Abstract
Noise generated from wind turbines is a big challenge for the wind energy industry to develop further onshore wind energy. The traditional way of reducing noise is to design low noise wind turbine airfoils and blades. A wind turbine operating under wind shear and in yaw produces periodic changes of blade loading, which intensifies the amplitude modulation (AM) of the generated noise, and thus can give more annoyance to the people living nearby. In this paper, the noise emission from a wind turbine under wind shear and yaw is modelled with an advanced fluid-structure-acoustics framework, and then controlled with a pitch control strategy. The numerical tool used in this study is the coupled Navier–Stokes/Actuator Line model EllipSys3D/AL, structure model FLEX5, and noise prediction model (Brooks, Pope and Marcolini: BPM) framework. All simulations and tests were made on the NM80 wind turbine equipped with three blades made by LM Wind Power. The coupled code was first validated against field load measurements under wind shear and yaw, and a fairly good agreement was obtained. The coupled code was then used to study the noise source control of the turbine under wind shear and yaw. Results show that in the case of a moderate wind shear with a shear exponent of 0.3, the pitch control strategy can reduce the mean noise emission about 0.4 dB and reduce slightly the modulation depth that mainly occurs in the low-frequency region.
1. Introduction
As a clean and renewable energy, wind power has the advantages of low cost, low environmental pollution and wide availability. These unique advantages of wind power make it an important part of the sustainable energy mix in many countries. However, wind energy also has some drawbacks that hinder its global use. The noise caused by wind turbines has become one of the primary sources polluting the urban environment today. Wind turbine noise caused by the movement of the blades through the air is often seen as an essential aspect causing great annoyance as compared with other noise sources []. In Danish regulation [], a modern wind turbine should be set up at least four times its tip height away from residential areas. Even segregated by such a long distance, a turbine still produces a sound pressure level (SPL) of more than 40 dB (A), which almost equals some common home appliances []. A wind turbine operating under wind shear and in yaw produces periodic changes of blade loading, which intensifies the amplitude modulation (AM) of the generated noise, and thus can give more annoyance to the people living nearby. If the aerodynamic noise of a wind turbine can be reduced without limiting its rotational speed, wind energy can be utilized with a high efficiency. Therefore, in this paper, aerodynamic characteristics and noise features of a wind turbine in wind shear and yaw is studied.
Noise from a wind turbine or wind farm often has a feature of amplitude modulation with a varying sound pressure amplitude during its operation. There are two types of AM noise: the one is created by changing the blade noise directivity to receiver [] and the other is caused by non-uniform inflow and operation, for example the operation in wind shear and yaw. There are three methods (Japanese F-S method [], UK method [] and min-max method []) to characterize the modulation depth. Recently, Barlas et al. [] studied the amplitude modulation caused by a wind turbine wake using an advanced Computational Fluid Dynamics (CFD) (EllipSys3D/AL) and a sound propagation model based on solving parabolic wave equation and found that the modulation depth can reach 4–5 dB even with the same strength of noise source.
The prediction formulae of trailing edge noise were summarized first using data from an experiment by Schlinker and Amiet in 1981 []. In 1985, Grosveld [] used the helicopter noise formulae synthesized by Schlinker to calculate the emission noise of several two-blade, low-power downwind horizontal axis wind turbines, and the results were in good agreement with the measured data. In 1986, De Wolf continued the research based on a similar model []. Back to 1981, Viterna [] utilized an approach for the low-frequency noise of a wind turbine. A rather complex airfoil self-noise prediction model (known as the Brooks, Pope and Marcolini: BPM model) using wind tunnel acoustic measurements of National Advisory Committee for Aeronautics (NACA) 0012 airfoils was published by Brooks et al. [] in 1989. In 1996, Fuglsang and Madsen [] used the BPM model and the inflow noise model by Lowson [] modified from Amiet’s model [] to calculate the noise emission of a Vestas V27 wind turbine. In 2003, the National Renewable Energy Laboratory (NREL) [] developed its NREL AirFoil Noise (NAFNoise) based on the BPM model. The BPM was improved by including the real blade geometry for predicting wind turbine noise generation by Zhu et al. from Technical University of Denmark (DTU) in 2005 []. In 2009, Bowdler [] studied wind shear effects on noise at different locations and at different time instants of the day and of the year using field data collected at wind farm sites. Oerlemans [] investigated the influence of wind shear on the amplitude modulation of wind turbine noise in 2015. Wind shear and atmospheric turbulence effects on wind turbine noise using the Monin–Obukhov similarity theory was studied in 2016 by Yuan and Cotté []. To predict the trailing-edge noise, a more advanced trailing-edge noise model (TNO) was developed by Parchen [] using a relation between the sound pressure level at far field and the surface pressure spectrum at trailing edge and related the far field sound spectrum as a function of turbulent boundary layer quantities. A refined TNO model using CFD was made by Kamruzzaman et al. [] to consider the non-isotropic issue in the trailing-edge boundary layer. Tian [] extended Amiet’s model for simulating noise from a wind turbine.
