The Effects of Milk and Posterior Intestinal Microorganisms on the Lactation Performance of Dual-Purpose Cattle (Bos taurus) Revealed by 16S rRNA Sequencing
Abstract
1. Background
2. Materials and Methods
2.1. Animals
2.2. Sample Collection
2.3. DNA Extraction and 16S rRNA Sequencing
2.4. 16S rRNA Sequencing Data Processing and Bioinformatics Analysis
2.5. Correlation Analysis and Chi-Square Test
3. Results
3.1. Microbial Composition of Milk from XJBC and CSC
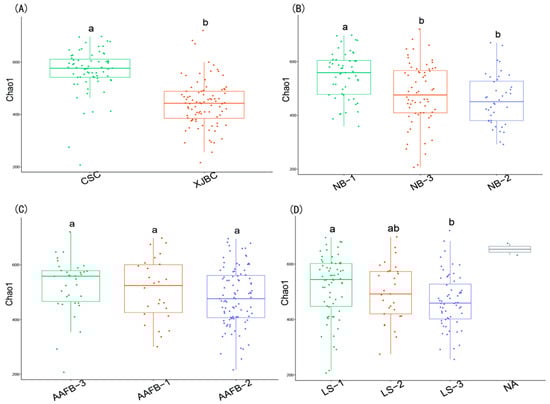
3.2. Microbial α Diversity in the Milk of XJBC and CSC
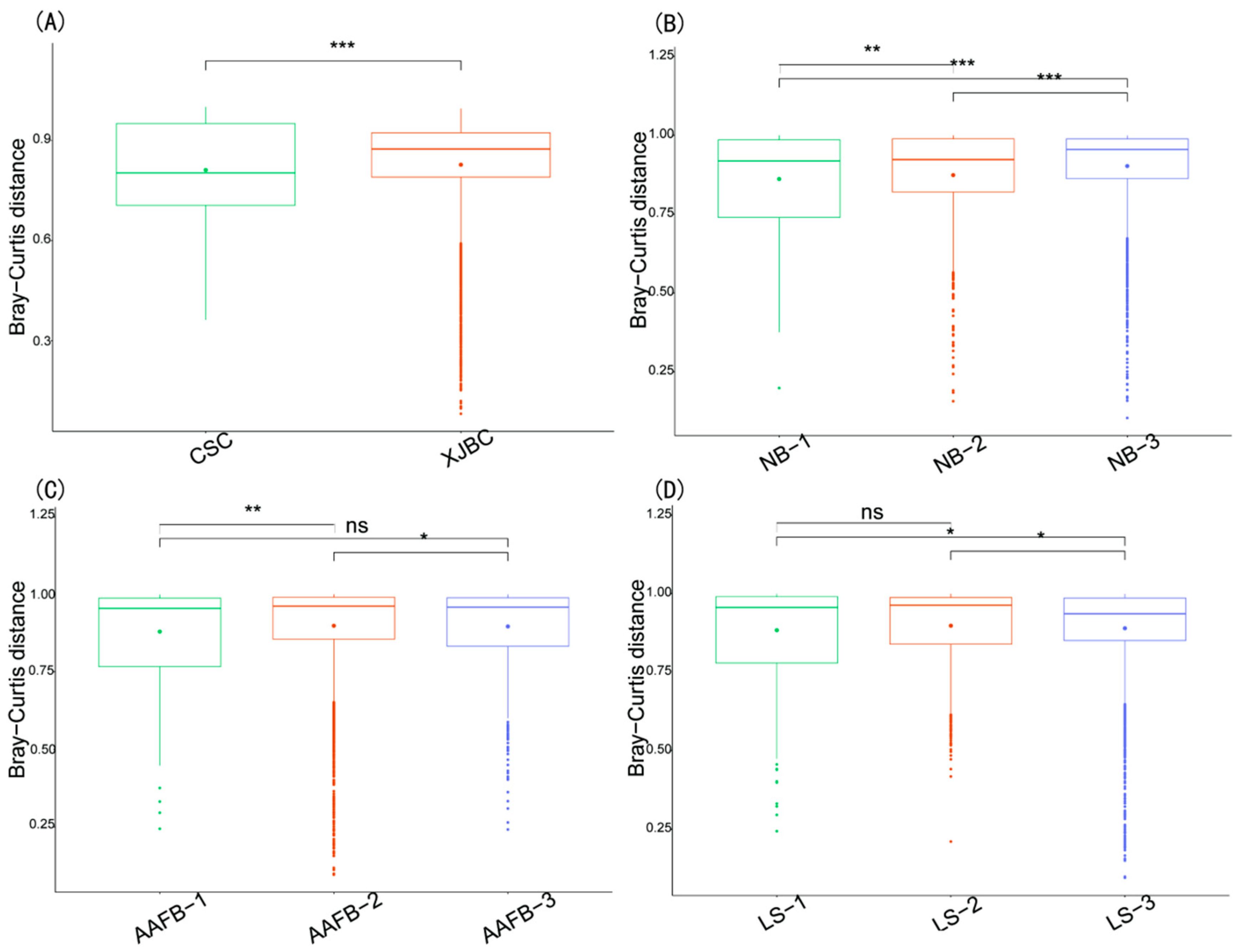
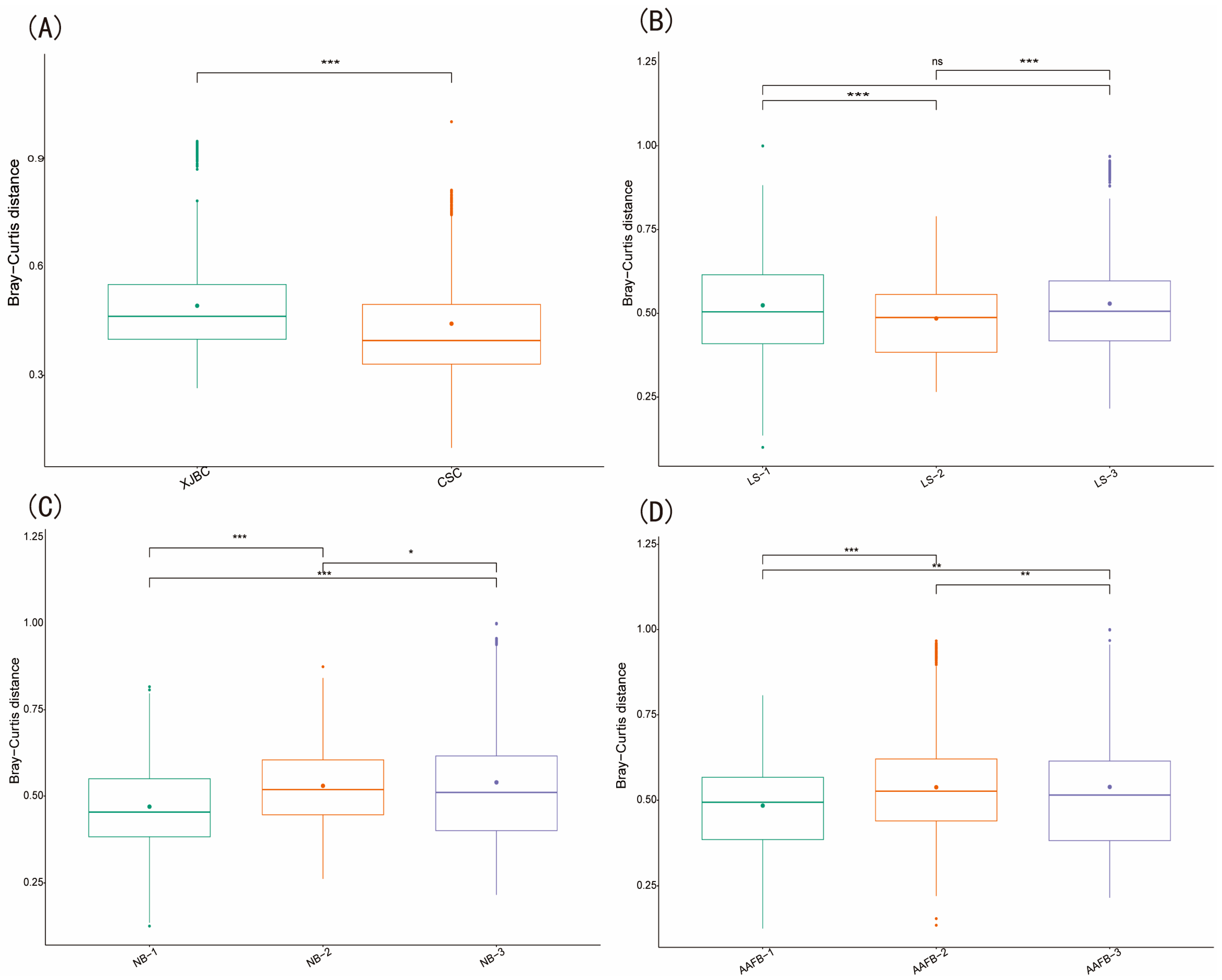
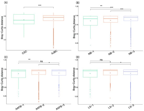
3.3. Results of PCoA and β Diversity in the Milk of XJBC and CSC
3.4. Correlation Analysis of Milk and Hindgut Microorganisms in XJBC and CSC with Milk Quality and Somatic Cell Counts
Milk Composition
3.5. Posterior Gut Microbes of XJBC and CSC
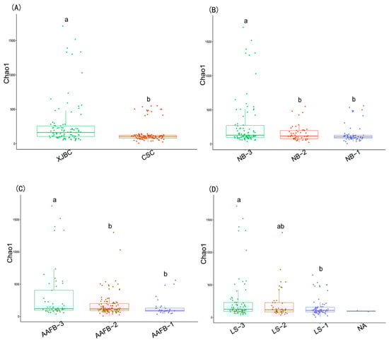
3.6. α Diversity of Hindgut Microorganisms in XJBC and CSC
3.7. Results of β Diversity Analyses of Hindgut Microorganisms in XJBC and CSC
3.8. Differential Microorganisms in the Milk of XJBC and CSC
3.9. Milk Microorganisms and Hindgut Microorganisms in XJBC and CSC
3.10. Characterization of Microflora in the Hindgut and Milk of XJBC and CSC
3.11. Association Analysis Between Milk and Hindgut Microorganisms in XJBC and CSC
3.12. Association Analysis Between Mid-Milk and Postintestinal Microorganisms in XJBC and CSC
4. Discussion
4.1. Characterization of Microorganisms in XJBC and CSC Milk
4.2. Influence of Microorganisms in Milk on the Lactation Performance of XJBC and CSC
4.3. Characteristics of Microorganisms in the Hindgut Contents of XJBC and CSC and Their Effects on Lactation Performance
4.4. Microbial Associations in the Hindgut and Milk of XJBC and CSC
4.5. Influence of Nongenetic Factors on Intestinal Microbial Changes During and After Lactation in XJBC and CSC
5. Conclusions
Supplementary Materials
Author Contributions
Funding
Institutional Review Board Statement
Informed Consent Statement
Data Availability Statement
Conflicts of Interest
References
- Kong, X.; Liu, W.; Yang, J.; Zhao, J. Investigation of milk quality characteristics in Ningxia. Chin. Dairy Cow 2023, 61–65. [Google Scholar] [CrossRef]
- Colantuono, A.; D’Incecco, P.; Fortina, M.G.; Rosi, V.; Ricci, G.; Pellegrino, L. Milk substrates influence proteolytic activity of Pseudomonas fluorescens strains. Food Control 2020, 111, 107063. [Google Scholar] [CrossRef]
