Predicting Enteric Methane Emissions from Dairy and Beef Cattle Using Nutrient Composition and Intake Variables
Simple Summary
Abstract
1. Introduction
2. Materials and Methods
2.1. Construction of Database
2.2. Statistical Models
2.2.1. Linear Model
2.2.2. Nonlinear Models
2.2.3. Model Evaluation
3. Results
3.1. Description of Dataset
3.2. Correlation Between Methane Production and Animals and Diets
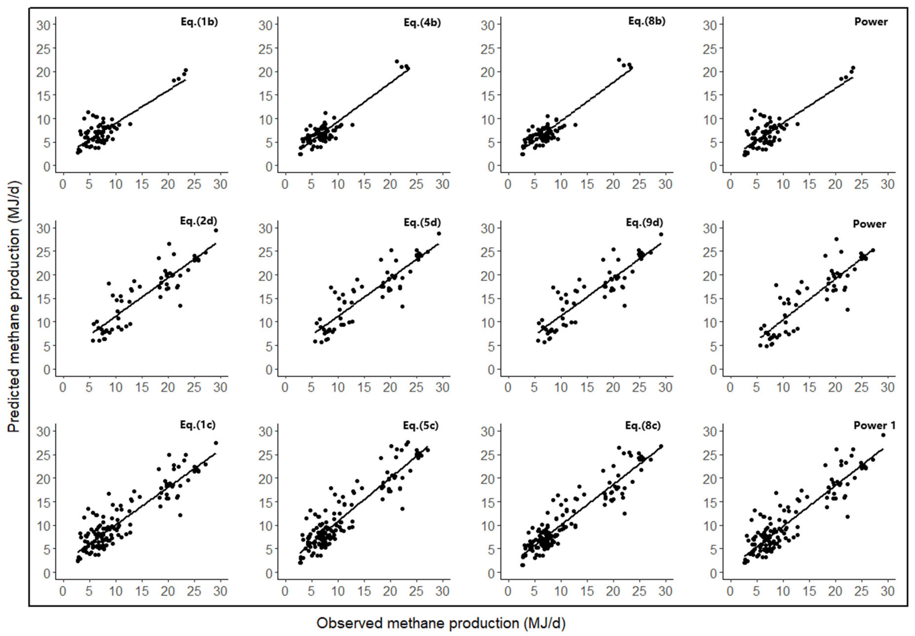
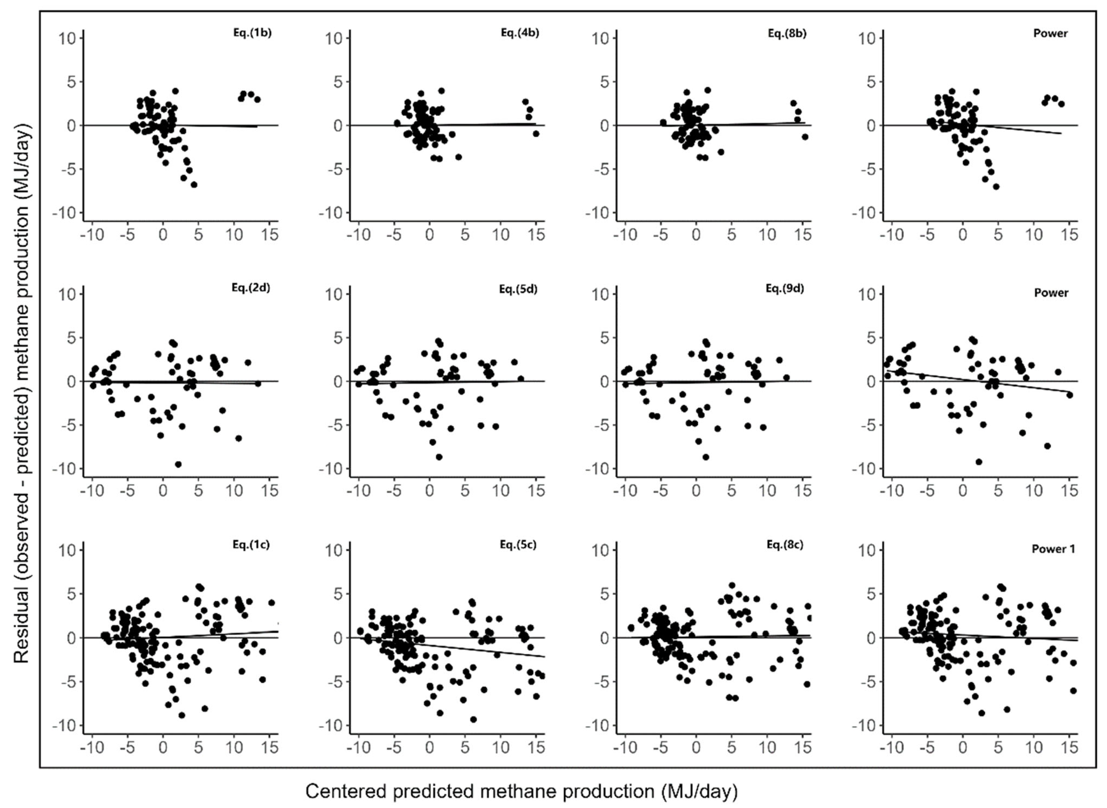
3.3. Prediction Equations for Methane Production
| Variable | r | p-Value | R2 | r | p-Value | R2 |
|---|---|---|---|---|---|---|
| Beef | ||||||
| Body weight (kg) | 0.46 | <0.001 | 0.21 | |||
| DM intake, kg/d | 0.83 | <0.001 | 0.68 | |||
| GE intake, MJ/d | 0.79 | <0.001 | 0.62 | |||
| ME intake, MJ/d | 0.8 | <0.001 | 0.63 | |||
| Intake (kg/day) | Nutrient concentration (g/kg DM) | |||||
| Crude protein | 0.62 | <0.001 | 0.39 | 0.02 | 0.821 | 0.04 |
| Ether extract | 0.3 | 0.006 | 0.29 | −0.1 | 0.363 | 0.01 |
| Neutral detergent fiber | 0.86 | <0.001 | 0.75 | 0.11 | 0.329 | 0.11 |
| Acid detergent fiber | 0.21 | 0.06 | 0.44 | −0.09 | 0.404 | 0.07 |
| Non-fibrous carbohydrate | 0.53 | <0.001 | 0.28 | −0.1 | 0.375 | 0.016 |
| Dairy | ||||||
| Body weight (kg) | 0.77 | <0.001 | 0.56 | |||
| DM intake, kg/d | 0.9 | <0.001 | 0.81 | |||
| GE intake, MJ/d | 0.75 | <0.001 | 0.6 | |||
| ME intake, MJ/d | 0.89 | <0.001 | 0.8 | |||
| Intake (kg/day) | Nutrient concentration (g/kg DM) | |||||
| Crude protein | 0.86 | <0.001 | 0.74 | 0.4 | 0.001 | 0.16 |
| Ether extract | 0.63 | <0.001 | 0.4 | −0.06 | 0.63 | 0.07 |
| Neutral detergent fiber | 0.86 | <0.001 | 0.73 | −0.38 | 0.002 | 0.14 |
| Acid detergent fiber | 0.59 | 0.004 | 0.34 | −0.32 | 0.01 | 0.1 |
| Non-fibrous carbohydrate | 0.76 | <0.001 | 0.57 | 0.11 | 0.403 | 0.09 |
| Combined | ||||||
| Body weight (kg) | 0.7 | <0.001 | 0.49 | |||
| DM intake, kg/d | 0.91 | <0.001 | 0.83 | |||
| GE intake, MJ/d | 0.74 | <0.001 | 0.55 | |||
| ME intake, MJ/d | 0.87 | <0.001 | 0.81 | |||
| Intake(kg/day) | Nutrient concentration (g/kg DM) | |||||
| Crude protein | 0.84 | <0.001 | 0.7 | 0.19 | 0.019 | 0.04 |
| Ether extract | 0.39 | 0.09 | 0.35 | −0.21 | 0.009 | 0.05 |
| Neutral detergent fiber | 0.9 | <0.001 | 0.8 | 0.03 | 0.713 | 0.194 |
| Acid detergent fiber | 0.53 | <0.001 | 0.48 | −0.23 | 0.004 | 0.05 |
| Non-fibrous carbohydrate | 0.73 | <0.001 | 0.53 | −0.09 | 0.02 | 0.3 |
3.4. Comparison of Models
| Database | Equation No. | Equation: Methane (MJ/day) |
|---|---|---|
| Beef | Equation (1b) | = 0.9188 (± 0.5849) + 0.8196 (± 0.069) × DMI (kg/day); RMSE = 2.13,R2 = 0.83 |
| Equation (2b) | = 2.4904 (± 0.5029) + 0.0657 (± 0.0059) × MEI (MJ/day); RMSE = 2.24, R2 = 0.76 | |
| Equation (3b) | = 2.5492 (± 0.4222) + 1.8401 (± 0.1384) × NDFI (kg/day); RMSE = 1.96, R2 = 0.73 | |
| Equation (4b) | = 0.9462 (± 0.4351) + 0.4368 (± 0.0739) × DMI (kg/day) + 1.1567 (± 0.1606) × NDFI (kg/day); RMSE = 1.57, R2 = 0.83 | |
| Equation (5b) | = 0.019 (± 0.971) + 0.8058 (± 0.0698) × DMI (kg/day) + 0.649 (± 0.5599) × ADFI (kg/day); RMSE = 2.11, R2 = 0.7 | |
| Equation (6b) | = −0.8848 (± 0.9411) + 0.0669 (± 0.0053) × MEI + 2.1255 (± 0.5205) × ADFI (kg/day); RMSE = 1.98, R2 = 0.73 | |
