Effect of Milking Vacuum and the Supplementation of Vitamin E and Se in Milk Quantity, Quality, and Hygiene of Mammary gland in Mountainous Greek Sheep
Abstract
Simple Summary
Abstract
1. Introduction
2. Materials and Methods
2.1. Experimental Design
2.2. Machine Milking
2.3. Milk Recording and Analysis of Milk Composition and Somatic Cell Count
- Machine Milk (MM): representing the quantity of milk obtained after milking cup attachment, until milk flow stopped;
- Stripping Milk (SM): representing the quantity of milk obtained after mammary stripping by hand, while milking cups are still attached;
- Total Milk (TM): representing the whole quantity milked.
2.4. Determination of Milk Total Bacterial Count (TBC)
3. Statistical Analysis
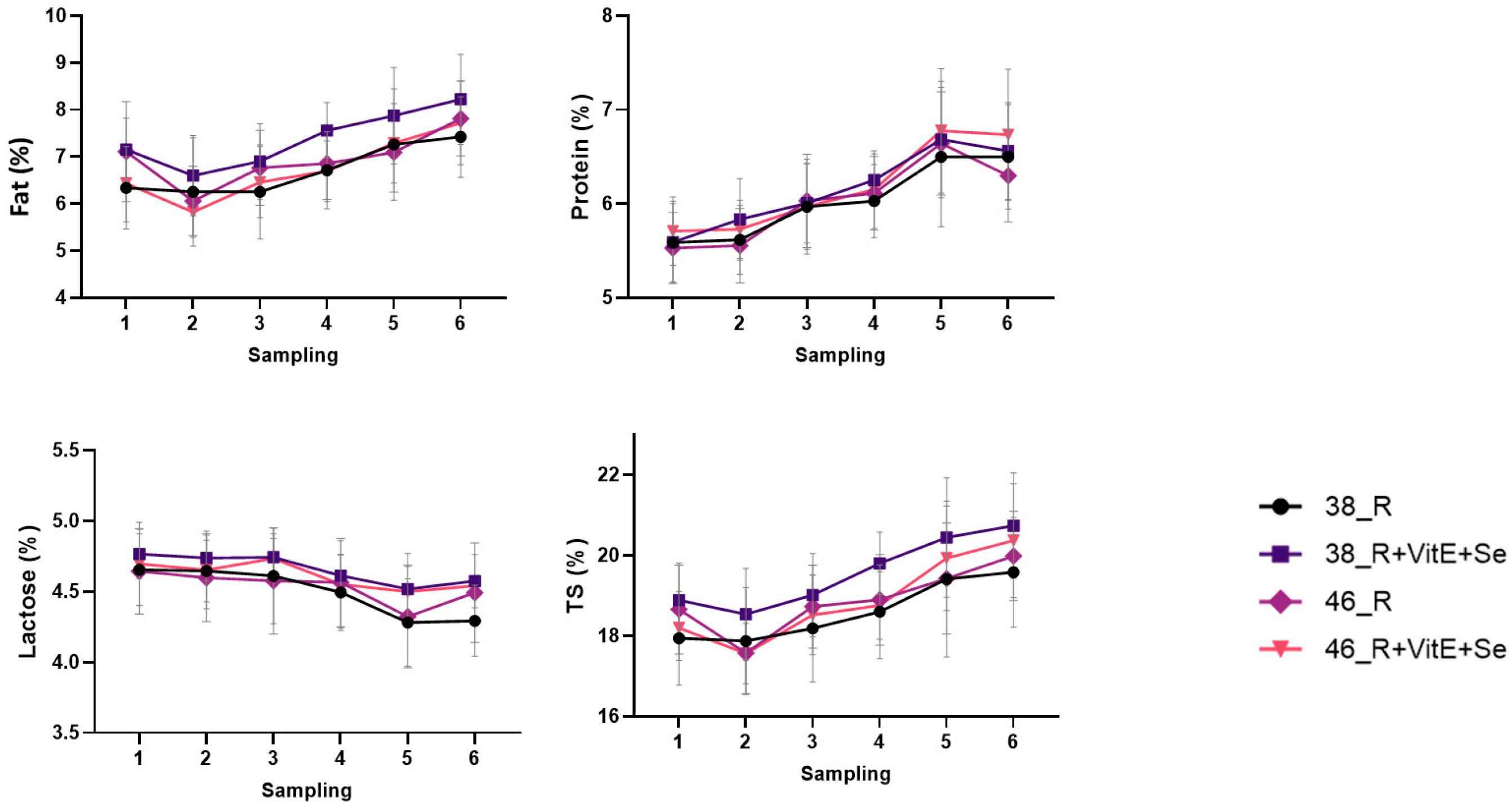
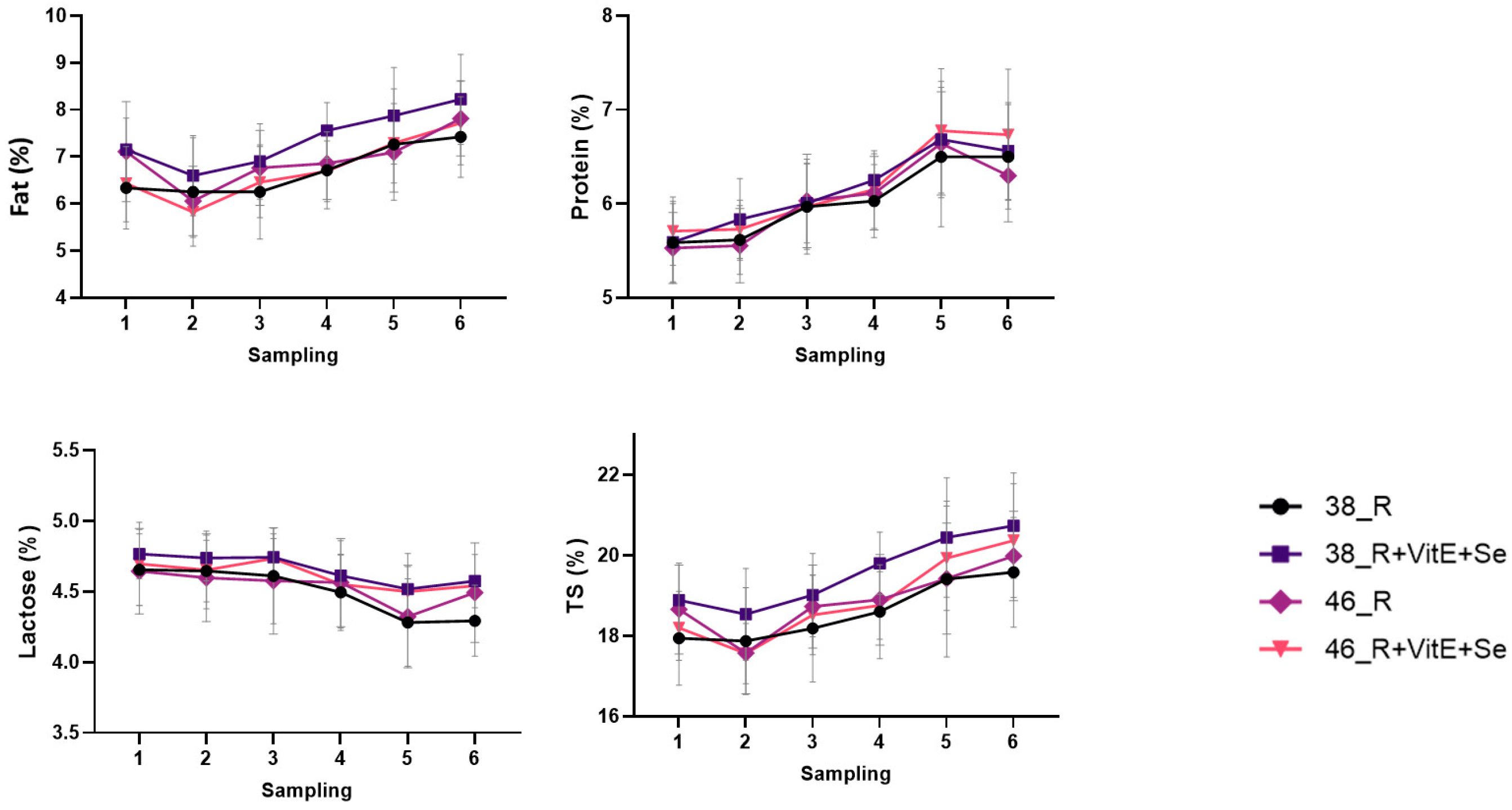
4. Results
5. Discussion
6. Conclusions
Author Contributions
Funding
Institutional Review Board Statement
Informed Consent Statement
Data Availability Statement
Acknowledgments
Conflicts of Interest
References
- Authority, E.F.S. Drivers of emerging risks and their interactions in the domain of biological risks to animal, plant and public health: A pilot study. EFSA Support. Publ. 2014, 11, 588E. [Google Scholar]
- Alba, D.F.; da Rosa, G.; Hanauer, D.; Saldanha, T.F.; Souza, C.F.; Baldissera, M.D.; dos Santos, D.D.S.; Piovezan, A.P.; Girardini, L.K.; Da Silva, A.S. Subclinical mastitis in Lacaune sheep: Causative agents, impacts on milk production, milk quality, oxidative profiles and treatment efficacy of ceftiofur. Microb. Pathog. 2019, 137, 103732. [Google Scholar] [CrossRef] [PubMed]
- Dzidic, A.; Rovai, M.; Poulet, J.L.; Leclerc, M.; Marnet, P.G. Milking routines and cluster detachment levels in small ruminants. Animal 2019, 13, s86–s93. [Google Scholar] [CrossRef]
