Seismic Response of Immersed Tunnel Subject to Oblique Incidence of SV Wave
Abstract
1. Introduction
2. Computational Simulation for Oblique Incidence of SV Waves
2.1. Free-Field Ground Motion
2.2. Seismic Input Method
2.2.1. VSAB Condition
2.2.2. Equivalent Input Load
2.3. Numerical Verification
3. Application to Immersed Tunnel
3.1. Project Overview
3.2. Calculation Model
3.3. Boundary Conditions and Input Load
3.3.1. Boundary Conditions
3.3.2. Input Seismic Load
3.3.3. Hydrodynamic Pressure
3.4. Damping Setting
3.5. Numerical Implementation
4. Results and Discussion
4.1. Time–Frequency Analysis of Monitoring Points
4.1.1. Acceleration Time History
4.1.2. Fourier Spectrum
4.2. Displacement Response of Immersed Tunnel
4.2.1. Maximum Relative Horizontal Displacement of Wall
4.2.2. Relative Displacement of Segment Joint
4.2.3. Global Deformation of Immersed Segments
4.3. Internal Force of Immersed Tunnel
4.3.1. Axial Force and Bending Moment of Immersed Segments
4.3.2. Shearing Force of Immersed Segments
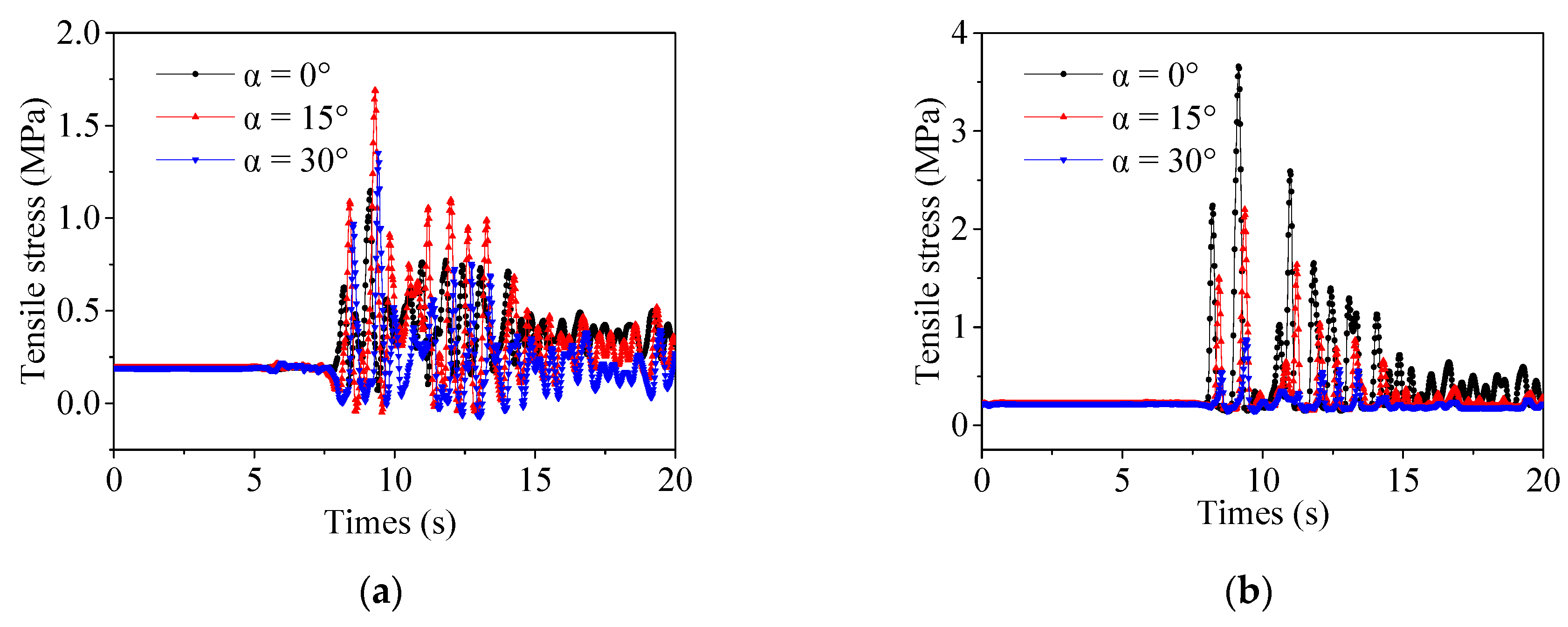
4.4. Stress Behavior of Shear Keys
5. Conclusions
- The proposed method can effectively simulate the seismic response of engineering site under oblique incidence of the SV wave. This method can consider the impact of incident angle and SSI, which is useful for the seismic design of tunnel structures.