- de Almeida, C.C.; Financi, T.P.; Cardozo, M.V.; Pizauro, L.J.L.; Pereira, N.; Valmorbida, M.K.; Borzi, M.M.; Weiss, B.; de Ávila, F.A. Enterobacteriaceae in calves, cows and milking environment may act as reservoirs of virulence and antimicrobial resistance genes. Food Sci. Technol. 2020, 41, 376–380. [Google Scholar] [CrossRef]
- Zou, M.; Liu, D. A systematic characterization of the distribution, biofilm-forming potential and the resistance of the bio-films to the CIP processes of the bacteria in a milk powder processing factory. Food Res. Int. 2018, 113, 316–326. [Google Scholar] [CrossRef] [PubMed]
- Du, B.; Meng, L.; Liu, H.; Zheng, N.; Zhang, Y.; Guo, X.; Zhao, S.; Li, F.; Wang, J. Impacts of Milking and Housing Environment on Milk Microbiota. Animals 2020, 10, 2339. [Google Scholar] [CrossRef]
- Wu, H.; Nguyen, Q.D.; Tran, T.T.M.; Tang, M.T.; Tsuruta, T.; Nishino, N. Rumen fluid, feces, milk, water, feed, airborne dust, and bedding microbiota in dairy farms managed by automatic milking systems. Anim. Sci. J. 2019, 90, 445–452. [Google Scholar] [CrossRef] [PubMed]
- Aslam, H.; Marx, W.; Rocks, T.; Loughman, A.; Chandrasekaran, V.; Ruusunen, A.; Dawson, S.L.; West, M.; Mullarkey, E.; Pasco, J.A.; et al. The effects of dairy and dairy derivatives on the gut microbiota: A systematic literature review. Gut Microbes 2020, 12, 1799533. [Google Scholar] [CrossRef] [PubMed]
- Murphy, K.; Curley, D.; O’callaghan, T.F.; O’shea, C.-A.; Dempsey, E.M.; O’toole, P.W.; Ross, R.P.; Ryan, C.A.; Stanton, C. The Composition of Human Milk and Infant Faecal Microbiota Over the First Three Months of Life: A Pilot Study. Sci. Rep. 2017, 7, 40597. [Google Scholar] [CrossRef] [PubMed]
- Wang, Y.; Nan, X.; Jiang, L.; Xiong, B. Progress of research on the association of gastrointestinal flora with mastitis in dairy cows and its potential to regulate mastitis. J. Anim. Husb. Vet. Sci. 2021, 52, 2083–2092. [Google Scholar]
- Gryaznova, M.V.; Syromyatnikov, M.Y.; Dvoretskaya, Y.D.; Solodskikh, S.A.; Klimov, N.T.; Mikhalev, V.I.; Zimnikov, V.I.; Mikhaylov, E.V.; Popov, V.N. Microbiota of cow’s milk with udder pathologies. Microorganisms 2021, 9, 1974. [Google Scholar] [CrossRef] [PubMed]
- Zang, X.-W.; Sun, H.-Z.; Xue, M.-Y.; Zhang, Z.; Plastow, G.; Yang, T.; Guan, L.L.; Liu, J.-X. Heritable and Nonheritable Rumen Bacteria Are Associated with Different Characters of Lactation Performance of Dairy Cows. mSystems 2022, 7, e0042222. [Google Scholar] [CrossRef]