| Equation (7b) | = 1.6836 (± 0.3698) + 0.0342 (± 0.0058) × MEI + 1.2202 (± 0.1526) × NDFI (kg/day); RMSE = 1.57, R2 = 0.83 | |
| Equation (8b) | = 1.6063 (± 0.757) + 0.4256 (± 0.0745) × DMI (kg/day) + 1.2213 (± 0.1715) × NDFI (kg/day) + −0.475 (± 0.446) × ADFI (kg/day); RMSE = 1.55, R2 = 0.83 | |
| Exponential 1 | = −1.264 (± 0.1663) × exp{0.3094 (± 0.0243)} × DMI (kg/day); RMSE = 1.21, R2 = 0.73 | |
| Exponential 2 | = −3.002 (± 0.8369) × exp{0.0172 (± 0.0076)} × MEI (MJ/day); RMSE = 2.33, R2 = 0.70 | |
| Power | = 1.039 (± 0.1526) × DMI (kg/day) ^ 0.9474 (± 0.0601); RMSE = 2.28, R2 = 0.67 | |
| Dairy | Equation (1d) | = −6.9931 (± 3.2072) + 0.0448 (± 0.0059) × BW (kg); RMSE = 4.58, R2 = 0.55 |
| Equation (2d) | = 0.7567 (± 1.1008) + 1.0917 (± 0.0703) × DMI (kg/day); RMSE = 2.73, R2 = 0.84 | |
| Equation (3d) | = 5.5616 (± 1.5382) + 0.0789 (± 0.0099) × MEI(MJ/day); RMSE = 4.43, R2 = 0.79 | |
| Equation (4d) | = 1.6799 (± 1.3882) + 2.7698 (± 0.2388) × NDFI (kg/day); RMSE = 3.45, R2 = 0.74 | |
| Equation (5d) | = 0.3989 (± 1.1073) + 0.8685 (± 0.1585) × DMI (kg/day) + 0.6675 (± 0.4264) × NDFI (kg/day); RMSE = 2.66, R2 = 0.85 | |
| Equation (6d) | = 0.8642 (± 1.2845) + 1.1024 (± 0.0953) × DMI (kg/day) + −0.1051 (± 0.6271) × ADFI (kg/day); RMSE = 2.73, R2 = 0.84 | |
| Equation (7d) | = 2.9962 (± 1.9512) + 0.0646 (± 0.0119) × MEI (MJ/day) + 1.8279 (± 0.8999) × ADFI (kg/day); RMSE = 4.24, R2 = 0.62 | |
| Equation (8d) | = 1.7105 (± 1.4001) + 0.0084 (± 0.0152) × MEI (MJ/day) + 2.5447 (± 0.4704) × NDFI (kg/day); RMSE = 3.43, R2 = 0.75 | |
| Equation (9d) | = 0.5246 (± 1.2833) + 0.8805 (± 0.171) × DMI (kg/day) + 0.6691 (± 0.4312) × NDFI (kg/day) + −0.1237 (± 0.6174) × ADFI; RMSE = 2.65, R2 = 0.88 | |
| Equation (10d) | = −3.0617 (± 2.218) + 0.0147 (± 0.0144) × MEI (MJ/day) + 2.4028 (± 0.444) × NDFI (kg/day) + 0.007 (± 0.0026) × rf; RMSE = 3.18, R2 = 0.78 | |
| Gompertz | = 1.396 (± 2.41) × exp([1 − exp{−0.1002 (± 0.0292)} × DMI (kg/day)] × ln{39.31 (± 5.48) + 2 × 1.396 (± 2.41)/1.396 (± 2.41)}) – 2 × 1.396 (± 2.41); RMSE = 3.34, R2 = 0.8 | |
| Exponential 1 | = –4.076 (± 0.3476) × exp{0.0765 (± 0.0071)} × DMI (kg/day); RMSE = 1.27, R2 = 0.86 | |
| Exponential 2 | = −4.84 (± 0.3918) × exp{0.0055(± 6 × 10−4)} × MEI (MJ/day); RMSE = 1.5, R2 = 0.69 | |
| Power | = 0.887 (± 0.177) × DMI (kg/day) ^ 1.085 (± 0.0694); RMSE = 2.62, R2 = 0.88 | |
| Combined | Equation (1c) | = 0.0529 (± 0.6167) + 1.0469 (± 0.0538) × DMI (kg/day); RMSE = 3.04, R2 = 0.83 |
| Equation (2c) | = 3.88 (± 1.313) + 0.071 (± 0.011) × MEI (MJ/day); RMSE = 1.36, R2 = 0.81 | |
| Equation (3c) | = 0.9454 (± 0.5986) + 2.6638 (± 0.1424) × NDFI (kg/day); RMSE = 1.43, R2 = 0.78 | |
| Equation (4c) | = −0.3821 (± 0.5224) + 0.5932 (± 0.0835) × DMI (kg/day) + 1.3849 (± 0.2141) × NDFI (kg/day); RMSE = 0.54, R2 = 0.85 | |
| Equation (5c) | = −0.6042 (± 0.8538) + 1.0088 (± 0.0638) × DMI (kg/day) + 0.5422 (± 0.4879) × ADFI (kg/day); RMSE = 1.45, R2 = 0.79 | |
| Equation (6c) | = −0.2924 (± 1.1841) + 0.0702 (± 0.0077) × MEI (MJ/day) + 2.3215 (± 0.6256) × ADFI (kg/day); RMSE = 1.52, R2 = 0.61 | |
| Equation (7c) | = 0.7085 (± 0.5998) + 0.0167 (± 0.0081) × MEI (MJ/day) + 2.3096 (± 0.2211) × NDFI (kg/day); RMSE = 1.56, R2 = 0.79 | |
