Development of Active Microvibration Isolation System for Precision Space Payload
Abstract
:1. Introduction
2. System Composition
2.1. Configuration and Composition of Active Vibration Isolation Platform
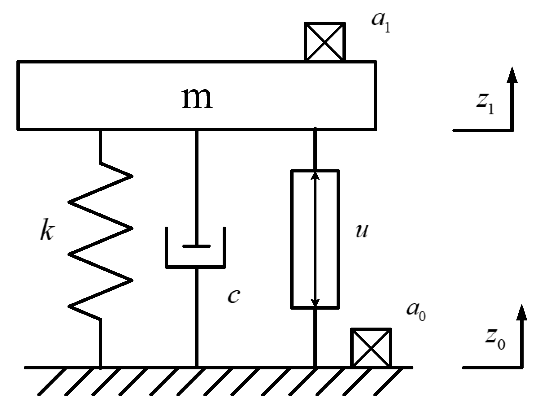
2.2. Principle of Vibration Isolation Module
3. Hybrid Control Design
3.1. Feedback Control
3.2. Feedforward Control
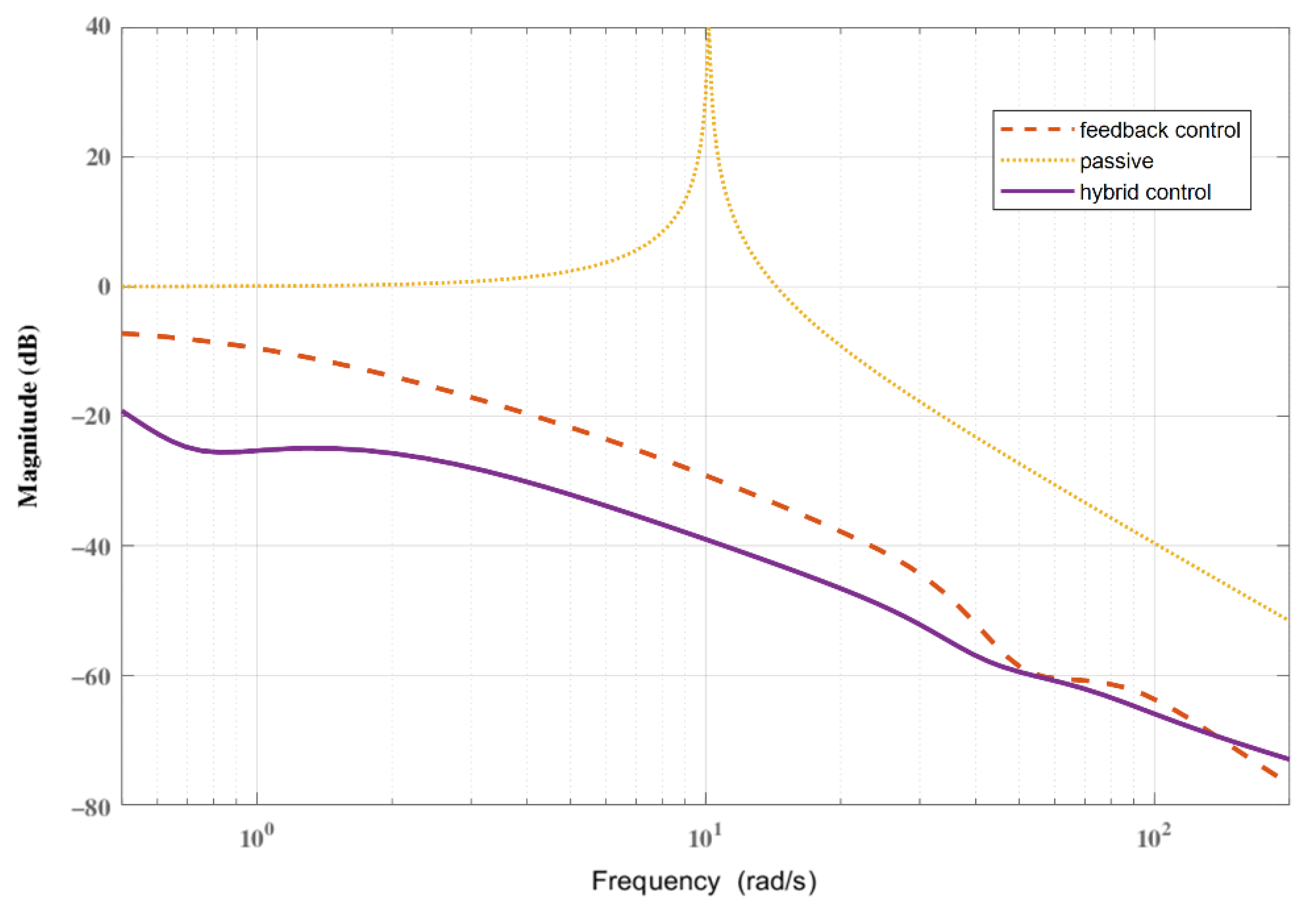
3.3. Simulation Experiment
4. Experimental Validation
4.1. Set Up of Experimental System
4.2. Analysis of Experimental Results
4.3. Discussion
5. Conclusions
Author Contributions
Funding
Institutional Review Board Statement
Informed Consent Statement
Data Availability Statement
Acknowledgments
Conflicts of Interest
References
- Kerber, F.; Hurlebaus, S.; Beadle, B.M.; Stobener, U. Control concepts for an active vibration isolation system. Mech. Syst. Signal Process. 2007, 21, 3042–3059. [Google Scholar] [CrossRef]
- Müller, H.; Chiow, S.W.; Long, Q.; Vo, C.; Chu, S. A new photon recoil experiment: Towards a determination of the fine structure constant. Appl. Phys. B 2006, 84, 633–642. [Google Scholar] [CrossRef] [Green Version]
- Cladé, P.; de Mirandes, E.; Cadoret, M.; Guellati-Khélifa, S.; Schwob, C.; Nez, F.; Julien, L.; Biraben, F. Precise measurement ofh∕mRbusing Bloch oscillations in a vertical optical lattice: Determination of the fine-structure constant. Phys. Rev. A 2006, 74, 052109. [Google Scholar] [CrossRef]
- Madjarov, I.S.; Cooper, A.; Shaw, A.L.; Covey, J.P.; Schkolnik, V.; Yoon, T.H.; Williams, J.R.; Endres, M. An Atomic-Array Optical Clock with Single-Atom Readout. Phys. Rev. X 2019, 9, 041052. [Google Scholar] [CrossRef] [Green Version]
- Kómár, P.; Kessler, E.M.; Bishof, M.; Jiang, L.; Sørensen, A.S.; Ye, J.; Lukin, M.D. A quantum network of clocks. Nat. Phys. 2014, 10, 582–587. [Google Scholar] [CrossRef] [Green Version]
- Su, J.; Wang, Q.; Wang, Q.; Jetzer, P. Low-frequency gravitational wave detection via double optical clocks in space. Class. Quantum Gravity 2018, 35, 085010. [Google Scholar] [CrossRef]
- He, F.; Zhang, B. A protocol of potential advantage in the low frequency range to gravitational wave detection with space based optical atomic clocks. Eur. Phys. J. D 2020, 74, 94. [Google Scholar] [CrossRef]