- de Almeida, J.M.; Maffei, J.T.; Gebara, C.; Minafra, C.; Toledo-Silva, B.; Gonçalves, M.C.; Langoni, H.; Neto, A.T.; Souza, F.N.; Silva, N.C.C. Exploring probiotic potential and antimicrobial properties of lactic acid bacteria from cow’s milk. Appl. Food Res. 2024, 4, 100461. [Google Scholar] [CrossRef]
- Na, F.; Qi, S.; Xu, S.; Liu, H. Feeding management of periparturient dairy cows on large-scale farms. Feed Expo 2021, 2021, 64–65. [Google Scholar]
- Chen, J.; Zhou, D.; Miao, J.; Zhang, C.; Li, X.; Feng, H.; Xing, Y.; Zhang, Z.; Bao, C.; Lin, Z. Microbiome and metabolome dysbiosis of the gut-lung axis in pulmonary hypertension. Microbiol. Res. 2022, 265, 127205. [Google Scholar] [CrossRef]
- Zhu, H.; Miao, R.; Tao, X.; Wu, J.; Liu, L.; Qu, J.; Liu, H.; Sun, Y.; Li, L.; Qu, Y. Longitudinal Changes in Milk Microorganisms in the First Two Months of Lactation of Primiparous and Multiparous Cows. Animals 2023, 13, 1923. [Google Scholar] [CrossRef]
- Oikonomou, G.; Addis, M.F.; Chassard, C.; Nader-Macias, M.E.F.; Grant, I.; Delbès, C.; Bogni, C.I.; Le Loir, Y.; Even, S. Milk microbiota: What are we exactly talking about? Front. Microbiol. 2020, 11, 60. [Google Scholar] [CrossRef]
- Wang, Y.; Wang, B.; Tong, J.J.; Jiang, L.S.; Xiong, B.H. Relationship of milk microbial communities with mammary gland health and calf gastrointestinal tract development in dairy cows. J. Anim. Nutr. 2018, 30, 458–467. [Google Scholar]
- Modi, A.; Vai, S.; Caramelli, D.; Lari, M. The Illumina sequencing protocol and the NovaSeq 6000 system. In Bacterial Pangenomics: Methods and Protocols; Springer: Berlin/Heidelberg, Germany, 2021; pp. 15–42. [Google Scholar]
- Zhuang, Y.; Liu, S.; Gao, D.; Xu, Y.; Jiang, W.; Hou, G.; Li, S.; Zhao, X.; Chen, T.; Li, S.; et al. Maternal gastrointestinal microbiome shapes gut microbial function and resistome of newborns in a cow-to-calf model. Microbiome 2024, 12, 216. [Google Scholar] [CrossRef] [PubMed]
- Lin, L.; Lai, Z.; Yang, H.; Zhang, J.; Qi, W.; Xie, F.; Mao, S. Genome-centric investigation of bile acid metabolizing microbiota of dairy cows and associated diet-induced functional implications. ISME J. 2023, 17, 172–184. [Google Scholar] [CrossRef] [PubMed]
- Sun, W.-J.; Wu, E.-Y.; Zhang, G.-Y.; Xu, B.-C.; Chen, X.-G.; Hao, K.-Y.; Wang, Y.; He, L.-Z.; Lv, Q.-Z. Total flavonoids of Abrus can-toniensis inhibit CD14/TLR4/NF-κB/MAPK pathway expression and improve gut microbiota disorders to reduce lipopoly-saccharide-induced mastitis in mice. Front. Microbiol. 2022, 13, 985529. [Google Scholar] [CrossRef]
