Characteristics of Kaolinitic Raw Materials from the Lokoundje River (Kribi, Cameroon) for Ceramic Applications
Abstract
:1. Introduction
2. Geological Data on Lokoundje Alluvial Clays
3. Materials and Experimental Technics
4. Results and Discussion
4.1. Particle Size Distribution and Atterberg Limits
4.2. Chemical Composition
4.3. Thermal Behavior and XRD Mineralogical Evolution in Fired Samples
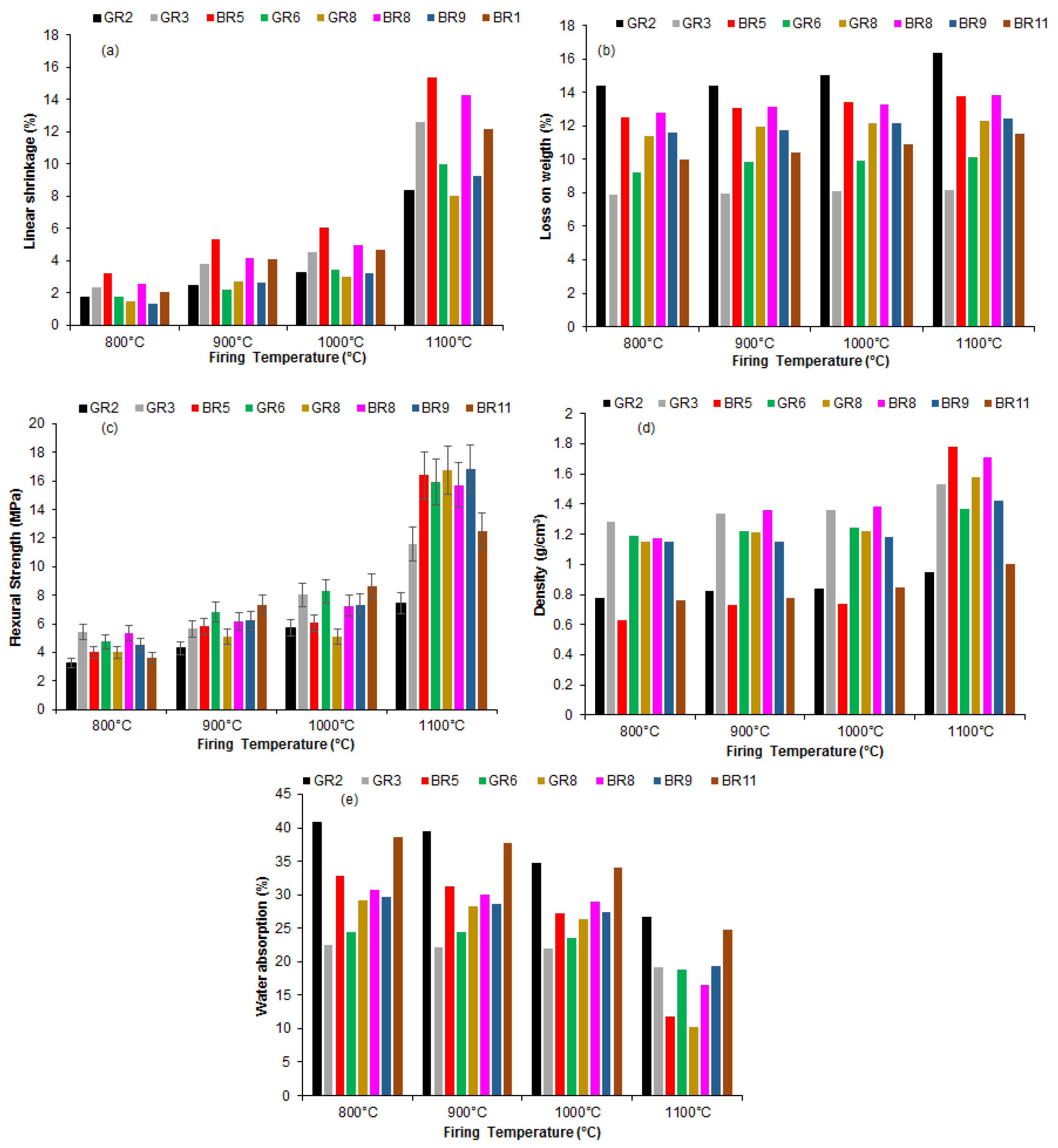
4.4. Technological Characterization of Fired Products
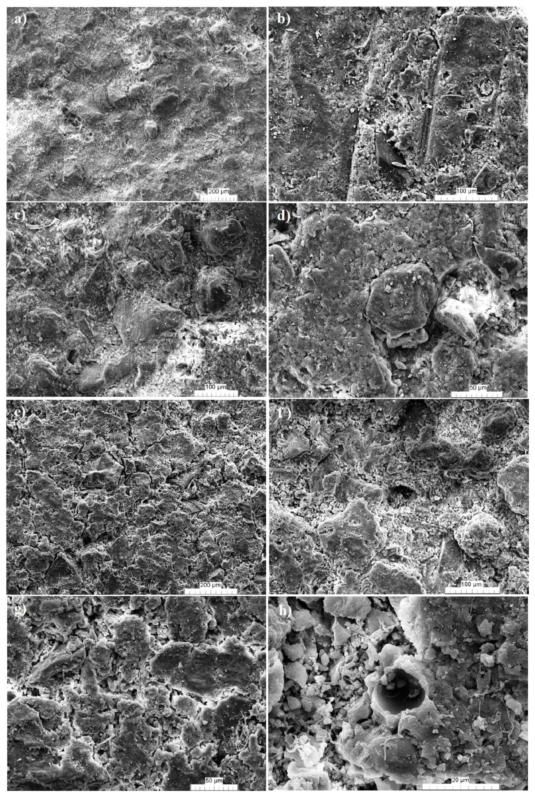
4.5. Microstructure
5. Conclusions
Author Contributions
Funding
Institutional Review Board Statement
Informed Consent Statement
Data Availability Statement
Conflicts of Interest
References
- Bergaya, F.; Theng, B.K.G.; Lagaly, G. Clays in industry. In Developments in Clay Sciences. Bergaya, Theng, and Lagaly, 1st ed.; Elsevier: Amsterdam, The Netherlands, 2006; ISBN 13-978-0-08-044183-2. [Google Scholar]
- Anglisano, A.; Casas, L.; Anglisano, M.; Queralt, I. Application of Supervised Machine-Learning Methods for Attesting Provenance in Catalan Traditional Pottery Industry. Minerals 2020, 10, 8. [Google Scholar] [CrossRef] [Green Version]
- Ekosse, E.G.I. Kaolin deposits and occurrences in Africa: Geology, mineralogy and utilization. Appl. Clay Sci. 2010, 50, 212–236. [Google Scholar] [CrossRef]
- Khelifi, H.; Perrot, A.; Lecompte, T.; Ausias, G. Design of clay/cement mixtures for extruded building products. Mater. Struct. 2013, 46, 999–1010. [Google Scholar] [CrossRef]
- Tchakouté, H.K.; Rüscher, C.; Hinsch, H.M.; Djobo, J.N.Y.; Kamseu, E.; Leonelli, C. Utilization of sodium waterglass from sugar cane bagasse ash as a new alternative hardener for producing metakaolin-based geopolymer cement. Geochemistry 2017, 77, 257–266. [Google Scholar] [CrossRef]
- Cripps, H.R.; Isaias, N.P.; Jowet, A. The use of clays as an aid to water purification. Hydrometallurgy 1976, 1, 373–387. [Google Scholar] [CrossRef]
- Beall, G.W. The use of organo-clays in water treatment. Appl. Clay Sci. 2003, 24, 11–20. [Google Scholar] [CrossRef]
- Belibi Belibi, P.; Nguemtchouin, M.M.G.; Rivallin, M.; Ndi Nsami, J.; Sielechi, J.; Cerneaux, S.; Ngassoum, M.B.; Cretin, M. Microfiltration ceramic membranes from local Cameroonian clay applicable to water treatment. Ceram. Int. 2015, 41, 2752–2759. [Google Scholar] [CrossRef]