- Bloom, B.J.; Nicholson, T.L.; Williams, J.R.; Campbell, S.L.; Bishof, M.; Zhang, X.; Zhang, W.; Bromley, S.L.; Ye, J. An optical lattice clock with accuracy and stability at the 10(−18) level. Nature 2014, 506, 71–75. [Google Scholar] [CrossRef] [Green Version]
- Cacciapuoti, L.; Salomon, C. Atomic clock ensemble in space. J. Phys. Conf. Ser. 2011, 327, 012049. [Google Scholar] [CrossRef]
- Schiller, S.; Gorlitz, A.; Nevsky, A.; Alighanbari, S.; Vasilyev, S.; Abou-Jaoudeh, C.; Mura, G.; Franzen, T.; Sterr, U.; Falke, S.; et al. The space optical clocks project: Development of high-performance transportable and breadboard optical clocks and advanced subsystems. In Proceedings of the 2012 European Frequency and Time Forum, Gothenburg, Sweden, 23–27 April 2013; pp. 412–418. [Google Scholar]
- Zhang, L.; Wang, W.; Shi, Y. Development of a Magnetorheological Damper of the Micro-vibration Using Fuzzy PID Algorithm. Arab. J. Sci. Eng. 2018, 44, 2763–2773. [Google Scholar] [CrossRef]
- Zhou, W.; Li, D. Experimental research on a vibration isolation platform for momentum wheel assembly. J. Sound Vib. 2013, 332, 1157–1171. [Google Scholar] [CrossRef]
- Yu, Y.; Gong, X.; Zhang, L.; Jia, H.; Xuan, M. Full-Closed-Loop Time-Domain Integrated Modeling Method of Optical Satellite Flywheel Micro-Vibration. Appl. Sci. 2021, 11, 1328. [Google Scholar] [CrossRef]
- Meng, G.; Dong, Y.; Zhou, X.; Shen, J.; Liu, X. Research on micro-vibration control and testing of FY-4 meteorological satellite. Sci. Sin. Phy. Mech. Astron. 2018, 49, 024508. [Google Scholar] [CrossRef]
- Ludlow, A.D.; Huang, X.; Notcutt, M.; Zanon-Willette, T.; Foreman, S.M.; Boyd, M.M.; Blatt, S.; Ye, J. Compact, thermal-noise-limited optical cavity for diode laser stabilization at 1 × 10(−15). Opt. Lett. 2007, 32, 641–643. [Google Scholar] [CrossRef] [PubMed] [Green Version]
- Notcutt, M.; Ma, L.S.; Ye, J.; Hall, J.L. Simple and compact 1-Hz laser system via an improved mounting configuration of a reference cavity. Opt. Lett. 2005, 30, 1815–1817. [Google Scholar] [CrossRef] [PubMed] [Green Version]
- He, K.; Li, Q.; Liu, L.; Yang, H. Active vibration isolation of ultra-stable optical reference cavity of space optical clock. Aerosp. Sci. Technol. 2021, 112, 106633. [Google Scholar] [CrossRef]
- Young, B.C.; Cruz, F.C.; Itano, W.M.; Bergquist, J.C. Visible lasers with subhertz linewidths. Phys. Rev. Lett. 1999, 82, 3799–3802. [Google Scholar] [CrossRef] [Green Version]