This paper deals with the development of an advanced fluid-structure-noise technique for simulating noise generated from a wind turbine and controlling the noise generation of the wind turbine in wind shear and yaw by adjusting the pitch angle of its blades. A coupled flow and acoustics code that simultaneously predicts the noise and aerodynamic outputs of a wind turbine is applied in this study.
2. Theory and Methodology
The flow past a wind turbine is modelled with the actuator line (AL) method introduced by Sørensen and Shen [], which was implemented in DTU’s in-house finite volume code EllipSys3D. The actuator line method was coupled successfully with a high-order spectral method by Kleusberg et al. [,]. EllipSys3D was developed by the co-operation of the Department of Mechanical Engineering at DTU [] and the Department of Wind Energy at Risø National Laboratory [] that is now the Department of Wind Energy at DTU. The AL method [,] represents the aerodynamic loads of wind turbine blades by using a body force distributed along rotating lines. The body force imposed in the Navier–Stokes equations is computed by the aero-elastic code FLEX5 [] also developed at DTU. The coupling of FLEX5 and EllipSys3D/AL methods is performed at every time-step. The flow data at the blades from EllipSys3D/AL are interpolated from the flow mesh and then fed into FLEX5. Using these information, the angle of attack and relative velocity including blade deformation/motions are calculated in FLEX5 and the aerodynamic loads on the blades are obtained further by using tabulated airfoil lift, drag and moment vs. angle of attack (AoA) data including dynamic stall. The new blade positions and loads from FLEX5, which includes the effect of blade bending and motion of the rotor (up/down/side-to-side/rotations) are then fed into EllipSys3D/AL as a body force on the moving actuator lines. With these new blade positions, the new loads are redistributed on the CFD mesh and a new solution is obtained in EllipSys3D/AL. In a standard aero-elastic code, these effects and motions are calculated by using the blade momentum theory (BEM) as the aerodynamic model. Here, the high-fidelity Navier–Stokes AL method was used to solve the fluid-structure interaction problem instead. To perform with large eddy simulation, the mixed scale model of Ta Phuoc [,] was used. To calculate the noise emission from the blades, the BPM code was used. The variables of angle of attack and relative velocity were calculated in FLEX5 and fed to BPM. A flow chart of the combined EllipSys3D/AL, FLEX5 and BPM framework is shown in Figure 1.
Figure 1.
Flow chart of the combined EllipSys3D/AL, FLEX5 and BPM program.
In EllipSys3D, the solution to the incompressible Navier–Stokes equations is advanced in time using an iterative time-stepping method. The velocity-pressure coupling equations at each time-step are solved iteratively by sub-iterations with the usage of under-relaxation. First, the code solves the momentum equations as a predictor so that the solution can be advanced in time. The pressure correction equation, i.e., the rewritten continuity equation in satisfying the local mass flux conservation in the discretized form, is solved as a corrector making the final flow field satisfy the continuity constraint. This is a two-step procedure corresponding to a single sub-iteration, and the process is repeated until the solution becomes convergent within sub-iterations. The variables are then updated after the convergent solution is updated, and then followed by the next time step.
The aero-elastic code FLEX5 was designed to simulate a wind turbine’s dynamic behavior regarding different wind conditions. FLEX5 operates in the time domain, and the output is the time-series of simulated loads and deflections. The detailed information of nine modules in FLEX5 can be found in [].
The acoustic prediction BPM model used in this work takes the detailed geometrical and flow information into account, e.g., tip shape, blade geometry (chord and twist distributions) as well as instantaneous wind speed and direction. The velocity at each blade segment is computed by accounting for the induction effect and the vibration velocity of the blades. Furthermore, the geometry contours of airfoil sections of blade segments are also included in the prediction as important inputs, such as the boundary thickness and displacement thickness. The boundary layer parameters for a NACA 0012 was benchmarked with the viscous-inviscid interaction code XFOIL [] and the strong viscous-inviscid interactive coupling code Q3UIC [], and compared with the measured values []. The comparisons (not shown) indicated that XFOIL under-predicts the boundary layer thicknesses about 30% and Q3UIC gave a good agreement with the measurement. In this study, we compute the boundary quantities of airfoils using Q3UIC. For more advanced calculations, the structure deformation in the blade torsion direction can also be considered, which will lead to changes in angle of attack. More details about the noise prediction calculation can be found in [,].
In wind turbine control systems, the proportional–integral–derivative (PID) controller is widely applied to control the generator speed and blade pitch angle. Obviously, the ideal controller should be developed by using the PID controller theory. In the present study, given the practical complexity, two control strategies, of (1) full step pitch input control and (2) interpolated pitch input control, are developed, which are P-type controls.
