Influence of Saharan Dust Intrusions on Respiratory Medication Dispensing
Abstract
1. Introduction
2. Materials and Methods
2.1. Definition of ICS-LABA and SABA Sales
2.2. Definition of SDI
2.3. Statistical Analysis
2.4. Ethical Approval and Consent to Participate
3. Results
3.1. Effect of SDI over SABA and ICS-LABA Sales in the Canary Islands
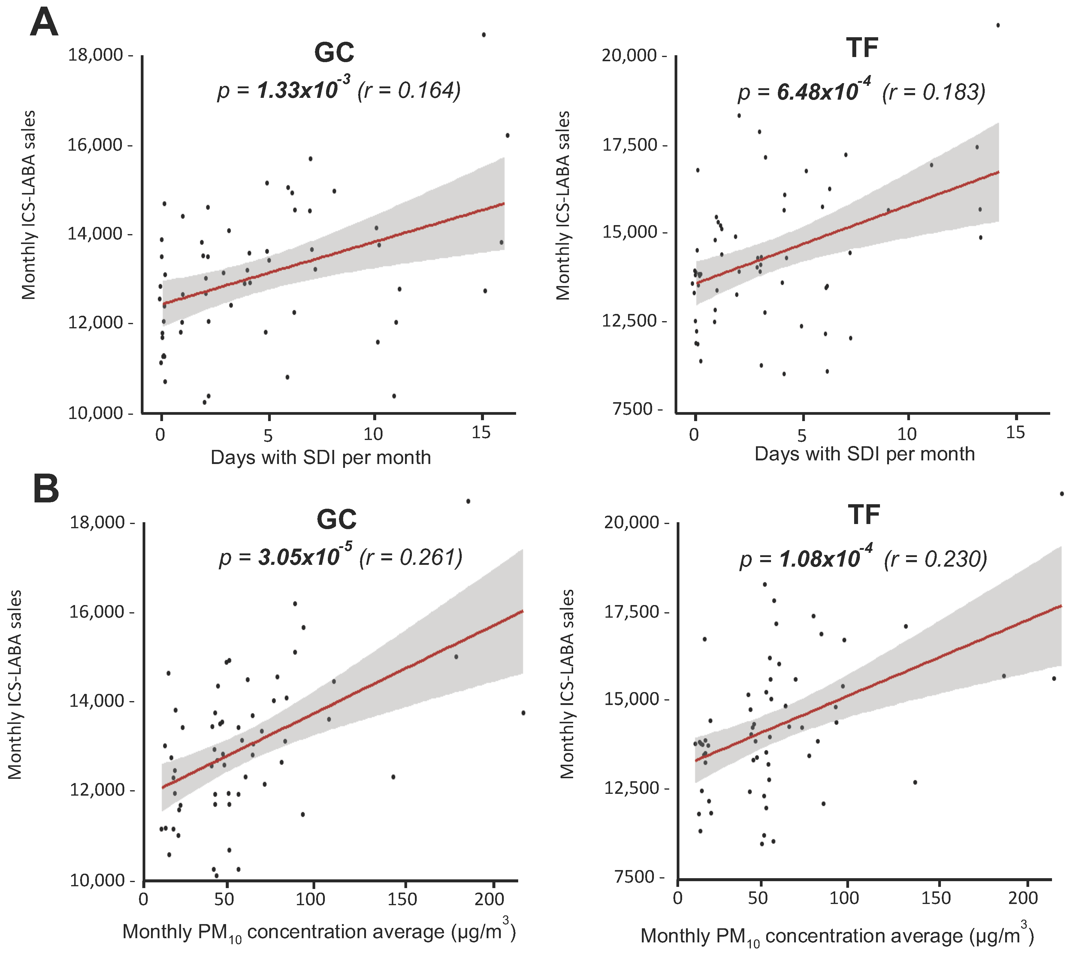
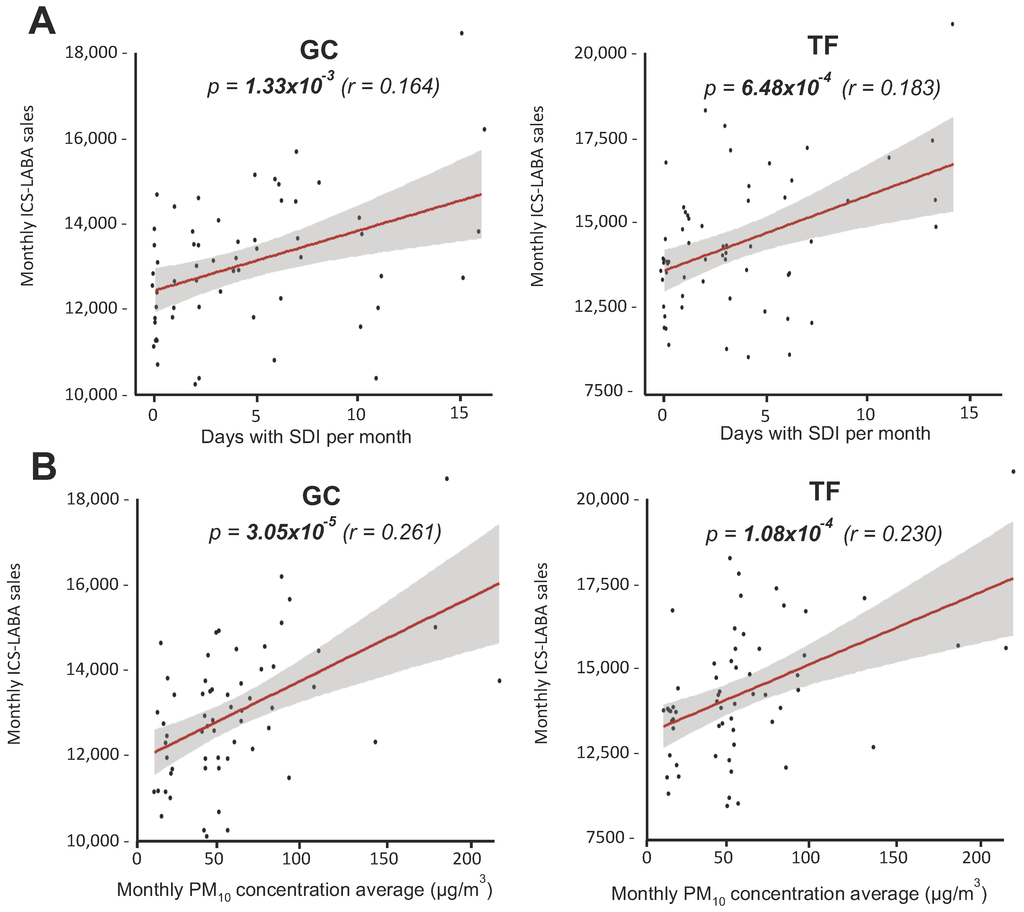
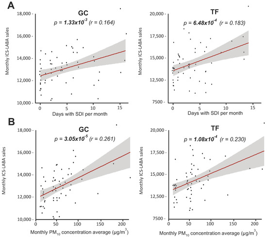
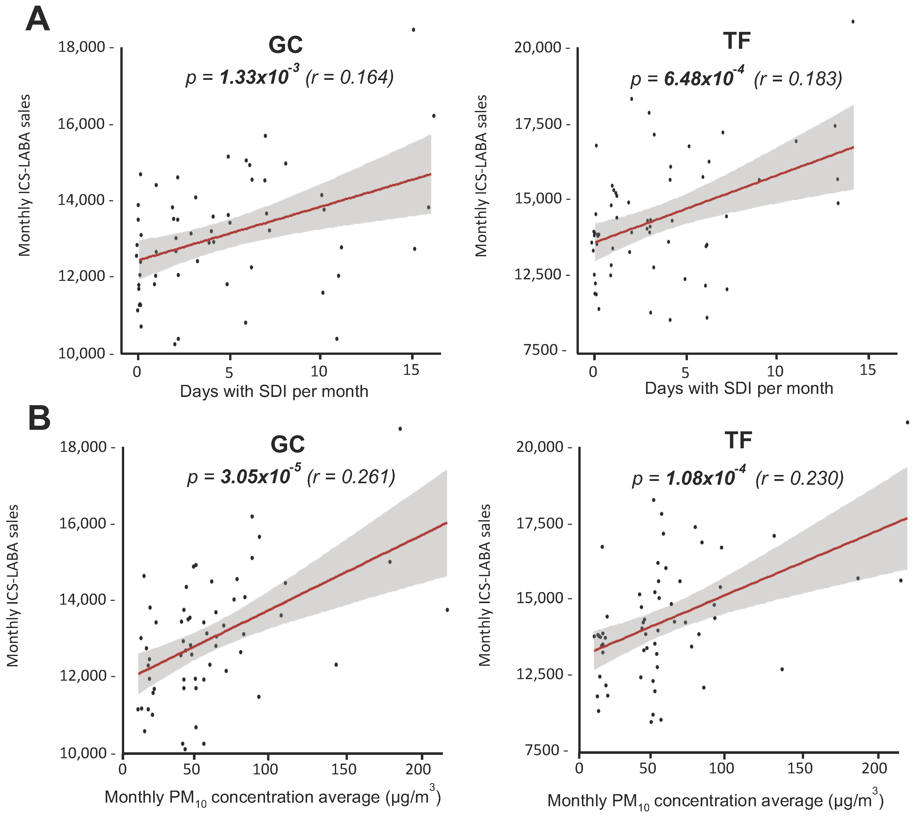
3.2. Effect of SDI Frequency and Intensity over SABA and ICS-LABA Sales
3.3. Effect of SDI Seasonality over SABA and ICS-LABA Sales
4. Discussion
5. Conclusions
Author Contributions
Funding
Institutional Review Board Statement
Informed Consent Statement
Data Availability Statement
Acknowledgments
Conflicts of Interest
Abbreviations
| SDIs | Saharan Dust Intrusions |
| COPD | Chronic Pulmonary Obstructive Disease |
| SABAs | Short-Acting Beta-Agonists |
| ICS-LABA | Inhaled Corticosteroid–Long-Acting Beta-Agonist |
References
- Wild, C.P. Complementing the genome with an “exposome”: The outstanding challenge of environmental exposure measurement in molecular epidemiology. Cancer Epidemiol. Biomark. Prev. 2005, 14, 1847–1850. [Google Scholar] [CrossRef]
- Wild, C.P. The exposome: From concept to utility. Int. J. Epidemiol. 2012, 41, 24–32. [Google Scholar] [CrossRef]
- Miller, G.W.; Jones, D.P. The nature of nurture: Refining the definition of the exposome. Toxicol. Sci. 2014, 137, 1–2. [Google Scholar] [CrossRef]
- Vermeulen, R.; Schymanski, E.L.; Barabási, A.L.; Miller, G.W. The exposome and health: Where chemistry meets biology. Science 2020, 367, 392–396. [Google Scholar] [CrossRef]
- Goudie, A.S. Desert dust and human health disorders. Environ. Int. 2014, 63, 101–113. [Google Scholar] [CrossRef] [PubMed]
- Middleton, N.J. Desert dust hazards: A global review. Aeolian Res. 2017, 24, 53–63. [Google Scholar] [CrossRef]
