Study of Novel Punched-Bionic Impellers for High Efficiency and Homogeneity in PCM Mixing and Other Solid-Liquid Stirs
Abstract
:1. Introduction
2. Proposal and Description of the Novel Impeller
3. PIV Experimental Apparatus
4. Mathematical Model
4.1. Governing Equations
4.2. Numerical Details
4.3. Validation against PIV Experiment
4.4. Verification for Grid Independence
5. Results and Discussions
5.1. Flow Filed
5.2. Trailing Vortices
5.3. Pressure Filled
5.4. Solid Particle Distribution
5.5. Power Consumption
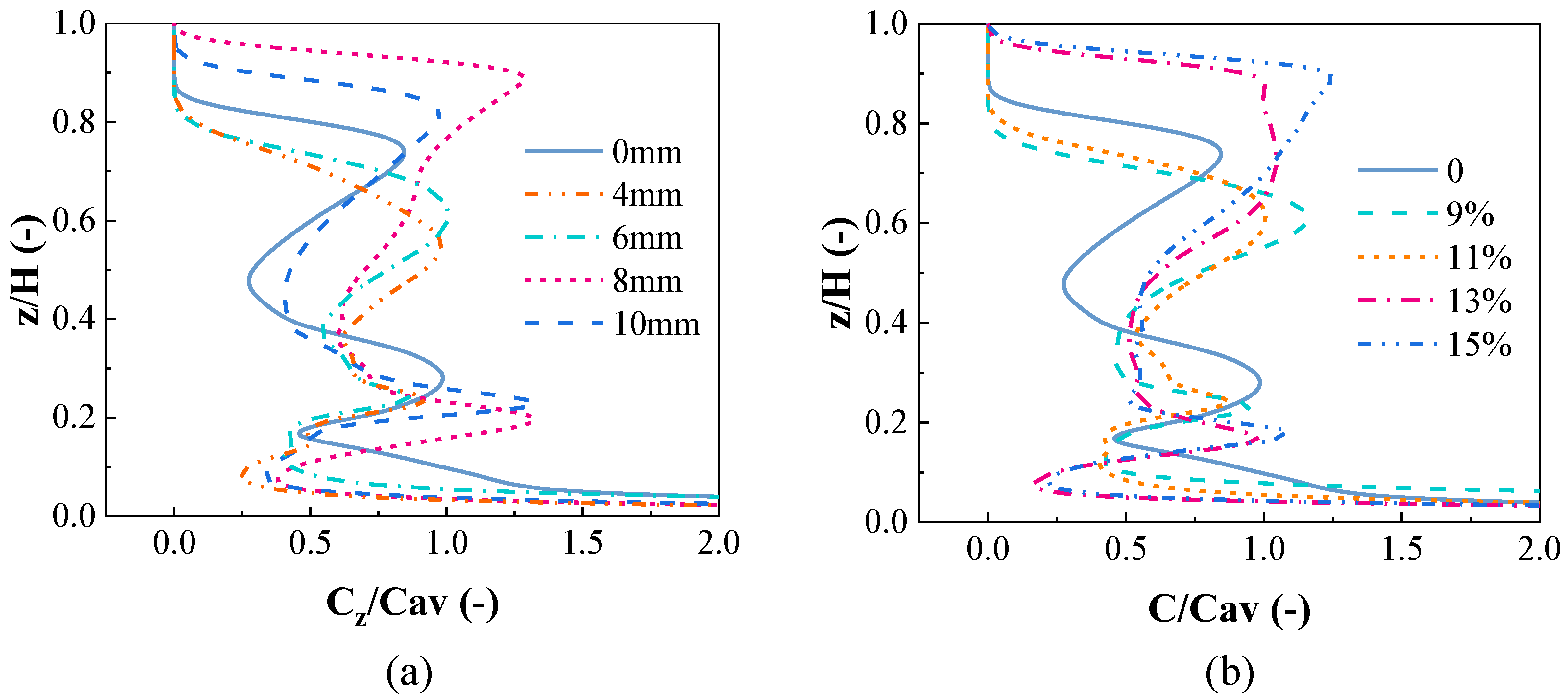
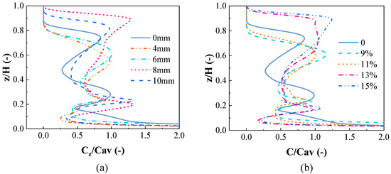
5.6. Influence of Aperture Parameters
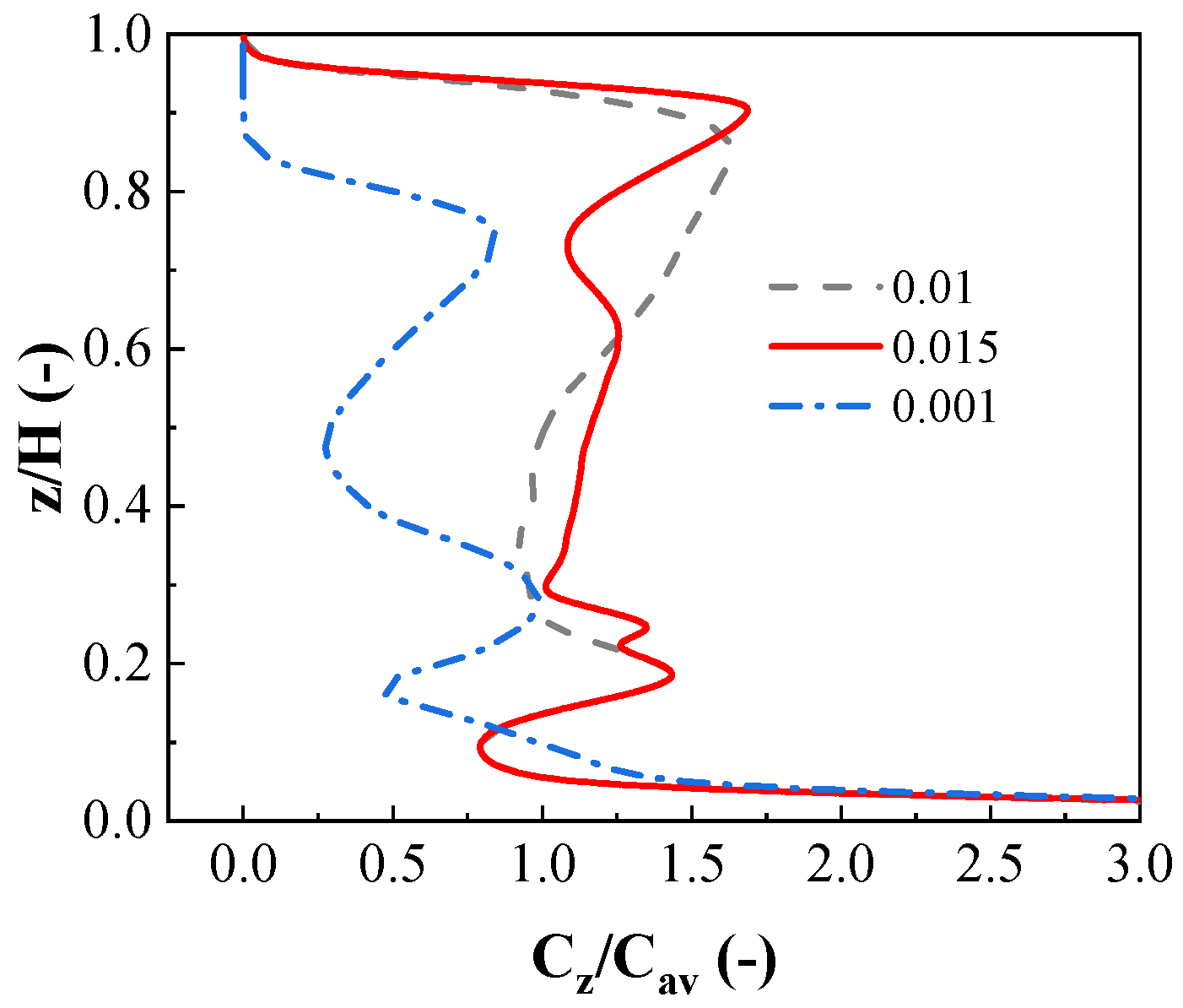
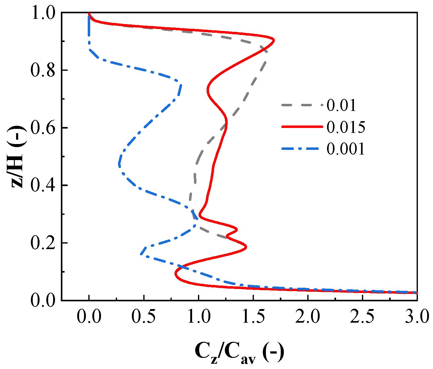
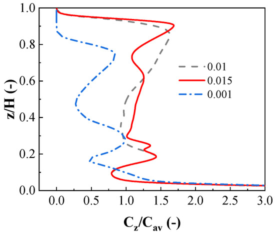
5.7. Influence of Liquid Viscosity
5.8. Influence of Impeller Speed
6. Conclusions
Author Contributions
Funding
Acknowledgments
Conflicts of Interest
Nomenclature
| A | Amplitude, mm |
| b | Blade length, mm |
| C | Off-bottom clearance, mm |
| Cav | Average concentration |
| Cz | Axial concentration |
| C1ε, C2ε, Cμ | Coefficients of turbulent model |
| D | Impeller diameter, mm |
| ds | Solid particle diameter, mm |
| d | aperture diameter, mm |
| Gk,m | Turbulence generation, kg·m/s3 |
| g | Gravity acceleration, m/s2 |
| H | Liquid height, mm |
| HC | Cloud height |
| i | i = 1 for liquid phase or 2 for solid phase |
| K | Interface momentum transfer coefficient |
| k | Turbulent kinetic energy, m2/s2 |
| N | impeller speed, rpm |
| p | Pressure, pa |
| Re | Reynolds number |
| T | Tank diameter, mm |
| t | Time, s |
| Velocity vector | |
| ur, uθ, uz | cylindrical velocity components |
| utip | impeller tip velocity, m/s |
| Wb | Baffle width, mm |
| Wi | Blade width, mm |
| x,y,z | Cartesian coordinates |
| Greek Letters | |
| α | Volume fraction |
| β | aperture ratio, % |
| λ | Wavelength, mm |
| ε | Turbulent kinetic energy dissipation rate, m2/s3 |
| μ | shear viscosity, Pa s |
| ρ | Density, kg/m3 |
| σ | Prandtl number |
| Viscous stress tensor, Pa | |
| υ | bulk viscosity, Pa |
| Subscripts | |
| l | Liquid phase |
| s | Solid phase |