| Equation (8c) | = −0.3496 (± 0.723) + 0.5941 (± 0.0851) × DMI (kg/day) + 1.388 (± 0.2203) × NDFI (kg/day) + −0.0276 (± 0.4223) × ADFI (kg/day); RMSE = 1.47, R2 = 0.85 | |
| Gompertz | = 0.956 (± 0.732) × exp([1 − exp{−0.1058 (± 0.0144)} × DMI (kg/day)] × ln{36.23 (± 2.59) + 2 × 0.956 (± 0.732)/0.956 (± 0.732)}) − 2× 0.956 (± 0.732); RMSE = 3.34, R2 = 0.74 | |
| Exponential | = −3.667 (± 0.2125) × exp{0.0855 (± 0.0051)} × DMI (kg/day); RMSE = 1.62, R2 = 0.81 | |
| Power 1 | = 0.782 (± 0.0938) × DMI (kg/day) ^ 1.1087 (± 0.0435); RMSE = 2.63, R2 = 0.84 | |
| Power 2 | = 0.205 (± 0.0508) × MEI (MJ/day) ^ 0.8528 (± 0.049); RMSE = 3.58, R2 = 0.7 |
| Dataset | Equation No. | RMSPE% | ECT% | ER% | ED% | r | CCC | Cb | μ |
|---|---|---|---|---|---|---|---|---|---|
| Beef | Equation (1b) | 30.07 | 0.04 | 34.01 | 69.16 | 0.81 | 0.8 | 0.82 | −0.01 |
| Equation (2b) | 31.58 | 0.07 | 30.84 | 65.99 | 0.83 | 0.82 | 0.83 | −0.05 | |
| Equation (3b) | 27.75 | 0.71 | 26.27 | 73.73 | 0.86 | 0.85 | 0.85 | −0.11 | |
| Equation (4b) | 22.19 | 0.16 | 16.79 | 83.21 | 0.91 | 0.91 | 0.89 | 0.05 | |
| Equation (5b) | 29.75 | 0.03 | 30.19 | 69.81 | 0.84 | 0.86 | 0.83 | 0.05 | |
| Equation (6b) | 28.03 | 0.15 | 26.8 | 73.2 | 0.86 | 0.82 | 0.85 | −0.03 | |
| Equation (7b) | 22.16 | 0.06 | 16.75 | 83.25 | 0.91 | 0.85 | 0.89 | −0.1 | |
| Equation (8b) | 21.99 | 0.2 | 16.49 | 83.51 | 0.89 | 0.91 | 0.9 | 0.01 | |
| Exponential 1 | 29.38 | 0.14 | 24.01 | 75.99 | 0.87 | 0.79 | 0.72 | −0.05 | |
| Exponential 2 | 30.1 | 0.22 | 24.99 | 75.01 | 0.85 | 0.77 | 0.87 | −0.38 | |
| Power | 32.28 | 0.31 | 29.24 | 70.76 | 0.82 | 0.88 | 0.82 | −0.19 | |
| Mills et al. (2003) [5] Equation (1) | 87.1 | 76.3 | 27.07 | 72.93 | 0.83 | 0.39 | 0.85 | −0.98 | |
| Mills et al. (2003) [5] Equation (3) | 61.15 | 80.8 | 54.14 | 45.86 | 0.8 | 0.61 | 0.93 | −0.79 | |
| IPCC (2006) [16] | 48.95 | 33.7 | 66.94 | 33.06 | 0.79 | 0.72 | 0.98 | −0.53 | |
| Ellis et al. (2007) [6] | 39.85 | 54.3 | 53.16 | 46.84 | 0.83 | 0.71 | 0.98 | −0.9 | |
| Yan et al. (2009) [7] | 72.74 | 63.7 | 55.2 | 44.8 | 0.83 | 0.59 | 0.91 | −0.71 | |
| Ramin and Huhtanen (2013) [8] | 55.67 | 69.6 | 50.1 | 49.9 | 0.78 | 0.61 | 0.94 | −0.62 | |
| Patra (2015) [9] | 34.04 | 75.1 | 65.22 | 34.78 | 0.8 | 0.78 | 0.96 | 0.57 | |
| Dairy | Equation (1d) | 27.53 | 0.11 | 44.17 | 55.83 | 0.75 | 0.76 | 0.81 | 0.03 |
| Equation (2d) | 16.43 | 0.05 | 15.72 | 84.28 | 0.92 | 0.91 | 0.89 | 0.01 | |
| Equation (3d) | 26.67 | 0.21 | 41.43 | 58.57 | 0.77 | 0.74 | 0.86 | −0.01 | |
| Equation (4d) | 20.74 | 0.13 | 25.06 | 74.94 | 0.87 | 0.86 | 0.82 | −0.15 | |
| Equation (5d) | 15.99 | 0.34 | 14.89 | 85.11 | 0.92 | 0.92 | 0.82 | −0.06 | |
| Equation (6d) | 16.42 | 0.22 | 15.71 | 84.29 | 0.92 | 0.91 | 0.75 | 0.01 | |
| Equation (7d) | 25.5 | 0.08 | 37.88 | 62.12 | 0.79 | 0.77 | 0.88 | 0.04 | |
| Equation (8d) | 20.66 | 0.19 | 24.88 | 75.12 | 0.87 | 0.86 | 0.91 | −0.11 | |
| Equation (9d) | 16.98 | 0.26 | 14.88 | 85.12 | 0.92 | 0.92 | 0.93 | −0.07 | |
| Equation (10d) | 19.14 | 0.09 | 21.35 | 78.65 | 0.89 | 0.88 | 0.67 | 0.02 | |
| Gompertz | 23.2 | 0.19 | 13.16 | 86.84 | 0.88 | 0.86 | 0.66 | −0.02 | |
| Exponential 1 | 17.23 | 0.11 | 11.91 | 82.26 | 0.89 | 0.9 | 0.7 | −0.8 | |
