Hybrid Chaotic Discrete Bat Algorithm with Variable Neighborhood Search for Vehicle Routing Problem in Complex Supply Chain
Abstract
:1. Introduction
2. Problem Model
2.1. Problem Description
2.2. Mathematical Model
2.2.1. Objective Function
2.2.2. Constraints
3. The Proposed HCDBAVNS Algorithm
3.1. Definition of Parameters and Operations
3.1.1. Bat Position, Velocity and Frequency
3.1.2. Update Operations of Bat Position, Velocity and Frequency
3.1.3. Bat Variation Operation
3.1.4. Update Operations of the Bat Loudness and Pulse Emission Rate
3.2. Encoding and Decoding Schemes
3.2.1. Encoding Scheme
3.2.2. Decoding Scheme
3.3. Discrete Chaos Initialization Strategy
3.4. Fitness Function
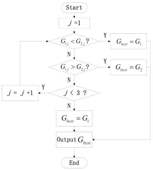
3.5. Variable Neighborhood Search Strategy
| Algorithm 1 HCDBAVNS | 
| Input: Parameter value; Output: The global best position of bat and its fitness 
 | 
4. Experiments
4.1. Experimental Instances
4.2. Experimental Environment
4.3. Key Experimental Parameters
4.4. Experimental Results and Analysis
4.4.1. Experiment 1
4.4.2. Experiment 2
5. Conclusions
Author Contributions
Funding
Institutional Review Board Statement
Informed Consent Statement
Data Availability Statement
Acknowledgments
Conflicts of Interest
References
- Karimi, B.; Ghare Hassanlu, M.; Niknamfar, A.H. An integrated production-distribution planning with a routing problem and transportation cost discount in a supply chain. Assem. Autom. 2019, 39, 783–802. [Google Scholar] [CrossRef]
- Saif-Eddine, A.S.; El-Beheiry, M.M.; El-Kharbotly, A.K. An improved genetic algorithm for optimizing total supply chain cost in inventory location routing problem. Ain Shams Eng. J. 2019, 10, 63–76. [Google Scholar] [CrossRef]
- Apte, U.M.; Viswanathan, S. Effective cross docking for improving distribution efficiencies. Int. J. Logist. Res. Appl. 2000, 3, 291–302. [Google Scholar] [CrossRef]
- Setak, M.; Habibi, M.; Karimi, H.; Abedzadeh, M. A time-dependent vehicle routing problem in multigraph with FIFO property. J. Manuf. Syst. 2015, 35, 37–45. [Google Scholar] [CrossRef]
- Govindan, K.; Jafarian, A.; Nourbakhsh, V. Designing a sustainable supply chain network integrated with vehicle routing: A comparison of hybrid swarm intelligence metaheuristics. Comput. Oper. Res. 2019, 110, 220–235. [Google Scholar] [CrossRef]
- Qi, Y.; Cai, Y.; Cai, H.; Yang, L.; Yeboah, Y. Two-Level Bat Algorithm with Variable Neighborhood Search for Capacitated Vehicle Routing Problem in Supply Chain. Acta Electron. Sin. 2019, 47, 1434–1442. [Google Scholar]
- Wen, M.; Larsen, J.; Clausen, J.; Cordeau, J.F.; Laporte, G. Vehicle routing with cross-docking. J. Oper. Res. Soc. 2009, 60, 1708–1718. [Google Scholar] [CrossRef] [Green Version]
