Monitoring of Neotropical Streams Using Macroinvertebrate Communities: Evidence from Honduras
Abstract
1. Introduction
2. Materials and Methods
2.1. Area of Study
2.2. Data Collection
2.3. Data Analysis
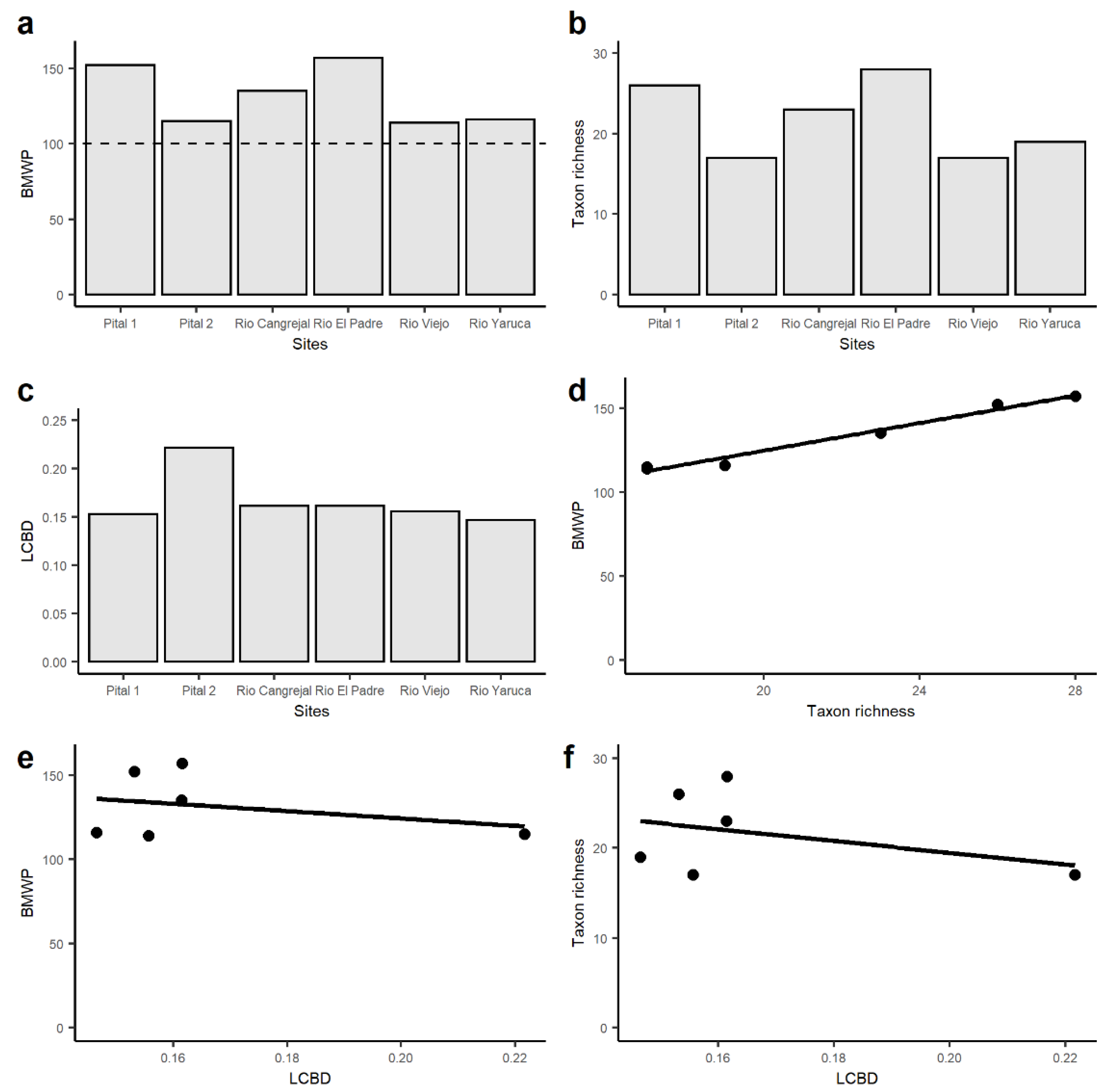
3. Results
4. Discussion
5. Conclusions
Author Contributions
Funding
Data Availability Statement
Acknowledgments
Conflicts of Interest
References
- Allan, J.D.; Castillo, M.M. Stream Ecology. Structure and Function of Running Waters, 2nd ed.; Springer Editions: Dordrecht, The Netherlands, 2007; pp. 317–358. [Google Scholar]
- Buss, D.F.; Carlisle, D.M.; Chon, T.S.; Culp, J.; Harding, J.S.; Keizer-Vlek, H.E.; Robinson, W.A.; Strachan, S.; Thirion, C.; Hughes, R.M. Stream biomonitoring using macroinvertebrates around the globe: A comparison of large-scale programs. Environ. Monit. Assess. 2015, 187, 4132. [Google Scholar] [CrossRef] [PubMed]
- Bo, T.; Doretto, A.; Laini, A.; Bona, F.; Fenoglio, S. Biomonitoring with macroinvertebrate communities in Italy: What happened to our past and what is the future? J. Limnol. 2017, 76, 21–28. [Google Scholar] [CrossRef]
- Todeschini, S.; Papiri, S.; Sconfietti, R. Impact assessment of urban wet-weather sewer discharges on the Vernavola river (Northern Italy). Civ. Eng. Environ. Syst. 2011, 28, 209–229. [Google Scholar] [CrossRef]
- Tornwall, B.; Sokol, E.; Skelton, J.; Brown, B.L. Trends in stream biodiversity research since the river continuum concept. Diversity 2015, 7, 16–35. [Google Scholar] [CrossRef]
- Vannote, R.L.; Minshall, G.W.; Cummins, K.W.; Sedell, J.R.; Cushing, C.E. The River Continuum Concept. Can. J. Fish. Aquat. Sci. 1980, 37, 130–137. [Google Scholar] [CrossRef]
- Doretto, A.; Piano, E.; Bona, F.; Fenoglio, S. How to assess the impact of fine sediments on the macroinvertebrate communities of alpine streams? A selection of the best metrics. Ecol. Indic. 2018, 84, 60–69. [Google Scholar] [CrossRef]
- Fenoglio, S.; Badino, G.; Bona, F. Benthic macroinvertebrate communities as indicators of river environment quality: An experience in Nicaragua. Rev. Biol. Trop. 2002, 50, 1125–1131. [Google Scholar]
- O’Callaghan, P.; Kelly-Quinn, M. Performance of selected macroinvertebrate-based biotic indices for rivers draining the Merendon Mountains region of Honduras. UNED Res. J. 2013, 5, 45–54. [Google Scholar] [CrossRef][Green Version]
- de Jesús-Crespo, R.; Ramírez, A. Effects of urbanization on stream physicochemistry and macroinvertebrate assemblages in a tropical urban watershed in Puerto Rico. J. N. Am. Benthol. Soc. 2011, 30, 739–750. [Google Scholar] [CrossRef]
- Ramirez, A.; Pringle, C.M. Structure and production of a benthic insect assemblage in a Neotropical stream. J. N. Am. Benthol. Soc. 1998, 17, 443–463. [Google Scholar] [CrossRef]