- Prospero, J.M.; Ginoux, P.; Torres, O.; Nicholson, S.E.; Gill, T.E. Environmental characterization of global sources of atmospheric soil dust identified with the Nimbus 7 Total Ozone Mapping Spectrometer (TOMS) absorbing aerosol product. Rev. Geophys. 2002, 40, 1002. [Google Scholar] [CrossRef]
- Querol, X.; Pey, J.; Pandolfi, M.; Alastuey, A.; Cusack, M.; Pérez, N.; Moreno, T.; Viana, M.; Mihalopoulos, N.; Kallos, G.; et al. African dust contributions to mean ambient PM10 mass-levels across the Mediterranean Basin. Atmos. Environ. 2009, 43, 4266–4277. [Google Scholar] [CrossRef]
- Díaz, J.; Linares, C.; Carmona, R.; Russo, A. Saharan dust intrusions in southern Europe: Impacts on health and associated prevention strategies. Environ. Int. 2021, 146, 106238. [Google Scholar]
- Perez, L.; Tobias, A.; Querol, X.; Künzli, N.; Pey, J.; Alastuey, A.; Viana, M.; Valero, N.; González-Cabré, M.; Sunyer, J. Coarse particles from Saharan dust and daily mortality. Epidemiology 2008, 19, 800–807. [Google Scholar] [CrossRef] [PubMed]
- Schraufnagel, D.E. The health effects of ultrafine particles. Exp. Mol. Med. 2020, 52, 311–317. [Google Scholar] [CrossRef] [PubMed]
- Kanatani, K.T.; Ito, I.; Al-Delaimy, W.K.; Adachi, Y.; Mathews, W.C.; Ramsdell, J.W. Asian Desert Dust and Asthma Study Team. Desert dust exposure is associated with increased risk of asthma hospitalization in children. Am. J. Respir. Crit. Care Med. 2010, 182, 1475–1481. [Google Scholar] [CrossRef]
- Mallone, S.; Stafoggia, M.; Faustini, A.; Gobbi, G.P.; Marconi, A.; Forastiere, F. Saharan dust and associations between particulate matter and daily mortality in Rome, Italy. Environ. Health Perspect. 2011, 119, 1409–1414. [Google Scholar] [CrossRef]
- Karanasiou, A.; Moreno, N.; Moreno, T.; Viana, M.; de Leeuw, F.; Querol, X. Health effects from Sahara dust episodes in Europe: Literature review and research gaps. Environ. Int. 2012, 47, 107–114. [Google Scholar] [CrossRef] [PubMed]
- Reid, C.E.; Brauer, M.; Johnston, F.H.; Jerrett, M.; Balmes, J.R.; Elliott, C.T. Critical Review of Health Impacts of Wildfire Smoke Exposure. Environ. Health Perspect. 2016, 124, 1334–1343. [Google Scholar] [CrossRef]