- Rohrer, M. Simulation and cross docking. In Proceedings of the Winter Simulation Conference Proceedings, Arlington, VA, USA, 3–6 December 1995; pp. 846–849. [Google Scholar]
- Yu, W.; Egbelub, P.J. Scheduling of inbound and outbound trucks in cross docking systems with temporary storage. Eur. J. Oper. Res. 2008, 184, 377–396. [Google Scholar] [CrossRef]
- Lim, A.; Ma, H.; Miao, Z. Truck dock assignment problem with operational time constraint within crossdocks. Eur. J. Oper. Res. 2009, 192, 105–115. [Google Scholar]
- Boysen, N. Truck scheduling at zero-inventory cross docking terminals. Comput. Oper. Res. 2010, 37, 32–41. [Google Scholar] [CrossRef]
- Ahmadizar, F.; Zeynivand, M.; Arkat, J. Two-level vehicle routing with cross-docking in a three-echelon supply chain: A genetic algorithm approach. Appl. Math. Model. 2015, 39, 7065–7081. [Google Scholar] [CrossRef]
- Zuluaga, J.P.S.; Thiell, M.; Perales, R.C. Reverse cross-docking. Omega 2017, 66, 48–57. [Google Scholar] [CrossRef]
- Liu, S. On the integrated production, inventory, and distribution routing problem. IIE Trans. 2006, 38, 955–970. [Google Scholar]
- Qiu, Y.; Qiao, J.; Pardalos, P.M. A branch-and-price algorithm for production routing problems with carbon cap-and-trade. Omega 2017, 68, 49–61. [Google Scholar] [CrossRef]
- Kumar, R.S.; Kondapaneni, K.; Dixit, V.; Goswami, A.; Thakur, L.S.; Tiwari, M.K. Multi-objective modeling of production and pollution routing problem with time window. Comput. Ind. Eng. 2016, 99, 29–40. [Google Scholar] [CrossRef]
- Darvish, M.; Archetti, C.; Coelho, L.C. Trade-offs between environmental and economic performance in production and inventory-routing problems. Int. J. Prod. Econ. 2019, 217, 269–280. [Google Scholar] [CrossRef]
- Wang, Z.; Ren, X.; Ji, Z.; Huang, W.; Wu, T. A novel bio-heuristic computing algorithm to solve the capacitated vehicle routing problem based on Adleman Lipton model. Biosystems 2019, 184, 103997. [Google Scholar] [CrossRef]
- Liu, J.; Wan, J.; Jia, D.; Zeng, B.; Li, D.; Hsu, C.H.; Chen, H. High-Efficiency Urban Traffic Management in Context-Aware Computing and 5G Communication. IEEE Commun. Mag. 2017, 55, 34–40. [Google Scholar] [CrossRef]
- Qi, Y.; Cai, Y.; Cai, H.; Huang, H. Discrete bat algorithm for vehicle routing problem with time window. Acta Electron. Sin. 2018, 46, 672–679. [Google Scholar] [CrossRef]
- Qi, Y.; Hou, P.; Yang, L.; Yang, G. Simultaneous optimisation of cable connection schemes and capacity for offshore wind farms via a modified bat algorithm. Appl. Sci. 2019, 9, 265. [Google Scholar] [CrossRef] [Green Version]