- Djoufac, W.E.; Siéwé, J.M.; Njopwouo, D. A fixed-bed column for phosphate removal from aqueous solutions using an andosol-bagasse mixture. J. Environ. Manag. 2015, 151, 450–460. [Google Scholar]
- Siéwé, J.M.; Djoufac, W.E.; Djomgoue, P.; Njopwouo, D. Activation of clay surface of Bambouto’s andosol (Cameroon) with phosphate ions. Application for copper fixation in aqueous solution. Appl. Clay Sci. 2015, 114, 31–39. [Google Scholar] [CrossRef]
- Zhang, G.; Lin, Y.; Wang, M. Remediation of copper polluted red soils with clay materials. J. Environ. Sci. 2011, 23, 461–467. [Google Scholar] [CrossRef]
- Yuan, G.D.; Theng, B.K.G.; Churchman, G.J.; Gates, W.P. Clays and Clay Minerals for Pollution Control. Developments in Clay Science; Chapter 5.1; Elsevier: Amsterdam, The Netherlands, 2013; pp. 587–644. [Google Scholar]
- Tite, M.S. Ceramic production, provenance and use—A review. Archaeometry 2008, 50, 216–231. [Google Scholar] [CrossRef]
- Fadil-Djenabou, S.; Ndjigui, P.-D.; Mbey, J.A. Morphological and physicochemical characterization of Ngaye alluvial clays (Northern Cameroon) and assessment of its suitability in ceramic production. J. Asian Ceram. Soc. 2015, 3, 50–58. [Google Scholar] [CrossRef] [Green Version]
- Tsozue, D.; Nzeukou, N.A.; Mache, J.R.; Loweh, S.; Fagel, N. Mineralogical, physico-chemical and technological characterization of clays from Maroua (Far-North Cameroon) for use in ceramic bricks production. J. Build. Eng. 2017, 11, 17–24. [Google Scholar] [CrossRef]
- Mbey, J.A.; Thomas, F.; Ngally Sabouang, C.J.; Liboum, N.D. An insight on the weakening of the interlayer bonds in a Cameroonian kaolinite through DMSO intercalation. Appl. Clay Sci. 2013, 83, 327–335. [Google Scholar] [CrossRef]
- Mbey, J.A.; Hoppe, S.; Thomas, F. Cassava starch-kaolinite composite films. Thermal and mechanical properties related to filler-matrix interactions. Polym. Compos. 2015, 36, 184–191. [Google Scholar] [CrossRef]
- Ndjigui, P.-D.; Onana, V.L.; Sababa, E.; Bayiga, E.C. Mineralogy and geochemistry of the Lokoundje alluvial clays from the Kribi deposits, Cameroon Atlantic coast: Implications for their origin and depositional environment. J. Afri. Earth Sci. 2018, 143, 102–117. [Google Scholar] [CrossRef]
- Lerouge, C.; Cocherie, A.; Toteu, S.F.; Penaye, J.; Milési, J.-P.; Tchameni, R.; Nsifa, E.N.; Fanning, C.M.; Deloule, E. Shrimp U-Pb zircon age evidence for Paleoproterozoic sedimentation and 2.05 Ga syntectonic plutonism in the Nyong Group, South-Western Cameroon: Consequences for the Eburnean-Transamazonian belt of NE Brazil and Central Africa. J. Afr. Earth Sci. 2006, 44, 413–427. [Google Scholar] [CrossRef]