- Wang, Y.; Nan, X.; Zhao, Y.; Jiang, L.; Wang, H.; Zhang, F.; Hua, D.; Liu, J.; Yang, L.; Yao, J.; et al. Changes in the Profile of Fecal Microbiota and Metabolites as Well as Serum Metabolites and Proteome After Dietary Inulin Supplementation in Dairy Cows With Subclinical Mastitis. Front. Microbiol. 2022, 13, 809139. [Google Scholar] [CrossRef] [PubMed]
- Zhang, L.; Geng, J.; Li, J.; Zhang, M.; Lei, X.; Zhang, X.X.; Wang, D.; Wei, Z.; Dong, M.; Huang, X.X. Analysis of growth and development pattern of Xinjiang brown calves. Chin. J. Anim. Husb. 2021, 57, 121–124. [Google Scholar]
- Zhang, L.; Boeren, S.; van Hooijdonk, A.; Vervoort, J.; Hettinga, K. A proteomic perspective on the changes in milk proteins due to high somatic cell count. J. Dairy Sci. 2015, 98, 5339–5351. [Google Scholar] [CrossRef] [PubMed]
- Hall, M.; Beiko, R.G. 16S rRNA gene analysis with QIIME2. Microbiome Anal. Methods Protoc. 2018, 1849, 113–129. [Google Scholar]
- Cremonesi, P.; Ceccarani, C.; Curone, G.; Severgnini, M.; Pollera, C.; Bronzo, V.; Riva, F.; Addis, M.F.; Filipe, J.; Amadori, M. Milk microbiome diversity and bacterial group prevalence in a comparison between healthy Holstein Friesian and Rendena cows. PLoS ONE 2018, 13, e0205054. [Google Scholar] [CrossRef] [PubMed]
- Bhatt, V.; Ahir, V.; Koringa, P.; Jakhesara, S.; Rank, D.; Nauriyal, D.; Kunjadia, A.; Joshi, C. Milk microbiome signatures of subclinical mastitis-affected cattle analysed by shotgun sequencing. J. Appl. Microbiol. 2012, 112, 639–650. [Google Scholar] [CrossRef] [PubMed]
- Sorek, R.; Cossart, P. Prokaryotic transcriptomics: A new view on regulation, physiology and pathogenicity. Nat. Rev. Genet. 2010, 11, 9–16. [Google Scholar] [CrossRef] [PubMed]
- Niehus, R.; Picot, A.; Oliveira, N.M.; Mitri, S.; Foster, K.R. The evolution of siderophore production as a competitive trait. Evolution 2017, 71, 1443–1455. [Google Scholar] [CrossRef]
- Derakhshani, H.; Plaizier, J.C.; De Buck, J.; Barkema, H.W.; Khafipour, E. Association of bovine major histocompatibility complex (BoLA) gene polymorphism with colostrum and milk microbiota of dairy cows during the first week of lactation. Microbiome 2018, 6, 203. [Google Scholar] [CrossRef] [PubMed]
- You, X.; Yao, Y.; Gao, J.; Liao, Y. Corynebacterium bovis infection after autologous fat grafting in breast augmentation: A case report. Front. Cell. Infect. Microbiol. 2023, 13, 1265872. [Google Scholar] [CrossRef]
- Catozzi, C.; Cuscó, A.; Lecchi, C.; De Carlo, E.; Vecchio, D.; Martucciello, A.; D’Angelo, L.; Francino, O.; Sanchez Bonastre, A.; Ceciliani, F. Impact of intramammary inoculation of inactivated Lactobacillus rhamnosus and antibiotics on the milk microbiota of water buffalo with subclinical mastitis. PLoS ONE 2019, 14, e0210204. [Google Scholar] [CrossRef] [PubMed]