- Qi, Y.; Cai, Y.; Cai, H.; Tang, Y.; Lv, W. Chaotic hybrid bat algorithm for travelling salesman problem. Acta Electron. Sin. 2016, 44, 2543–2547. [Google Scholar] [CrossRef]
- Yang, X.S. A new metaheuristic bat-inspired algorithm. In Nicso 2010: Nature Inspired Cooperative Strategies for Optimization; Gonzalez, J.R., Pelta, D.A., Cruz, C., Terrazas, G., Krasnogor, N., Eds.; Springer: Berlin, Germany, 2010; Volume 284, pp. 65–74. [Google Scholar]
- Osaba, E.; Yang, X.S.; Diaz, F.; Lopez-Garcia, P.; Carballedo, R. An improved discrete bat algorithm for symmetric and asymmetric Traveling Salesman Problems. Eng. Appl. Artif. Intell. 2016, 48, 59–71. [Google Scholar] [CrossRef]
- El-Semary, A.M.; Azim, M.M.A.; Diab, H. SPCBC: A Secure Parallel Cipher Block Chaining Mode of Operation based on logistic Chaotic Map. KSII Trans. Internet Inf. Syst. 2017, 11, 3608–3628. [Google Scholar] [CrossRef]
- Cai, Y.; Qi, Y.; Cai, H.; Huang, H.; Chen, H. Chaotic discrete bat algorithm for capacitated vehicle routing problem. Int. J. Auton. Adapt. Commun. Syst. 2019, 12, 91–108. [Google Scholar] [CrossRef]
- Gao, S. Solving traveling salesman problem by chaos ant colony optimization algorithm. Syst. Eng. Theory Pract. 2005, 25, 100–104. [Google Scholar] [CrossRef]
- Alvarez, A.; Munari, P.; Morabito, R. Iterated local search and simulated annealing algorithms for the inventory routing problem. Int. Trans. Oper. Res. 2018, 25, 1785–1809. [Google Scholar] [CrossRef]
- Hiermann, G.; Puchinger, J.; Ropke, S.; Hartl, R.F. The electric fleet size and mix vehicle routing problem with time windows and recharging stations. Eur. J. Oper. Res. 2016, 252, 995–1018. [Google Scholar] [CrossRef] [Green Version]
- Zhan, Z.H.; Zhang, J.; Li, Y.; Chung, H.S.H. Adaptive Particle Swarm Optimization. IEEE Trans. Syst. Man Cybern. Part B-Cybern. 2009, 39, 1362–1381. [Google Scholar] [CrossRef] [Green Version]









| Group | S | M | P | L | Relationship between Materials and Products | |
|---|---|---|---|---|---|---|
| G1 | 3 | 2 | 3 | 10 | 2 | [t] | 
| G2 | 4 | 3 | 3 | 20 | 2 | |
| G3 | 3 | 2 | 3 | 10 | 3 | |
| G4 | 4 | 3 | 3 | 20 | 3 | [b] | 
| Parameter | Range | 
|---|---|
| X and Y coordinates | Rand (0, 500) [t] | 
| Rand (20, 70) | |
| Rand (1000, 1500) | |
| Rand (10, 15) | |
| Rand (0, 3)*10 | |
| Rand (1500, 1800) | |
| Rand (3, 5) | |
| Rand (1, 10) [b] | 
| Instance | , , | , , | , , | ||||||
|---|---|---|---|---|---|---|---|---|---|
| , | , | , | |||||||
| Best Solution | Average Solution | Time | Best Solution | Average Solution | Time | Best Solution | Average Solution | Time | |
| P01 | 245,399 | 245,399.0 | 4.7 | 245,399 | 245,399.0 | 4.3 | 245,399 | 245,399.0 | 4.8 | 
