Occurrence and Risk Factors Associated with Platynosomum illiciens Infection in Cats with Elevated Liver Enzymes
Abstract
Simple Summary
Abstract
1. Introduction
2. Materials and Methods
2.1. Ethical Approval
2.2. Study Area and Animal Selection
2.3. Data and Sample Collection
2.4. Parasitological Procedures and Identification
2.4.1. Fecal Analysis
2.4.2. Molecular Technique for Species Identification
2.5. Statistical Analysis
3. Results
3.1. Occurrence of Platynosomum spp. Infection
3.2. Platynosomum Species Confirmation and Genetic Characteristics of P. illiciens Based on ITS2 Region and cox1 Gene
3.3. Associations of Demographic Data, Clinical Signs, and Factors with Platynosomum Infection
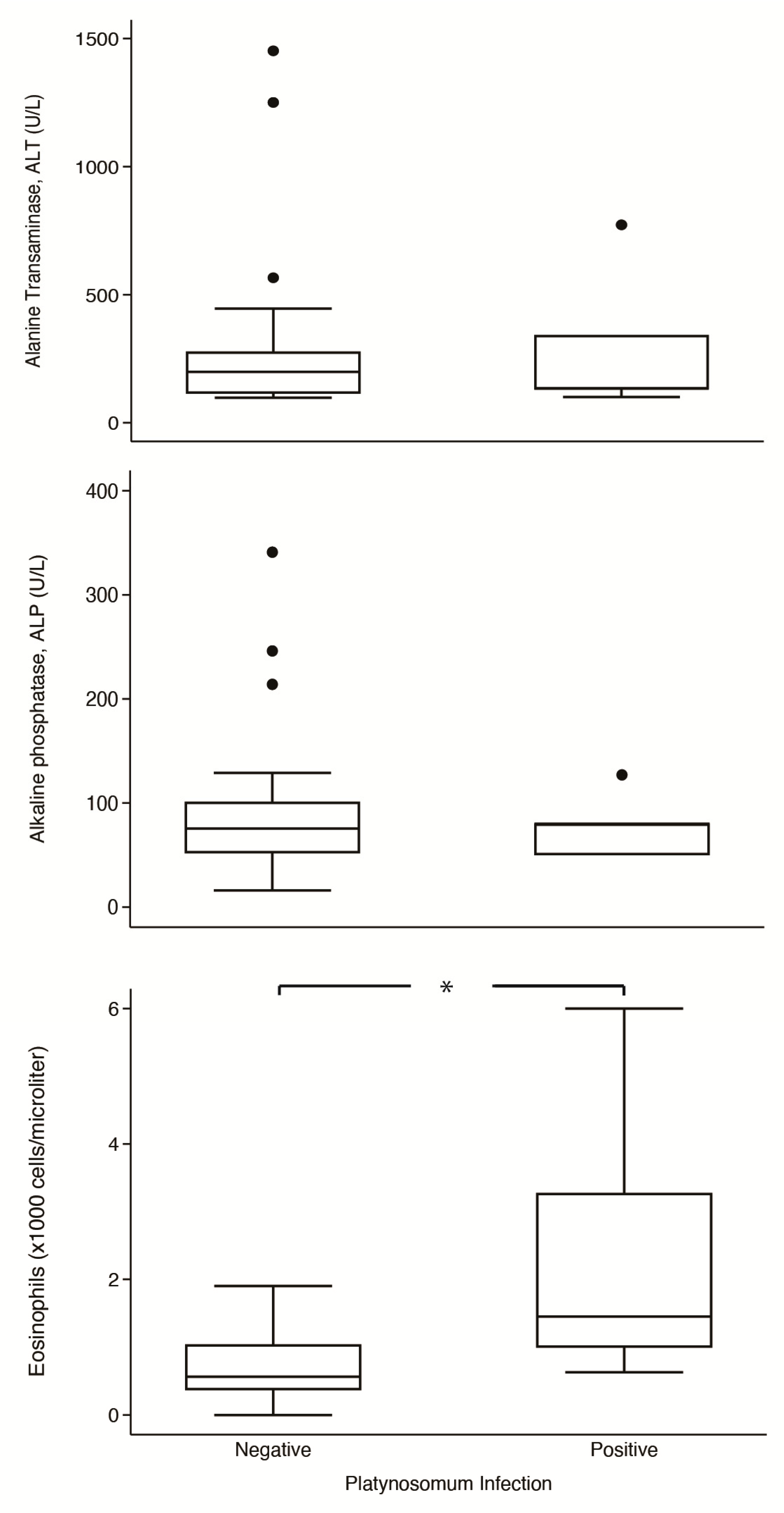
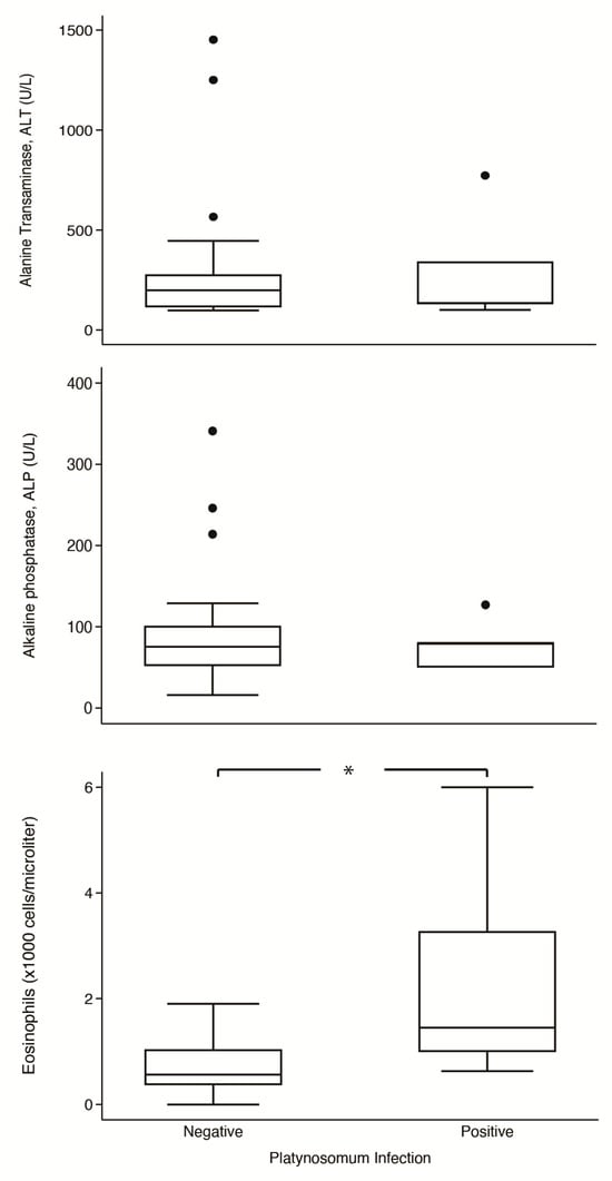
3.4. Comparisons of Blood Profiles between Cats with and without Platynosomum Infection
4. Discussion
5. Conclusions
Author Contributions
Funding
Institutional Review Board Statement
Informed Consent Statement
Data Availability Statement
Acknowledgments
Conflicts of Interest
References
- Ramos, R.A.; Lima, V.F.; Monteiro, M.F.; Santana, M.d.A.; Lepold, R.; Faustino, M.A.; Rinaldi, L.; Cringoli, G.; Alves, L.C. New insights into diagnosis of Platynosomum fastosum (Trematoda: Dicrocoeliidae) in cats. Parasitol. Res. 2016, 115, 479–482. [Google Scholar] [CrossRef] [PubMed]
- Basu, A.K.; Charles, R.A. A review of the cat liver fluke Platynosomum fastosum Kossack, 1910 (Trematoda: Dicrocoeliidae). Vet. Parasitol. 2014, 200, 1–7. [Google Scholar] [CrossRef] [PubMed]
- Mohd-Zain, S.N.; Sahimin, N.; Pal, P.; Lewis, J.W. Macroparasite communities in stray cat populations from urban cities in Peninsular Malaysia. Vet. Parasitol. 2013, 196, 469–477. [Google Scholar] [CrossRef] [PubMed]
- Ranaraja, D.; Mahakapuge, T.A.N.; Thilakarathne, D.S.; Dharmasuriya, J.Y.C.; Rajapakse, R. Hepatic trematode Platynosomum sp. (Dicrocoeliidae) from a domestic cat in Colombo, Sri Lanka: Case report and molecular identification. Vet. Parasitol. Reg. Stud. Rep. 2022, 34, 100762. [Google Scholar] [CrossRef] [PubMed]
- Le, H. New findings on the cat liver flukes in some southern provinces of Vietnam. J. Vet. Sci. Technol. 2012, 19, 14–18. [Google Scholar]
- Nguyen, H.M.; Van-Hoang, H.; Ho, L.T. Platynosomum fastosum (Trematoda: Dicrocoeliidae) from Cats in Vietnam: Morphological Redescription and Molecular Phylogenetics. Korean J. Parasitol. 2017, 55, 39–45. [Google Scholar] [CrossRef]