- Owona, S.; Ratschbacher, L.; Nsangou, N.M.; Gulzar, A.M.; Mvondo, O.J.; Ekodeck, G.E. How diverse is the source? Age, provenance, reworking, and overprint of Precambrian meta-sedimentary rocks of West Gondwana, Cameroon, from zircon U-Pb geochronology. Precam Res. 2021, 359, 106220. [Google Scholar] [CrossRef]
- IUSS Working Group WRB. World Reference Base for Soils Resources 2014, Update 2015 International Soil Classification System for Naming Soils and Creating Legends for Soil Maps; World Soil Resources Reports No 106; FAO: Rome, Italy, 2015. [Google Scholar]
- Nakao, A.; Sugihara, S.; Maejima, Y.; Toukada, H.; Funakawa, S. Ferralsols in the Cameroon plateaus, with a focus on the mineralogical control on their cation exchange capacities. Geoderma 2017, 285, 206–216. [Google Scholar] [CrossRef]
- Doum, M.J.; Fadil-Djenabou, S.; Onana, V.L.; Ndjigui, P.-D.; Armstrong-Altrin, J.S. Characterization and potential application of gleysols and ferralsols for ceramic industry: A case study from Dimako (Eastern Cameroon). Arab. J. Geosci. 2020, 13, 1–21. [Google Scholar] [CrossRef]
- Alcântara, A.; Beltrâo, M.; Oliveira, H.; Gimenez, I.; Barreto, L. Characterization of ceramic tiles prepared from two clays from Sergipe–Brazil. Appl. Clay Sci. 2008, 39, 160–165. [Google Scholar] [CrossRef]
- Hu, P.; Yang, H. Insight into the physicochemical aspects of kaolin with different morphologies. Appl. Clay Sci. 2013, 74, 58–65. [Google Scholar] [CrossRef]
- Mache, J.R.; Signing, P.; Njoya, A.; Kunyukubundo, F.; Mbey, J.A.; Njopwouo, D. Smectite clay from the Sabga deposit (Cameroon): Mineralogical and physicochemical properties. Clay Miner. 2013, 48, 499–512. [Google Scholar] [CrossRef]
- Ndjigui, P.-D.; Mbey, J.A.; Nzeukou, N.A. Mineralogical, physical and mechanical features of ceramic products of the alluvial clastic clays from the Ngog-Lituba region, Southern Cameroon. J. Build. Eng. 2016, 5, 151–157. [Google Scholar] [CrossRef]
- Nzeukou, N.A.; Fagel, N.; Njoya, A.; Kamgang Beyala, V.; Eko Medjo, R.; Melo Chinje, U. Mineralogy and physico-chemical properties of alluvial clays from Sanaga valley (Center, Cameroon): Suitability for ceramic application. Appl. Clay Sci. 2013, 83, 238–243. [Google Scholar] [CrossRef]