- Nickerson, M.; Ames, E.; Bender, P.L. Recent LISA studies at the University of Colorado. J. Phys. Conf. Ser. 2009, 154, 012027. [Google Scholar] [CrossRef]
- Abakumov, A.M.; Miatov, G.N. Control algorithms for active vibration isolation systems subject to random disturbances. J. Sound Vib. 2006, 289, 889–907. [Google Scholar] [CrossRef]
- Xing, J.T.; Xiong, Y.P.; Price, W.G. Passive–active vibration isolation systems to produce zero or infinite dynamic modulus: Theoretical and conceptual design strategies. J. Sound Vib. 2005, 286, 615–636. [Google Scholar] [CrossRef]
- Beijen, M.A.; Heertjes, M.F.; Butler, H.; Steinbuch, M. Mixed feedback and feedforward control design for multi-axis vibration isolation systems. Mechatronics 2019, 61, 106–116. [Google Scholar] [CrossRef]
- Wang, M.; Li, X.; Chen, X. Active Hybrid Control Algorithm with Sky-Hook Damping and Lead-Lag Phase Compensation for Multi-DOFs Ultra-Low Frequency Active Vibration Isolation System. Shock Vib. 2017, 2017, 1861809. [Google Scholar] [CrossRef] [Green Version]
- Davis, L.P.; McMickell, M.B.; Henderson, B.K.; Kreider, T.; Hansen, E.; McMickell, M.B.; Davis, T.; Gonzalez, M. Optical payload isolation using the Miniature Vibration Isolation System (MVIS-II). In Proceedings of the Industrial and Commercial Applications of Smart Structures Technologies 2007, San Diego, CA, USA, 18 March 2007. [Google Scholar]
- Liu, W.; Zhang, Y.; Li, Z.; Dong, W. Control performance simulation and tests for Microgravity Active vibration Isolation System onboard the Tianzhou-1 cargo spacecraft. Astrodynamics 2018, 2, 339–360. [Google Scholar] [CrossRef]
- Liu, W.; Gao, Y.; Dong, W.; Li, Z. Flight Test Results of the Microgravity Active Vibration Isolation System in China’s Tianzhou-1 Mission. Microgravity Sci. Technol. 2018, 30, 995–1009. [Google Scholar] [CrossRef] [Green Version]
- Kim, Y.; Kim, S.; Park, K. Magnetic force driven six degree-of-freedom active vibration isolation system using a phase compensated velocity sensor. Rev. Sci. Instrum. 2009, 80, 045108. [Google Scholar] [CrossRef] [PubMed]
- Beijen, M.A.; Heertjes, M.F.; Van Dijk, J.; Hakvoort, W.B.J. Self-tuning MIMO disturbance feedforward control for active hard-mounted vibration isolators. Control Eng. Pract. 2018, 72, 90–103. [Google Scholar] [CrossRef] [Green Version]