- Jittapalapong, S.; Inparnkaew, T.; Pinyopanuwat, N.; Kengradomkij, C.; Sangvaranond, A.; Wongnakphet, S. Gastrointestinal parasites of stray cats in Bangkok metropolitan areas, Thailand. Agr. Nat. Resour. 2007, 41, 69–73. [Google Scholar]
- Rojekittikhun, W.; Chaisiri, K.; Mahittikorn, A.; Pubampen, S.; Sa-Nguankiat, S.; Kusolsuk, T.; Maipanich, W.; Udonsom, R.; Mori, H. Gastrointestinal parasites of dogs and cats in a refuge in Nakhon Nayok, Thailand. Southeast Asian J. Trop. Med. Public Health 2014, 45, 31. [Google Scholar]
- Rojekittikhun, W.; Mahittikorn, A.; Prummongkol, S.; Puangsa-art, S.; Chaisiri, K.; Kusolsuk, T. Prevalence of gastrointestinal parasitic infections in refuge dogs and cats and evaluation of two conventional examination techniques. J. Trop. Med. Parasitol. 2013, 36, 58–67. [Google Scholar]
- Kim, J.M.; Che, J.H.; Jeong, D.H.; Kang, B.C. Platynosomum fastosum infestation in a domestic cat in Korea. Lab. Anim. Res. 2010, 26, 307–309. [Google Scholar] [CrossRef][Green Version]
- Carreira, V.S.; Vieira, R.F.; Machado, G.F.; Luvizotto, M.C. Feline cholangitis/cholangiohepatitis complex secondary to Platynosomum fastosum infection in a cat. Rev. Bras. Parasitol. Vet. 2008, 17, 184–187. [Google Scholar] [PubMed]
- Andréia, F.C.; Gabriel, M.L.; Luciana, S.S.; Annelise, C.C.; Luis, D.G.; Paola, M.C. Resolution of a biliary obstruction caused by Platynosomum fastosum in a feline by a modified cholecystoduodenostomy approach–case report. Acta Vet. 2018, 68, 224–231. [Google Scholar] [CrossRef]
- Ramos, D.G.S.; Santos, A.R.; Freitas, L.C.; Braga, I.A.; Silva, E.P.; Soares, L.M.C.; Antoniassi, N.A.B.; Furlan, F.H.; Pacheco, R.C. Feline platynosomiasis: Analysis of the association of infection levels with pathological and biochemical findings. Rev. Bras. Parasitol. Vet. 2017, 26, 54–59. [Google Scholar] [CrossRef] [PubMed]
- Salomão, M.; Souza-Dantas, L.M.; Mendes-de-Almeida, F.; Branco, A.S.; Bastos, O.P.; Sterman, F.; Labarthe, N. Ultrasonography in hepatobiliary evaluation of domestic cats (Felis catus, L., 1758) infected by Platynosomum Looss, 1907. Intern. J. Appl. Res. Vet. Med. 2005, 3, 271–279. [Google Scholar]
- Lima, R.L.; Pacheco, R.C.; Mendonça, A.J.; Néspoli, P.E.B.; Morita, L.H.M.; Almeida, A.; Sousa, V.R.F. Platynosomum fastosum in domestic cats in Cuiabá, Midwest region of Brazil. Vet. Parasitol. Reg. Stud. Reports. Vet. 2021, 24, 100582. [Google Scholar] [CrossRef] [PubMed]