| m | Mixture properties |
References
- Xu, Y.; Huang, Y.; Jiang, N.; Song, M.; Xie, X.; Xu, X. Experimental and theoretical study on an air-source heat pump water heater for northern China in cold winter: Effects of environment temperature and switch of operating modes. Energy Build. 2019, 191, 164–173. [Google Scholar] [CrossRef]
- Xu, Y.; Mao, C.; Huang, Y.; Shen, X.; Xu, X.; Chen, G. Performance evaluation and multi-objective optimization of a low-temperature CO2 heat pump water heater based on artificial neural network and new economic analysis. Energy 2021, 216, 119232. [Google Scholar] [CrossRef]
- Ürge-Vorsatz, D.; Cabeza, L.F.; Serrano, S.; Barreneche, C.; Petrichenko, K. Heating and cooling energy trends and drivers in buildings. Renew. Sustain. Energy Rev. 2015, 41, 85–98. [Google Scholar] [CrossRef] [Green Version]
- Nie, B.; Palacios, A.; Zou, B.; Liu, J.; Zhang, T.; Li, Y. Review on phase change materials for cold thermal energy storage applications. Renew. Sustain. Energy Rev. 2020, 134, 110340. [Google Scholar] [CrossRef]
- Nagano, K.; Takeda, S.; Mochida, T.; Shimakura, K.; Nakamura, T. Study of a floor supply air conditioning system using granular phase change material to augment building mass thermal storage—Heat response in small scale experiments. Energy Build. 2006, 38, 436–446. [Google Scholar] [CrossRef]
- Konuklu, Y.; Ostry, M.; Paksoy, H.O.; Charvat, P. Review on using microencapsulated phase change materials (PCM) in building applications. Energy Build. 2015, 106, 134–155. [Google Scholar] [CrossRef]
- Jafari, R.; Tanguy, P.A.; Chaouki, J. Characterization of Minimum Impeller Speed for Suspension of Solids in Liquid at High Solid Concentration, Using Gamma-Ray Densitometry. Int. J. Chem. Eng. 2012, 2012, 945314. [Google Scholar] [CrossRef]
- Ayranci, I.; Kresta, S. Design rules for suspending concentrated mixtures of solids in stirred tanks. Chem. Eng. Res. Des. 2011, 89, 1961–1971. [Google Scholar] [CrossRef]
- Paul, E.L.; Atiemo-Obeng, V.A.; Kresta, S.M. Handbook of Industrial Mixing: Science and Practice; John Wiley & Sons: New York, NY, USA, 2004. [Google Scholar]