- Huayan, G.; Teng, Z.; Guilong, G. Breast microbiota and breast cancer: Present and future. J. Int. Oncol. 2024, 12, 55–58. [Google Scholar]
- Andrews, T.; Neher, D.A.; Weicht, T.R.; Barlow, J.W. Mammary microbiome of lactating organic dairy cows varies by time, tissue site, and infection status. PLoS ONE 2019, 14, e0225001. [Google Scholar] [CrossRef]
- Lin, L.; Lai, Z.; Zhang, J.; Zhu, W.; Mao, S. The gastrointestinal microbiome in dairy cattle is constrained by the deterministic driver of the region and the modified effect of diet. Microbiome 2023, 11, 10. [Google Scholar] [CrossRef] [PubMed]
- Petrovski, K.; Trajcev, M.; Buneski, G. A review of the factors affecting the costs of bovine mastitis. J. S. Afr. Vet. Assoc. 2006, 77, 52–60. [Google Scholar] [CrossRef] [PubMed]
- Hoque, M.N.; Istiaq, A.; Clement, R.A.; Sultana, M.; Crandall, K.A.; Siddiki, A.Z.; Hossain, M.A. Metagenomic deep sequencing reveals association of microbiome signature with functional biases in bovine mastitis. Sci. Rep. 2019, 9, 13536. [Google Scholar] [CrossRef]
- Mtshali, K.; Khumalo, Z.T.H.; Kwenda, S.; Arshad, I.; Thekisoe, O.M.M. Exploration and comparison of bacterial communities present in bovine faeces, milk and blood using 16S rRNA metagenomic sequencing. PLoS ONE 2022, 17, e0273799. [Google Scholar] [CrossRef]
- Mao, S.; Zhang, M.; Liu, J.; Zhu, W. Characterising the bacterial microbiota across the gastrointestinal tracts of dairy cattle: Membership and potential function. Sci. Rep. 2015, 5, 16116. [Google Scholar] [CrossRef] [PubMed]
- Nagy-Szakal, D.; Ross, M.C.; Dowd, S.E.; Mir, S.A.; Schaible, T.D.; Petrosino, J.F.; Kellermayer, R. Maternal micronutrients can modify colonic mucosal microbiota maturation in murine offspring. Gut Microbes 2012, 3, 426–433. [Google Scholar] [CrossRef]
- Neubauer, V.; Petri, R.M.; Humer, E.; Kröger, I.; Reisinger, N.; Baumgartner, W.; Wagner, M.; Zebeli, Q. Starch-rich diet induced rumen acidosis and hindgut dysbiosis in dairy cows of different lactations. Animals 2020, 10, 1727. [Google Scholar] [CrossRef]
- Zhang, S.; Albornoz, R.; Aschenbach, J.; Barreda, D.; Penner, G. Short-term feed restriction impairs the absorptive function of the reticulo-rumen and total tract barrier function in beef cattle. J. Anim. Sci. 2013, 91, 1685–1695. [Google Scholar] [CrossRef]
