

Funding

The work is supported by National Natural Science Foundation of China (Grant no. 51505206), Liaoning Province Applied Basic Research Program Project (Grant no. 2023JH2/101300227), Key Laboratory of Vibration and Control of Aero-Propulsion System, Ministry of Education, North-eastern University (Grant no. VCAME202211), Liaoning Provincial Natural Science Foundation Guidance Program Project (Grant no. 2019-ZD-0694), Liaoning Provincial Department of Education Scientific Research General Project (Grant no. L2014246) and Liaoning University of Technology Teacher Research Start Fund Project (Grant no. X201202).

Institutional Review Board Statement

Not applicable.

Informed Consent Statement

Not applicable.

Data Availability Statement

The data used to support the findings of this paper are available from the corresponding author upon request.

Conflicts of Interest

The authors declared no conflict of interest.

References

  1. Heller, D.; Sever, I.; Schwingshackl, C.W. Vibration analysis from simulated tip timing sensor signal shape modulation. Proc. Turbo Expo Power Land Sea Air 2018, 51159, V07CT35A001. [Google Scholar]
  2. Liang, Z.; Qidi, W.; Xin, L. Waveform Prediction of Blade Tip-Timing Sensor Based on Kriging Model and Static Calibration Data. Math. Probl. Eng. 2023, 2023, 9632212. [Google Scholar]
  3. Yiming, M.; Zhicheng, X.; Hua, O. High-accuracy Experimental Analysis and Correction of Blade Tip Timing Measurement Error. J. Aerosp. Power 2022, 1–13. [Google Scholar] [CrossRef]
  4. Jian, P.; Bing, L. Application Research on Vibration Frequency and Stress Instrumentation of Compressor Rotor Blades. Gas Turbine Exp. Res. 2003, 16, 10–13. [Google Scholar]
  5. Bingyu, Y.; Qizhou, L. Experimental Research on Blade Vibration Response at Surge Condition. Gas Turbine Exp. Res. 2002, 15, 31–35. [Google Scholar]
  6. Sikora, J.P.; Mendenhall, F.T. Holographic vibration study of a rotating propeller blade: Vibration-mode patterns of a rotating propeller can be observed and analyzed by means of an axially symmetric spinning-hologram technique. Exp. Mech. 1974, 14, 230–232. [Google Scholar] [CrossRef]
  7. Feng, Y.; Zhiyi, L. A Way to Improve Blade Vibration Mode Laser Holographic Image Quality. J. Eng. Therm. Energy Power 1990, 5, 30–32. [Google Scholar]
  8. Jingyu, H. Research of The Wind Turbin Blade Crack Wireless Monitoring System Based on Acoustic Emission Technologe; Beijing University of Chemical Technology, China Academic Journal Electronic Publishing House: Beijing, China, 2010. [Google Scholar]
  9. Hangyan, Y.; Zhouqi, L. Simulation of DOPPLER Online Monitoring Technique for Blade Crack Fault. J. Aerosp. Power 1999, 14, 69–73. [Google Scholar]
  10. Haotian, G.; Fajie, D.; Jilong, Z. Blade resonance parameter identification based on tip-timing method without the once-per revolution sensor. Mech. Syst. Signal Process. 2016, 66, 625–639. [Google Scholar]
  11. Haotian, G.; Fajie, D.; Meng, W. Engine Order Identification Based on Blade Tip-Timing Single Parameter Method. J. Tianjin Univ. 2016, 49, 951–955. [Google Scholar]
  12. Yugui, Z. Key Technology Research on Non-Contact Online Monitoring for Fume Turbine Blade Vibration; Tianjin University, China Academic Journal Electronic Publishing House: Tianjin, China, 2008. [Google Scholar]
  13. Jilong, Z.; Fajie, D.; Guangyue, N. The Preprocessing Method of the Blade Tip-timing Measurement without a Once-per-revolution Sensor and Error Analysis. Acta Metologica Sin. 2018, 39, 498–503. [Google Scholar]
  14. Yuhua, W. Research of Measuring Method and System Using Tip-Timing for High-Speed Rotating Blade Vibration; Tianjin University, China Academic Journal Electronic Publishing House: Tianjin, China, 2003. [Google Scholar]
  15. Menglin, L. Research on Fault Diagnosis of Rotating Machinery Rotor with Blade Tip-timing Data; Tianjin University, China Academic Journal Electronic Publishing House: Tianjin, China, 2011. [Google Scholar]
  16. Tao, O. Rotating Blade Vibration Detection and Parameters Identification Technique Using Blade Tip-Timing; Tianjin University, China Academic Journal Electronic Publishing House: Tianjin, China, 2011. [Google Scholar]
  17. Changyi, Z. Research on Identification for Vibration Parameters of Rotating Blades Using Blade Tip Timing without the Once-Per Revolution Sensor; National University of Defense Technology, China Academic Journal Electronic Publishing House: Changsha, China, 2017. [Google Scholar]
  18. Guangya, Z.; Chongyu, W.; Wei, Z.; Yonghui, X.; Ding, G.; Di, Z. Blade Crack Diagnosis Based on Blade Tip Timing and Convolution Neural Networks. Appl. Sci. 2023, 13, 1102. [Google Scholar]