- Alman, B.L.; Pfister, G.; Hao, H.; Stowell, J.; Hu, X.; Liu, Y.; Strickland, M.J. The association of wildfire smoke with respiratory and cardiovascular emergency department visits in Colorado in 2012: A case crossover study. Environ. Health 2016, 15, 64. [Google Scholar] [CrossRef]
- Kellogg, C.A.; Griffin, D.W. Aerobiology and global dust transport. Trends Ecol. Evol. 2006, 21, 638–644. [Google Scholar] [CrossRef]
- Valavanidis, A.; Fiotakis, K.; Vlachogianni, T. Airborne particulate matter and human health: Toxicological assessment and importance of size and composition of particles for oxidative damage and carcinogenic mechanisms. J. Environ. Sci. Health C Environ. Carcinog. Ecotoxicol. Rev. 2008, 26, 339–362. [Google Scholar] [CrossRef]
- Tornevi, A.; Olstrup, H.; Forsberg, B. Increase in daily asthma medication sales in association with air pollution levels in Greater Stockholm. Environ. Epidemiol. 2023, 7, e256. [Google Scholar] [CrossRef] [PubMed]
- Tiotiu, A.I.; Novakova, P.; Nedeva, D.; Chong-Neto, H.J.; Novakova, S.; Steiropoulos, P.; Kowal, K. Impact of Air Pollution on Asthma Outcomes. Int. J. Environ. Res. Public Health 2020, 17, 6212. [Google Scholar] [CrossRef]
- Watanabe, M.; Yamasaki, A.; Burioka, N.; Kurai, J.; Yoneda, K.; Yoshida, A.; Igishi, T.; Fukuoka, Y.; Nakamoto, M.; Takeuchi, H.; et al. Correlation between Asian dust storms and worsening asthma in Western Japan. Allergol. Int. 2011, 60, 267–275. [Google Scholar] [CrossRef]
- Hutchinson, J.A.; Vargo, J.; Milet, M.; French, N.H.F.; Billmire, M.; Johnson, J.; Hoshiko, S. The San Diego 2007 wildfires and Medi-Cal emergency department presentations, inpatient hospitalizations, and outpatient visits: An observational study of smoke exposure periods and a bidirectional case-crossover analysis. PLoS Med. 2018, 15, e1002601. [Google Scholar] [CrossRef]