- The oblique incident SV wave amplifies the vertical and longitudinal seismic responses of the structure, and the influence reaches maximum when the incident angle is close to the critical angle. Moreover, the oblique incident SV wave reduces the response frequency of the tunnel structure, making it closer to the natural frequency of the soil–tunnel system.
- With an increase in the incident angle, the horizontal displacement and force of tunnel structure decrease and tend to be stable. The difference between the incident angle of 15° and 30° is small.
- The oblique incidence of seismic wave causes the asymmetric shearing force in symmetric parts of the structure, resulting in the change of the shear bearing ratio in the shear key. The root of the shear key is prone to tensile cracks, and the end angle may also be partially damaged due to stress concentration. Therefore, the influence of oblique incidence of seismic waves should be considered in seismic design. Furthermore, attention should be paid to the configuration of anti-crack reinforcement at the connection between the shear key and immersed segment and the structural optimization of the end angle of shear key.
- Further improvements of the factors (e.g., the oblique incidence direction parallel to the y–z plane and multilayered foundation) will be investigated to establish a more general model and obtain more accurate results.
Author Contributions
Funding
Institutional Review Board Statement
Informed Consent Statement
Data Availability Statement
Acknowledgments
Conflicts of Interest
References
- Yu, H.T.; Yuan, Y.; Bobet, A. Multiscale Method for Long Tunnels Subjected to Seismic Loading. Int. J. Numer. Anal. Methods Geomech. 2013, 37, 374–398. [Google Scholar] [CrossRef]
- Anastasopoulos, I.; Gerolymos, N.; Drosos, V.; Georgarakos, T.; Kourkoulis, R.; Gazetas, G. Behaviour of deep immersed tunnel under combined normal fault rupture deformation and subsequent seismic shaking. Bull. Earthq. Eng. 2008, 6, 213–239. [Google Scholar] [CrossRef]
- Hu, X.Y.; Zhang, X.X.; Qiu, Y.L.; Dong, W.H.; Kou, B.W. Seismic analysis of immersed tube tunnel for Hong Kong-Zhu Hai-Macao Bridge Project. Adv. Mater. Res. 2011, 250–253, 1723–1727. [Google Scholar] [CrossRef]
- Chen, Z.Y.; Liang, S.B.; He, C. Seismic performance of an immersed tunnel considering random soil properties and wave passage effects. Struct. Infrastruct. Eng. 2018, 14, 89–103. [Google Scholar] [CrossRef]
- Taylor, P.R.; Ibrahim, H.H.; Yang, D. Seismic retrofit of George Massey Tunnel. Earthq. Eng. Struct. Dyn. 2005, 34, 519–542. [Google Scholar] [CrossRef]
- Egeli, I.; Gurbuz, C. Dynamic analysis of an immersed tunnel in Izmir. Recista Constr. 2018, 17, 103–111. [Google Scholar] [CrossRef]
- Choshiro, T.; Shunzo, O. On earthquake resistant design of a submerged tunnel. In Proceedings of the International Symposium on Earthquake Structure Engineering, St. Louis, MO, USA, 19–21 August 1976; pp. 809–822. [Google Scholar]
- Sawamura, Y.; Kishida, K.; Kimura, M. Experimental study on seismic resistance of a two-hinge precast arch culvert using strong earthquake response simulator. In Proceedings of the 15th Asian Regional Conference on Soil Mechanics and Geotechnical Engineering, Fukuoka, Japan, 9–13 November 2015; pp. 1684–1687. [Google Scholar] [CrossRef]
- Naseem, A.; Kashif, M.; Iqbal, N.; Schotte, K.; Backer, H.D. Seismic Behavior of Triple Tunnel Complex in Soft Soil Subjected to Transverse Shaking. Appl. Sci. 2020, 10, 334. [Google Scholar] [CrossRef]
- Oskouei, A.G.; Oskouei, A.V. The Effect of P-Wave Propagation on the Seismic Behavior of Steel Pipelines. Period. Polytech. Civ. Eng. 2017, 61, 889–903. [Google Scholar] [CrossRef]
- Nguyena, D.D.; Parkb, D.; Shamsherb, S.; Nguyenb, V.Q.; Leea, T.H. Seismic vulnerability assessment of rectangular cut-and-cover subway tunnels. Tunn. Undergr. Space Technol. 2019, 86, 247–261. [Google Scholar] [CrossRef]