| Exponential 2 | 32.11 | 0.13 | 32.06 | 87.94 | 0.81 | 0.79 | 0.65 | −0.71 | |
| Power | 18.23 | 0.19 | 12.43 | 88.57 | 0.94 | 0.89 | 0.72 | 0.32 | |
| Mills et al. (2003) [5] Equation (1) | 27.75 | 79.3 | 59.65 | 40.35 | 0.9 | 0.78 | 0.92 | −0.33 | |
| Mills et al. (2003) [5] Equation (3) | 23.38 | 80.2 | 74.02 | 25.98 | 0.89 | 0.85 | 0.89 | −0.39 | |
| IPCC (2006) [16] | 22.32 | 35.9 | 81.71 | 18.29 | 0.89 | 0.88 | 0.94 | −0.29 | |
| Ellis et al. (2007) [6] | 27.48 | 62.5 | 49.1 | 50.9 | 0.9 | 0.74 | 0.95 | −0.62 | |
| Yan et al. (2009) [7] | 35.4 | 71.1 | 67.77 | 32.23 | 0.9 | 0.77 | 0.97 | −0.46 | |
| Ramin and Huhtanen (2013) [8] | 22.03 | 76 | 67.9 | 32.1 | 0.88 | 0.84 | 0.88 | −0.33 | |
| Patra (2015) [9] | 31.82 | 61.9 | 43.14 | 56.86 | 0.89 | 0.68 | 0.91 | 0.72 | |
| Combined | Equation (1c) | 29.2 | 0.02 | 20.59 | 79.41 | 0.89 | 0.84 | 0.92 | −0.01 |
| Equation (2c) | 42.9 | 0.42 | 44.51 | 55.49 | 0.74 | 0.79 | 0.89 | −0.03 | |
| Equation (3c) | 30.1 | 0.05 | 21.87 | 78.13 | 0.88 | 0.82 | 0.91 | −0.02 | |
| Equation (4c) | 24.41 | 0.17 | 14.38 | 85.62 | 0.93 | 0.89 | 0.92 | −0.02 | |
| Equation (5c) | 29.02 | 0.09 | 20.33 | 79.67 | 0.89 | 0.84 | 0.91 | −0.01 | |
| Equation (6c) | 40.19 | 0.29 | 38.98 | 61.02 | 0.78 | 0.76 | 0.85 | −0.03 | |
| Equation (7c) | 29.46 | 0.42 | 20.95 | 79.05 | 0.89 | 0.83 | 0.92 | −0.02 | |
| Equation (8c) | 24.4 | 3.5 | 14.38 | 85.62 | 0.93 | 0.89 | 0.92 | −0.04 | |
| Gompertz | 34.34 | 0.17 | 15.51 | 82.48 | 0.85 | 0.85 | 0.88 | −0.03 | |
| Exponential | 25.72 | 0.23 | 16.69 | 83.31 | 0.87 | 0.89 | 0.91 | 0.01 | |
| Power 1 | 26.98 | 0.15 | 14.88 | 85.12 | 0.82 | 0.88 | 0.91 | −0.44 | |
| Power 2 | 36.74 | 0.19 | 27.72 | 72.28 | 0.84 | 0.77 | 0.78 | 0.32 | |
| Mills et al. (2003) [5] Equation (1) | 50.17 | 82.4 | 49.37 | 50.63 | 0.91 | 0.7 | 0.94 | −0.76 | |
| Mills et al. (2003) [5] Equation (3) | 37.34 | 76.2 | 72.11 | 27.89 | 0.9 | 0.83 | 0.98 | −0.91 | |
| IPCC (2006) [16] | 32.09 | 28.1 | 81.64 | 18.36 | 0.9 | 0.88 | 0.99 | −0.45 | |
| Ellis et al. (2007) [6] | 32.75 | 66.5 | 59.41 | 40.59 | 0.91 | 0.81 | 0.97 | −0.89 | |
| Yan et al. (2009) [7] | 49.13 | 69.3 | 70.18 | 29.82 | 0.91 | 0.79 | 0.95 | −1.21 | |
| Ramin and Huhtanen (2013) [8] | 34.43 | 56.7 | 67.54 | 32.46 | 0.89 | 0.83 | 0.99 | −0.9 | |
| Patra (2015) [9] | 34.74 | 57.4 | 59.53 | 40.47 | 0.9 | 0.8 | 0.99 | 0.49 |
4. Discussion
5. Conclusions
Author Contributions
Funding
Institutional Review Board Statement
Informed Consent Statement
Data Availability Statement
Conflicts of Interest
References
- Rogelj, J.; Shindell, D.; Jiang, K.; Fifita, S.; Forster, P.; Ginzburg, V.; Handa, C.; Kheshgi, H.; Kobayashi, S.; Kriegler, E. Mitigation pathways compatible with 1.5 °C in the context of sustainable development. In Global Warming of 1.5 °C.; Intergovernmental Panel on Climate Change: Geneva, Switzerland, 2018; pp. 93–174. [Google Scholar]
- Gerber, P.J.; Steinfeld, H.; Henderson, B.; Mottet, A.; Opio, C.; Dijkman, J.; Falcucci, A.; Tempio, G. Tackling Climate Change through Livestock: A Global Assessment of Emissions and Mitigation Opportunities; Food and Agriculture Organization of the United Nations (FAO): Rome, Italy, 2013. [Google Scholar]