- Kaskous, S. Laboratory Tests to Optimize the Milking Machine Settings with Air Inlet Teat Cups for Sheep and Goats. Dairy 2022, 3, 29–46. [Google Scholar] [CrossRef]
- Sinapis, E.; Hatziminaoglou, I.; Marnet, P.G.; Abas, Z.; Bolou, A. Influence of vacuum level, pulsation rate and pulsator ratio on machine milking efficiency in local Greek goats. Livest. Prod. Sci. 2000, 64, 175–181. [Google Scholar] [CrossRef]
- Gonzalo, C.; Carriedo, J.A.; Blanco, M.A.; Beneitez, E.; Juárez, M.T.; De La Fuente, L.F.; San Primitivo, F. Factors of variation influencing bulk tank somatic cell count in dairy sheep. J. Dairy Sci. 2005, 88, 969–974. [Google Scholar] [CrossRef]
- Hubert, A.; Aubert, C.; de Crémoux, R.; Poulet, J.L. Variability of vacuum in goat clusters under different controlled conditions of pipeline height, vacuum and pulsation settings and flow rate. Small Rumin. Res. 2018, 163, 65–67. [Google Scholar] [CrossRef]
- Besier, J.; Lind, O.; Bruckmaier, R.M. Dynamics of teat-end vacuum during machine milking: Types, causes and impacts on teat condition and udder health–a literature review. J. Appl. Anim. Res. 2016, 44, 263–272. [Google Scholar] [CrossRef]
- Le Du, J.; De la Chevalerie, F.A.; Combaud, J.F.; Lambion, P. Comparaison d’un lactoduc en ligne haute et en ligne basse. Incidence sur la traite des brebis de races Lacaune et Manech. Ann. De Zootech. 1983, 32, 43–52. [Google Scholar] [CrossRef][Green Version]
- Pazzona, A.; Piccarolo, P. Définition expérimentale des conditions optimales de traite de la Brebis Sarde ([Definition experimental of optimal conditions for milking of Sarda ewes]). In Proceedings of the 3th International Symposium on Machine Milking of Small Ruminants, Tel-Aviv, Israel, 16–20 May 1983; Sever Cuesta, A., Ed.; SEVERCUESTA: Valladolid, Spain, 1984; pp. 433–444. [Google Scholar]