| P06 | 454,497 | 454,891.2 | 43.5 | 450,664 | 453,527.2 | 45.9 | 452,069 | 453,797.8 | 44.6 | 
| P11 | 379,602 | 379,602.0 | 17.4 | 379,602 | 379,602.0 | 14.1 | 379,602 | 379,602.0 | 18.6 | 
| P16 | 939,685 | 941,535.4 | 56.7 | 938,095 | 940,699.0 | 59.2 | 938,336 | 941,260.2 | 59.6 | 
| Instance | , , | , , | , , | ||||||
|---|---|---|---|---|---|---|---|---|---|
| , | , | , | |||||||
| Best Solution | Average Solution | Time | Best Solution | Average Solution | Time | Best Solution | Average Solution | Time | |
| P01 | 245,399 | 245,399.0 | 5.1 | 245,399 | 245,399.0 | 4.7 | 245,399 | 245,399.0 | 4.3 [t] | 
| P06 | 452,935 | 454,656.6 | 47.7 | 451,918 | 453,691.6 | 46.1 | 450,664 | 453,527.2 | 45.9 | 
| P11 | 379,602 | 379,602.0 | 18.3 | 379,602 | 379,602.0 | 16.3 | 379,602 | 379,602.0 | 14.1 | 
| P16 | 941,560 | 943,788.6 | 62.3 | 939,532 | 940,811.0 | 60.5 | 938,095 | 940,699.0 | 59.2 [b] | 
| Instance | , , | , , | , , | ||||||
|---|---|---|---|---|---|---|---|---|---|
| , | , | , | |||||||
| Best Solution | Average Solution | Time | Best Solution | Average Solution | Time | Best Solution | Average Solution | Time | |
| P01 | 245,399 | 245,399.0 | 4.3 | 245,399 | 245,399.0 | 4.7 | 245,399 | 245,399.0 | 4.6 [t] | 
| P06 | 450,664 | 453,527.2 | 45.9 | 452,229 | 453,827.0 | 43.7 | 453,026 | 454,184.4 | 41.6 | 
| P11 | 379,602 | 379,602.0 | 14.1 | 379,602 | 379,602.0 | 17.1 | 379,602 | 379,602.0 | 17.3 | 
| P16 | 938,095 | 940,699.0 | 59.2 | 939,359 | 941,121.6 | 53.2 | 942,008 | 942,730.2 | 55.7 [b] | 
| Supplier | X Coordinate | Y Coordinate | |||||
|---|---|---|---|---|---|---|---|
| SUP1 | 99 | 236 | 10 | 1027 | 38 | 1200 | 26 [t] | 
| SUP2 | 342 | 29 | 14 | 1072 | 21 | 1079 | 30 | 
| SUP3 | 78 | 242 | 14 | 1067 | 24 | 1051 | 36 [b] | 
| Manufacturer Tab | X Coordinate | Y Coordinate | Vehicle Information | ||||
|---|---|---|---|---|---|---|---|
| Vehicle Tab | |||||||
| MAN1 | 304 | 266 | 3 | 1623 | 3 | VEH1 | 20 [t] | 
| VEH2 | 30 | ||||||
| VEH3 | 30 [b] | ||||||
| MAN2 | 22 | 412 | 5 | 1512 | 3 | VEH4 | 30 [t] | 
| VEH5 | 20 | ||||||
| VEH6 | 20 [b] | ||||||
| Warehouse | X Coordinate | Y Coordinate | Material 1 | Material 2 | |||
|---|---|---|---|---|---|---|---|
| Tab | Tab | Demand | Tab | Demand | |||
| STO1 | 306 | 299 | 10 | MAT1 | 10 | MAT2 | 10 [t] | 
| STO2 | 387 | 84 | 6 | MAT3 | 6 | MAT4 | 6 | 
| STO3 | 411 | 488 | 1 | MAT5 | 1 | MAT6 | 1 | 
| STO4 | 352 | 210 | 10 | MAT7 | 10 | MAT8 | 10 | 
| STO5 | 197 | 252 | 2 | MAT9 | 2 | MAT10 | 2 | 
| STO6 | 91 | 378 | 8 | MAT11 | 8 | MAT12 | 8 | 
| STO7 | 306 | 65 | 1 | MAT13 | 1 | MAT14 | 1 | 
| STO8 | 43 | 19 | 9 | MAT15 | 9 | MAT16 | 9 | 
| STO9 | 175 | 415 | 10 | MAT17 | 10 | MAT18 | 10 | 
| STO10 | 426 | 103 | 4 | MAT19 | 4 | MAT20 | 4 [b] | 