- Yadav, B.; Singh, G.; Wankar, A.; Dutta, N.; Chaturvedi, V.; Verma, M.R. Effect of simulated heat stress on digestibility, methane emission and metabolic adaptability in crossbred cattle. Asian-Australas. J. Anim. Sci. 2016, 29, 1585. [Google Scholar] [CrossRef]
- Ghassemi Nejad, J.; Ju, M.-S.; Jo, J.-H.; Oh, K.-H.; Lee, Y.-S.; Lee, S.-D.; Kim, E.-J.; Roh, S.; Lee, H.-G. Advances in methane emission estimation in livestock: A review of data collection methods, model development and the role of AI technologies. Animals 2024, 14, 435. [Google Scholar] [CrossRef]
- Mills, J.; Kebreab, E.; Yates, C.M.; Crompton, L.A.; Cammell, S.B.; Dhanoa, M.S.; France, J. Alternative approaches to predicting methane emissions from dairy cows. J. Anim. Sci. 2003, 81, 3141–3150. [Google Scholar] [CrossRef] [PubMed]
- Ellis, J.L.; Kebreab, E.; Odongo, N.E.; McBride, B.W.; Okine, E.K.; France, J. Prediction of methane production from dairy and beef cattle. J. Dairy Sci. 2007, 90, 3456–3466. [Google Scholar] [CrossRef] [PubMed]
- Yan, T.; Porter, M.G.; Mayne, C.S. Prediction of methane emission from beef cattle using data measured in indirect open-circuit respiration calorimeters. Anim. Int. J. Anim. Biosci. 2009, 3, 1455–1462. [Google Scholar] [CrossRef]
- Ramin, M.; Huhtanen, P. Development of equations for predicting methane emissions from ruminants. J. Dairy Sci. 2013, 96, 2476–2493. [Google Scholar] [CrossRef] [PubMed]
- Patra, A.K. Prediction of enteric methane emission from cattle using linear and non-linear statistical models in tropical production systems. Mitig. Adapt. Strateg. Glob. Change 2017, 22, 629–650. [Google Scholar] [CrossRef]
- Blaxter, K.L.; Clapperton, J.L. Prediction of the amount of methane produced by ruminants. Br. J. Nutr. 1965, 19, 511–522. [Google Scholar] [CrossRef]
- Moe, P.W.; Tyrrell, H.F. Methane production in dairy cows. J. Dairy Sci. 1979, 62, 1583–1586. [Google Scholar] [CrossRef]
- Kebreab, E.; Johnson, K.A.; Archibeque, S.L.; Pape, D.; Wirth, T. Model for estimating enteric methane emissions from united states dairy and feedlot cattle1. J. Anim. Sci. 2008, 86, 2738–2748. [Google Scholar] [CrossRef]
- Ellis, J.L.; Kebreab, E.; Odongo, N.E.; Beauchemin, K.; McGinn, S.; Nkrumah, J.D.; France, J. Modeling methane production from beef cattle using linear and nonlinear approaches. J. Anim. Sci. 2009, 87, 1334–1345. [Google Scholar] [CrossRef]
- Moraes, L.E.; Strathe, A.B.; Fadel, J.G.; Casper, D.P.; Kebreab, E. Prediction of enteric methane emissions from cattle. Glob. Change Biol. 2014, 20, 2140–2148. [Google Scholar] [CrossRef] [PubMed]
- Patra, A.K. Trends and projected estimates of GHG emissions from indian livestock in comparisons with GHG emissions from world and developing countries. Asian-Australas. J. Anim. Sci. 2014, 27, 592–599. [Google Scholar] [CrossRef]
- IPCC. 2006 IPCC Guidelines for National Greenhouse Gas In-Ventories. IGES, Hayama, Kanagawa, Japan. Available online: http://www.ipcc-nggip.iges.or.jp (accessed on 3 December 2023).
- FAO. Greenhouse Gas Emissions from the Dairy Sector; Food and Agriculture Organization of the United Nations: Rome, Italy, 2010. [Google Scholar]
- Ellis, J.L.; Bannink, A.; France, J.; Kebreab, E.; Dijkstra, J. Evaluation of enteric methane prediction equations for dairy cows used in whole farm models. Glob. Change Biol. 2010, 16, 3246–3256. [Google Scholar] [CrossRef]