- Jaworski, Z.; Dyster, K.; Nienow, A. The Effect of Size, Location and Pumping Direction of Pitched Blade Turbine Impellers on Flow Patterns: LDA Measurements and CFD Predictions. Chem. Eng. Res. Des. 2001, 79, 887–894. [Google Scholar] [CrossRef]
- Schäfer, M.; Yianneskis, M.; Wächter, P.; Durst, F. Trailing vortices around a 45° pitched-blade impeller. AIChE J. 1998, 44, 1233–1246. [Google Scholar] [CrossRef]
- Driss, Z.; Bouzgarrou, G.; Chtourou, W.; Kchaou, H.; Abid, M. Computational studies of the pitched blade turbines design effect on the stirred tank flow characteristics. Eur. J. Mech. B/Fluids 2010, 29, 236–245. [Google Scholar] [CrossRef]
- Gu, D.; Ye, M.; Wang, X.; Liu, Z. Numerical investigation on mixing characteristics of floating and sinking particles in a stirred tank with fractal impellers. J. Taiwan Inst. Chem. Eng. 2020, 116, 51–61. [Google Scholar] [CrossRef]
- Gu, D.; Liu, Z.; Qiu, F.; Li, J.; Tao, C.; Wang, Y. Design of impeller blades for efficient homogeneity of solid-liquid suspension in a stirred tank reactor. Adv. Powder Technol. 2017, 28, 2514–2523. [Google Scholar] [CrossRef]
- Vasconcelos, J.M.T.; Orvalho, S.C.P.; Rodrigues, A.M.A.F.; Alves, S. Effect of Blade Shape on the Performance of Six-Bladed Disk Turbine Impellers. Ind. Eng. Chem. Res. 2000, 39, 203–213. [Google Scholar] [CrossRef]
- Trivellato, F. On the efficiency of turbulent mixing in rotating stirrers. Chem. Eng. Process. Process. Intensif. 2011, 50, 799–809. [Google Scholar] [CrossRef]
- Zhao, J.; Gao, Z.; Bao, Y. Effects of the Blade Shape on the Trailing Vortices in Liquid Flow Generated by Disc Turbines. Chin. J. Chem. Eng. 2011, 19, 232–242. [Google Scholar] [CrossRef]
- Yang, J.; Zhang, Q.; Mao, Z.-S.; Yang, C. Enhanced Micromixing of Non-Newtonian Fluids by a Novel Zigzag Punched Impeller. Ind. Eng. Chem. Res. 2019, 58, 6822–6829. [Google Scholar] [CrossRef]
- Rao, D.A.; Sivashanmugam, P. Experimental and CFD simulation studies on power consumption in mixing using energy saving turbine agitator. J. Ind. Eng. Chem. 2010, 16, 157–161. [Google Scholar] [CrossRef]