For the full step pitch input control, the blade pitch β is controlled at each time-step with an objective of AoA at one or more selected cross-sections, αi, equal to its mean value in a cycle at one or more selected cross-sections, αi,mean, as follows
where N is the number of selected cross-sections. After approximately 100 s, the solution becomes stable. Alternatively, the interpolation pitch input control can be used and Figure 2 illustrates the concepts. The idea is to control the blade pitch in the way that (i) at the peaks or troughs of one or more cross-sections, the blade pitch is controlled as the one in the full step pitch input control; (ii) at the azimuth positions in between the blade pitch is controlled by a pitch angle interpolated from the pitch angles at the peaks and troughs in (i) according to its azimuth position. Concretely, the peaks and troughs are extracted first with their corresponding azimuth angles and the mean AoAs are obtained from the maximums and minimums (red circles in Figure 2):
Figure 2.
Pitch input setup based on angle of attack (AoA).
3. Numerical Results
In this section, the accuracy of the used numerical code is first assessed by performing a validation against field measurements performed in the DanAero project []. Results from the control study under the same conditions are presented afterwards.
3.1. Validation of the Simulation Framework
Before going further to discuss the performance of a wind turbine in different operation setups, the accuracy of the simulation code should be verified first. The 2.3 MW NM80 wind turbine was used here.
The design geometry of the LM 38.8 blade and aerodynamic airfoil data for the generic 2.3 MW variable speed and pitch controlled NM80 wind turbine were provided through a confidential agreement of using the DANAERO database. The airfoil data were used directly in AL/FLEX5, and the structural data originally prepared for HAWC2 were used to produce an equivalent FLEX5 input file. We assume the wind turbine operates in an ideal situation, so the tilt angle and tower shadow effects are neglected. Some key parameters of the wind turbine are listed in Table 1.
Table 1.
Key wind turbine parameters.
Specific parameters for the two verification cases are listed below in Table 2.
Table 2.
Description of Case I and Case II.
Figure 3.
Configuration of a wind turbine under wind shear and yaw.
In the computations, a relatively fine mesh of about 19 million cells was used with 192 × 192 × 512 cells in the transversal, vertical and streamwise directions in a domain of [−16R, 16R] × [0R, 19R] × [−16R, 34R] (R is the rotor radius), respectively. A time-step based on rotor radius and inflow wind speed of 0.002 was used. A resolution of 30 cells per rotor radius was used in the rotor plane and 18 cells per rotor radius were uniformly distributed from 1D (rotor diameter) in front of the turbine to 11D behind the turbine in order to have a good resolution in the wake region. The airfoil data used in the computations were 2-dimensional airfoil data provided from the International Energy Agency (IEA) Task 29 consortium. To take into account the dynamic stall effects, the Øye dynamic stall model [] was used as this is a part of FLEX5.
The boundary condition used in the computations is that at the inlet (min z), spanwise boundary (x direction) and up-boundary (max y), a sheared wind velocity profile is used, at the ground (y = 0) no-slip condition is used, and at the outlet (max z) the convective boundary condition is used. In this study, no synthetic inflow turbulence is used.
Figure 4 and Figure 5 illustrate the comparisons between the measured data and simulation results. The simulation results were extracted from a cycle after the flow was stabilized. The forces normal and tangential to the local airfoil chord at 33%, 48%, 76% and 92% rotor radius noted as Fn33, Ft33, Fn48, Ft48, Fn76, Ft76, Fn92, Ft92, respectively, are shown below:

Figure 4.
Forces normal and tangential to the local chord at 33%, 48%, 76% and 92% rotor radius for Case I (a) Fn33; (b) Ft33; (c) Fn48; (d) Ft48; (e) Fn76; (f) Ft76; (g) Fn92; (h) Ft92.

Figure 5.
Forces normal and tangential to the local chord at 33%, 48%, 76% and 92% rotor radius for Case II (a) Fn33; (b) Ft33; (c) Fn48; (d) Ft48; (e) Fn76; (f) Ft76; (g) Fn92; (h) Ft92.
As observed, the magnitudes between the measurements and simulations are similar for most of the quantities. In Case I, the computed normal force does not follow with the measured one and this is probably due to the Øye dynamic stall model used in the computations, which does not perform well at small angles of attack. On the other hand, the tangential force agrees well with the measurements. In Case II, the normal force is seen to be very well captured, while the tangential force is slightly over-predicted. The trends in function of azimuth angle (with 0 when the blade is down-pointing) followed the numerical results well. Since the tangential force is sensitive to the local angle of attack and airfoil data, calibrating airfoil data and its 3-dimensional corrections to rotational effects is a challenge for accurately predicting the performance of a wind turbine under wind shear and yaw. From the comparisons, it is also seen that the agreement is fairly good for both small (6) and large (38) yaw angles under a moderate wind shear. Therefore, it can be concluded from the validation that the simulation technique used in the present paper can predict the wind turbine performance relatively well.