- Patra, A.K. Prediction of enteric methane emission from buffaloes using statistical models. Agric. Ecosyst. Environ. 2014, 195, 139–148. [Google Scholar] [CrossRef]
- Niu, M.; Kebreab, E.; Hristov, A.N.; Oh, J.; Arndt, C.; Bannink, A.; Yu, Z. Prediction of enteric methane production, yield, and intensity in dairy cattle using an intercontinental database. Glob. Change Biol. 2018, 24, 3368–3389. [Google Scholar] [CrossRef] [PubMed]
- Feedipedia. Feedipedia–Animal Feed Resources Information System. 2014. Available online: http://www.feedipedia.org/ (accessed on 14 November 2020).
- Jentsch, W.; Beyer, M.; Chudy, A.; Hoffmann, L.; Laube, W.; Nehring, K.; Schiemann, R. Rostock Feed Evaluation System; Research Institute for the Biology of Farm Animals (FBN): Dummerstorf, Germany, 2003. [Google Scholar]
- AFRC. An advisory manual prepared by the AFRC Technical Committee on Response to Nutrients. In Energy and Protein Requirements of Ruminants; CAB International: Wallingford, UK, 1993. [Google Scholar]
- St-Pierre, N. Invited review: Integrating quantitative findings from multiple studies using mixed model methodology. J. Dairy Sci. 2001, 84, 741–755. [Google Scholar] [CrossRef] [PubMed]
- Oldick, B.S.; Firkins, J.L.; St-Pierre, N. Estimation of microbial nitrogen flow to the duodenum of cattle based on dry matter intake and diet composition. J. Dairy Sci. 1999, 82, 1497–1511. [Google Scholar] [CrossRef]
- Chatterjee, S.; Hadi, A.S.; Price, B. Regression Analysis by Example, 3rd ed.; John Wiley & Sons, Inc.: New York, NY, USA, 2000. [Google Scholar]
- Schulin-Zeuthen, M.; Kebreab, E.; Gerrits, W.J.J.; Lopez, S.; Fan, M.Z.; Dias, R.S.; France, J. Meta-analysis of phosphorus balance data from growing pigs. J. Anim. Sci. 2007, 85, 1953–1961. [Google Scholar] [CrossRef]
- Schinckel, A.P.; Craig, B.A. Evaluation of alternative nonlinear mixed effects models of swine growth. Prof. Anim. Sci. 2002, 18, 219. [Google Scholar] [CrossRef]
- Theil, H. Applied Economic Forecasting; North-Holland Publishing Company,: Amsterdam, The Netherlands, 1996. [Google Scholar]
- Draper, N.R.; Smith, H. Applied Regression Analysis, 3rd ed.; John Wiley & Sons: New York, NY, USA, 1998. [Google Scholar]
- Bibby, J.; Toutenburg, H. Prediction and Improved Estimation in Linear Models; John Wiley & Sons: London, UK, 1977. [Google Scholar]
- Lin, L.I. A concordance correlation coefficient to evaluate reproducibility. Biometrics 1989, 45, 255–268. [Google Scholar] [CrossRef] [PubMed]
- Holter, J.B.; Young, A.J. Methane production in dry and lactating Holstein cows. J. Dairy Sci. 1992, 75, 2165–2175. [Google Scholar] [CrossRef] [PubMed]
- Grainger, C.; Beauchemin, K.A. Can enteric methane emissions from ruminants be lowered without lowering their production? Anim. Feed. Sci. Technol. 2011, 166, 308–320. [Google Scholar] [CrossRef]
- Moate, P.J.; Williams, S.; Grainger, C.; Hannah, M.C.; Ponnampalam, E.N.; Eckard, R.J. Influence of cold-pressed canola, brewers grains and hominy meal as dietary supplements suitable for reducing enteric methane emissions from lactating dairy cows. Anim. Feed. Sci. Technol. 2011, 166, 254–264. [Google Scholar] [CrossRef]