- Eisenbraun, H.; Alluwie, A.; Connolly, S.; Nair, R.; Verocai, G.G.; Ketzis, J.K. Comparison of fecal analysis methods for the detection of Platynosomum fastosum in naturally infected cats. J. Feline Med. Surg. 2020, 22, 395–398. [Google Scholar] [CrossRef] [PubMed]
- Rocha, N.O.; Portela, R.W.; Camargo, S.S.; Souza, W.R.; Carvalho, G.C.; Bahiense, T.C. Comparison of two coproparasitological techniques for the detection of Platynosomum sp. infection in cats. Vet. Parasitol. 2014, 204, 392–395. [Google Scholar] [CrossRef] [PubMed]
- Pinto, H.A.; Pulido-Murillo, E.A.; Braga, R.R.; Mati, V.L.T.; Melo, A.L.; Tkach, V.V. DNA sequences confirm low specificity to definitive host and wide distribution of the cat pathogen Platynosomum illiciens (=P. fastosum) (Trematoda: Dicrocoeliidae). Parasitol. Res. 2018, 117, 1975–1978. [Google Scholar] [CrossRef]
- Rodriguez-Vivas, R.I.; Williams, J.J.; Quijano-Novelo, A.G.; Bolio, G.M.; Torres-Acosta, J.F. Prevalence, abundance and risk factors of liver fluke (Platynosomum concinnum) infection in cats in Mexico. Vet. Rec. 2004, 154, 693–694. [Google Scholar] [CrossRef]
- Merck, Merck Manual: Veterinary Manual. 2019. Available online: https://www.merckvetmanual.com/special-subjects/reference-guides (accessed on 12 August 2023).
- Dean, A. OpenEpi: Open Source Epidemiologic Statistics for Public Health, version 2.3.1. 2010. Available online: http://www.openepi.com (accessed on 27 September 2023).
- Leung, T.L.F.; Donald, K.M.; Keeney, D.B.; Koehler, A.V.; Peoples, R.C.; Poulin, R. Trematode parasites of Otago Harbour (New Zealand) soft-sediment intertidal ecosystems: Life cycles, ecological roles and DNA barcodes. New Zealand J. Mar. Freshw. Res. 2009, 43, 857–865. [Google Scholar] [CrossRef]
- Hall, T.A. BioEdit: A user-friendly biological sequence alignment editor and analysis program for Windows 95/98/NT. Nucleic Acids Symp. Ser. 1996, 41, 95–98. [Google Scholar]
- Kumar, S.; Stecher, G.; Li, M.; Knyaz, C.; Tamura, K. MEGA X: Molecular evolutionary genetics analysis across computing platforms. Mol. Biol. Evol. 2018, 35, 1547–1549. [Google Scholar] [CrossRef]
- Citterio, C.V.; Obber, F.; Trevisiol, K.; Dellamaria, D.; Celva, R.; Bregoli, M.; Ormelli, S.; Sgubin, S.; Bonato, P.; Rold, G.D.; et al. Echinococcus multilocularis and other cestodes in red foxes (Vulpes vulpes) of northeast Italy, 2012–2018. Parasit. Vectors 2021, 14, 29. [Google Scholar] [CrossRef] [PubMed]