- Fernandez, N.; Diaz, J.R.; Peris, C.; Rodriguez, M.; Molina, M.P.; Torres, A. Machine milking parameters for the Manchega sheep breed. Publication-Eur. Assoc. Anim. Prod. 1999, 95, 233–238. [Google Scholar]
- Sinapis, E.; Diamantopoulos, K.; Abas, Z.; Vlachos, I. Effect of vacuum level on milking efficiency, somatic cell counts (SCC) and teat end wall thickness in ewes of Greek mountain Boutsiko breed. Livest. Sci. 2006, 104, 128–134. [Google Scholar] [CrossRef]
- Peris, C.; Diaz, J.R.; Balasch, S.; Beltrán, M.C.; Molina, M.P.; Fernández, N. Influence of vacuum level and overmilking on udder health and teat thickness changes in dairy ewes. J. Dairy Sci. 2003, 86, 3891–3898. [Google Scholar] [CrossRef]
- Romero, G.; Peris, C.; Fthenakis, G.C.; Diaz, J.R. Effects of machine milking on udder health in dairy ewes. Small Rumin. Res. 2020, 188, 106096. [Google Scholar] [CrossRef]
- Marnet, P.G.; McKusick, B.C. Regulation of milk ejection and milkability in small ruminants. Livest. Prod. Sci. 2001, 70, 125–133. [Google Scholar] [CrossRef]
- Zucali, M.; Tamburini, A.; Sandrucci, A.; Gislon, G.; Bava, L. Effect of vacuum level on milk flow and vacuum stability in Alpine goat milking. Small Rumin. Res. 2019, 171, 1–7. [Google Scholar] [CrossRef]
- Morgante, M.; Beghelli, D.; Pauselli, M.; Dall’Ara, P.; Capuccella, M.; Ranucci, S. Effect of administration of vitamin E and selenium during the dry period on mammary health and milk cell counts in dairy ewes. J. Dairy Sci. 1999, 82, 623–631. [Google Scholar] [CrossRef]
- Rooke, J.A.; Robinson, J.J.; Arthur, J.R. Effects of vitamin E and selenium on the performance and immune status of ewes and lambs. J. Agric. Sci. 2004, 142, 253–262. [Google Scholar] [CrossRef]