- Henderson, S.B.; Kosatsky, T. The public health impact of wildfire smoke exposure. Environ. Health Perspect. 2020, 128, 095001. [Google Scholar]
- Yang, C.Y.; Chiu, H.F. Dust storms and asthma visits in Taiwan. Inhal. Toxicol. 2009, 21, 567–572. [Google Scholar]
- Patel, M.; Pilcher, J.; Reddel, H.K.; Pritchard, A.; Corin, A.; Helm, C.; Tofield, C.; Shaw, D.; Black, P.; Weatherall, M.; et al. Metrics of salbutamol use as predictors of future adverse outcomes in asthma. Clin. Exp. Allergy 2013, 43, 1144–1151. [Google Scholar] [CrossRef] [PubMed]
- Raherison, C.; Girodet, P.O. Epidemiology of COPD. Eur. Respir. Rev. 2009, 18, 213–221. [Google Scholar] [CrossRef]
- Escuela-Escobar, A.; Perez-Garcia, J.; Martín-González, E.; González Martín, C.; Hernández-Pérez, J.M.; González Pérez, R. Impact of Saharan Dust and SERPINA1 Gene Variants on Bacterial/Fungal Balance in Asthma Patients. Int. J. Mol. Sci. 2025, 26, 2158. [Google Scholar] [CrossRef] [PubMed]
- Hernandez, Y.; Barbosa, P.; Corral, S.; Rivas, S. An institutional analysis to address climate change adaptation in Tenerife (Canary Islands). Environ. Sci. Policy 2018, 89, 184–191. [Google Scholar] [CrossRef] [PubMed] [PubMed Central]
- González-Pérez, R.; Poza-Guedes, P.; Pineda, F.; Galán, T.; Mederos-Luis, E.; Abel-Fernández, E.; Martínez, M.J.; Sánchez-Machín, I. Molecular Mapping of Allergen Exposome among Different Atopic Phenotypes. Int. J. Mol. Sci. 2023, 24, 10467. [Google Scholar] [CrossRef]
- Soriano, J.B.; Alfageme, I.; Miravitlles, M.; de Lucas, P.; Soler-Cataluña, J.J.; García-Río, F.; Casanova, C.; Rodríguez González-Moro, J.M.; Cosío, B.G.; Sánchez, G.; et al. Prevalence and Determinants of COPD in Spain: EPISCAN II. Arch. Bronconeumol. (Engl. Ed.) 2021, 57, 61–69. [Google Scholar] [CrossRef] [PubMed]
- González-Pérez, R.; Poza-Guedes, P.; Pineda, F.; Castillo, M.; Sánchez-Machín, I. Storage Mite Precision Allergy Molecular Diagnosis in the Moderate-to-Severe T2-High Asthma Phenotype. Int. J. Mol. Sci. 2022, 23, 4297. [Google Scholar] [CrossRef]