- Inoue, K.; Shishida, K.; Kawarai, S.; Takeda, S.; Minami, M.; Taira, K. Helminthes detected from wild sika deer (Cervus nippon centralis) in Kanto-Chubu region, Japan. Parasitol. Intern. 2022, 87, 102485. [Google Scholar] [CrossRef] [PubMed]
- Tamura, K.; Nei, M. Estimation of the number of nucleotide substitutions in the control region of mitochondrial DNA in humans and chimpanzees. Mol. Biol. Evol. 1993, 10, 512–526. [Google Scholar]
- Braga, R.R.; Teixeira, A.C.; Oliveira, J.A.; Cavalcanti, L.P. Prevalence of Platynosomum fastosum infection in free roaming cats in northeastern Brazil: Fluke burden and grading of lesions. Vet. Parasitol. 2016, 227, 20–25. [Google Scholar] [CrossRef] [PubMed]
- Silva, W.I.; Feitosa, T.F.; Vilela, V.L.R. A systematic review and meta-analysis on the global status of Platynosomum sp. (Trematoda–Dicrocoelidae) infecting domestic cats (Felis catus). Vet. Parasitol. 2023, 322, 110031. [Google Scholar] [CrossRef] [PubMed]
- Sobral, M.C.G.; Sousa, S.A.P.; Ribeiro, T.M.P.; Galvão, S.R.; Santos, R.M.; Silva, R.A.; Reis, T.S.; Dias, F.E.F.; Santos, H.D. Infection by Platynosomum illiciens (=P. fastosum) in domestic cats of Araguaína, Tocantins, northern Brazil. Rev. Bras. Parasitol. Vet. 2019, 28, 786–789. [Google Scholar] [CrossRef] [PubMed]
- Nur-Amalina, N.; Watanabe, M.; Mazlina, M.; Che-Amat, A.; Nor-Azlina, A.A. Feline platynosomiasis in Klang Valley, Malaysia: Diagnosis, pathology and management. Trop. Biomed. 2022, 39, 26–35. [Google Scholar]
- Soe, B.K.; Ngamniyom, A.; Adisakwattana, P.; Techangamsuwan, S.; Anuracpreeda, P.; Bowman, D.; Sukhumavasi, W. Morphology and Ultrastructural Characteristics of Platynosomum fastosum Kossack, 1910 Adults and Eggs. Inter. J. Vet. Sci. 2023, 12, 504–521. [Google Scholar]
- Ferreira, A.M.R.; Almeida, E.C.P.; Labarthe, N.V. Liver fluke infection (Platynosomum concinnum) in Brazilian cats: Prevalence and pathology. Feline Pract. 1999, 27, 19–21. [Google Scholar]
- Pinto, H.A.; Mati, V.L.; Melo, A.L. Experimental platynosomosis: Characterization of parasite development in the mouse model. Vet. Parasitol. 2015, 211, 40–44. [Google Scholar] [CrossRef] [PubMed]
- Lathroum, C.N.; Shell, L.; Neuville, K.; Ketzis, J.K. Efficacy of Praziquantel in the Treatment of Platynosomum fastosum in Cats with Natural Infections. Vet. Sci. 2018, 5, 35. [Google Scholar] [CrossRef] [PubMed]