3.2. Power Performance and Load Simulation
Since a wind turbine is rarely working with a large yaw angle, we define scenarios for the control study according to Case I in the validation. The specifics of the four different scenarios are described below:
- Case 1:
- No yaw, no shear;
- Case 2:
- yaw, no shear;
- Case 3:
- No yaw, 0.3 wind shear power law exponent;
- Case 4:
- yaw, 0.3 wind shear power law exponent.
Figure 6 illustrates the streamwise velocity and pressure field for Case 1 and Case 4. Horizontal axis x and vertical axis y are non-dimensional with the rotor radius of R = 40 m, which means the real values of them should equal to the axis values times R. The rotor center is located at x = 1.5 and y = 1.5. In Figure 6a, a velocity slowdown (induction effect) created by the rotor when exacting wind energy can be observed in the areas both in front of and behind the rotor, where the impact of induction effect is larger in the wake. When no shear is included, no wind speed stratification above the ground can be observed. A significant wind speed stratification above the ground can be observed in Figure 6b, while the wake is also mitigated by the lower longitudinal wind speed due to the shear. Similarly, Figure 6c,d illustrate the pressure field for Case 1 and Case 4, respectively. In general, the pressure in front of the rotor is larger than the pressure behind the rotor. By introducing the wind shear and yaw, the pressure both in front of and behind the rotor is changed, especially for the pressure in front of the rotor, which becomes more homogeneous.
Figure 6.
Streamwise velocity field and pressure field for Case 1 and Case 4: (a) streamwise velocity for Case 1; (b) streamwise velocity for Case 2; (c) pressure for Case 1; (d) pressure for Case 2.
The angle of attack (AoA) at 90% length of the blade for the four scenarios with no control is investigated. The comparison of the AoA can be found in Figure 7. In general, it can be observed that the fluctuations of AoA become much larger by introducing yaw or shear. In this study, the 0.3 wind shear power law exponent leads to a more significant amplitude change than the 10-degree yaw angle.
Figure 7.
Angle of attack in a cross-section of 35.24 m (90%R) without control strategy.
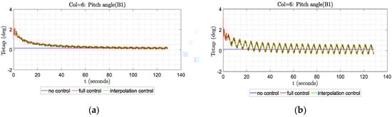
Figure 8 illustrates the comparisons of AoA under pitch control with respect to different scenarios. It is noted that the pitch angle control in this study is performed using the AoA at 90%R where the wind turbine noise source center is located []. In the beginning, due to inexact interpolation values, the interpolated pitch control strategy results in more throbbing of AoA than the full step control strategy. However, when it is converged, both control techniques lead to a significant reduction of AoA fluctuations in all the four scenarios, while the mean of AoA remains the same.
Figure 8.
Angle of attack in section 35.24 m (90%R) with control strategy: (a) Case 1; (b) Case 2; (c) Case 3; (d) Case 4.
Figure 9 shows the pitch input values based on the results of AoA mentioned above. Pitch angles for two control strategies are calculated by using the angle of attack at 90%R of the no control case. It can be observed that the pitch is constant with pitch offset when no control is performed. In terms of pitch in all the four cases, no significant difference can be found between control strategies I and II.

Figure 9.
Pitch in a cross-section of 35.24 m (90%R) with and without control strategy: (a) Case 1; (b) Case 2; (c) Case 3; (d) Case 4.
In Figure 10, power and thrust coefficients, noted as Cp and CT, respectively, are plotted for the four scenarios. It can be seen that is similar in all the four scenarios whereas introducing the shear and yaw slightly reduces especially when becoming more stationary, i.e., after 110 s. The reduction of the mean is mainly due to the yaw misalignment, where the axial wind speed is smaller. It also should be noted that the scenarios with a yaw angle, has more periodical fluctuations due to the yaw angle. A similar trend like can be found in the thrust coefficient , shown in Figure 10b, where the reduction of is realized by the shear and yaw. The most significant difference happened in the scenario with both yaw and wind shear. Moreover, it can be observed that the difference between the yaw versus the yaw plus shear scenarios is relatively small. The reduction of in Case 2, Case 3 and Case 4 is due to the reduction of the axial wind speed caused by the yaw.
Figure 10.
Cp and CT without control strategy: (a) power coefficient; (b) thrust coefficient.
By implementing the pitch adjustment, more fluctuations in Figure 11 are observed in the and signals while the mean and almost remain the same. By introducing the control methods, the fluctuation magnitudes of both control strategies increase, especially in control technique I. Some jumps of and values occur in the transient period as well. Moreover, the transient periods when performing both control techniques are longer, as compared to no control. For control technique I, the unexpected large fluctuations in CT and Cp might be explained by the large pitch changes at each time step. For control technique II, similar results are observed when the fluctuation magnitudes are much smaller. The possible explanation is that there are fewer input pitch values and the corresponding interpolation enables better convergence of the elastic code.