- Steiros, K.; Bruce, P.J.K.; Buxton, O.R.H.; Vassilicos, J.C. Power consumption and form drag of regular and fractal-shaped turbines in a stirred tank. AIChE J. 2017, 63, 843–854. [Google Scholar] [CrossRef]
- Başbuğ, S.; Papadakis, G.; Vassilicos, J.C. Reduced power consumption in stirred vessels by means of fractal impellers. AIChE J. 2018, 64, 1485–1499. [Google Scholar] [CrossRef]
- Fish, F.; Lauder, G. PASSIVE AND ACTIVE FLOW CONTROL BY SWIMMING FISHES AND MAMMALS. Annu. Rev. Fluid Mech. 2006, 38, 193–224. [Google Scholar] [CrossRef] [Green Version]
- Lin, Y.-T.; Chiu, P.-H. Influence of leading-edge protuberances of fx63 airfoil for horizontal-axis wind turbine on power performance. Sustain. Energy Technol. Assess. 2020, 38, 100675. [Google Scholar] [CrossRef]
- Yan, H.; Su, X.; Zhang, H.; Hang, J.; Zhou, L.; Liu, Z.; Wang, Z. Design approach and hydrodynamic characteristics of a novel bionic airfoil. Ocean Eng. 2020, 216, 108076. [Google Scholar] [CrossRef]
- Guida, A.; Nienow, A.W.; Barigou, M. PEPT measurements of solid–liquid flow field and spatial phase distribution in concentrated monodisperse stirred suspensions. Chem. Eng. Sci. 2010, 65, 1905–1914. [Google Scholar] [CrossRef]
- Alvarez-Hernández, M.; Shinbrot, T.; Zalc, J.; Muzzio, F. Practical chaotic mixing. Chem. Eng. Sci. 2002, 57, 3749–3753. [Google Scholar] [CrossRef]
- Yan, Y.; Avital, E.; Williams, J.; Cui, J. Aerodynamic performance improvements of a vertical axis wind turbine by leading-edge protuberance. J. Wind. Eng. Ind. Aerodyn. 2021, 211, 104535. [Google Scholar] [CrossRef]
- Martínez-Delgadillo, S.A.; Alonzo-Garcia, A.; Mendoza-Escamilla, V.X.; González-Neria, I.; Yáñez-Varela, J.A. Analysis of the turbulent flow and trailing vortices induced by new design grooved blade impellers in a baffled tank. Chem. Eng. J. 2019, 358, 225–235. [Google Scholar] [CrossRef]
- Gabriele, A.; Nienow, A.; Simmons, M. Use of angle resolved PIV to estimate local specific energy dissipation rates for up- and down-pumping pitched blade agitators in a stirred tank. Chem. Eng. Sci. 2009, 64, 126–143. [Google Scholar] [CrossRef]