- Fenoglio, S. Stoneflies (Plecoptera: Perlidae) of Nicaragua. Caribb. J. Sci. 2007, 43, 220–225. [Google Scholar] [CrossRef]
- Springer, M. Aquatic insect diversity of Costa Rica: State of knowledge. Rev. Biol. Trop. 2008, 56, 273–295. [Google Scholar]
- Vásquez, D.; Flowers, R.W.; Springer, M. Life history of five small minnow mayflies (Ephemeroptera: Baetidae) in a small tropical stream on the Caribbean slope of Costa Rica. Aquat. Insect. 2009, 31, 319–322. [Google Scholar] [CrossRef]
- Fenoglio, S.; Bo, T.; Czekaj, A.; Rościszewska, E. Feeding habits, fine structure and microhabitat preference of Euthyplocia hecuba (Hagen,1861) (Ephemeroptera: Euthyplociidae) nymphs from Honduras. Fol. Biol. 2008, 56, 43–49. [Google Scholar] [CrossRef] [PubMed]
- Fenoglio, S.; Bo, T.; Cucco, M. Small-scale macroinvertebrate distribution in a riffle of a Neotropical rainforest stream (Río Bartola, Nicaragua). Caribb. J. Sci. 2004, 40, 253–257. [Google Scholar]
- Tomanova, S.; Moya, N.; Oberdorff, T. Using macroinvertebrate biological traits for assessing biotic integrity of Neotropical streams. River Res. Appl. 2008, 24, 1230–1239. [Google Scholar] [CrossRef]
- Stein, H.; Springer, M.; Kohlmann, B. Comparison of two sampling methods for biomonitoring using aquatic macroinvertebrates in the Dos Novillos Watershed, Costa Rica. Ecol. Eng. 2008, 34, 267–275. [Google Scholar] [CrossRef]
- Smith, J.B.; Strzepek, K.M.; Cardini, J.; Castaneda, M.; Holland, J.; Quiroz, C.; Wigley, T.M.L.; Herrero, J.; Hearne, P.; Furlow, J. Coping with climate variability and climate change in La Ceiba, Honduras. Clim. Chang. 2011, 108, 457–470. [Google Scholar] [CrossRef]
- Hilsenhoff, W.L. Rapid field assessment of organic pollution with a family-level biotic index. J. N. Am. Benthol. Soc. 1988, 7, 65–68. [Google Scholar] [CrossRef]
- Alba-Tercedor, J.; Sanchez-Ortega, A. Un metodo rapido y simple para evaluar la calidad biologica de las agues corrientes basado en el de Hellawell (1987). Limnetica 1988, 4, 51–56. [Google Scholar]
- Armitage, P.D.; Moss, D.; Wright, J.F.; Furse, M.T. The performance of a new biological water quality score system based on macroinvertebrates over a wide range of unpolluted running-water sites. Water Res. 1983, 17, 333–347. [Google Scholar] [CrossRef]
- Legendre, P.; De Cáceres, M. Beta diversity as the variance of community data: Dissimilarity coefficients and partitioning. Ecol. Lett. 2013, 16, 951–963. [Google Scholar] [CrossRef]
- R Development Core Team. R: A Language and Environment for Statistical Computing; R Foundation for Statistical Computing: Vienna, Austria, 2018. Available online: https://www.r-project.org/ (accessed on 19 March 2021).
- Bradshaw, C.J.A.; Sodhi, N.S.; Brook, B.W. Tropical turmoil: A biodiversity tragedy in progress. Front. Ecol. Environ. 2009, 7, 79–87. [Google Scholar] [CrossRef]
