A Study on the Analysis of the Effects of Passenger Ship Abandonment Training Using VR
Abstract
:1. Introduction
2. Literature Review
3. Materials and Methods
3.1. Development of Passenger Ship Abandon Training Content
3.2. Developed Video and VR Content of Passenger Ship Abandonment Training, and Training Concept
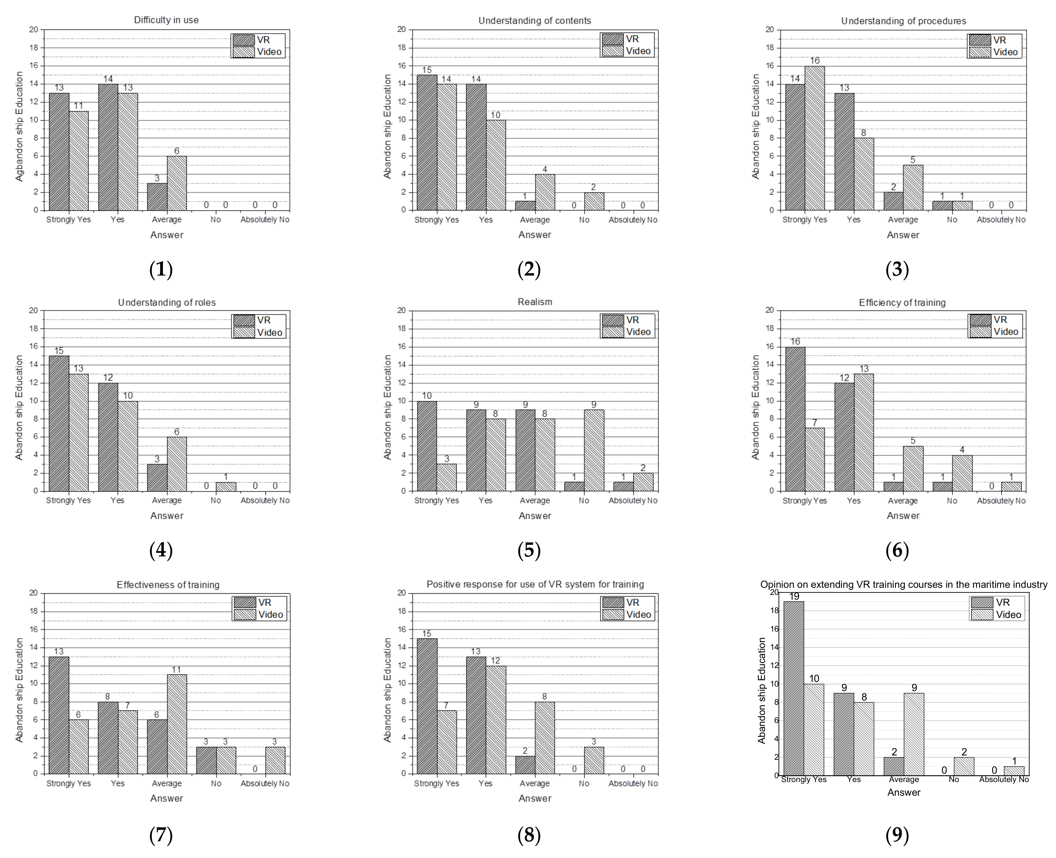
4. Results of Video and VR Passenger Ship Abandonment Training
4.1. Participants’ Education Satisfaction
4.2. Borich Needs Assessment and Locus for Focus Model
- N: Denotes total number of cases;
- RCL: Denotes required competence level (importance level);
- PCL: Denotes present competence level (performance level);
- : Denotes average of RCL (importance level).