| Item | Set Information | Supply Quantity of Material 1 | Supply Quantity of Material 2 | Material Cost | 
|---|---|---|---|---|
| The Material of Warehouses Served by Suppliers | SUP1: MAT3, MAT11, MAT13, MAT7, MAT 5, MAT16, MAT18, MAT17, MAT4, MAT9 | 38 | 25 | 69,026 | 
| SUP3: MAT6, MAT19, MAT2, MAT1, MAT8, MAT12, MAT15, MAT10, MAT20, MAT14 | 23 | 36 | 62,377 | |
| Total cost | 131,403 | 
| Item | Route Information | Used Capacity | Processing Cost | Route Distance | Transportation Cost | 
|---|---|---|---|---|---|
| The transportation from manufacturers to warehouses | VEH4: MAN2 STO8 STO7 STO2 STO10 STO4 MAN2 | 30 | 45,360 | 1301 | 6505 | 
| VEH5: MAN2 STO5 STO1 STO3 MAN2 | 13 | 19,656 | 967 | 4835 | |
| VEH6: MAN2 STO9 STO6 MAN2 | 18 | 27,216 | 320 | 1600 | |
| Total cost | 92,232 | 12,940 | 
| Item | Route Information | Route Distance | Transportation Cost | 
|---|---|---|---|
| The transportation from suppliers to manufacturers | SUP1 MAN2 | 384 | 3840 | 
| SUP3 MAN2 | 356 | 4984 | |
| Total cost | 8824 | 
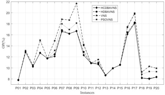
| Instance | MIT | VNS | PSOVNS | ||||||||||
|---|---|---|---|---|---|---|---|---|---|---|---|---|---|
| Best Solution | Average Solution | Worst solution | OP(%) | Time | Best Solution | Average Solution | Worst Solution | OP(%) | Time | ||||
| G1 | P01 | 200 | 227,607 | 245,399 | 245,399.0 | 245,399 | 7.82 | 4.3 | 245,399 | 245,399.0 | 245,399 | 7.82 | 4.5 | 
| P02 | 200 | 211,615 | 238,905 | 238,905.0 | 238,905 | 12.90 | 4.5 | 238,905 | 238,905.0 | 238,905 | 12.90 | 4.3 | |
| P03 | 200 | 259,559 | 286,191 | 286,191.0 | 286,191 | 10.26 | 4.3 | 286,191 | 286,191.0 | 286,191 | 10.26 | 4.2 | |
| P04 | 200 | 213,048 | 240,149 | 240,149.0 | 240,149 | 12.72 | 4.2 | 240,149 | 240,149.0 | 240,149 | 12.72 | 4.1 | |
| P05 | 200 | 241,592 | 269,959 | 269,959.0 | 269,959 | 11.74 | 3.9 | 269,959 | 269,959.0 | 269,959 | 11.74 | 3.8 | |
| G2 | P06 | 2000 | 401,972 | 450,664 | 453,527.2 | 455,186 | 12.11 | 45.9 | 452,185 | 454,078.6 | 455,367 | 12.49 | 46.5 | 
| P07 | 2000 | 482,338 | 562,425 | 564,518.4 | 566,501 | 16.60 | 23.3 | 563,563 | 564,828.2 | 566,140 | 16.84 | 23.5 | |
| P08 | 2000 | 353,804 | 411,177 | 411,947.6 | 412,274 | 16.22 | 47.9 | 411,177 | 411,963.0 | 412,859 | 16.22 | 47.6 | |
| P09 | 2000 | 462,224 | 539,301 | 540,791.6 | 541,875 | 16.68 | 18.8 | 539,351 | 541,266.4 | 542,524 | 16.69 | 19.2 | |
| P10 | 2000 | 357,230 | 401,208 | 403,241.8 | 404,232 | 12.31 | 41.8 | 403,287 | 403,459.4 | 403,829 | 12.89 | 41.3 | |
| G3 | P11 | 1000 | 342,420 | 379,602 | 379,602.0 | 379,602 | 10.86 | 14.1 | 379,602 | 379,602.0 | 379,602 | 10.86 | 14.9 | 