  19. Jiahui, C.; Zhibo, Y.; Guangrong, T.; Shaohua, T.; Guoyong, Y.; Xuefeng, C. Spatial transformation of general sampling-aliasing frequency region for rotating-blade parameter identification with emphasis on single-probe blade tip-timing measurement. Chin. J. Aeronaut. 2023, 36, 220–240. [Google Scholar]
  20. Sanqun, R.; Xiaorong, X.; Qingjun, Z.; Weimin, W.; Wei, Z.; Chuanlin, Z. Multi-probe linear fitting and time of arrival linear correction method to analyze blade vibration based on blade tip timing without once-per-revolution. Chin. J. Aeronaut. 2023, 36, 290–310. [Google Scholar]
  21. Jiwang, Z.; Laibin, Z.; Lixiang, D. A blade defect diagnosis method by fusing blade tip timing and tip clearance information. Sensors 2018, 18, 2166. [Google Scholar]
  22. Lalonde, E.R.; Vischschraper, B.; Bitsuamlak, G.; Kaoshan, D. Comparison of neural network types and architectures for generating a surrogate aerodynamic wind turbine blade model. J. Wind Eng. Ind. Aerodyn. 2021, 216, 104696. [Google Scholar] [CrossRef]
  23. Reddy, R.R.K.; Ganguli, R. Structural damage detection in a helicopter rotor blade using radial basis function neural networks. Smart Mater. Struct. 2003, 12, 232. [Google Scholar] [CrossRef]
  24. Shengjie, H.; Zhuwei, Z.; Qi, L. Design for BTT missile controller base on the RBF neural networks. In Proceedings of the 2007 Chinese Control Conference, Zhangjiajie, China, 26–31 July 2007; pp. 91–95. [Google Scholar]
  25. Yuepeng, B.; Wenping, S.; Zhonghua, H.; Yu, Z.; Liang, Z. Aerodynamic/aeroacoustic variable-fidelity optimization of helicopter rotor based on hierarchical Kriging model. Chin. J. Aeronaut. 2020, 33, 476–492. [Google Scholar]
  26. Zhonghua, H.; Görtz, S. Hierarchical kriging model for variable-fidelity surrogate modeling. AIAA J. 2012, 50, 1885–1896. [Google Scholar]
  27. Bailly, J.; Bailly, D. Multifidelity aerodynamic optimization of a helicopter rotor blade. AIAA J. 2019, 57, 3132–3144. [Google Scholar] [CrossRef]
  28. Likeng, H.; Zhenghong, G.; Dehu, Z. Research on multi-fidelity aerodynamic optimization methods. Chin. J. Aeronaut. 2013, 26, 279–286. [Google Scholar]
  29. Ariyarit, A.; Sugiura, M.; Yasutada, T.; Kanazaki, M. Hybrid surrogate-model-based multi-fidelity efficient global optimization applied to helicopter blade design. Eng. Optim. 2018, 50, 1016–1040. [Google Scholar] [CrossRef]
  30. Qiheng, L. Artificial Neural Network and Its Application in the Field of Mechanical Engineering. Mod. Ind. Econ. Inf. 2023, 13, 145–147. [Google Scholar]
  31. Armanto, H.; Santoso, J.; Giovanni, D.; Kurniawan, F.; Yudianto, R.J.P.-S.; Sciences, B. Evolutionary Neural Network for Othello Game. Procedia-Soc. Behav. Sci. 2012, 57, 419–425. [Google Scholar]
  32. Chen, W. Analysis of Learning Step of Adaptive MP Neurons in Continuous Case. J. East China Shipbuild. Inst. 1998, 12, 36–40. [Google Scholar]
  33. Mohammadi, M.; Krishna, A.; Nalesh, S.; Nandy, S. A hardware architecture for radial basis function neural network classifier. IEEE Trans. Parallel Distrib. Syst. 2017, 29, 481–495. [Google Scholar] [CrossRef]
Figure 1. Static calibration test stand.
Figure 1. Static calibration test stand.
Applsci 13 09838 g001
Figure 2. MP model.
Figure 2. MP model.
Applsci 13 09838 g002
Figure 3. Architecture of radial basis neural network [33].
Figure 3. Architecture of radial basis neural network [33].
Applsci 13 09838 g003
Figure 4. Comparative plots of different groups of sample points with RBF-based prediction models. (a) RBF prediction model under ten sample sets of points. (b) RBF prediction model under eight sample sets of points. (c) RBF prediction model under six sample sets of points. (d) RBF prediction model under five sample sets of points. (e) RBF prediction model under three sample sets of points. (f) Kriging prediction model under six sample sets of points.
Figure 4. Comparative plots of different groups of sample points with RBF-based prediction models. (a) RBF prediction model under ten sample sets of points. (b) RBF prediction model under eight sample sets of points. (c) RBF prediction model under six sample sets of points. (d) RBF prediction model under five sample sets of points. (e) RBF prediction model under three sample sets of points. (f) Kriging prediction model under six sample sets of points.
Applsci 13 09838 g004