4.3. Comparison of Educational Effects of Video and VR Training
5. Discussion
6. Conclusions
Author Contributions
Funding
Institutional Review Board Statement
Informed Consent Statement
Data Availability Statement
Acknowledgments
Conflicts of Interest
References
- Alhalabi, W. Virtual reality systems enhance students’ achievements in engineering education. Behav. Inf. Technol. 2016, 35, 919–925. [Google Scholar]
- Vora, J.; Nair, S.; Gramopadhye, A.K.; Duchowski, A.T.; Melloy, B.J.; Kanki, B. Using virtual reality technology for aircraft visual inspection training: Presence and comparison studies. Appl. Ergon. 2002, 33, 559–570. [Google Scholar] [CrossRef]
- Markopoulos, E.; Lauronen, J.; Luimula, M.; Lehto, P.; Laukkanen, S. Maritime Safety Education with VR Technology (MarSEVR). In Proceedings of the 9th IEEE Conference on Cognitive Infocommunications, Budapest, Hungary, 22–24 August 2018. [Google Scholar]
- Kaplan, A.D.; Cruit, J.; Endsley, M.; Beers, S.M.; Sawyer, B.D.; Hancock, P. The effects of virtual reality, augmented reality, and mixed reality as training enhancement methods: A meta-analysis. Hum. Factors 2020. [Google Scholar] [CrossRef] [PubMed]
- Carruth, D.W. Virtual reality for education and workforce training. In Proceedings of the 2017 15th International Conference on Emerging eLearning Technologies and Applications (ICETA), Stary Smokovec, Slovakia, 26ߝ27 October 2017; pp. 1–6. [Google Scholar]
- Freina, L.; Ott, M. A literature review on immersive virtual reality in education: State of the art and perspectives. Proceedings of The International Scientific Conference eLearning and Software for Education, Bucharest, Romania, 23–24 April 2015. [Google Scholar]
- Nakayama, S.; Jin, G. Safety training enhancing outcomes through virtual environments. Prof. Saf. 2015, 60, 34–38. [Google Scholar]
- Lager, M.; Topp, E.A. Remote supervision of an autonomous surface vehicle using virtual reality. IFAC-Pap. 2019, 52, 387–392. [Google Scholar] [CrossRef]
- Michailidis, T.; Meadow, G.; Barlow, C.; Rajabally, E. Implementing Remote Audio as a Diagnostics Tool for Maritime Autonomous Surface Ships. Proceedings of 2020 27th Conference of Open Innovations Association (FRUCT), Trento, Italy, 7ߝ9 September 2020; pp. 157–163. [Google Scholar]
- Heffner, K.; Rødseth, Ø.J. Enabling technologies for maritime autonomous surface ships. J. Phys. Conf. Ser. 2019, 1357, 012021. [Google Scholar] [CrossRef] [Green Version]
- Lager, M.; Topp, E.A.; Malec, J. Remote Operation of Unmanned Surface Vessel through Virtual Reality. Proceedings of The Inaugural International Workshop on Virtual, Augmented and Mixed Reality for Human-Robot Interaction (VAM-HRI), Chicago, IL, USA, 5 March 2018. [Google Scholar]
- Chae, C.-J.; Kim, K.H.; Kang, S.Y. Limiting Ship Accidents by Identifying Their Causes and Determining Barriers to Application of Preventive Measures. J. Mar. Sci. Eng. 2021, 9, 302. [Google Scholar] [CrossRef]
- Besikci, E.B.; Schröder-Hinrichs, J.; Sıhmantepe, A.; Dalaklis, D.; Larsson, J. Evaluating maritime education and training needs for tanker shipping companies. Proceedings of 13th International Technology, Education and Development Conference Proceedings, Valencia, Spain, 11ߝ13 March 2019; pp. 2024–2032. [Google Scholar]
- Weng, J.; Li, G. Exploring shipping accident contributory factors using association rules. J. Transp. Saf. Secur. 2019, 11, 36–57. [Google Scholar]
- Hamilton, E.C.; Scott, D.J.; Fleming, J.; Rege, R.V.; Laycock, R.; Bergen, P.C.; Tesfay, S.; Jones, D. Comparison of video trainer and virtual reality training systems on acquisition of laparoscopic skills. Surg. Endosc. Other Interv. Tech. 2002, 16, 406–411. [Google Scholar] [CrossRef]
- Cho, B.-H.; Ku, J.; Jang, D.P.; Kim, S.; Lee, Y.H.; Kim, I.Y.; Lee, J.H.; Kim, S.I. The effect of virtual reality cognitive training for attention enhancement. Cyber Psychol. Behav. 2002, 5, 129–137. [Google Scholar]