- Yang, F.L.; Li, X.S.; He, B.X. Effects of vitamins and trace-elements supplementation on milk production in dairy cows: A review. Afr. J. Biotechnol. 2011, 10, 2574–2578. [Google Scholar]
- Bendich, A. Antioxidant micronutrients and immune responses. Ann. N. Y. Acad. Sci. 1990, 587, 168–180. [Google Scholar] [CrossRef]
- Pulido, E.; Fernández, M.; Prieto, N.; VI, R.B.; Andrés, S.; López, S.; Giráldez, F.J. Effect of milking frequency and α-tocopherol plus selenium supplementation on sheep milk lipid composition and oxidative stability. J. Dairy Sci. 2019, 102, 3097–3109. [Google Scholar] [CrossRef]
- Govasmark, E.; Steen, A.; Strøm, T.; Hansen, S.; Ram Singh, B.; Bernhoft, A. Status of selenium and vitamin E on Norwegian organic sheep and dairy cattle farms. Acta Agric. Scand. Sect. A-Anim. Sci. 2005, 55, 40–46. [Google Scholar] [CrossRef]
- White, C.L.; Rewell, L. Vitamin E and selenium status of sheep during autumn in Western Australia and its relationship to the incidence of apparent white muscle disease. Aust. J. Exp. Agric. 2007, 47, 535–543. [Google Scholar] [CrossRef]
- Smith, K.L.; Hogan, J.S.; Weiss, W.P. Dietary vitamin E and selenium affect mastitis and milk quality. J. Anim. Sci. 1997, 75, 1659–1665. [Google Scholar] [CrossRef] [PubMed]
- Politis, I.; Bizelis, I.; Tsiaras, A.; Baldi, A. Effect of vitamin E supplementation on neutrophil function, milk composition and plasmin activity in dairy cows in a commercial herd. J. Dairy Res. 2004, 71, 273–278. [Google Scholar] [CrossRef] [PubMed]
- ISO 4833: 2003; Microbiology of Food and Animal Feeding Stuffs—Horizontal Method for the Enumeration of Microorganisms—Colony-Count Technique at 30 °C. International Organization for Standardization: Genève, Switzerland, 2003.