- Shell, L.; Ketzis, J.; Hall, R.; Rawlins, G.P.W. Praziquantel treatment for Platynosomum species infection of a domestic cat on St Kitts, West Indies. J. Feline Med. Surg. Open Rep. 2015, 1, 2055116915589834. [Google Scholar] [CrossRef]
- Daniel, A.G.; Diaz, R.F.; Camignatto, L.O.; Kage, N.K.; Pellegrino, A.; Cogliati, B. Polycystic liver disease associated with Platynosomum fastosum infection in a cat. Braz. J. Vet. Pathol. 2012, 5, 137–141. [Google Scholar]
- Haney, D.R.; Christiansen, J.S.; Toll, J. Severe cholestatic liver disease secondary to liver fluke (Platynosomum concinnum) infection in three cats. J. Am. Anim. Hosp. Assoc. 2006, 42, 234–237. [Google Scholar] [CrossRef]
- Xavier, F.G.; Morato, G.S.; Righi, D.A.; Maiorka, P.C.; Spinosa, H.S. Cystic liver disease related to high Platynosomum fastosum infection in a domestic cat. J. Feline Med. Sur. 2007, 9, 51–55. [Google Scholar] [CrossRef] [PubMed]
- Newell, S.M.; Graham, J.P.; Roberts, G.D.; Ginn, P.E.; Greiner, E.C.; Cardwell, A.; Mauragis, D.; Knutsen, C.; Harrison, J.M.; Martin, F.G. Quantitative hepatobiliary scintigraphy in normal cats and in cats with experimental cholangiohepatitis. Vet. Radiol. Ultrasound. 2001, 42, 70–76. [Google Scholar] [CrossRef] [PubMed]
- Taylor, D.; Perri, S. Experimental infection of cats with the liver fluke Platynosomum concinnum. Am. J. Vet. Res. 1977, 38, 51–54. [Google Scholar]
- Foster, N.; Elsheikha, H.M. The immune response to parasitic helminths of veterinary importance and its potential manipulation for future vaccine control strategies. Parasitol. Res. 2012, 110, 1587–1599. [Google Scholar] [CrossRef]




| Demographic Data | Number (%) |
|---|---|
| Age | |
| Kitten (<1 year) | 7 (16.28) |
| Juvenile (1–7 years) | 31 (72.10) |
| Adult (7–14 years) | 4 (9.30) |
| Geriatric (>14 years) | 1 (2.33) |
| Sex | |
| Female | 28 (65.12) |
| Neutered | 19 (67.86) |
| Unneutered | 9 (32.14) |
| Male | 15 (34.88) |
| Neutered | 6 (40.00) |
| Unneutered | 9 (60.00) |
| Breed | |
| Domestic short-haired | 32 (74.42) |
| Siamese | 1 (2.32) |
| Persian | 7 (16.28) |
| Scottish fold | 2 (4.65) |
| British shorthair | 1 (2.32) |
| Helminthic Infections | No. Positive (% Positive) |
|---|---|
| Overall helminthic infections | 14 (32.56) |
| Platynosomum spp. | 5 (11.63) |
| Ancylostoma spp. | 3 (6.98) |
| Toxocara spp. | 8 (18.60) |