Figure 5. Prediction curves of RBF model, Kriging model, BP model and polynomial function with static radial characteristic curve about clearance x for angle 17.825 ° , and comparison of prediction curves of Kriging model, BP model and RBF model. (a) Comparing the RBF model and static radial feature curve. (b) Comparing the Kriging model and static radial characteristic curve. (c) Comparing the BP model and static radial feature curve. (d) Comparing the prediction curves of the Kriging model and RBF model. (e) Comparing the prediction curves of the BP model and RBF model. (f) Comparative graph of the polynomial function curve and static radial characteristic curve.
Figure 5. Prediction curves of RBF model, Kriging model, BP model and polynomial function with static radial characteristic curve about clearance x for angle 17.825 ° , and comparison of prediction curves of Kriging model, BP model and RBF model. (a) Comparing the RBF model and static radial feature curve. (b) Comparing the Kriging model and static radial characteristic curve. (c) Comparing the BP model and static radial feature curve. (d) Comparing the prediction curves of the Kriging model and RBF model. (e) Comparing the prediction curves of the BP model and RBF model. (f) Comparative graph of the polynomial function curve and static radial characteristic curve.
Applsci 13 09838 g005aApplsci 13 09838 g005b
Figure 6. Where α = 17.825 ° , the RBF model, Kriging model, BP model, and polynomial function fitting prediction curve compared with the static radial feature curve.
Figure 6. Where α = 17.825 ° , the RBF model, Kriging model, BP model, and polynomial function fitting prediction curve compared with the static radial feature curve.
Applsci 13 09838 g006
Figure 7. The prediction error comparison of different prediction models at angle α = 17.825 ° : (a) with ten groups of data points using Kriging models; (b) with six groups of data points using Kriging models; (c) the polynomial function fitting model under ten sets of sample points; (d) with six groups of data points using RBF models.
Figure 7. The prediction error comparison of different prediction models at angle α = 17.825 ° : (a) with ten groups of data points using Kriging models; (b) with six groups of data points using Kriging models; (c) the polynomial function fitting model under ten sets of sample points; (d) with six groups of data points using RBF models.
Applsci 13 09838 g007
Figure 8. Where α = 17.825 ° , training curves of the BP model dataset under six groups of data points and absolute errors.
Figure 8. Where α = 17.825 ° , training curves of the BP model dataset under six groups of data points and absolute errors.
Applsci 13 09838 g008
Figure 9. Prediction curves of the RBF model, Kriging model, BP model and polynomial function versus static radial characteristic curve about clearance x and comparison of the prediction curves of the Kriging model, BP model and RBF model for angle 35.65 ° . (a) Comparing the RBF model and the static radial feature curve. (b) Comparing the Kriging model and the static radial characteristic curve. (c) Comparing the BP model and the static radial feature curve. (d) Comparing the prediction curves of the Kriging model and RBF model. (e) Comparing the prediction curves of the BP model and RBF model. (f) Comparative graph of the polynomial function curve and static radial characteristic curve.
Figure 9. Prediction curves of the RBF model, Kriging model, BP model and polynomial function versus static radial characteristic curve about clearance x and comparison of the prediction curves of the Kriging model, BP model and RBF model for angle 35.65 ° . (a) Comparing the RBF model and the static radial feature curve. (b) Comparing the Kriging model and the static radial characteristic curve. (c) Comparing the BP model and the static radial feature curve. (d) Comparing the prediction curves of the Kriging model and RBF model. (e) Comparing the prediction curves of the BP model and RBF model. (f) Comparative graph of the polynomial function curve and static radial characteristic curve.
Applsci 13 09838 g009
Figure 10. Where α = 35.65 ° , the RBF model, Kriging model, BP model and polynomial function fitting prediction curve compared to the static radial feature curve.
Figure 10. Where α = 35.65 ° , the RBF model, Kriging model, BP model and polynomial function fitting prediction curve compared to the static radial feature curve.
Applsci 13 09838 g010
Figure 11. Prediction error comparison of different prediction models when the angle is 35.65 ° : (a) with ten groups of data points using Kriging models; (b) with six groups of data points using Kriging models; (c) polynomial function fitting model under ten groups of data points; (d) with six groups of data points using RBF models.