- Pulido, E.; Giráldez, F.J.; Bodas, R.; Andrés, S.; Prieto, N. Effect of reduction of milking frequency and supplementation of vitamin E and selenium above requirements on milk yield and composition in Assaf ewes. J. Dairy Sci. 2012, 95, 3527–3535. [Google Scholar] [CrossRef] [PubMed]
- Bueso-Ródenas, J.; Tangorra, F.M.; Romero, G.; Guidobono-Cavalchini, A.; Díaz, J.R. Effects of pulsation type (alternate and simultaneous) on mechanical milking of dairy goats (I): A study in Alpine goats varying the system vacuum level. Small Rumin. Res. 2016, 144, 300–304. [Google Scholar] [CrossRef]
- Caria, M.; Boselli, C.; Calvo, A.; Grande, S.; Todde, G. Influence of milking units and working vacuum level on the mechanical milking of goats. Anim. Sci. J. 2021, 92, e13667. [Google Scholar] [CrossRef]
- Mohamed, C.; Taboubi, I.; Dhaoui, A.; Darej, C.; Moujahed, N. Effect of Vacuum Level on Udder Aspect and Milking in the Sicilo-Sarde Ewes. 2022. Available online: https://www.researchsquare.com (accessed on 31 October 2023).
- Chauhan, S.S.; Celi, P.; Leury, B.J.; Clarke, I.J.; Dunshea, F.R. Dietary antioxidants at supranutritional doses improve oxidative status and reduce the negative effects of heat stress in sheep. J. Anim. Sci. 2014, 92, 3364–3374. [Google Scholar] [CrossRef]
- Paape, M.J.; Wiggans, G.R.; Bannerman, D.D.; Thomas, D.L.; Sanders, A.H.; Contreras, A.; Moroni, P.; Miller, R.H. Monitoring goat and sheep milk somatic cell counts. Small Rumin. Res. 2007, 68, 114–125. [Google Scholar] [CrossRef]
- Politis, I. Reevaluation of vitamin E supplementation of dairy cows: Bioavailability, animal health and milk quality. Animal 2012, 6, 1427–1434. [Google Scholar] [CrossRef]
- Giadinis, N.D.; Panousis, N.; Petridou, E.J.; Siarkou, V.I.; Lafi, S.Q.; Pourliotis, K.; Fthenakis, G.C. Selenium, vitamin E and vitamin A blood concentrations in dairy sheep flocks with increased or low clinical mastitis incidence. Small Rumin. Res. 2011, 95, 193–196. [Google Scholar] [CrossRef]
- Lacetera, N.; Bernabucci, U.; Ronchi, B.; Nardone, A. The effects of injectable sodium selenite on immune function and milk production in Sardinian sheep receiving adequate dietary selenium. Vet. Res. 1999, 30, 363–370. [Google Scholar] [PubMed]
- Tufarelli, V.; Laudadio, V. Dietary supplementation with selenium and vitamin E improves milk yield, composition and rheological properties of dairy Jonica goats. J. Dairy Res. 2011, 78, 144–148. [Google Scholar] [CrossRef] [PubMed]
- Marnet, P.G.; Combaud, J.F.; Le Du, J.; Dano, Y. Effect of pulsation rate and vacuum level on oxytocin release, milk parameters and teat end reaction. In Proceedings of the Symposium, Berne, Switzerland, 26 April 1996. [Google Scholar]


| Items | 38 kPa | 46 kPa | SEDV | SEDD | Effects | ||||
|---|---|---|---|---|---|---|---|---|---|
| R | R + VitE_Se | R | R + VitE_Se | V | D | V × D | |||
| Fat (%) | 6.70 a | 7.38 b | 6.93 ac | 6.73 ad | 0.16 | 0.12 | 0.006 | 0.004 | 0.043 |
| Protein (%) | 6.03 a | 6.15 a | 6.01 ac | 6.17 ad | 0.11 | 0.07 | 0.932 | 0.003 | 0.712 |
| Lactose (%) | 4.50 a | 4.66 b | 4.54 ac | 4.61 bd | 0.07 | 0.04 | 0.896 | 0.002 | 0.157 |