| Toxascaris spp. | 2 (4.65) |
| Spirometra spp. | 1 (2.33) |
| Single helminthic infection | 10 (23.26) |
| Platynosomum spp. | 2 (4.65) |
| Ancylostoma spp. | 2 (4.65) |
| Toxocara spp. | 5 (11.63) |
| Spirometra spp. | 1 (2.33) |
| Dual helminthic infections | 3 (6.98) |
| Platynosomum spp. + Toxocara spp. | 1 (2.33) |
| Platynosomum spp. + Ancylostoma spp. | 1 (2.33) |
| Toxocara spp. + Toxascaris spp. | 1 (2.33) |
| Triple helminthic infections | 1 (2.33) |
| Platynosomum spp. + Toxocara spp. + Toxascaris spp. | 1 (2.33) |
| Variable | Platynosomum-Positive Number (%) | Odds Ratio | 95% CI | p Value |
|---|---|---|---|---|
| Sex | 0.643 | |||
| Male | 1/15 (6.70) | Reference | ||
| Female | 4/28 (14.3) | 2.33 | 0.24–23.00 | 0.468 |
| Neuter status | 0.717 | |||
| Female—intact | 1/9 (11.10) | Reference | ||
| Female—spayed | 3/19 (15.80) | 1.48 | 0.10–88.45 | ≅1.000 |
| Male—intact | 0/9 (0.00) | 1.00 | 0–39.00 | ≅1.000 |
| Male—castrated | 1/6 (16.70) | 1.55 | 0.02–141.06 | ≅1.000 |
| Age | 0.771 | |||
| Kitten (<1 year) | 0/7 (0.00) | Reference | ||
| Juvenile (1–7 years) | 5/31 (16.1) | 1.67 | 0.20-inf. | 0.677 |
| Adult (7–14 years) | 0/4 (0.00) | 1.00 | 0.00-inf. | |
| Geriatric (>14 years) | 0/1 (0.00) | 1.00 | 0.00-inf. | |
| Breed | 0.738 | |||
| Persian | 0/7 (0.00) | Reference | ||
| Domestic short-haired | 5/32 (15.60) | 1.61 | 0.19-inf. | 0.700 |
| Siamese | 0/1 (0.00) | 1.00 | 0.00-inf. | |
| Scottish fold | 0/1 (0.00) | 1.00 | 0.00-inf. | |
| British shorthair | 0/2 (0.00) | 1.00 | 0.00-inf. | |
| Cat’s housing | 0.589 | |||
| Indoor | 3/32 (9.40) | Reference | ||
| Outdoor | 2/11 (18.20) | 2.11 | 0.15–21.62 | 0.760 |
| Predatory behavior | 0.145 | |||
| Yes | 5/28 (17.9) | 4.09 | 0.15-inf. | 0.204 |
| No | 0/15 (0.00) | Reference | ||
| Deworming program | 0.003 | |||
| Regular | 0/28 (0.00) | Reference | ||
| Irregular | 2/8 (25.00) | 9.43 | 0.70-inf. | 0.089 |
| No deworming | 3/7 (42.90) | 20.68 | 2.00-inf. | 0.011 |
| Deworming time | 0.003 | |||
| 2–6 months | 0/24 (0.00) | Reference | ||
| 6–12 months | 1/10 (10.00) | 2.40 | 0.06-inf. | 0.588 |
| >12 months | 1/2 (50.00) | 12.00 | 0.31-inf. | 0.154 |
| No deworming | 3/7 (42.90) | 17.70 | 1.71-inf. | 0.016 |
| Clinical signs | ≅1.000 | |||
| No | 3/25 (12.00) | Reference | ||
| Yes | 2/18 (11.11) | 0.92 | 0.07–9.02 | ≅1.000 |
| Anorexia | 0.575 | |||
| No | 3/33 (9.09) | Reference | ||