Figure 11. Prediction error comparison of different prediction models when the angle is 35.65 ° : (a) with ten groups of data points using Kriging models; (b) with six groups of data points using Kriging models; (c) polynomial function fitting model under ten groups of data points; (d) with six groups of data points using RBF models.
Applsci 13 09838 g011
Figure 12. Where α = 35.65 ° , training curves of the BP model dataset under six groups of data points and absolute errors.
Figure 12. Where α = 35.65 ° , training curves of the BP model dataset under six groups of data points and absolute errors.
Applsci 13 09838 g012
Figure 13. Plots of the RBF model, Kriging model, BP model and polynomial function against static circumferential characteristic curve about the angle at 0.2 mm for clearance, together with the curves of the Kriging model, BP model and RBF model. (a) Comparing the RBF model and static circumferential characteristic curves. (b) Comparing the Kriging model and static circumferential characteristic curve. (c) Comparing the BP model and static circumferential characteristic curve. (d) Comparing the prediction curves of the Kriging model and RBF model. (e) Comparing the prediction curves of the BP model and RBF model. (f) Comparative graphs of polynomial function curves and static circumferential characteristic curves.
Figure 13. Plots of the RBF model, Kriging model, BP model and polynomial function against static circumferential characteristic curve about the angle at 0.2 mm for clearance, together with the curves of the Kriging model, BP model and RBF model. (a) Comparing the RBF model and static circumferential characteristic curves. (b) Comparing the Kriging model and static circumferential characteristic curve. (c) Comparing the BP model and static circumferential characteristic curve. (d) Comparing the prediction curves of the Kriging model and RBF model. (e) Comparing the prediction curves of the BP model and RBF model. (f) Comparative graphs of polynomial function curves and static circumferential characteristic curves.
Applsci 13 09838 g013
Figure 14. Where x = 0.2 mm, the RBF model, Kriging model, BP model and polynomial function fitting prediction curve compared with the static radial feature curve.
Figure 14. Where x = 0.2 mm, the RBF model, Kriging model, BP model and polynomial function fitting prediction curve compared with the static radial feature curve.
Applsci 13 09838 g014
Figure 15. The prediction error comparison of different prediction models at a clearance of 0.2 mm: (a) with ten groups of data points using Kriging models; (b) with six groups of data points using Kriging models; (c) the polynomial function fitting model under ten groups of data points; (d) with six groups of data points using RBF models.
Figure 15. The prediction error comparison of different prediction models at a clearance of 0.2 mm: (a) with ten groups of data points using Kriging models; (b) with six groups of data points using Kriging models; (c) the polynomial function fitting model under ten groups of data points; (d) with six groups of data points using RBF models.
Applsci 13 09838 g015
Figure 16. Where x = 0.2 mm, training curves of the BP model dataset under six groups of data points and absolute errors.
Figure 16. Where x = 0.2 mm, training curves of the BP model dataset under six groups of data points and absolute errors.
Applsci 13 09838 g016
Figure 17. Plots of the RBF model, Kriging model, BP model and polynomial function against the static circumferential characteristic curve about the angle at 0.15 mm for the clearance, together with the curves of the Kriging model, BP model and RBF model. (a) Comparing the RBF model and the static circumferential characteristic curve. (b) Comparing the Kriging model and the static circumferential characteristic curve. (c) Comparing the BP model and the static circumferential characteristic curve. (d) Comparing the prediction curves of the Kriging model and RBF model. (e) Comparing the prediction curves of the BP model and RBF model. (f) Comparative graphs of the polynomial function curves and static circumferential characteristic curves.
Figure 17. Plots of the RBF model, Kriging model, BP model and polynomial function against the static circumferential characteristic curve about the angle at 0.15 mm for the clearance, together with the curves of the Kriging model, BP model and RBF model. (a) Comparing the RBF model and the static circumferential characteristic curve. (b) Comparing the Kriging model and the static circumferential characteristic curve. (c) Comparing the BP model and the static circumferential characteristic curve. (d) Comparing the prediction curves of the Kriging model and RBF model. (e) Comparing the prediction curves of the BP model and RBF model. (f) Comparative graphs of the polynomial function curves and static circumferential characteristic curves.