Figure 11.
Power and thrust coefficients with a pitch adjustment: (a) for Case 1; (b) for Case 1; (c) for Case 2; (d) for Case 2; (e) for Case 3; (f) for Case 3; (g) for Case 4; (h) for Case 4.
3.3. Acoustical Analysis
Effects of Wind Shear and Yaw on Sound Emission
Figure 12 illustrates the polar plot of the sound pressure level in the function of azimuth angle of blade 1 for the four cases, which is called the amplitude modulation (AM) noise. AM noise is often a big issue because it gives more perception to the people living nearby. However, it should be noted that there are two different phenomena that make AM noise: one is caused by the blade noise directivity change during its operation [] and another is caused by the non-uniform flow and operation, such as wind shear and yaw. In the present study, the latter is focused. The observer is located at 1.5 m height and a distance of 500 m downstream from the turbine (500 m away from the turbine is often a place where people are living although the sound propagation effects due to ground and atmospheric conditions are not considered here). The choice of the 500 m distance downstream location is to minimize the AM noise created by the blade noise directivity change. The speed of sound used in the calculations is 340 m/s. The turbulence level and turbulence length scale are set as 3% and 100 m, respectively. This choice was made in accordance with the 0.3 wind shear exponent defined in the scenarios. A more realistic choice can be made when the detailed flow information is measured. The 0° azimuth angle is defined when blade 1 is vertically down and coincides with the tower. All these four scenarios are performed with no control. As can be observed in Cases 1 and 3, the sound pressure level is slightly larger when the shear is included, while it significantly decreases with a 10 yaw, i.e., for both Cases 2 and 4. Normally, the SPL from one blade is highest when it is pointing upwards. The reason can be seen from the BPM sound prediction equations that the SPL is related to the fifth power of the oncoming velocity. For the case of three blades, at zero azimuth angle (blade 1 is pointing downwards), the other two blades are pointing at 120° and 240° when the noise is almost highest during its operation for Cases 3 and 4.
Figure 12.
Sound pressure level in function of blade azimuth angle without control at 1.5 m height and 500 m distance downstream from the turbine at a wind speed of 6 m/s.
Figure 13 illustrates the comparison of SPL regarding different control scenarios. It can be observed that compared with the non-controlled case, the controlled SPL results, i.e., with control techniques I and II, are similar for Case 1 and Case 2. For Case 1, the peaks for both control strategies are in step, whereas the magnitude of the no control results is slightly smaller. For Case 2, the fluctuations are also generally in step, and both the time and magnitude of the peaks are consistent. Therefore, the implementation of the control techniques may not lead to noise reductions for the no-shear scenarios. The main reason for the negligible difference in Cases 1 and 2 is that the modifications of the pitch and the corresponding AoA are relatively small where the fluctuations of noise level are mainly due to blade deflections. A larger difference is expected for a larger pitch. It should be noted that Case 2 corresponds to a slightly lower SPL as compared to Case 1, due to the yaw-caused lower axial wind speed. For Cases 3 and 4, a larger decrease of SPL, i.e., about 0.4 dB, can be observed by introducing either control strategy I or II, whereas the trend remains the same. No significant difference can be found between the results of the two control techniques. It can be concluded that by introducing the control techniques, the reduction of SPL can be realized for the shear scenarios. In comparison to the angle of attack plots in Figure 8 with those plots of SPL in Figure 13, a non-linear effect between these two quantities is seen due to the blade structural responses. The AoA variation of the interpolation control in Figure 8d is reduced about 1°. According to the rule of a 1° AoA reduction resulting in a 1 dB noise reduction [], the noise change in the present study is within this range. For comparison, it can be observed that the differences between the controlled and uncontrolled results of A-weighted SPL regarding all the cases are negligible. The reason is that the A-weighted SPL accounts for more of the high-frequency noise to which humans are more sensitive and de-emphasizes the low-frequency contribution. In our case, the reduction of the noise mainly occurs in the low-frequency part and thus the A-weighting SPL is similar in all the cases. It should be noted that the low-frequency noise is important in far-field as it can propagate in a long distance with very small air absorption. To check the AM noise, the modulation depth for Case 4 is calculated according to the method proposed in [] and shown in Table 3. From the table, it is seen that the modulation depth is slightly reduced.
Figure 13.
Sound pressure level and A-weighted sound pressure level of the turbine at 6 m/s wind speed: (a) sound pressure level (SPL) for Case 1; (b) A-weighted SPL for Case 1; (c) SPL for Case 2; (d) A-weighted SPL for Case 2; (e) SPL for Case 3; (f) A-weighted SPL for Case 3; (g) SPL for Case 4; (h) A-weighted SPL for Case 4.