- Andersen, S.A.W.; Guldager, M.; Mikkelsen, P.T.; Sørensen, M.S. The effect of structured self-assessment in virtual reality simulation training of mastoidectomy. Eur. Arch. Oto-Rhino-Laryngol. 2019, 276, 3345–3352. [Google Scholar] [CrossRef] [PubMed]
- Ahir, K.; Govani, K.; Gajera, R.; Shah, M. Application on virtual reality for enhanced education learning, military training and sports. Augment. Hum. Res. 2020, 5, 1–9. [Google Scholar] [CrossRef]
- von Lukas, U.F. Virtual and augmented reality for the maritime sector–applications and requirements. IFAC Proc. Vol. 2010, 43, 196–200. [Google Scholar] [CrossRef]
- Lvov, M.S.; Popova, H.V. Simulation technologies of virtual reality usage in the training of future ship navigators. In Proceedings of the 2nd International Workshop (AREdu 2019), Kryvyi Rih, Ukraine, 22 March 2019. [Google Scholar]
- Markopoulos, E.; Luimula, M.; Porramo, P.; Pisirici, T.; Kirjonen, A. Virtual Reality (VR) safety education for ship engine training on maintenance and safety (ShipSEVR). Proceedings of International Conference on Applied Human Factors and Ergonomics, Cham, Switzerland, 4 November 2020; pp. 60–72. [Google Scholar]
- Shen, H.; Zhang, J.; Yang, B.; Jia, B. Development of an educational virtual reality training system for marine engineers. Comput. Appl. Eng. Educ. 2019, 27, 580–602. [Google Scholar] [CrossRef]
- Lauronen, J.; Ravyse, W.; Salokorpi, M.; Luimula, M. Validation of Virtual Command Bridge Training Environment Comparing the VR-Training with Ship Bridge Simulation. Proceedings of International Conference on Applied Human Factors and Ergonomics, Cham, Switzerland, 4 November 2020; pp. 444–451. [Google Scholar]
- Markopoulos, E.; Luimula, M. Immersive Safe Oceans Technology: Developing Virtual Onboard Training Episodes for Maritime Safety. Future Internet 2020, 12, 80. [Google Scholar] [CrossRef]
- Patle, D.S.; Manca, D.; Nazir, S.; Sharma, S. Operator training simulators in virtual reality environment for process operators: A review. Virtual Real. 2019, 23, 293–311. [Google Scholar] [CrossRef]
- Tvedt, S.; Oltedal, H.; Batalden, B.; Oliveira, M. Way-finding on-board training for maritime vessels. Entertain. Comput. 2018, 26, 30–40. [Google Scholar] [CrossRef] [Green Version]
- Smith, J. The Effect of Virtual Environment Training on Participant Competence and Learning in Offshore Emergency Egress Scenarios; Memorial University of Newfoundland: St. Johns, NL, Canada, 2015. [Google Scholar]
- Wu, B.; Yan, X.; Wang, Y.; Wei, X. Maritime emergency simulation system (MESS)-a virtual decision support platform for emergency response of maritime accidents. Proceedings of 2014 4th International Conference On Simulation And Modeling Methodologies Technologies And Applications (SIMULTECH), Vienna, Austria, 28ߝ30 August 2014; pp. 155–162. [Google Scholar]
- Yin, Y.; Sun, X.; Zhang, X.; Liu, X.; Ren, H.; Zhang, X.; Jin, Y. Application of virtual reality in marine search and rescue simulator. Int. J. Virtual Real. 2010, 9, 9–26. [Google Scholar]
- Wu, H.; Yang, J.; Chen, C.; Wan, Y.; Zhu, X. Research of Virtual Ship Fire-fighting Training System Based on Virtual Reality Technique. IOP Conf. Ser. Mater. Sci. Eng. 2019, 677, 042100. [Google Scholar]
- Shaoyang, Q.; Hongxiang, R. Ship life-saving training system based on virtual reality technology. Proceedings of 2018 IEEE 4th International Conference on Control Science and Systems Engineering (ICCSSE), Wuhan, China, 24ߝ26 August 2018; pp. 559–563. [Google Scholar]
- Chae, C.-J.; Lee, J.-W.; Jung, J.-K.; Ahn, Y.-J. Effect of Virtual Reality Training for the Enclosed Space Entry. . J. Korean Soc. Mar. Environ. Saf. 2018, 24, 232–237. [Google Scholar]
- Zhang, N.; Liu, Y.; Luo, W.; Shen, Z.; Guo, C. Virtual reality based marine engineering English learning environment simulation research. Proceedings of 2015 12th International Computer Conference on Wavelet Active Media Technology and Information Processing (ICCWAMTIP), Chengdu, China , 18–20 December 2015 ; pp. 228–232. [Google Scholar]