Applsci 13 09838 g017aApplsci 13 09838 g017b
Figure 18. Where x = 0.15 mm, the RBF model, Kriging model, BP model and polynomial function fitting prediction curve compared with the static radial feature curve.
Figure 18. Where x = 0.15 mm, the RBF model, Kriging model, BP model and polynomial function fitting prediction curve compared with the static radial feature curve.
Applsci 13 09838 g018
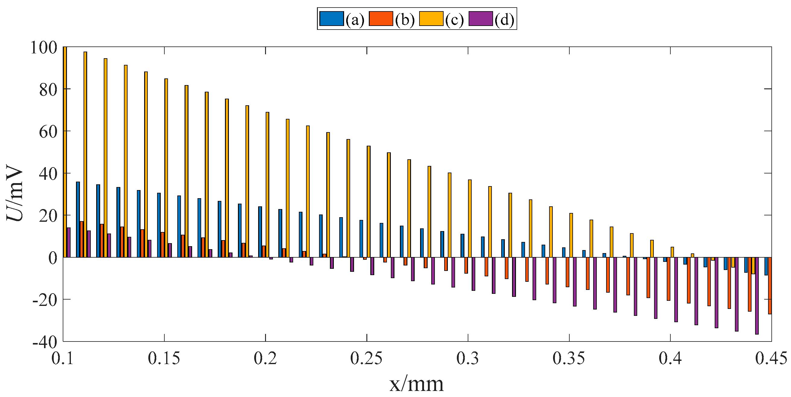
Figure 19. The prediction error comparison of different prediction models at a clearance of 0.2 mm: (a) with ten groups of data points using Kriging models; (b) with six groups of data points using Kriging models; (c) the polynomial function fitting model under ten sets of sample points; (d) with six groups of data points using RBF models.
Figure 19. The prediction error comparison of different prediction models at a clearance of 0.2 mm: (a) with ten groups of data points using Kriging models; (b) with six groups of data points using Kriging models; (c) the polynomial function fitting model under ten sets of sample points; (d) with six groups of data points using RBF models.
Applsci 13 09838 g019
Figure 20. Where x = 0.15 mm, training curves of the BP model dataset under six groups of data points and absolute errors.
Figure 20. Where x = 0.15 mm, training curves of the BP model dataset under six groups of data points and absolute errors.
Applsci 13 09838 g020
Table 1. The development history of blade vibration detection methods.
Table 1. The development history of blade vibration detection methods.
MethodGeneral Introduction and Causes of Development
Strain gauge methodThe contact measurement method directly reflects the magnitude of the strain at the affixed position; however, it is constrained by the high-speed airflow scouring caused by the high-speed rotation of the blade rotor, dynamic balance and other issues, and there are greater requirements for the installation of the strain gauges and wires.
Frequency modulation methodUtilizing frequency modulation grids for frequency modulation of vibration signals according to the principle of electromagnetic induction has played a positive role in the development of early rotating blade vibration detection technology, but magnets embedded in the tip of the blade change the vibration characteristics of the blade, so this method is difficult to popularize and apply.
Laser holographyThe holographic irradiation is used to measure the blade vibration, which has the advantages of intuition, full-field accuracy, and allows for the measurement of very small amplitudes, but it is more demanding in terms of blade vibration mode, making it suitable for laboratory work only.
Acoustic response methodMonitoring of blades in real time is based on the Doppler effect of the acoustic signals generated by the blades, where background noise will cause serious interference with the signals, and the mechanical noise cannot be filtered out.
Blade Tip TimingThe blade’s elapsed time is measured by the BTT sensor on the magazine, with different BTT processing algorithms for the blade vibration detection signal arrival time of the overrun or hysteresis processing, to obtain the blade vibration information, which is the hot spot of the current non-contact blade vibration detection technology.
Table 2. Relative performance of RBF model and Kriging model with different groups of data.
Table 2. Relative performance of RBF model and Kriging model with different groups of data.
Sample PointsRBF NNKriging Model
327 data pointsNeurons = 44, MSE = 12.9223
Neurons = 48, MSE = 1.36114
Neurons = 108, MSE = 1.9125 × 10−9
MSE = 9.2249 × 10−11
654 data pointsNeurons = 46, MSE = 10.4189
Neurons = 52, MSE = 1.53358
Neurons = 109, MSE = 1.20741 × 10−10
MSE = 2.1877 × 10−10
872 data pointsNeurons = 56, MSE = 8.25402
Neurons = 64, MSE = 1.00306
Neurons = 109, MSE = 2.84326 × 10−19
MSE = 2.6446 × 10−10
1090 data pointsNeurons = 65, MSE = 9.94967
Neurons = 73, MSE = 1.08635
Neurons = 109, MSE = 1.31676 × 10−23
MSE = 3.0617 × 10−10
Disclaimer/Publisher’s Note: The statements, opinions and data contained in all publications are solely those of the individual author(s) and contributor(s) and not of MDPI and/or the editor(s). MDPI and/or the editor(s) disclaim responsibility for any injury to people or property resulting from any ideas, methods, instructions or products referred to in the content.