Table 3.
Modulation depth for Case 4.
Moreover, this phenomenon can be verified in Figure 14, where the contribution of SPL in different frequencies at the time instant (120 s) is shown. From the figure, it is seen that at the low frequency (which is less than 315 Hz), SPL is reduced obviously by the pitch control strategy.
Figure 14.
SPL spectra of case 4 of the turbine at 6 m/s wind speed at a time instant of 120 s after control.
Figure 15 illustrates the SPL and A-weighted SPL in Cases 1, 2 and 4, but with a lager inflow wind speed of 10 m/s. With the lager wind speed, the SPL increases about 8.5 dB in each case. The interesting thing deserved to be noticed is that the pitch control methods at 10 m/s display a similar effect in Case 4 as at 6 m/s but the variations in amplitude are more important. Since the A-weighted SPL was designed according to human hearing and emphasizes the contribution from the high frequency sound centered at 1000 Hz, it can give an impression that the control methods give a small effect on A-weighted SPL. The modulation depth is listed in Table 3 and a small reduction is seen. It is worth noting that the yaw and shear considered in this study are relatively small and these effects can be much bigger in large shear and yaw cases. Moreover, the noise propagation effects due to changing atmospheres and wakes [] are not included here. In the future, the present noise source-modelling framework will be further coupled with the propagation model [] in order to control wind turbine noise at far field.
Figure 15.
Sound pressure level and A-weighted Sound pressure level from the wind turbine at 10 m/s wind speed: (a) SPL for Case 1; (b) A-weighted SPL for Case 1; (c) SPL for Case 2; (d) A-weighted SPL for Case 2; (e) SPL for Case 4; (f) A-weighted SPL for Case 4.
4. Conclusions
In this paper, an advanced flow-structure-acoustics framework has been developed and validated against load field measurements for the case of the 2.3 MW NM80 wind turbine under a moderate wind shear and a small and a large yaw angle. The code has been further used for studying and controlling noise generation from a wind turbine under a moderate wind shear and a small yaw, which is often the case when a wind turbine operates. Through analysis of the results, several conclusions are summarized here:
- Simulations based on the coupled Ellipsys3D/AL/Flex5 framework agreed well with field load measurements on the 2.3 MW NM80 turbine.
- It was observed that the wind shear had a significant impact on the flow field, which led to a fainter wake. The longitudinal wind speed was reduced by introducing yaw, which accordingly decreased the sound pressure level.
- The reduction of sound pressure level under a moderate wind shear situation with a shear exponent of 0.3 was undertaken by a pitch adjustment, while the power and thrust coefficients generally became more undulant. The pitch adjustment techniques were only useful for the case with a wind shear.
- Given the miscellaneous reasons causing the wind turbine noise and the complex relations in SPL prediction formulations, it was obviously found that SPL and AoA were not linearly related. This non-linear relationship was also confirmed by comparing the variation of AoA and SPL.
- Through the comparison of SPL and A-weighted SPL, the pitch control implemented in this paper mainly affected the wind turbine noise at low frequencies, while unapparent effects occurred with high-frequency noise.
- The mean SPL was reduced with 0.4 dB and the modulation depth was reduced slightly.
Author Contributions
Conceptualization, W.Z.S.; Formal analysis, M.Z.; Investigation, M.Z.; Methodology, W.Z.S.; Project administration, W.Z.S.; Resources, W.Z.S.; Software, M.S. and W.Z.S.; Supervision, M.S., H.Y. and W.Z.S.; Visualization, M.Z.; Writing—original draft, M.Z.; Writing—review & editing, M.S., H.Y. and W.Z.S. All authors have read and agreed to the published version of the manuscript.
Funding
This paper was partially funded by the Danish Energy Agency in the project (EUDP2018, Journal nr. 64018-0084) and the Innovation Fund Denmark in the project entitled “DecoWind—Development of low-noise and cost-effective wind farm control technology” under project number (8055-00041B). The DanAero projects were funded partly by the Danish Energy Agency, (EFP2007. Journal nr. 33033-0074 and EUDP 2009-II. Journal nr: 64009-0258) and partly by self-funding from the project partners Vestas, Siemens Gamesa Renewable Energy, LM Wind Power, Dong Energy and DTU Wind Energy.
Conflicts of Interest
The authors declare no conflict of interest.
Abbreviations
| BPM | a semi-empirical noise prediction model developed by Brooks, Pope and Marcolini |
| AL | actuator line |
| BEM | blade momentum theory |
| AoA | angle of attack |
| SPL | sound pressure level |
| PID | proportional–integral–derivative controller |
References
- Van den Berg, F.; Pedersen, E.; Bouma, J.; Bakker, R. Project WINDFARM Perception: Visual Acoustic Impact of Wind Turbine Farms on Residents—Final Report. Report FP6–2005-Science-and-Society-20; University Medical Centre Groningen: Groningen, Netherlands, 2008. [Google Scholar]
- Danish Regulation for Wind Turbine Noise; Ministry of Environment and Food of Denmark: Copenhagen, Denmark, 2019; Available online: https://mst.dk/service/nyheder/nyhedsarkiv/2019/feb/ny-bekendtgoerelse-om-stoej-fra-vindmoeller/ (accessed on 13 February 2020).