| TS (%) | 18.59 a | 19.56 b | 18.84 ab | 18.87 ab | 0.13 | 0.17 | 0.077 | 0.000 | 0.048 |
| SnF | 11.61 a | 11.89 b | 11.63 ac | 11.86 bd | 0.13 | 0.07 | 0.869 | 0.000 | 0.694 |
| Items | 38 kPa | 46 kPa | SEDV | SEDD | Effects | ||||
|---|---|---|---|---|---|---|---|---|---|
| R | R + VitE_Se | R | R + VitE_Se | V | D | V × D | |||
| SCC/mL | 1,202,569 a | 438,190 b | 1,113,467 abc | 485,616 abd | 229,918.63 | 285,560.66 | 0.904 | 0.000 | 0.779 |
| log10 SCC | 5.58 a | 5.32 b | 5.62 abc | 5.37 abd | 0.06 | 0.05 | 0.304 | 0.000 | 0.939 |
| TBC(cfu/mL1) | 268.50 | 243.15 | 220.00 | 197.00 | 60,012.26 | 64,525.05 | 0.604 | 0.316 | 0.908 |
| log10 TBC | 5.38 | 5.33 | 5.32 | 5.26 | 0.11 | 0.10 | 0.462 | 0.447 | 0.959 |
| Items | 38 kPa | 46 kPa | SEDV | SEDD | Effects | ||||
|---|---|---|---|---|---|---|---|---|---|
| R | R + VitE_Se | R | R + VitE_Se | V | D | V × D | |||
| MM (mL/day) | 417.5 a | 440.2 b | 377.3 abc | 451.9 abd | 25.26 | 24.87 | 0.828 | 0.006 | 0.272 |
| SM (mL/day) | 146.4 a | 139.0 ab | 155.8 cb | 144.3 ad | 7.17 | 7.00 | 0.028 | 0.039 | 0.519 |
| TM (mL/day) | 563.9 a | 579.2 b | 532.3 abc | 596.2 abd | 27.01 | 26.11 | 0.712 | 0.045 | 0.400 |
Disclaimer/Publisher’s Note: The statements, opinions and data contained in all publications are solely those of the individual author(s) and contributor(s) and not of MDPI and/or the editor(s). MDPI and/or the editor(s) disclaim responsibility for any injury to people or property resulting from any ideas, methods, instructions or products referred to in the content. |
© 2023 by the authors. Licensee MDPI, Basel, Switzerland. This article is an open access article distributed under the terms and conditions of the Creative Commons Attribution (CC BY) license (https://creativecommons.org/licenses/by/4.0/).
Share and Cite
Mamatsios, K.; Karatzia, M.-A.; Manessis, G.; Kasapidou, E.; Bossis, I.; Basdagianni, Z. Effect of Milking Vacuum and the Supplementation of Vitamin E and Se in Milk Quantity, Quality, and Hygiene of Mammary gland in Mountainous Greek Sheep. Animals 2023, 13, 3400. https://doi.org/10.3390/ani13213400
Mamatsios K, Karatzia M-A, Manessis G, Kasapidou E, Bossis I, Basdagianni Z. Effect of Milking Vacuum and the Supplementation of Vitamin E and Se in Milk Quantity, Quality, and Hygiene of Mammary gland in Mountainous Greek Sheep. Animals. 2023; 13(21):3400. https://doi.org/10.3390/ani13213400
Chicago/Turabian StyleMamatsios, Konstantinos, Maria-Anastasia Karatzia, Georgios Manessis, Eleni Kasapidou, Ioannis Bossis, and Zoitsa Basdagianni. 2023. "Effect of Milking Vacuum and the Supplementation of Vitamin E and Se in Milk Quantity, Quality, and Hygiene of Mammary gland in Mountainous Greek Sheep" Animals 13, no. 21: 3400. https://doi.org/10.3390/ani13213400
APA StyleMamatsios, K., Karatzia, M.-A., Manessis, G., Kasapidou, E., Bossis, I., & Basdagianni, Z. (2023). Effect of Milking Vacuum and the Supplementation of Vitamin E and Se in Milk Quantity, Quality, and Hygiene of Mammary gland in Mountainous Greek Sheep. Animals, 13(21), 3400. https://doi.org/10.3390/ani13213400