| P12 | 1000 | 423,011 | 468,178 | 469,600.8 | 470,907 | 10.68 | 15.3 | 468,906 | 470,519.6 | 470,971 | 10.85 | 15.6 | |
| P13 | 1000 | 341,952 | 371,543 | 371,543.0 | 371,543 | 8.65 | 19.5 | 371,543 | 371,543.0 | 371,543 | 8.65 | 19.1 | |
| P14 | 1000 | 370,158 | 406,929 | 406,929.0 | 406,929 | 9.93 | 21.5 | 406,929 | 406,929.0 | 406,929 | 9.93 | 21.2 | |
| P15 | 1000 | 532,112 | 588,222 | 588,222.0 | 588,222 | 10.54 | 15.6 | 588,222 | 588,222.0 | 588,222 | 10.54 | 15.7 | |
| G4 | P16 | 3000 | 807,715 | 938,095 | 940,699.0 | 942,193 | 16.14 | 59.2 | 940,460 | 941,739.4 | 942,517 | 16.43 | 59.5 | 
| P17 | 3000 | 958,872 | 1,132,475 | 1,136,530.4 | 11,373,88 | 18.10 | 50.1 | 1,133,556 | 1,139,009.8 | 1,143,398 | 18.22 | 50.6 | |
| P18 | 3000 | 826,146 | 893,681 | 894,655.0 | 896,728 | 8.17 | 61.2 | 893,700 | 895,485.4 | 898,046 | 8.18 | 61.5 | |
| P19 | 3000 | 625,755 | 675,812 | 677,138.0 | 678,534 | 8.00 | 82.7 | 676,342 | 677,294.8 | 678,405 | 8.08 | 82.3 | |
| P20 | 3000 | 642,355 | 696,039 | 696,477.6 | 696,969 | 8.36 | 85.9 | 696,039 | 696,684.2 | 697,473 | 8.36 | 86.3 | |
| Instance | MIT | VNS | PSOVNS | ||||||||||
|---|---|---|---|---|---|---|---|---|---|---|---|---|---|
| Best Solution | Average Solution | Worstsolution | OP(%) | Time | Best Solution | Average Solution | Worst Solution | OP(%) | Time | ||||
| G1 | P01 | 200 | 227,607 | 245,399 | 247,606.8 | 250,222 | 7.82 | 4.9 | 245,399 | 245,850.2 | 246,527 | 7.82 | 4.5 | 
| P02 | 200 | 211,615 | 239,446 | 241,699.0 | 243,061 | 13.15 | 4.1 | 238,905 | 239,255.2 | 239,807 | 12.90 | 4.4 | |
| P03 | 200 | 259,559 | 286,882 | 287,921.6 | 289,545 | 10.53 | 4.6 | 286,291 | 286,291.0 | 286,291 | 10.30 | 4.3 | |
| P04 | 200 | 213,048 | 245,069 | 248,848.2 | 250,150 | 15.03 | 3.9 | 240,149 | 242,305.0 | 245,069 | 12.72 | 4.3 | |
| P05 | 200 | 241,592 | 269,959 | 270,079.4 | 270,329 | 11.74 | 4.1 | 269,959 | 269,959.0 | 269,959 | 11.74 | 3.8 | |
| G2 | P06 | 2000 | 401,972 | 461,985 | 465,777.2 | 473,112 | 14.93 | 46.1 | 454,971 | 456,304.6 | 457,961 | 13.18 | 46.5 | 
| P07 | 2000 | 482,338 | 573,135 | 577,617.6 | 581,841 | 18.82 | 23.6 | 569,162 | 569,866.8 | 570,764 | 18.00 | 24.1 | |
| P08 | 2000 | 353,804 | 419,927 | 422,849.0 | 425,984 | 18.69 | 29.5 | 413,760 | 413,848.0 | 413,931 | 16.95 | 49.9 | |
| P09 | 2000 | 462,224 | 562,461 | 563,011.0 | 564,653 | 21.69 | 20.5 | 546,047 | 550,210.4 | 552,288 | 18.13 | 20.3 | |
| P10 | 2000 | 357,230 | 408,072 | 414,620.6 | 419,073 | 14.23 | 39.5 | 407,489 | 407,716.2 | 407,829 | 14.07 | 40.9 | |
| G3 | P11 | 1000 | 342,420 | 379,602 | 379,903.6 | 380,142 | 10.86 | 15.6 | 379,602 | 379,602.0 | 379,602 | 10.86 | 14.8 | 