- Mallam, S.C.; Nazir, S.; Renganayagalu, S.K. Rethinking Maritime Education, Training, and Operations in the Digital Era: Applications for Emerging Immersive Technologies. J. Mar. Sci. Eng. 2019, 7, 428. [Google Scholar] [CrossRef] [Green Version]
- IMO. International Convention on Standards of Training, Certification and Watchkeeping for Seafarers, 1978, as Amended; IMO: London, UK, 2017. [Google Scholar]
- Liu, Y.; Lan, Z.; Cui, J.; Krishnan, G.; Sourina, O.; Konovessis, D.; Ang, H.E.; Mueller-Wittig, W. Psychophysiological evaluation of seafarers to improve training in maritime virtual simulator. Adv. Eng. Inform. 2020, 44, 101048. [Google Scholar] [CrossRef]
- Baldauf, M.; Schröder-Hinrichs, J.-U.; Kataria, A.; Benedict, K.; Tuschling, G. Multidimensional simulation in team training for safety and security in maritime transportation. J. Transp. Saf. Secur. 2016, 8, 197–213. [Google Scholar]
- Vukonić, D.; Bielić, T.; Russo, A. Organizational factors in management of “mega cruise ships” from crowd management control aspect. Pomorstvo 2016, 30, 58–66. [Google Scholar] [CrossRef]
- Liou, C.; Chu, C.-W. A system simulation model for a training ship evacuation plan. J. Mar. Sci. Eng. 2016, 24, 107–124. [Google Scholar]
- Borich, G.D. A needs assessment model for conducting follow-up studies. J. Teach. Educ. 1980, 31, 39–42. [Google Scholar] [CrossRef]
- Mink, O.; Shultz, M.; Mink, P. Developing and Managing Open Organizations; Somerset Consulting Group. Inc: Austin, TX, USA, 1991. [Google Scholar]
- Febriani, S.; Sudomo, J.; Setianingsih, W. Development of Student Worksheet Based on Problem Based Learning Approach to Increase 7th Grade Student’s Creative Thinking Skills. J. Sci. Educ. Res. 2017, 1, 78–79. [Google Scholar] [CrossRef]
- Kim, K.E.; Kim, J.R.; Woo, H. Analysis of differences in perceptions and educational needs of university students, graduates, human resource manager on NCS basic job skill. J. Eng. Educ. Res. 2017, 20, 12–20. [Google Scholar]
- IMO. Passenger Ship Crowd Management Training(Model course 1.41); IMO: London, UK, 2018. [Google Scholar]
- Benoit, M.; Guerchouche, R.; Petit, P.-D.; Chapoulie, E.; Manera, V.; Chaurasia, G.; Drettakis, G.; Robert, P. Is it possible to use highly realistic virtual reality in the elderly? A feasibility study with image-based rendering. Neuropsychiatr. Dis. Treat. 2015, 11, 557. [Google Scholar] [PubMed] [Green Version]
- Garcia- Betances, R.I.; Jiménez-Mixco, V.; Arredondo, M.T.; Cabrera-Umpiérrez, M.F. Using virtual reality for cognitive training of the elderly. Am. J. Alzheimer’s Dis. Other Dement. 2015, 30, 49–54. [Google Scholar]
- Jung, J.; Ahn, Y.J. Effects of interface on procedural skill transfer in virtual training: Lifeboat launching operation study. Comput. Animat. Virtual Worlds 2018, 29, e1812. [Google Scholar] [CrossRef]








| Subject Area |
|---|
| Course Introduction |
|
|
| Code | Contents and Questions for Training |
|---|---|
| Q1 | Understanding and implementation the priority actions of duty officer in the event of an emergency on a passenger ship |
| Q2 | Understanding and implementation of how to notify passengers of the occurrence of an emergency for the first time and what should be informed |
| Q3 | Understanding and implementation about the external agency that should be reported first in the event of an emergency on a passenger ship |
| Q4 | In the event of an emergency, the cabin crew (secretary) should take priority actions and implementation |
| Q5 | Familiarity and implementation of the crew’s behavior while guiding passengers to a safe place in case of an emergency |
| Q6 | Familiarity and implementation of behavioral guidelines when entering the cabin while searching for residual persons on board |