Share and Cite

MDPI and ACS Style

Zhang, L.; Chen, C.; Xia, Y.; Song, Q.; Cao, J. Prediction of Blade Tip Timing Sensor Waveforms Based on Radial Basis Function Neural Network. Appl. Sci. 2023, 13, 9838. https://doi.org/10.3390/app13179838

AMA Style

Zhang L, Chen C, Xia Y, Song Q, Cao J. Prediction of Blade Tip Timing Sensor Waveforms Based on Radial Basis Function Neural Network. Applied Sciences. 2023; 13(17):9838. https://doi.org/10.3390/app13179838

Chicago/Turabian Style

Zhang, Liang, Cong Chen, Yiming Xia, Qingxi Song, and Junjun Cao. 2023. "Prediction of Blade Tip Timing Sensor Waveforms Based on Radial Basis Function Neural Network" Applied Sciences 13, no. 17: 9838. https://doi.org/10.3390/app13179838

APA Style

Zhang, L., Chen, C., Xia, Y., Song, Q., & Cao, J. (2023). Prediction of Blade Tip Timing Sensor Waveforms Based on Radial Basis Function Neural Network. Applied Sciences, 13(17), 9838. https://doi.org/10.3390/app13179838

Note that from the first issue of 2016, this journal uses article numbers instead of page numbers. See further details here.

Article Metrics

Back to TopTop