| Yes | 2/10 (20.00) | 2.44 | 0.18–25.41 | 0.657 |
| Vomiting | ≅1.000 | |||
| No | 5/37 (11.63) | Reference | ||
| Yes | 0/6 (0.00) | 0.86 | 0–7.49 | 0.906 |
| Jaundice | 0.060 | |||
| No | 3/39 (7.69) | Reference | ||
| Yes | 2/4 (50.00) | 10.72 | 0.59–202.65 | 0.120 |
| Weakness | 0.116 | |||
| No | 4/42 (9.52) | Reference | ||
| Yes | 1/1 (100.00) | 7.60 | 0.19-Inf | 0.233 |
| Factor | Odds Ratio | 95%CI | p Value |
|---|---|---|---|
| Irregular deworming | 5.10 | 0.30-Inf | 0.259 |
| No deworming | 15.95 | 1.40-Inf | 0.022 |
| Jaundice | 6.13 | 0.23–522.33 | 0.439 |
Disclaimer/Publisher’s Note: The statements, opinions and data contained in all publications are solely those of the individual author(s) and contributor(s) and not of MDPI and/or the editor(s). MDPI and/or the editor(s) disclaim responsibility for any injury to people or property resulting from any ideas, methods, instructions or products referred to in the content. |
© 2024 by the authors. Licensee MDPI, Basel, Switzerland. This article is an open access article distributed under the terms and conditions of the Creative Commons Attribution (CC BY) license (https://creativecommons.org/licenses/by/4.0/).
Share and Cite
Chantawong, P.; Potiwong, J.; Choochote, N.; Piyarungsri, K.; Kunkaew, C.; Tangtrongsup, S.; Tiwananthagorn, S. Occurrence and Risk Factors Associated with Platynosomum illiciens Infection in Cats with Elevated Liver Enzymes. Animals 2024, 14, 1065. https://doi.org/10.3390/ani14071065
Chantawong P, Potiwong J, Choochote N, Piyarungsri K, Kunkaew C, Tangtrongsup S, Tiwananthagorn S. Occurrence and Risk Factors Associated with Platynosomum illiciens Infection in Cats with Elevated Liver Enzymes. Animals. 2024; 14(7):1065. https://doi.org/10.3390/ani14071065
Chicago/Turabian StyleChantawong, Pinkarn, Jiraporn Potiwong, Natchanon Choochote, Kakanang Piyarungsri, Chakorn Kunkaew, Sahatchai Tangtrongsup, and Saruda Tiwananthagorn. 2024. "Occurrence and Risk Factors Associated with Platynosomum illiciens Infection in Cats with Elevated Liver Enzymes" Animals 14, no. 7: 1065. https://doi.org/10.3390/ani14071065
APA StyleChantawong, P., Potiwong, J., Choochote, N., Piyarungsri, K., Kunkaew, C., Tangtrongsup, S., & Tiwananthagorn, S. (2024). Occurrence and Risk Factors Associated with Platynosomum illiciens Infection in Cats with Elevated Liver Enzymes. Animals, 14(7), 1065. https://doi.org/10.3390/ani14071065