- Querol, X.; Tobías, A.; Pérez, N.; Karanasiou, A.; Amato, F.; Stafoggia, M.; García-Pando, C.P.; Ginoux, P.; Forastiere, F.; Gumy, S.; et al. Monitoring the impact of desert dust outbreaks for air quality for health studies. Environ. Int. 2019, 130, 104867. [Google Scholar] [CrossRef]
- Dominguez-Rodriguez, A.; Rodríguez, S.; Baez-Ferrer, N.; Abreu-Gonzalez, P.; Abreu-Gonzalez, J.; Avanzas, P.; Carnero, M.; Moris, C.; López-Darias, J.; Hernández-Vaquero, D. Impact of Saharan dust exposure on airway inflammation in patients with ischemic heart disease. Transl. Res. 2020, 224, 16–25. [Google Scholar] [CrossRef] [PubMed]
- Rodríguez, S.; López-Darias, J. Extreme Saharan dust events expand northward over the Atlantic and Europe, prompting record-breaking PM10 and PM2.5 episodes. Atmos. Chem. Phys. 2024, 24, 12031–12053. [Google Scholar] [CrossRef]
- Available online: https://www.aemet.es/documentos/es/conocermas/recursos_en_linea/publicaciones_y_estudios/publicaciones/GAW_Report_No_259/GAW_Report_No_259.pdf (accessed on 14 October 2025).
- Díaz, J.; Linares, C.; Carmona, R.; Russo, A.; Ortiz, C.; Salvador, P.; Trigo, R.M. Saharan dust intrusions in Spain: Health impacts and associated synoptic conditions. Environ. Res. 2017, 156, 455–467. [Google Scholar] [CrossRef] [PubMed]
- Querol, X.; Tobías, A.; Pérez, N.; Karanasiou, A.; Amato, F.; Stafoggia, M.; García-Pando, C.P.; Ginoux, P.; Forastiere, F.; Gumy, S.; et al. Monitoring the impact of desert dust outbreaks for air quality, population exposure and health: Review and guidelines. Atmosphere 2019, 10, 589. [Google Scholar]
- Available online: https://www3.gobiernodecanarias.org/sanidad/scs/RegistroCentros/index.xhtml (accessed on 11 October 2025).
- Available online: https://elglobalfarma.com/farmacia/farmacias-espana-reparto/#:~:text=Esta%20es%20una%20de%20las,8%25%20disponen%20de%203%20titulares (accessed on 12 October 2025).
- Available online: https://www3.gobiernodecanarias.org/medioambiente/calidaddelaire/inicio.do (accessed on 14 September 2025).