- Klenov, O.; Noskov, A. Solid dispersion in the slurry reactor with multiple impellers. Chem. Eng. J. 2011, 176-177, 75–82. [Google Scholar] [CrossRef]
- Qi, N.; Zhang, H.; Zhang, K.; Xu, G.; Yang, Y. CFD simulation of particle suspension in a stirred tank. Particuology 2013, 11, 317–326. [Google Scholar] [CrossRef]
- Gidaspow, D. Multiphase Flow and Fluidization: Continuum and Kinetic Theory Description. J. Non-Newton. Fluid Mech. 1994, 55, 207–208. [Google Scholar]
- Wadnerkar, D.; Tade, M.O.; Pareek, V.; Utikar, R.P. CFD simulation of solid–liquid stirred tanks for low to dense solid loading systems. Particuology 2016, 29, 16–33. [Google Scholar] [CrossRef] [Green Version]
- Xie, L.; Luo, Z.-H. Modeling and simulation of the influences of particle-particle interactions on dense solid–liquid suspensions in stirred vessels. Chem. Eng. Sci. 2018, 176, 439–453. [Google Scholar] [CrossRef]
- Huilin, L.; Yurong, H.; Wentie, L.; Ding, J.; Gidaspow, D.; Bouillard, J. Computer simulations of gas–solid flow in spouted beds using kinetic–frictional stress model of granular flow. Chem. Eng. Sci. 2004, 59, 865–878. [Google Scholar] [CrossRef]
- Magelli, F. Modelling of solids distribution in stirred tanks: Analysis of simulation strategies and comparison with experimental data. Int. J. Comput. Fluid Dyn. 2005, 19, 253–262. [Google Scholar] [CrossRef]
- Tamburini, A.; Cipollina, A.; Micale, G.; Brucato, A.; Ciofalo, M. CFD simulations of dense solid–liquid suspensions in baffled stirred tanks: Prediction of solid particle distribution. Chem. Eng. J. 2013, 223, 875–890. [Google Scholar] [CrossRef]
- Zwietering, T. Suspending of solid particles in liquid by agitators. Chem. Eng. Sci. 1958, 8, 244–253. [Google Scholar] [CrossRef]
- Kraume, M. Mixing times in stirred suspensions. Chem. Eng. Technol. 1992, 15, 313–318. [Google Scholar] [CrossRef]



















| Parameter | Symbol | Value |
|---|---|---|
| Tank diameter | T | 288 mm |
| Liquid height | H | T |
| Baffle width | Wb | 0.1 T |
| Off-bottom clearance | C | 0.25 T |
| Impeller diameter | D | 0.5 T |
| Blade width | Wi | 41 mm |
| Blade length | b | 55 mm |
| Parameter | Symbol | Value |