- How Loud Is a Wind Turbine. Available online: https://www.windpowerengineering.com/loud-wind-turbine-really/ (accessed on 27 October 2020).
- Oerlemans, S. Detection of Aeroacoustic Sound Sources on Aircraft and Wind Turbines. Ph.D. Thesis, University of Twente, Enschede, The Netherlands, 2009. [Google Scholar]
- Fukushima, A.; Yamamoto, K.; Uchida, H.; Sueoka, S.; Kobayashi, T.; Tachibana, H. Study on the amplitude modulation of wind turbine noise: Part 1—Physical investigation. In Proceedings of the INTER-NOISE, Innsbruck, Austria, 15–18 September 2013. [Google Scholar]
- Coles, D.; Levet, T.; Cand, M. Application of the UK IOA Method for Rating Amplitude Modulation. In Proceedings of the 7th International Conference on Wind Turbine Noise, Rotterdam, The Netherlands, 2–5 May 2017. [Google Scholar]
- Fernandez, F.A.; Burdisso, R.A.; Arenas, J.P. Indoor simulation of amplitude modulated wind turbine noise. Wind Energy 2017, 20, 507–519. [Google Scholar] [CrossRef]
- Barlas, E.; Zhu, W.J.; Shen, W.Z.; Kelly, M.; Andersen, S.J. Effects of wind turbine wake on atmospheric sound propagation. Appl. Acoust. 2017, 122, 51–61. [Google Scholar] [CrossRef]
- Schlinker, R.; Amiet, R. Helicopter rotor trailing edge noise. In Proceedings of the 7th Aeroacoustics Conference, Palo Alto, CA, USA, 5–7 October 1981; NASA CR-3470. pp. 1–145. [Google Scholar] [CrossRef]
- Grosveld, F.W. Prediction of Broadband Noise from Horizontal Axis Wind Turbines. J. Propuls. Power 1985, 1, 292–299. [Google Scholar] [CrossRef]
- De Wolf, W.B. EEN Predictiemethode voor het Aerodynamische Geluid van Windturbines met Horizontale AS. In NLR TR 870181L; Netherlands Aerospace Centre: Amsterdam, The Netherlands, 1986. [Google Scholar]
- Viterna, L.A. The NASA-LeRC Wind turbine sound prediction code. In NASA CP-2185; NASA Lewis Research Center: Cleveland, OH, USA, 1981. [Google Scholar]
- Brooks, T.F.; Pope, D.S.; Marcolini, M.A. Airfoil self-noise and prediction. In NASA RP-1218; NASA Langley Research Center: Hampton, VA, USA, 1989. [Google Scholar]
- Fuglsang, P.; Madsen, H.A. Implementation and verification of an aeroacoustic noise prediction model for wind turbines. In Risø-R-867(EN); Risø National Laboratory: Roskilde, Denmark, 1996. [Google Scholar]
- Lowson, M.V. Assessment and prediction of wind turbine noise. In Flow Solutions Report 92/19—ETSU W/13/00284/REP; Harwell Laboratory, Energy Technology Support Unit: Harwell, UK, 1992. [Google Scholar]
- Amiet, R.K. Acoustic radiation from an airfoil in a turbulent stream. J. Sound Vibr. 1975, 41, 407–420. [Google Scholar] [CrossRef]
- Moriarty, P.; Migliore, P. Semi-empirical aeroacoustic noise prediction code for wind turbines. In NREL/TP-500-34478; National Renewable Energy Lab.: Golden, CO, USA, 2003; pp. 1–39. [Google Scholar]
- Zhu, W.J.; Heilskov, N.; Shen, W.Z.; Sørensen, J.N. Modeling of aerodynamically generated noise from wind turbines. J. Solar Energy Eng. 2005, 127, 517–528. [Google Scholar] [CrossRef]
- Bowdler, D. Wind shear and its effect on noise assessment. In Proceedings of the Third International Conference on Wind Turbine Noise, Aalborg, Denmark, 17–19 June 2009; Available online: https://www.dickbowdler.co.uk/content/publications/Wind-Shear-and-its-Effect-on-Noise-Assessment.pdf (accessed on 26 October 2020).