- Pham, V.V.; Do, N.A.; Dias, D. Sub-Rectangular Tunnel Behavior under Seismic Loading. Appl. Sci. 2021, 11, 9909. [Google Scholar] [CrossRef]
- Wadi, A.; Pettersson, L.; Karoumi, R. FEM simulation of a full-scale loading-to-failure test of a corrugated steel culvert. Steel Compos. Struct. 2018, 27, 217–227. [Google Scholar] [CrossRef]
- Abuhajar, O.; Naggar, H.E.; Newson, T. Static soil culvert interaction the effect of box culvert geometric configurations and soil properties. Comput. Geotech. 2015, 69, 219–235. [Google Scholar] [CrossRef]
- Abuhajar, O.; Naggar, H.E.; Newson, T. Experimental and numerical investigations of the effect of buried box culverts on earthquake excitation. Soil Dyn. Earthq. Eng. 2015, 79, 130–148. [Google Scholar] [CrossRef]
- Michael, G.K. Seismic Design and Analysis of Buried Culverts and Structures. J. Pipeline Syst. Eng. Pract. 2010, 1, 111–119. [Google Scholar] [CrossRef]
- Yatsumoto, H.; Mitsuyoshi, Y.; Sawamura, Y.; Kimura, M. Seismic Design and Analysis of Buried Culverts and Structures. Undergr. Space 2018, 4, 147–167. [Google Scholar] [CrossRef]
- Maleska, T.; Beben, D.; Nowacka, J. Seismic vulnerability of a soil-steel composite tunnel–Norway Tolpinrud Railway Tunnel Case Study. Tunn. Undergr. Space Technol. 2021, 110, 103808. [Google Scholar] [CrossRef]
- Maleska, T.; Beben, D. Behaviour of soil-steel composite bridge with various cover depths under seismic excitation. Steel Compos. Struct. 2022, 42, 747–764. [Google Scholar] [CrossRef]
- Sigaki, T.; Kiyohara, K.; Sono, Y.; Kinosita, D.; Masao, T.; Tamura, R.; Yoshimura, C.; Ugata, T. Estimation of earthquake motion incident angle at rock site. In Proceedings of the 12th World Conference Earthquake Engineering, Auckland, New Zealand, 30 January–4 February 2000; p. 956. [Google Scholar]
- Li, P.; Song, E.X. Three-dimensional numerical analysis for the longitudinal seismic response of tunnels under an asynchronous wave input. Comput. Geotech. 2014, 63, 229–243. [Google Scholar] [CrossRef]
- Huang, J.Q.; Zhao, M.; Du, X.L. Non-linear seismic responses of tunnels within normal fault ground under obliquely incident P waves. Tunn. Undergr. Space Technol. 2017, 61, 26–39. [Google Scholar] [CrossRef]
- Huang, J.Q.; Du, X.L.; Jin, L.; Zhao, M. Impact of incident angles of P waves on the dynamic responses of long lined tunnels. Earthq. Eng. Struct. Dyn. 2016, 45, 2435–2454. [Google Scholar] [CrossRef]
- Wang, X.W.; Chen, J.T.; Xiao, M. Seismic damage assessment and mechanism analysis of underground powerhouse of the Yingxiuwan Hydropower Station under the Wenchuan earthquake. Soil Dyn. Earthq. Eng. 2018, 113, 112–123. [Google Scholar] [CrossRef]
- Wang, X.W.; Chen, J.T.; Xiao, M. Seismic responses of an underground powerhouse structure subjected to oblique incidence SV and P waves. Soil Dyn. Earthq. Eng. 2019, 119, 130–143. [Google Scholar] [CrossRef]
- He, C.; Gong, J.P.; Xu, G.Y. Seismic response analysis of oblique incident angle of SV wave on immersed tunnel. IOP Conf. Ser. Earth Environ. Sci. 2019, 304, 042059. [Google Scholar] [CrossRef]
- Zhang, G.L.; Wang, P.G.; Zhao, M.; Du, X.L.; Zhao, X. Seismic structure-water-sediment-rock interaction model and its application to immersed tunnel analysis under obliquely incident earthquake. Tunn. Undergr. Space Technol. 2021, 109, 103758. [Google Scholar] [CrossRef]
- Zhou, X.J.; Liang, Q.H.; Zhang, Y.Y.; Liu, Z.X.; He, Y. Three-dimensional nonlinear seismic response of immersed tunnel in horizontally layered site under obliquely incident SV waves. Shock. Vib. 2019, 3131502. [Google Scholar] [CrossRef]
- Wolf, J.P. Dynamic Soil-Structure Interaction; Prentice-Hall: Englewood Cliffs, NJ, USA, 1985. [Google Scholar]