- Ndjigui, P.-D.; Ebah Abeng, S.A.; Ekomane, E.; Nzeukou, N.A.; Ngo Mandeng, F.S.; Lindjeck, M.M. Mineralogy and geochemistry of pseudogley soils and recent alluvial clastic sediments in the Ngog-Lituba region, Southern Cameroon: An implication to their genesis. J. Afr. Earth Sci. 2015, 108, 1–14. [Google Scholar] [CrossRef]
- Sonuparlak, B.; Sarikaya, M.; Aksay, I.A. Spinel phase formation during the 980°C exothermic reaction in the kaolinite-to-mullite reaction series. J. Am. Ceram. Soc. 1987, 70, 837–842. [Google Scholar] [CrossRef]
- Carbajal, L.; Rubio-Marcos, F.; Bengochea, M.A.; Fernandez, J.F. Properties related phase evolution in porcelain ceramics. J. Eur. Ceram. Soc. 2007, 27, 4065–4069. [Google Scholar] [CrossRef]
- Njoya, D.; Hajjaji, M.; Baçaoui, A.; Njopwouo, D. Microstructural characterization and influence of manufacturing parameters on technological properties of vitreous ceramic materials. Mater. Charact. 2010, 61, 289–295. [Google Scholar] [CrossRef]
- Caspar, J.; McConville, C.J.; Lee, W.E. Microstructural development on firing illite and smectite clays compared with that in kaolinite. J. Am. Ceram. Soc. 2005, 88, 2267–2276. [Google Scholar]
- Mehta, S.N.; Sahu, K.P.; Tripathi, P.; Pyare, R.; Majhi, R.M. Influence of alumina and silica addition on the physico-mechanical and dielectric behavior of ceramic porcelain insulator at high sintering temperature. Bol. Soc. Española Cerámica Vidr. 2018, 57, 151–159. [Google Scholar] [CrossRef]
- Chen, C.Y.; Lan, G.S.; Tan, W.H. Microstructural evolution of mullite during the sintering of kaolin powder compacts. Ceram. Int. 2006, 26, 715–720. [Google Scholar] [CrossRef]
- Roudouane, H.T.; Mbey, J.A.; Bayiga, E.C.; Ndjigui, P.-D. Characterization and application tests of kaolinite clays from Aboudeia (southeastern Chad) in fired bricks making. Sci. Afr. 2020, 7, e00294. [Google Scholar] [CrossRef]
- Behera, P.S.; Bhattacharyya, S. Effect of different alumina sources on phase formation and densification of single-phase mullite ceramic–Reference clay alumina system. Mater. Today Com. 2021, 26, 101818. [Google Scholar] [CrossRef]









| BR-5 | BR-8 | BR-9 | BR-11 | GR-2 | GR-3 | GR-6 | GR-8 | |
|---|---|---|---|---|---|---|---|---|
| Particle size distribution | ||||||||
| Clay (<2 µm) | 75.66 | 71.66 | 65.15 | 61.57 | 75.85 | 58.86 | 73.22 | 66.39 |
| Silt (2–50 µm) | 24.12 | 28.09 | 33.14 | 37.45 | 23.81 | 20.02 | 25.41 | 32.63 |
| Sand (>50 µm) | 0.22 | 0.25 | 1.71 | 0.99 | 0.34 | 21.12 | 11.37 | 0.98 |