- González, E.; Roldán, G. Biological Monitoring of Water Quality in the Americas. In Water Quality in the Americas; Gabriel Roldán, G., Tundisi, J., Jiménez, B., Vammen, K., Vaux, H., González, E., Doria, M., Eds.; IANAS-IAP: Ciudad de México, México, 2019; pp. 37–50. [Google Scholar]
- O’Callaghan, P.; Kelly-Quinn, M. Distribution and structure of lotic macroinvertebrate communities and the influence of environmental factors in a tropical cloud forest, Cusuco National Park, Honduras. J. Limnol. 2017, 76, 148–160. [Google Scholar] [CrossRef][Green Version]
- García Lina, A.; Jiménez Otárola, F. Efectos del bosque ribereño y de las actividades antrópicas en las características físico-químicas y en poblaciones de macroinvertebrados acuáticos en la subcuenca del río Tascalapa, Honduras. Rec. Nat. Amb. 2006, 48, 35–46. [Google Scholar]
- López, L.I.; Gutiérrez, P.; Mora, J.M. Macrofauna Acuática de la Quebrada Santa Inés, Subcuenca del Río Yeguare, Honduras. Ceiba 2010, 51, 17–28. [Google Scholar] [CrossRef]
- Doretto, A.; Bona, F.; Falasco, E.; Morandini, D.; Piano, E.; Fenoglio, S. Stay with the flow: How macroinvertebrate communities recover during the rewetting phase in Alpine streams affected by an exceptional drought. River Res. Appl. 2020, 36, 91–101. [Google Scholar] [CrossRef]
- Doretto, A.; Bo, T.; Bona, F.; Fenoglio, S. Efficiency of Surber net under different substrate and flow conditions: Insights for macroinvertebrates sampling and river biomonitoring. Knowl. Manag. Aquat. Ecosyst. 2020, 421, 10. [Google Scholar] [CrossRef]
- Sánchez-Montoya, M.M.; Vidal-Abarca, M.R.; Suárez, M.L. Comparing the sensitivity of diverse macroinvertebrate metrics to a multiple stressor gradient in Mediterranean streams and its influence on the assessment of ecological status. Ecol. Indic. 2010, 10, 896–904. [Google Scholar] [CrossRef]
- Mebane, C.A. Testing bioassessment metrics: Macroinvertebrate, sculpin, and salmonid responses to stream habitat, sediment, and metals. Environ. Monit. Assess. 2001, 67, 293–322. [Google Scholar] [CrossRef]
- Bo, T.; Doretto, A.; Levrino, M.; Fenoglio, S. Contribution of beta diversity in shaping stream macroinvertebrate communities among hydro-ecoregions. Aquat. Ecol. 2020, 54, 957–971. [Google Scholar] [CrossRef]
- Tolonen, K.E.; Leinonen, K.; Erkinaro, J.; Heino, J. Ecological uniqueness of macroinvertebrate communities in high-latitude streams is a consequence of deterministic environmental filtering processes. Aquat. Ecol. 2018, 52, 17–33. [Google Scholar] [CrossRef]
- Ruhí, A.; Datry, T.; Sabo, J.L. Interpreting beta-diversity components over time to conserve metacommunities in highly dynamic ecosystems. Conserv. Biol. 2017, 31, 1459–1468. [Google Scholar] [CrossRef] [PubMed]


| Taxon | REP | RY | RV | P1 | P2 | RC |