- Alonso-Pérez, S.; Cuevas, E.; Querol, X.; Guerra, J.C.; Pérez, C. African dust source regions for observed dust outbreaks over the Subtropical Eastern North Atlantic region, above 25°N. J. Arid. Environ. 2012, 78, 100–109. [Google Scholar] [CrossRef]
- Rodríguez, S.; Cuevas, E.; Prospero, J.M.; Alastuey, A.; Querol, X.; López-Solano, J.; García, M.I.; Alonso-Pérez, S. Modulation of Saharan dust export by the North African dipole. Atmos. Chem. Phys. 2015, 15, 7471–7486. [Google Scholar] [CrossRef]
- Tsamalis, C.; Chédin, A.; Pelon, J.; Capelle, V. The seasonal vertical distribution of the Saharan Air Layer and its modulation by the wind. Atmos. Chem. Phys. 2013, 13, 11235–11257. [Google Scholar] [CrossRef]
- O’Byrne, P.M.; FitzGerald, J.M.; Bateman, E.D.; Barnes, P.J.; Zhong, N.; Keen, C.; Jorup, C.; Lamarca, R.; Ivanov, S.; Reddel, H.K. Inhaled Combined Budesonide-Formoterol as Needed in Mild Asthma. N. Engl. J. Med. 2018, 378, 1865–1876. [Google Scholar] [CrossRef] [PubMed]
- Bateman, E.D.; Reddel, H.K.; O’bYrne, P.M.; Barnes, P.J.; Zhong, N.; Keen, C.; Jorup, C.; Lamarca, R.; Siwek-Posluszna, A.; FitzGerald, J.M. As-Needed Budesonide-Formoterol versus Maintenance Budesonide in Mild Asthma. N. Engl. J. Med. 2018, 378, 1877–1887. [Google Scholar] [CrossRef] [PubMed]
- Reddel, H.K.; Busse, W.W.; Pedersen, S.; Tan, W.C.; Chen, Y.-Z.; Jorup, C.; Lythgoe, D.; O’Byrne, P.M. Should recommendations about starting inhaled corticosteroid treatment for mild asthma be based on symptom frequency: A post-hoc efficacy analysis of the START study. Lancet 2017, 389, 157–166. [Google Scholar] [CrossRef] [PubMed]
- Kok, J.F.; Adebiyi, A.A.; Albani, S.; Balkanski, Y.; Checa-Garcia, R.; Chin, M.; Colarco, P.R.; Hamilton, D.S.; Huang, Y.; Ito, A.; et al. Contribution of the world’s main dust source regions to the global dust cycle. Atmos. Chem. Phys. 2021, 21, 8169–8193. [Google Scholar] [CrossRef]
- Kim, D.; Mahowald, N.; Albani, S.; Chuang, P.Y.; Perlwitz, J.P. Where dust comes from: Global assessment of dust source regions using a multi-model framework. J. Geophys. Res. Atmos. 2024, 129, e2023JD041377. [Google Scholar] [CrossRef]
- Bredeck, G.; Busch, M.; Rossi, A.; Stahlmecke, B.; Fomba, K.W.; Herrmann, H.; Schins, R.P. Inhalable Saharan dust induces oxidative stress, NLRP3 inflammasome activation, and inflammatory cytokine release. Environ. Int. 2023, 173, 107732. [Google Scholar] [CrossRef]
- Caceres, L.; Abogunloko, T.; Malchow, S.; Ehret, F.; Merz, J.; Li, X.; Mitre, L.S.; Magnani, N.; Tasat, D.; Mwinyella, T.; et al. Molecular mechanisms underlying NLRP3 inflammasome activation and IL-1β production in air pollution fine particulate matter (PM2.5)-primed macrophages. Environ. Pollut. 2024, 341, 122997. [Google Scholar] [CrossRef]
- Grytting, V.S.; Refsnes, M.; Øvrevik, J.; Halle, M.S.; Schönenberger, J.; van der Lelij, R.; Snilsberg, B.; Skuland, T.; Blom, R.; Låg, M. Respirable stone particles differ in their ability to induce cytotoxicity and pro-inflammatory responses in cell models of the human airways. Part. Fibre Toxicol. 2021, 18, 18. [Google Scholar] [CrossRef]
- Bredeck, G.; Dobner, J.; Stahlmecke, B.; Fomba, K.W.; Herrmann, H.; Rossi, A.; Schins, R.P.F. Saharan dust induces NLRP3-dependent inflammatory cytokines in an alveolar air-liquid interface co-culture model. Part. Fibre Toxicol. 2023, 20, 39. [Google Scholar] [CrossRef]