| Q7 | Understanding and implementation of behavioral guidelines when evacuating passengers in the cabin |
| Q8 | Understanding and implementation of procedures for using life jackets stored in muster station |
| Q9 | Understanding and implementation of how to control the moving areas (stairs, doors, passages, etc.) on board |
| Q10 | Understanding and implementing how to control bottleneck areas where traversing aisles meet on board |
| Q11 | Understanding and implementation of what the crew must check before boarding the MES |
| Q12 | Selection and implementation of passengers who should be guided first when inducing an escape on board |
| Q13 | Understanding and implementation of the correct abandon-ship preparation on the passenger ships equipped with life-rafts and MES |
| Q14 | Understanding and implementing the correct behavior of passengers for abandoning ship |
| Q15 | Understanding and implementation of the most correct action when there is a missing person while identifying the number of people before abandoning ship |
| Q16 | Understanding and implementation of the role of the crew in the muster station |
| Q17 | Understanding and implementation of the abandon-ship signal and general measures |
| Q18 | Understanding and implementation the items that the crew must check when boarding a life-raft and abandoning ship |
| Q19 | Understanding and implementation of drop methods of a life-raft |
| Q20 | Understanding and implementation of launching procedures of a life-raft |
| Paired t-Test (Significance Level 95%) | |||
|---|---|---|---|
| t | Degrees of Freedom | p-Value | |
| VR trainees’ importance–performance | 5.472 | 29 | 0.000 |
| Video trainees’ importance–performance | 6.473 | 29 | 0.000 |
| - Null hypothesis (H0): The mean of importance and performance is “0” (there is no difference). - Alternative hypothesis (H1): The mean of importance and performance is not “0” (there is a difference). | |||
| Code | Borich’s Needs Coefficient for Video Group | Locus for Focus Model | Borich’s Needs Coefficient for VR Group | Locus for Focus Model |
|---|---|---|---|---|
| Q1 | 4.705 | HH | 3.603 | HH |
| Q2 | 4.575 | HH | 2.720 | HL |
| Q3 | 4.290 | HH | 2.625 | HL |
| Q4 | 4.076 | LH | 2.787 | LH |
| Q5 | 3.734 | HH | 3.578 | HH |
| Q6 | 1.500 | HL | 2.720 | HL |
| Q7 | 1.800 | HL | 1.936 | LL |
| Q8 | 1.625 | LL | 1.950 | LL |
| Q9 | 2.808 | LL | 2.580 | LL |
| Q10 | 2.167 | LL | 2.150 | LL |
| Q11 | 4.050 | HH | 3.425 | LH |
| Q12 | 3.983 | LH | 2.150 | LL |
| Q13 | 5.137 | HH | 3.527 | HH |
| Q14 | 3.466 | LH | 2.234 | LL |
| Q15 | 2.787 | LL | 3.398 | HH |
| Q16 | 1.693 | LL | 3.527 | HH |
| Q17 | 2.540 | LL | 2.588 | HL |
| Q18 | 2.889 | LL | 2.250 | LL |
| Q19 | 3.899 | LH | 3.654 | HH |
| Q20 | 4.543 | HH | 3.734 | HH |
Publisher’s Note: MDPI stays neutral with regard to jurisdictional claims in published maps and institutional affiliations. |
© 2021 by the authors. Licensee MDPI, Basel, Switzerland. This article is an open access article distributed under the terms and conditions of the Creative Commons Attribution (CC BY) license (https://creativecommons.org/licenses/by/4.0/).
Share and Cite
Chae, C.-J.; Kim, D.; Lee, H.-T. A Study on the Analysis of the Effects of Passenger Ship Abandonment Training Using VR. Appl. Sci. 2021, 11, 5919. https://doi.org/10.3390/app11135919
Chae C-J, Kim D, Lee H-T. A Study on the Analysis of the Effects of Passenger Ship Abandonment Training Using VR. Applied Sciences. 2021; 11(13):5919. https://doi.org/10.3390/app11135919
Chicago/Turabian StyleChae, Chong-Ju, Daegun Kim, and Hyeong-Tak Lee. 2021. "A Study on the Analysis of the Effects of Passenger Ship Abandonment Training Using VR" Applied Sciences 11, no. 13: 5919. https://doi.org/10.3390/app11135919
APA StyleChae, C.-J., Kim, D., & Lee, H.-T. (2021). A Study on the Analysis of the Effects of Passenger Ship Abandonment Training Using VR. Applied Sciences, 11(13), 5919. https://doi.org/10.3390/app11135919