|---|---|---|---|---|---|---|
| Plecoptera | ||||||
| Anacroneuria | + | |||||
| Ephemeroptera | ||||||
| Baetodes | + | + | + | + | + | |
| Camelobaetidius | + | + | + | + | + | + |
| Leptohyphes | + | + | + | + | + | + |
| Thraulodes | + | + | + | + | + | + |
| Euthyplocia | + | + | + | |||
| Trichoptera | ||||||
| Leptonema | + | + | ||||
| Plectromacronema | + | |||||
| Smicridea | + | |||||
| Chimarra | + | + | + | + | + | |
| Wormaldia | + | + | ||||
| Ecnomidae | + | + | + | + | + | + |
| Leptoceridae | + | |||||
| Lepidoptera | ||||||
| Petrophila | + | + | + | |||
| Coleoptera | ||||||
| Psephenus | + | + | + | + | ||
| Elmidae | + | + | + | + | + | + |
| Haliplidae | + | |||||
| Hemiptera | ||||||
| Crhyphocricos | + | + | + | |||
| Limnocoris | + | |||||
| Belostoma | + | |||||
| Gerridae | + | + | + | + | + | |
| Rhagovelia | + | + | + | + | + | |
| Diptera | ||||||
| Chironomidae | + | + | + | + | + | + |
| Simuliidae | + | + | + | + | ||
| Sciomyzidae | + | |||||
| Limoniidae | + | + | + | + | + | |
| Culicidae | + | |||||
| Ceratopogonidae | + | |||||
| Tabanidae | + | |||||
| Odonata Anisoptera | ||||||
| Gomphidae | + | + | + | + | ||
| Libellulidae | + | + | ||||
| Palaemnema | + | |||||
| Odonata Zygoptera | ||||||
| Haeterina | + | + | ||||
| Argia | + | + | + | + | + | |
| Megaloptera | ||||||
| Corydalus | + | + | + | + | + | + |
| Decapoda | ||||||
| Macrobrachium | + | + | + | |||
| Tricladida | ||||||
| Planariidae | + | + | + | + | + | + |
| Gastropoda | ||||||
| Lymnaeidae | + | + | + | |||
| Ancylidae | + | + | + | + | + |
Publisher’s Note: MDPI stays neutral with regard to jurisdictional claims in published maps and institutional affiliations. |
© 2021 by the authors. Licensee MDPI, Basel, Switzerland. This article is an open access article distributed under the terms and conditions of the Creative Commons Attribution (CC BY) license (https://creativecommons.org/licenses/by/4.0/).
Share and Cite
Fenoglio, S.; Doretto, A. Monitoring of Neotropical Streams Using Macroinvertebrate Communities: Evidence from Honduras. Environments 2021, 8, 27. https://doi.org/10.3390/environments8040027
Fenoglio S, Doretto A. Monitoring of Neotropical Streams Using Macroinvertebrate Communities: Evidence from Honduras. Environments. 2021; 8(4):27. https://doi.org/10.3390/environments8040027
Chicago/Turabian StyleFenoglio, Stefano, and Alberto Doretto. 2021. "Monitoring of Neotropical Streams Using Macroinvertebrate Communities: Evidence from Honduras" Environments 8, no. 4: 27. https://doi.org/10.3390/environments8040027
APA StyleFenoglio, S., & Doretto, A. (2021). Monitoring of Neotropical Streams Using Macroinvertebrate Communities: Evidence from Honduras. Environments, 8(4), 27. https://doi.org/10.3390/environments8040027