- Oerlemans, S. Effect of wind shear on amplitude modulation of wind turbine noise. Int. J. Aeroacoust. 2015, 14, 715–728. [Google Scholar] [CrossRef]
- Tian, Y.; Cotté, B. Wind turbine noise modeling based on Amiet’s theory: Effects of wind shear and atmospheric turbulence. Acta Acust. United Acust. 2016, 102, 626–639. [Google Scholar] [CrossRef]
- Parchen, R. Progress report DRAW, a prediction scheme for trailing-edge noise based on detailed boundary-layer characteristics. In TNO-Report HAG-RPT-980023, Report; TNO Institute of Applied Physics: The Hague, The Netherlands, 1998. [Google Scholar]
- Kamruzzaman, M.; Lutz, T.; Würz, W.; Shen, W.Z.; Zhu, W.J.; Hansen, M.; Bertagnolio, F.; Madsen, H.A. Validations and improvements of aeroacoustics models using detailed experimental data. Wind Energy 2012, 15, 45–61. [Google Scholar] [CrossRef]
- Tian, Y. Modeling of Wind Turbine Noise Sources and Propagation in the Atmosphere. Ph.D. Thesis, ENSTA Paris Tech, Palaiseau, France, 2016. [Google Scholar]
- Sørensen, J.N.; Shen, W.Z. Numerical modeling of wind turbine wakes. J. Fluids Eng. 2002, 124, 393–399. [Google Scholar] [CrossRef]
- Kleusberg, E.; Mikkelsen, R.F.; Schlatter, P.; Ivanell1, S.; Henningson, D.S. High-order numerical simulations of wind turbine wakes. J. Phys. Conf. Ser. 2017, 854, 012025. [Google Scholar] [CrossRef]
- Kleusberg, E. Wind-Turbine Wakes—Effects of Yaw, Shear and Turbine Interaction. Ph.D. Thesis, Royal Institute of Technology, Stockholm, Sweden, 2019. [Google Scholar]
- Michelsen, J.A. Basis3D-a platform for development of multiblock PDE solvers. In Technical Report AFM 92-05; Technical University of Denmark: Copenhagen, Denmark, 1992. [Google Scholar]
- Sørensen, N.N. General purpose flow solver applied to flow over hills. In Risø-R-827(EN); Risø National Lab.: Roskilde, Denmark, 1995. [Google Scholar]
- Shen, W.Z.; Zhu, W.J.; Sørensen, J.N. Actuator line/Navier–Stokes computations for the MEXICO rotor: Comparison with detailed measurements. Wind Energy 2012, 15, 811–825. [Google Scholar] [CrossRef]
- Øye, S. FLEX Simulation of wind turbine dynamics. In State of the Art of Aeroelastic Codes for Wind Turbine Calculations; Pedersen, M.B., Ed.; The Technical University of Denmark: Lyngby, Denmark, 1996. [Google Scholar]
- Ta Phuoc, L. Modèles de Sous Maille Appliqués aux Ecoulements Instationnaires Décollés. In Aérodynamique Instationnaire Turbulente-Aspects Numériques et Expérimentaux; DGA/DRET: Paris, France, 1994. [Google Scholar]
- Shen, W.Z.; Zhu, W.J.; Sørensen, J.N. Aero-acoustic computations for turbulent airfoil flows. AIAA J. 2009, 47, 1518–1527. [Google Scholar] [CrossRef]
- Øye, S. FLEX5 Manual; Department of Wind Energy, Technical University of Denmark: Lyngby, Denmark, 1999. [Google Scholar]
- Drela, M. XFOIL, an analysis and design system for low Reynolds number airfoils. In Proceedings of the Conference on Low Reynolds Number Aerodynamics, University of Notre Dame, Notre Dame, IN, USA, 5–7 June 1989; pp. 1–12. [Google Scholar]
- Garcia, N.R.; Sørensen, J.N.; Shen, W.Z. A strong viscous-inviscid interaction model for rotating airfoils. Wind Energy 2014, 17, 1957–1982. [Google Scholar] [CrossRef]
- Leloudas, G.; Zhu, W.J.; Sørensen, J.N.; Shen, W.Z.; Hjort, S. Prediction and reduction of noise from a 2.3 MW wind turbine. J. Phys. Conf. Ser. 2007, 75, 012083. [Google Scholar] [CrossRef]
- Madsen, H.A.; Bak, C.; Troldborg, N. The DanAero experiments—A detailed investigation of MW wind turbine aerodynamics and aeroacoutics. Wind Energy 2020. submitted. [Google Scholar]
- Wagner, S.; Bareib, R.; Guidati, G. Wind Turbine Noise, 1st ed.; Springer: Berlin/Heidelberg, Germany, 1996. [Google Scholar]
Publisher’s Note: MDPI stays neutral with regard to jurisdictional claims in published maps and institutional affiliations. |
© 2020 by the authors. Licensee MDPI, Basel, Switzerland. This article is an open access article distributed under the terms and conditions of the Creative Commons Attribution (CC BY) license (http://creativecommons.org/licenses/by/4.0/).