- Georgakopoulou, V.E.; Taskou, C.; Diamanti, A.; Beka, D.; Papalexis, P.; Trakas, N.; Spandidos, D.A. Saharan dust and respiratory health: Understanding the link between airborne particulate matter and chronic lung diseases (Review). Exp. Ther. Med. 2024, 28, 460. [Google Scholar] [CrossRef] [PubMed] [PubMed Central]
- Zhang, X.; Zhao, L.; Tong, D.Q.; Wu, G.; Dan, M.; Teng, B. A systematic review of global desert dust and associated health outcomes. Atmosphere 2016, 7, 158. [Google Scholar] [CrossRef]
- Tornevi, A.; Forsberg, B.; Axelsson, G.; Loibl, W.; Stockfelt, L.; Boström, S.N. Increase in daily asthma medication sales in association with ambient air pollutant levels in an urban population: A panel study. BMJ Open 2023, 13, e10403006. [Google Scholar]
- Yitshak-Sade, M.; Novack, V.; Katra, I.; Gorodischer, R.; Tal, A.; Novack, L. Non-anthropogenic dust exposure and asthma medication purchase in children. Eur. Respir. J. 2015, 45, 652–660. [Google Scholar] [CrossRef]
- Williams, A.M.; Phaneuf, D.J.; Barrett, M.A.; Su, J.G. Short-term impact of PM2.5 on contemporaneous asthma medication use: Behavior and the value of pollution reductions. Proc. Natl. Acad. Sci. USA 2019, 116, 5246–5253. [Google Scholar] [CrossRef]
- López-Villarrubia, E.; Costa Estirado, O.; Iñiguez Hernández, C.; Ballester Díez, F. Do Saharan Dust Days Carry a Risk of Hospitalization From Respiratory Diseases for Citizens of the Canary Islands (Spain)? Arch. Bronconeumol. 2021, 57, 464–470. [Google Scholar] [CrossRef]
- Beasley, R.; Kiriakou, C.; Bateman, E.D.; O’Byrne, P.M.; Reddel, H.K. The ICS/formoterol reliever therapy regimen in asthma. Eur. Respir. J. 2023, 61, 2202079. [Google Scholar] [CrossRef]
- Reddel, H.K.; Bateman, E.D.; Schatz, M.; Krishnan, J.A.; Cloutier, M.M. A practical guide to implementing SMART in asthma. J. Allergy Clin. Immunol. Pract. 2022, 10, 2568–2579.e3. [Google Scholar] [CrossRef]
- Bloom, C.I.; Cabrera, C.; Arnetorp, S.; Coulton, K.; Nan, C.; van der Valk, R.J.P.; Quint, J.K. Asthma-Related Health Outcomes Associated with Short-Acting β2-Agonist Inhaler Use: An Observational UK Study as Part of the SABINA Global Program. Adv. Ther. 2020, 37, 4190–4208. [Google Scholar] [CrossRef] [PubMed]
- Janson, C.; Menzies-Gow, A.; Nan, C.; Nuevo, J.; Papi, A.; Quint, J.K.; Quirce, S.; Vogelmeier, C.F. SABINA: An Overview of Short-Acting β2-Agonist Use in Asthma in European Countries. Adv. Ther. 2020, 37, 1124–1135. [Google Scholar] [CrossRef] [PubMed] [PubMed Central]
- Azzi, E.A.; Kritikos, V.; Peters, M.J.; Price, D.B.; Srour, P.; Cvetkovski, B.; Bosnic-Anticevich, S. Understanding reliever overuse in patients purchasing over-the-counter short-acting beta2 agonists: An Australian community pharmacy-based survey. BMJ Open 2019, 9, e028995. [Google Scholar] [CrossRef] [PubMed] [PubMed Central]
- Tanskanen, A.; Taipale, H.; Koponen, M.; Tolppanen, A.-M.; Hartikainen, S.; Ahonen, R.; Tiihonen, J. From prescription drug purchases to drug use periods—A second generation method (PRE2DUP). BMC Med. Inform. Decis. Mak. 2015, 15, 21. [Google Scholar] [CrossRef]
- Galozy, A.; Nowaczyk, S.; Sant’Anna, A.; Ohlsson, M.; Lingman, M. Pitfalls of medication adherence approximation through dispensing or prescription data: Implications for research and practice. Res. Social Adm. Pharm. 2020, 16, 986–990. [Google Scholar]