- Peng, H.K.; Meng, G.; Ding, Q.; Xu, F. The influence of hydrodynamic pressure on immersed tunnel under earthquake excitation. J. Shanghai Jiaotong Univ. 2008, 42, 1027–1031. [Google Scholar] [CrossRef]
- Achenbach, J.D. Wave Propagation in Elastic Solids; Elsevier: Amsterdam, The Netherlands, 1973. [Google Scholar]
- Deeks, A.J.; Randolph, M.F. Axisymmetric time-domain transmitting boundaries. J. Eng. Mech. 1994, 120, 25–42. [Google Scholar] [CrossRef]
- Liu, J.B.; Du, Y.X.; Du, X.L.; Wang, Z.Y.; Wu, J. 3D viscous-spring artificial boundary in time domain. Earthq. Eng. Eng. Vib. 2006, 5, 93–102. [Google Scholar] [CrossRef]
- Liu, J.B.; Lu, Y.D. A direct method for analysis of dynamic soil-structure interaction based on interface idea. Delelopments Geotech. Eng. 1998, 83, 261–276. [Google Scholar] [CrossRef]
- Kuhlemeyer, R.L.; Lysmer, J. Finite element method accuracy for wave propagation problems. J. Soil Mech. Found. Div. 1973, 99, 421–427. [Google Scholar] [CrossRef]
- Ewing, W.M.; Jardetzky, W.S.; Press, F. Elastic Waves in Layered Media; McGraw-Hill: New York, NY, USA, 1957. [Google Scholar]
- Eringen, A.C.; Suhubi, E.S. Elastodynamics; Academic Press: New York, NY, USA, 1975. [Google Scholar]
- Lee, C.F.; Ding, Y.Z.; Huang, R.H. Seismic Hazard Analysis of the Hong Kong Region; Geo Report No.65; Geotechnical Engineering Office: Hong Kong, China, 1998; pp. 14–24.
- ABAQUS Inc. ABAQUS Theory Manual Version 6.12; Rising Sun Mills: Providence, RI, USA, 2007. [Google Scholar]
- Dong, Y.; Lou, M.L. Seismic response analysis of complicated soil site based on saturated porous media. J. Tongji Univ. (Nat. Sci.) 2014, 42, 198–202. [Google Scholar] [CrossRef]
- Hatzigeorgiou, G.D.; Beskos, D.E. Soil-structure interaction effects on seismic inelastic analysis of 3-D tunnels. Soil Dyn. Earthq. Eng. 2010, 30, 851–861. [Google Scholar] [CrossRef]
- Lou, M.L.; Dong, Y.; Zhang, R.L. Several problems in refined local modeling for seismic response analysis of immersed tunnel. Chin. J. Geotech. Eng. 2016, 38, 1705–1712. [Google Scholar] [CrossRef]
- Cheng, X.J.; Xu, K.P.; Liang, H.A. Study on the scheme of sensor arrangement in pseudo static test for immersed tunnel joint. IOP Conf. Ser. Earth Environ. Sci. 2020, 455, 012165. [Google Scholar] [CrossRef]
- Hu, Z.N.; Xie, Y.L. Mechanical and failure characteristics of shear keys on immersed tunnel segment joints under differential settlements. Procedia Eng. 2016, 166, 373–378. [Google Scholar] [CrossRef]

























| Material | Density (kg/m3) | Poisson’s Ratio | Modulus of Elasticity (MPa) | Shear Wave Velocity (m/s) |
|---|---|---|---|---|
| Concrete | 2500 | 0.16 | 32,500 | - |
| Soil layer | 2000 | 0.27 | 101.6 | 141 |
| Overlying gravel soil | 1500 | 0.15 | 150 | 209 |
Publisher’s Note: MDPI stays neutral with regard to jurisdictional claims in published maps and institutional affiliations. |
© 2022 by the authors. Licensee MDPI, Basel, Switzerland. This article is an open access article distributed under the terms and conditions of the Creative Commons Attribution (CC BY) license (https://creativecommons.org/licenses/by/4.0/).
Share and Cite
He, C.; Xu, G.; Zhang, Z.; Li, W. Seismic Response of Immersed Tunnel Subject to Oblique Incidence of SV Wave. Appl. Sci. 2022, 12, 10440. https://doi.org/10.3390/app122010440
He C, Xu G, Zhang Z, Li W. Seismic Response of Immersed Tunnel Subject to Oblique Incidence of SV Wave. Applied Sciences. 2022; 12(20):10440. https://doi.org/10.3390/app122010440
Chicago/Turabian StyleHe, Cong, Guoyuan Xu, Zhigang Zhang, and Wei Li. 2022. "Seismic Response of Immersed Tunnel Subject to Oblique Incidence of SV Wave" Applied Sciences 12, no. 20: 10440. https://doi.org/10.3390/app122010440
APA StyleHe, C., Xu, G., Zhang, Z., & Li, W. (2022). Seismic Response of Immersed Tunnel Subject to Oblique Incidence of SV Wave. Applied Sciences, 12(20), 10440. https://doi.org/10.3390/app122010440