| P12 | 1000 | 423,011 | 471,805 | 474,410.4 | 475,715 | 11.53 | 15.8 | 469,544 | 464,248.7 | 471,044 | 11.00 | 15.4 | |
| P13 | 1000 | 341,952 | 371,543 | 371,655.4 | 371,907 | 8.65 | 19.2 | 371,543 | 371,543.0 | 371,543 | 8.65 | 19.3 | |
| P14 | 1000 | 370,158 | 406,929 | 406,936.2 | 406,947 | 9.93 | 20.6 | 406,929 | 406,929.0 | 406,929 | 9.93 | 21.2 | |
| P15 | 1000 | 532,112 | 588,222 | 588,222.0 | 588,222 | 10.54 | 15.8 | 588,222 | 588,222.0 | 588,222 | 10.54 | 15.8 | |
| G4 | P16 | 3000 | 807,715 | 948,560 | 954,319.4 | 957,402 | 17.44 | 54.7 | 948,136 | 948,838.6 | 949,841 | 17.38 | 56.3 | 
| P17 | 3000 | 958,872 | 1,149,885 | 1,154,544.0 | 1,156,343 | 19.92 | 49.5 | 1,148,604 | 1,150,104.4 | 1,152,467 | 19.79 | 61.5 | |
| P18 | 3000 | 826,146 | 902,756 | 904,639.6 | 907,400 | 9.27 | 63.2 | 899,041 | 899,651.4 | 900,260 | 8.82 | 62.2 | |
| P19 | 3000 | 625,755 | 690,032 | 692,122.6 | 694,282 | 10.27 | 86.4 | 684,229 | 685,327.8 | 686,814 | 9.34 | 88.4 | |
| P20 | 3000 | 642,355 | 706,239 | 707,694.0 | 709,278 | 9.95 | 90.4 | 702,318 | 704,458.8 | 705,547 | 9.33 | 92.4 | |
| Tab | t-Test | p Value | |
|---|---|---|---|
| Best Solution | Average Solution | ||
| W1 | HCDBAVNS vs. HDBAVNS | 0.01149 | 0.01514 [t] | 
| W2 | HCDBAVNS vs. VNS | 0.00034 | 0.00005 | 
| W3 | HDBAVNS vs. VNS | 0.0005 | 0.00005 | 
| W4 | HDBAVNS vs. PSOVNS | 0.00148 | 0.00610 [b] | 
| Publisher’s Note: MDPI stays neutral with regard to jurisdictional claims in published maps and institutional affiliations. | 
© 2021 by the authors. Licensee MDPI, Basel, Switzerland. This article is an open access article distributed under the terms and conditions of the Creative Commons Attribution (CC BY) license (https://creativecommons.org/licenses/by/4.0/).
Share and Cite
Qi, Y.; Cai, Y. Hybrid Chaotic Discrete Bat Algorithm with Variable Neighborhood Search for Vehicle Routing Problem in Complex Supply Chain. Appl. Sci. 2021, 11, 10101. https://doi.org/10.3390/app112110101
Qi Y, Cai Y. Hybrid Chaotic Discrete Bat Algorithm with Variable Neighborhood Search for Vehicle Routing Problem in Complex Supply Chain. Applied Sciences. 2021; 11(21):10101. https://doi.org/10.3390/app112110101
Chicago/Turabian StyleQi, Yuanhang, and Yanguang Cai. 2021. "Hybrid Chaotic Discrete Bat Algorithm with Variable Neighborhood Search for Vehicle Routing Problem in Complex Supply Chain" Applied Sciences 11, no. 21: 10101. https://doi.org/10.3390/app112110101
APA StyleQi, Y., & Cai, Y. (2021). Hybrid Chaotic Discrete Bat Algorithm with Variable Neighborhood Search for Vehicle Routing Problem in Complex Supply Chain. Applied Sciences, 11(21), 10101. https://doi.org/10.3390/app112110101
 
         
                                                

 
       