- Basarab, J.A.; Okine, E.K.; Baron, V.S.; Marx, T.; Ramsey, P.; Ziegler, K.; Lyle, K. Methane emissions from enteric fermentation in alberta’s beef cattle population. Can. J. Anim. Sci. 2005, 85, 501–512. [Google Scholar] [CrossRef]
- Kriss, M. Quantitative relations of the dry matter of the food consumed, the heat production, the gaseous outgo, and the insensible loss in body weight of cattle. J. Agric. Res. 1930, 40, 283–295. [Google Scholar]
- Calabro, S.; Williams, B.A.; Piccolo, V.; Infascelli, V.; Tamminga, S. Acomparison between buffalo (Bubalus bubalis) and cow (Bos taurus) rumen fluids in terms of the in vitro fermentation characteristics of three fibrous feed. J. Sci. Food Agric. 2004, 84, 645–652. [Google Scholar] [CrossRef]
- Chanthakhoun, V.; Wanapat, M.; Kongmun, P.; Cherdthong, A. Comparison of ruminal fermentation characteristics and microbial population in swamp buffalo and cattle. Livest. Sci. 2012, 143, 172–176. [Google Scholar] [CrossRef]



| Variable | Database | |||||||||||
|---|---|---|---|---|---|---|---|---|---|---|---|---|
| Beef | Dairy | Combined | ||||||||||
| Mean | Min | Max | SD | Mean | Min | Max | SD | Mean | Min | Max | SD | |
| Body weight (kg) | 404.58 | 163 | 616 | 120.2 | 515.9 | 263 | 734 | 118.37 | 453.15 | 163 | 734 | 131.55 |
| Intake (kg/day or MJ/day) | ||||||||||||
| DM | 7.45 | 2.29 | 23.7 | 4.07 | 13.92 | 4.8 | 26.2 | 5.79 | 10.28 | 2.29 | 26.2 | 5.86 |
| GE | 134.29 | 41.5 | 426 | 75.77 | 259.31 | 87.4 | 491.6 | 114.59 | 188.83 | 41.5 | 491.6 | 113.17 |
| DE | 93.91 | 30.4 | 328 | 55.36 | 176.55 | 63.8 | 341.3 | 84.00 | 128.55 | 30.4 | 341.3 | 80.00 |
| ME | 70.75 | 22.2 | 285 | 49.73 | 133.91 | 25.1 | 262.9 | 73.93 | 93.72 | 22.2 | 285 | 66.97 |
| Feeding level a | 2.78 | 0.47 | 10.47 | 1.94 | 4.90 | 0.49 | 12 | 3.34 | 3.56 | 0.47 | 12 | 2.74 |
| Chemical composition (g/kg) | ||||||||||||
| OM | 922 | 831 | 963 | 23.02 | 918.66 | 815 | 965 | 40.87 | 920.90 | 815 | 965 | 32.11 |
| CP | 153.78 | 42 | 276 | 52.07 | 165.29 | 96.3 | 210 | 24.76 | 158.80 | 42 | 276 | 42.76 |
| EE | 55.18 | 8 | 318 | 43.99 | 36.42 | 21 | 62.6 | 11.15 | 47.00 | 8 | 318 | 35.10 |
| NDF | 352.65 | 93 | 776 | 169.13 | 386.43 | 271 | 599 | 70.16 | 367.39 | 93 | 776 | 136.22 |
| ADF | 273.43 | 73 | 491 | 106.36 | 219.85 | 131 | 347 | 53.60 | 250.47 | 73 | 491 | 91.65 |
| NFC | 361 | 93.4 | 644 | 140.04 | 328.95 | 150 | 464 | 77.22 | 347.02 | 93.4 | 644 | 117.94 |
| Roughage proportion (g/kg) | 682.51 | 100 | 1000 | 250 | 624.68 | 50 | 1000 | 242.59 | 657.28 | 50 | 1000 | 248.46 |
| Digestibility (g/kg) | ||||||||||||
| DM | 673.32 | 493 | 837 | 81.57 | 713.26 | 543 | 819 | 58.78 | 690.74 | 493 | 837 | 75.17 |
| OM | 698.16 | 503 | 837 | 76.52 | 721.91 | 595 | 826 | 62.37 | 708.81 | 503 | 837 | 71.51 |
| GE | 692.41 | 496 | 866 | 74.86 | 708.38 | 566 | 804 | 62.19 | 698.32 | 496 | 866 | 70.86 |
| OMDm | 713.52 | 500 | 861 | 78.4 | 772.18 | 603 | 859 | 56.41 | 734.34 | 500 | 861 | 76.70 |
| CP | 650.06 | 401 | 841 | 95.41 | 686.59 | 407 | 839 | 82.99 | 670.05 | 401 | 841 | 90.67 |
| NDF | 539.31 | 236 | 740 | 116.66 | 581.02 | 403 | 718 | 96.44 | 556.35 | 236 | 740 | 110.77 |
| ADF | 433.92 | 244 | 658 | 101.51 | 533.12 | 293 | 707 | 105.20 | 479.39 | 244 | 707 | 114.45 |