- Plaizier, J.; Krause, D.; Gozho, G.; McBride, B. Subacute ruminal acidosis in dairy cows: The physiological causes, incidence and consequences. Vet. J. 2008, 176, 21–31. [Google Scholar] [CrossRef]
- Baumgard, L.H.; Rhoads Jr, R.P. Effects of heat stress on postabsorptive metabolism and energetics. Annu. Rev. Anim. Biosci. 2013, 1, 311–337. [Google Scholar] [CrossRef] [PubMed]
- Chilliard, Y.; Ferlay, A. Dietary lipids and forages interactions on cow and goat milk fatty acid composition and sensory properties. Reprod. Nutr. Dev. 2004, 44, 467–492. [Google Scholar] [CrossRef] [PubMed]
- Coulon, J.-B.; Dupont, D.; Pochet, S.; Pradel, P.; Duployer, H. Effect of genetic potential and level of feeding on milk protein composition. J. Dairy Res. 2001, 68, 569–577. [Google Scholar] [CrossRef]
- Wang, X.; Tsai, T.; Deng, F.; Wei, X.; Chai, J.; Knapp, J.; Apple, J.; Maxwell, C.V.; Lee, J.A.; Li, Y. Longitudinal investigation of the swine gut microbiome from birth to market reveals stage and growth performance associated bacteria. Microbiome 2019, 7, 109. [Google Scholar] [CrossRef] [PubMed]
- Jami, E.; White, B.A.; Mizrahi, I. Potential role of the bovine rumen microbiome in modulating milk composition and feed efficiency. PLoS ONE 2014, 9, e85423. [Google Scholar] [CrossRef]
- Mu, Y.; Lin, X.; Wang, Z.; Hou, Q.; Wang, Y.; Hu, Z. High-production dairy cattle exhibit different rumen and fecal bacterial community and rumen metabolite profile than low-production cattle. Microbiologyopen 2019, 8, e00673. [Google Scholar] [CrossRef]
- O’Donnell, M.M.; Harris, H.M.; Ross, R.P.; O’Toole, P.W. Core fecal microbiota of domesticated herbivorous ruminant, hindgut fermenters, and monogastric animals. Microbiologyopen 2017, 6, e00509. [Google Scholar]
- Wen, C.; Yan, W.; Sun, C.; Ji, C.; Zhou, Q.; Zhang, D.; Zheng, J.; Yang, N. The gut microbiota is largely independent of host genetics in regulating fat deposition in chickens. ISME J. 2019, 13, 1422–1436. [Google Scholar] [CrossRef] [PubMed]
- Hu, X.; Li, S.; Mu, R.; Guo, J.; Zhao, C.; Cao, Y.; Zhang, N.; Fu, Y. The rumen microbiota contributes to the development of mastitis in dairy cows. Microbiol. Spectr. 2022, 10, e02512–e02521. [Google Scholar] [CrossRef] [PubMed]
- Morrow, A.L.; Rangel, J.M. Human milk protection against infectious diarrhea: Implications for prevention and clinical care. Semin. Pediatr. Infect. Dis. 2004, 15, 221–228. [Google Scholar] [CrossRef]
- Hu, X.; Guo, J.; Zhao, C.; Jiang, P.; Maimai, T.; Yanyi, L.; Cao, Y.; Fu, Y.; Zhang, N. The gut microbiota contributes to the development of Staphylococcus aureus-induced mastitis in mice. ISME J. 2020, 14, 1897–1910. [Google Scholar] [CrossRef]