|---|---|---|
| Density of the liquid | 1150 kg/m3 | |
| Dynamic viscosity of the liquid | 0.001 pa·s | |
| Density of the solid | 2485 kg/m3 | |
| Solid particle diameter | 3 mm | |
| Solid volume fraction | αS | 5.2% |
| Description | Equation |
|---|---|
| Stress tensor of liquid phase | |
| Stress tensor of solid phase | |
| Solids bulk viscosity | |
| Solids pressure | |
| Solids shear viscosity | |
| Conductivity of granular energy | |
| Rate of kinetic energy dissipation | |
| Rate of energy exchange | |
| Radial distribution function |
| Impeller Type | Power Consumption (W) | Reduction of Power Consumption (%) |
|---|---|---|
| PBT | 50.5 | — |
| PBPT | 46.9 | 7.1 |
| BCBT | 43.2 | 14.5 |
| BCPBT | 41.9 | 17.0 |
Publisher’s Note: MDPI stays neutral with regard to jurisdictional claims in published maps and institutional affiliations. |
© 2021 by the authors. Licensee MDPI, Basel, Switzerland. This article is an open access article distributed under the terms and conditions of the Creative Commons Attribution (CC BY) license (https://creativecommons.org/licenses/by/4.0/).
Share and Cite
Zhang, W.; Gao, Z.; Yang, Q.; Zhou, S.; Xia, D. Study of Novel Punched-Bionic Impellers for High Efficiency and Homogeneity in PCM Mixing and Other Solid-Liquid Stirs. Appl. Sci. 2021, 11, 9883. https://doi.org/10.3390/app11219883
Zhang W, Gao Z, Yang Q, Zhou S, Xia D. Study of Novel Punched-Bionic Impellers for High Efficiency and Homogeneity in PCM Mixing and Other Solid-Liquid Stirs. Applied Sciences. 2021; 11(21):9883. https://doi.org/10.3390/app11219883
Chicago/Turabian StyleZhang, Weitao, Zengliang Gao, Qizhi Yang, Shuiqing Zhou, and Ding Xia. 2021. "Study of Novel Punched-Bionic Impellers for High Efficiency and Homogeneity in PCM Mixing and Other Solid-Liquid Stirs" Applied Sciences 11, no. 21: 9883. https://doi.org/10.3390/app11219883
APA StyleZhang, W., Gao, Z., Yang, Q., Zhou, S., & Xia, D. (2021). Study of Novel Punched-Bionic Impellers for High Efficiency and Homogeneity in PCM Mixing and Other Solid-Liquid Stirs. Applied Sciences, 11(21), 9883. https://doi.org/10.3390/app11219883