- Fussell, J.C.; Ramirez-Aguilar, M.; Schraufnagel, D.E. Mechanisms underlying the health effects of desert sand dust. Environ. Sci. Pollut. Res. Int. 2021, 28, 11105–11122. [Google Scholar] [CrossRef]
- Perez-Garcia, J.; González-Carracedo, M.; Espuela-Ortiz, A.; Hernández-Pérez, J.M.; González-Pérez, R.; Sardón-Prado, O.; Martin-Gonzalez, E.; Mederos-Luis, E.; Poza-Guedes, P.; Corcuera-Elosegui, P.; et al. The upper-airway microbiome as a biomarker of asthma exacerbations despite inhaled corticosteroid treatment. J. Allergy Clin. Immunol. 2023, 151, 706–715. [Google Scholar] [CrossRef]
- Tischer, C.; Zock, J.P.; Valkonen, M.; Doekes, G.; Guerra, S.; Heederik, D.; Jarvis, D.; Norbäck, D.; Olivieri, M.; Sunyer, J.; et al. Predictors of microbial agents in dust and respiratory health in the Ecrhs. BMC Pulm. Med. 2015, 15, 48. [Google Scholar] [CrossRef] [PubMed]
- Dominguez-Rodriguez, A.; Baez-Ferrer, N.; Rodríguez, S.; Avanzas, P.; Abreu-Gonzalez, P.; Terradellas, E.; Cuevas, E.; Basart, S.; Werner, E. Saharan Dust Events in the Dust Belt -Canary Islands- and the Observed Association with in-Hospital Mortality of Patients with Heart Failure. J. Clin. Med. 2020, 9, 376. [Google Scholar] [CrossRef] [PubMed] [PubMed Central]




| Variable a | n | Las Palmas de Gran Canaria (GC) | Santa Cruz de Tenerife (TF) |
|---|---|---|---|
| SABA (sales) | 60 | 19,197.5 (16,105.8–21,945.5) | 12,992.5 (11,176.3–15,276.5) |
| ICS-LABA (sales) | 60 | 12,781.0 (11,817.5–13,669.5) | 13,955.5 (13,253.8–15,484.3) |
| Season (Winter), n (%) | 60 | 30 (50.0) | 30 (50.0) |
| Presence of SDI, n (%) | 60 | 45 (75.0) | 44 (73.3) |
Disclaimer/Publisher’s Note: The statements, opinions and data contained in all publications are solely those of the individual author(s) and contributor(s) and not of MDPI and/or the editor(s). MDPI and/or the editor(s) disclaim responsibility for any injury to people or property resulting from any ideas, methods, instructions or products referred to in the content. |
© 2025 by the authors. Licensee MDPI, Basel, Switzerland. This article is an open access article distributed under the terms and conditions of the Creative Commons Attribution (CC BY) license (https://creativecommons.org/licenses/by/4.0/).
Share and Cite
González-Pérez, R.; Escuela-Escobar, A.; González-Carracedo, M.A.; Poza-Guedes, P. Influence of Saharan Dust Intrusions on Respiratory Medication Dispensing. Med. Sci. 2025, 13, 234. https://doi.org/10.3390/medsci13040234
González-Pérez R, Escuela-Escobar A, González-Carracedo MA, Poza-Guedes P. Influence of Saharan Dust Intrusions on Respiratory Medication Dispensing. Medical Sciences. 2025; 13(4):234. https://doi.org/10.3390/medsci13040234
Chicago/Turabian StyleGonzález-Pérez, Ruperto, Ainhoa Escuela-Escobar, Mario A. González-Carracedo, and Paloma Poza-Guedes. 2025. "Influence of Saharan Dust Intrusions on Respiratory Medication Dispensing" Medical Sciences 13, no. 4: 234. https://doi.org/10.3390/medsci13040234
APA StyleGonzález-Pérez, R., Escuela-Escobar, A., González-Carracedo, M. A., & Poza-Guedes, P. (2025). Influence of Saharan Dust Intrusions on Respiratory Medication Dispensing. Medical Sciences, 13(4), 234. https://doi.org/10.3390/medsci13040234