- Maga, E.A.; Weimer, B.C.; Murray, J.D. Dissecting the role of milk components on gut microbiota composition. Gut Microbes 2013, 4, 136–139. [Google Scholar] [CrossRef] [PubMed]
- Ma, C.; Sun, Z.; Zeng, B.; Huang, S.; Zhao, J.; Zhang, Y.; Su, X.; Xu, J.; Wei, H.; Zhang, H. Cow-to-mouse fecal transplantations suggest intestinal microbiome as one cause of mastitis. Microbiome 2018, 6, 200. [Google Scholar] [CrossRef] [PubMed]
- Oikonomou, G.; Bicalho, M.L.; Meira, E.; Rossi, R.E.; Foditsch, C.; Machado, V.S.; Teixeira, A.G.V.; Santisteban, C.; Schukken, Y.H.; Bicalho, R.C. Microbiota of cow’s milk; distinguishing healthy, sub-clinically and clinically diseased quarters. PLoS ONE 2014, 9, e85904. [Google Scholar]
- Lima, S.F.; Teixeira, A.G.; Lima, F.S.; Ganda, E.K.; Higgins, C.H.; Oikonomou, G.; Bicalho, R.C. The bovine colostrum microbiome and its association with clinical mastitis. J. Dairy Sci. 2017, 100, 3031–3042. [Google Scholar] [CrossRef] [PubMed]
- Shinozuka, Y.; Suzuki, N.; Kitsukawa, M.; Hayashi, M.; Suenaga, N.; Shimizu, Y.; Kurumisawa, T.; Kawai, K. Longitudinal and cross-sectional studies to evaluate changes in cow milk microbiota over the lactation stages. Acta Vet. Beogr. 2024, 74, 236–245. [Google Scholar] [CrossRef]
- Petróczki, F.M.; Tonamo, T.A.; Béri, B.; Peles, F. The effect of breed and stage of lactation on the microbiological status of raw milk. Acta Agrar. Debreceniensis 2019, 1, 37–45. [Google Scholar] [CrossRef] [PubMed]
- Marcos, C.; Carro, M.; Gutiérrez-Rivas, M.; Atxaerandio, R.; Goiri, I.; García-Rodríguez, A.; González-Recio, O. Ruminal microbiome changes across lactation in primiparous Holstein cows with varying methane intensity: Heritability assessment. J. Dairy Sci. 2024, 107, 7064–7078. [Google Scholar] [CrossRef]
- Li, F.; Wang, L.; Zhang, H.; Wang, K.; Hu, L.; Liu, D.; Liu, T.; Guo, G.; Huang, X.; Jiang, G.; et al. Analysis of the differences in microbial composition of the hindgut of Juanxan cows with different litter sizes. Chin. J. Anim. Husb. 2023, 59, 168–174. [Google Scholar]












| Sample Sources | Heritable Condition (i.e., Not Genetic) | Horizontal Division Range | Sample Size (Statistics) |
|---|---|---|---|
| Microorganisms in milk samples | First calving months age | 20–27 months | 110 |
| 28–30 months | 53 | ||
| >30 months | 33 | ||
| parity | First pregnancy | 47 | |
| Second pregnancy | 87 | ||
| Third pregnancy and above | 62 | ||
| Stage of lactation | Calving to the end of the tenth week | 71 | |