| Atterberg Limits | ||||||||
| LL (%) | 85.2 | 86.1 | 87.1 | 84.2 | 80.2 | 82.7 | 90.1 | 82.4 |
| PL (%) | 44.6 | 42.8 | 43.2 | 43.8 | 41.5 | 43.5 | 46.5 | 43.1 |
| PI (%) | 40.6 | 43.4 | 43.9 | 40.4 | 38.7 | 39.2 | 43.6 | 39.3 |
| d.l. | Yellow Materials | Reddish Yellow Materials | White Materials | Light Grey Materials | |||||
|---|---|---|---|---|---|---|---|---|---|
| BR-5 | BR-8 | BR-9 | BR-11 | GR-2 | GR-3 | GR-6 | GR-8 | ||
| SiO2 | 0.01 | 44.33 | 46.73 | 51.12 | 51.41 | 45.64 | 57.61 | 57.84 | 48.48 |
| Al2O3 | 0.01 | 30.26 | 29.51 | 26.07 | 24.77 | 29.36 | 24.23 | 23.29 | 27.13 |
| Fe2O3 | 0.01 | 4.20 | 4.31 | 5.42 | 4.33 | 3.33 | 1.28 | 2.16 | 2.90 |
| MnO | 0.01 | 0.01 | 0.02 | 0.02 | 0.01 | 0.01 | 0.01 | 0.01 | 0.01 |
| MgO | 0.01 | 0.34 | 0.38 | 0.36 | 0.40 | 0.37 | 0.15 | 0.27 | 0.38 |
| CaO | 0.01 | 0.03 | 0.03 | 0.04 | 0.04 | 0.03 | 0.02 | 0.03 | 0.04 |
| Na2O | 0.01 | 0.06 | 0.08 | 0.10 | 0.13 | 0.08 | 0.09 | 0.12 | 0.10 |
| K2O | 0.01 | 1.00 | 1.03 | 1.06 | 2.37 | 1.00 | 1.85 | 1.68 | 1.71 |
| TiO2 | 0.01 | 1.73 | 1.48 | 1.24 | 2.26 | 1.55 | 1.97 | 1.39 | 2.18 |
| P2O5 | 0.01 | 0.31 | 0.19 | 0.12 | 0.34 | 0.25 | 0.35 | 0.12 | 0.37 |
| LOI | 0.01 | 16.89 | 15.58 | 13.79 | 16.14 | 17.60 | 11.55 | 12.36 | 15.77 |
| Total | - | 99.15 | 99.33 | 99.36 | 99.21 | 99.22 | 99.10 | 99.26 | 99.07 |
| SiO2/Al2O3 | - | 1.46 | 1.58 | 1.96 | 2.08 | 1.55 | 2.38 | 2.48 | 1.79 |
| Na2O + K2O | - | 1.06 | 1.11 | 1.16 | 2.50 | 1.08 | 1.94 | 1.80 | 1.81 |
| Sample | Temperature (°C) | Color | Sound | Cohesion |
|---|---|---|---|---|
| BR-5 | 25 | Pale brown | - | - |
| 800 | Light red | Metallic | Good | |
| 900 | Light red | Metallic | Good | |
| 1000 | Light red | Metallic | Very good | |
| 1100 | Light red | Metallic | Very good | |
| BR-8 | 25 | Pale brown | - | - |
| 800 | Reddish yellow | Metallic | Good | |
| 900 | Reddish yellow | Metallic | Good | |
| 1000 | Light red | Metallic | Good | |
| 1100 | Light red | Metallic | Very good | |
| BR-9 | 25 | Light gray | - | - |
| 800 | Reddish yellow | Metallic | Weak | |
| 900 | Light red | Metallic | Average | |
| 1000 | Red | Metallic | Average | |
| 1100 | Dark red | Metallic | Good | |
| BR-11 | 25 | Reddish yellow | - | - |
| 800 | Reddish yellow | Metallic | Good | |
| 900 | Reddish yellow | Metallic | Good | |
| 1000 | Reddish yellow | Metallic | Very good | |
| 1100 | Light red | Metallic | Good | |