- Gong, Z.; Ding, L.; Li, S.; Yue, H.; Gao, H.; Deng, Z. Payload-agnostic decoupling and hybrid vibration isolation control for a maglev platform with redundant actuation. Mech. Syst. Signal Process. 2021, 146, 106985. [Google Scholar] [CrossRef]
- Yang, B.X.; Liu, L.; Wu, S.C.; Li, H.Y.; Zhou, Z.B. A low frequency horizontal active vibration isolation bench for testing the performance of high-precision space inertial sensors. Class. Quantum Gravity 2021, 38, 175006. [Google Scholar] [CrossRef]











| Filter | K | ||
|---|---|---|---|
| High-pass | 1.0 | 0.63 | |
| Low-pass | 0.7 | 251.3 | |
| Lead-phase 1 | 8.5 | 50 | 500 |
| Lead-phase 2 | 6.5 | 90.9 | 686.8 |
| Notch 1 | 0.2 | 223.7 | |
| Notch 2 | 0.2 | 461.8 |
| Parameter | Value | Unit |
|---|---|---|
| Mass M | 25 | Kg |
| Stiffness K | 88,000 | N/m |
| Damping C | 17.6 | Ns/m |
| 10.12 | Hz | |
| 6.38 | Hz | |
| 6.71 | Hz | |
| 1000 | V/g | |
| 1.2 | N/A | |
| 0.2 | A/V |
| Controller | |||
|---|---|---|---|
| 1–4 | 100 | 2000 | 0.05 |
| 5&7 | 50 | 1200 | 0.02 |
| 6&8 | 50 | 1100 | 0.03 |
Publisher’s Note: MDPI stays neutral with regard to jurisdictional claims in published maps and institutional affiliations. |
© 2022 by the authors. Licensee MDPI, Basel, Switzerland. This article is an open access article distributed under the terms and conditions of the Creative Commons Attribution (CC BY) license (https://creativecommons.org/licenses/by/4.0/).
Share and Cite
Qian, Y.; Xie, Y.; Jia, J.; Zhang, L. Development of Active Microvibration Isolation System for Precision Space Payload. Appl. Sci. 2022, 12, 4548. https://doi.org/10.3390/app12094548
Qian Y, Xie Y, Jia J, Zhang L. Development of Active Microvibration Isolation System for Precision Space Payload. Applied Sciences. 2022; 12(9):4548. https://doi.org/10.3390/app12094548
Chicago/Turabian StyleQian, Yuchen, Yong Xie, Jianjun Jia, and Liang Zhang. 2022. "Development of Active Microvibration Isolation System for Precision Space Payload" Applied Sciences 12, no. 9: 4548. https://doi.org/10.3390/app12094548
APA StyleQian, Y., Xie, Y., Jia, J., & Zhang, L. (2022). Development of Active Microvibration Isolation System for Precision Space Payload. Applied Sciences, 12(9), 4548. https://doi.org/10.3390/app12094548