| Eleventh week to the end of the twentieth week | 45 | ||
| Twenty-first week after | 78 | ||
| Microorganisms in hindgut samples | First calving months age | 20–27 months | 33 |
| 28–30 months | 51 | ||
| >30 months | 103 | ||
| parity | First pregnancy | 60 | |
| Second pregnancy | 44 | ||
| Third pregnancy and above | 83 | ||
| Stage of lactation | Calving to the end of the tenth week | 68 | |
| Eleventh week to the end of the twentieth week | 42 | ||
| Twenty-first week after | 75 |
Disclaimer/Publisher’s Note: The statements, opinions and data contained in all publications are solely those of the individual author(s) and contributor(s) and not of MDPI and/or the editor(s). MDPI and/or the editor(s) disclaim responsibility for any injury to people or property resulting from any ideas, methods, instructions or products referred to in the content. |
© 2025 by the authors. Licensee MDPI, Basel, Switzerland. This article is an open access article distributed under the terms and conditions of the Creative Commons Attribution (CC BY) license (https://creativecommons.org/licenses/by/4.0/).
Share and Cite
Wang, W.; Ma, S.; Wang, D.; Xu, L.; Zhang, M.; Yan, M.; Ma, K.; Hu, Z.; Shang, Y.; Wei, J.; et al. The Effects of Milk and Posterior Intestinal Microorganisms on the Lactation Performance of Dual-Purpose Cattle (Bos taurus) Revealed by 16S rRNA Sequencing. Microorganisms 2025, 13, 448. https://doi.org/10.3390/microorganisms13020448
Wang W, Ma S, Wang D, Xu L, Zhang M, Yan M, Ma K, Hu Z, Shang Y, Wei J, et al. The Effects of Milk and Posterior Intestinal Microorganisms on the Lactation Performance of Dual-Purpose Cattle (Bos taurus) Revealed by 16S rRNA Sequencing. Microorganisms. 2025; 13(2):448. https://doi.org/10.3390/microorganisms13020448
Chicago/Turabian StyleWang, Weitao, Shengchao Ma, Dan Wang, Lei Xu, Menghua Zhang, Mengjie Yan, Kailun Ma, Zexu Hu, Yanyan Shang, Jiangjiang Wei, and et al. 2025. "The Effects of Milk and Posterior Intestinal Microorganisms on the Lactation Performance of Dual-Purpose Cattle (Bos taurus) Revealed by 16S rRNA Sequencing" Microorganisms 13, no. 2: 448. https://doi.org/10.3390/microorganisms13020448
APA StyleWang, W., Ma, S., Wang, D., Xu, L., Zhang, M., Yan, M., Ma, K., Hu, Z., Shang, Y., Wei, J., & Huang, X. (2025). The Effects of Milk and Posterior Intestinal Microorganisms on the Lactation Performance of Dual-Purpose Cattle (Bos taurus) Revealed by 16S rRNA Sequencing. Microorganisms, 13(2), 448. https://doi.org/10.3390/microorganisms13020448