| EE | 758.24 | 82 | 942 | 219.14 | 760.57 | 553 | 897 | 102.39 | 759.38 | 82 | 942 | 172.48 |
| Methane | ||||||||||||
| g/day | 127.83 | 50.3 | 418 | 70.79 | 286.00 | 95.9 | 540 | 125.54 | 196.83 | 50.3 | 540 | 125.91 |
| MJ/day | 7.07 | 2.64 | 23.3 | 3.97 | 15.79 | 5.6 | 30.1 | 7.01 | 10.87 | 2.64 | 30.1 | 7.00 |
| g/kg DM | 18.6 | 6.61 | 34.1 | 5.87 | 20.25 | 12.2 | 28.9 | 4.07 | 19.32 | 6.61 | 34.1 | 5.23 |
| g/kg OM | 19.99 | 6.8 | 39.9 | 6.56 | 22.80 | 12.5 | 42.3 | 5.11 | 21.22 | 6.8 | 42.3 | 6.13 |
| MJ/kg DM | 1.03 | 0.37 | 1.9 | 0.32 | 1.12 | 0.68 | 1.58 | 0.22 | 1.07 | 0.37 | 1.9 | 0.29 |
| % of GE | 5.81 | 2.2 | 11.5 | 1.99 | 6.42 | 2.86 | 10.86 | 1.35 | 6.08 | 2.2 | 11.5 | 1.77 |
| % of DE | 8.36 | 2.89 | 16.9 | 3.12 | 9.06 | 3.49 | 17.9 | 2.62 | 8.65 | 2.89 | 17.9 | 2.94 |
| g/kg digestible DM | 27.68 | 9.58 | 54.89 | 9.36 | 29.31 | 15.04 | 57.06 | 7.23 | 28.39 | 9.58 | 57.06 | 8.54 |
| g/kg digestible OM | 28.23 | 9.58 | 59 | 10.34 | 29.48 | 14.62 | 55.41 | 7.59 | 28.80 | 9.58 | 59 | 9.23 |
| Source | Equation |
|---|---|
| Mills et al. (2003) [5] | Methane (MJ/day) = 5.93 + 0.92 × DMI (kd/day) |
| Methane (MJ/day) = 56.27 − (56.27 + 0) × exp[−0.028 × DMI (kg/day)] | |
| IPCC (2006) [16] | Methane (MJ/day) = 0.065 × GEI (MJ/day) |
| Ellis et al. (2007) [6] | Methane (MJ/day) = 3.272 + 0.736 × DMI (kd/day) |
| Yan et al. (2009) [7] | Methane (MJ/day) = 0.582 + 1.40 × DMI (kd/day) |
| Ramin and Huhtanen (2013) [8] | Methane (MJ/day) = 0.797 + 1.427 × DMI (kd/day) − 0.020 × DMI (kg/day)2 |
| Patra (2015) [9] | Methane (MJ/day) = 35.21 − (35.21 + 0.25) × exp[−0.0354 × DMI (kg/day)] |
Disclaimer/Publisher’s Note: The statements, opinions and data contained in all publications are solely those of the individual author(s) and contributor(s) and not of MDPI and/or the editor(s). MDPI and/or the editor(s) disclaim responsibility for any injury to people or property resulting from any ideas, methods, instructions or products referred to in the content. |
© 2024 by the authors. Licensee MDPI, Basel, Switzerland. This article is an open access article distributed under the terms and conditions of the Creative Commons Attribution (CC BY) license (https://creativecommons.org/licenses/by/4.0/).
Share and Cite
Wang, Y.; Song, W.; Wang, Q.; Yang, F.; Yan, Z. Predicting Enteric Methane Emissions from Dairy and Beef Cattle Using Nutrient Composition and Intake Variables. Animals 2024, 14, 3452. https://doi.org/10.3390/ani14233452
Wang Y, Song W, Wang Q, Yang F, Yan Z. Predicting Enteric Methane Emissions from Dairy and Beef Cattle Using Nutrient Composition and Intake Variables. Animals. 2024; 14(23):3452. https://doi.org/10.3390/ani14233452
Chicago/Turabian StyleWang, Yaodong, Weitao Song, Qian Wang, Fafa Yang, and Zhengang Yan. 2024. "Predicting Enteric Methane Emissions from Dairy and Beef Cattle Using Nutrient Composition and Intake Variables" Animals 14, no. 23: 3452. https://doi.org/10.3390/ani14233452
APA StyleWang, Y., Song, W., Wang, Q., Yang, F., & Yan, Z. (2024). Predicting Enteric Methane Emissions from Dairy and Beef Cattle Using Nutrient Composition and Intake Variables. Animals, 14(23), 3452. https://doi.org/10.3390/ani14233452