| GR-2 | 25 | Brownish gray | - | - |
| 800 | Reddish brown | Metallic | Good | |
| 900 | Pink | Metallic | Good | |
| 1000 | Pink | Metallic | Very good | |
| 1100 | Pink | Metallic | Good | |
| GR-3 | 25 | Light gray | - | - |
| 800 | Pinkish white | Metallic | Good | |
| 900 | Pinkish white | Metallic | Very good | |
| 1000 | Pinkish white | Metallic | Very good | |
| 1100 | White | Metallic | Good | |
| GR-6 | 25 | Brownish gray | - | - |
| 800 | Reddish yellow | Metallic | Good | |
| 900 | Reddish yellow | Metallic | Good | |
| 1000 | Pink | Metallic | Very good | |
| 1100 | Pink | Metallic | Very good | |
| GR-8 | 25 | Pale brown | - | - |
| 800 | Light red | Metallic | Good | |
| 900 | Light red | Metallic | Good | |
| 1000 | Light red | Metallic | Very good | |
| 1100 | Light red | Metallic | Very good |
Publisher’s Note: MDPI stays neutral with regard to jurisdictional claims in published maps and institutional affiliations. |
© 2021 by the authors. Licensee MDPI, Basel, Switzerland. This article is an open access article distributed under the terms and conditions of the Creative Commons Attribution (CC BY) license (https://creativecommons.org/licenses/by/4.0/).
Share and Cite
Ndjigui, P.-D.; Mbey, J.A.; Fadil-Djenabou, S.; Onana, V.L.; Bayiga, E.C.; Enock Embom, C.; Ekosse, G.-I. Characteristics of Kaolinitic Raw Materials from the Lokoundje River (Kribi, Cameroon) for Ceramic Applications. Appl. Sci. 2021, 11, 6118. https://doi.org/10.3390/app11136118
Ndjigui P-D, Mbey JA, Fadil-Djenabou S, Onana VL, Bayiga EC, Enock Embom C, Ekosse G-I. Characteristics of Kaolinitic Raw Materials from the Lokoundje River (Kribi, Cameroon) for Ceramic Applications. Applied Sciences. 2021; 11(13):6118. https://doi.org/10.3390/app11136118
Chicago/Turabian StyleNdjigui, Paul-Désiré, Jean Aimé Mbey, Soureiyatou Fadil-Djenabou, Vincent Laurent Onana, Elie Constantin Bayiga, Christophe Enock Embom, and Georges-Ivo Ekosse. 2021. "Characteristics of Kaolinitic Raw Materials from the Lokoundje River (Kribi, Cameroon) for Ceramic Applications" Applied Sciences 11, no. 13: 6118. https://doi.org/10.3390/app11136118
APA StyleNdjigui, P.-D., Mbey, J. A., Fadil-Djenabou, S., Onana, V. L., Bayiga, E. C., Enock Embom, C., & Ekosse, G.-I. (2021). Characteristics of Kaolinitic Raw Materials from the Lokoundje River (Kribi, Cameroon) for Ceramic Applications. Applied Sciences, 11(13), 6118. https://doi.org/10.3390/app11136118

