Ten-Year Antimicrobial Resistance Trend in Uropathogenic Escherichia coli (UPEC) Isolated from Dogs and Cats Admitted to a Veterinary Teaching Hospital in Italy
Abstract
1. Introduction
2. Materials and Methods
2.1. Study Design
2.2. Sample Collection and Bacteriological Procedures
2.3. Antimicrobial Susceptibility Testing
2.4. Data Analysis
3. Results
3.1. Antimicrobial Resistance to Antibacterial Classes
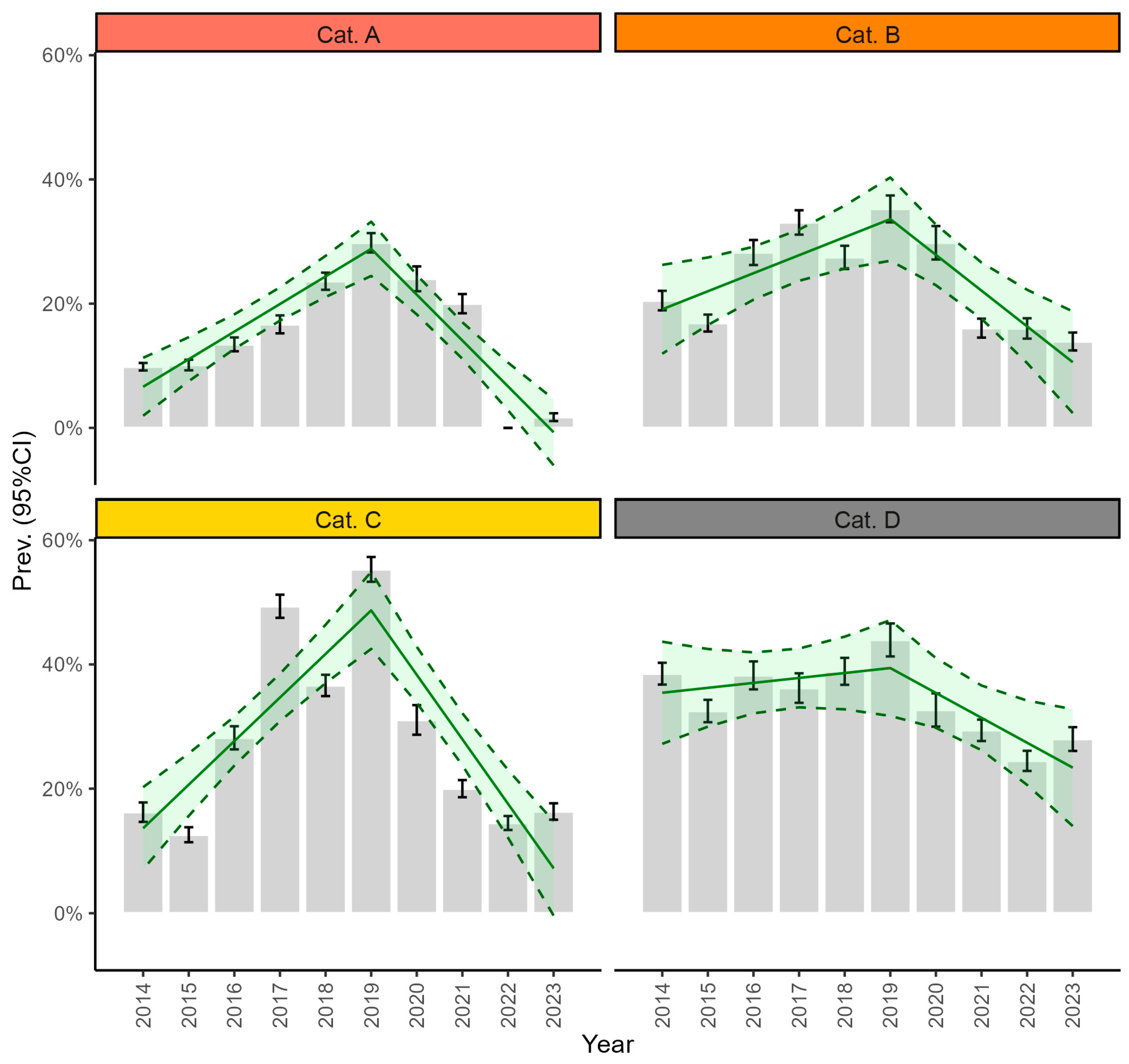
3.2. Antimicrobial Resistance to EMA Categories
4. Discussion
5. Conclusions
Supplementary Materials
Author Contributions
Funding
Data Availability Statement
Acknowledgments
Conflicts of Interest
References
- Aurich, S.; Wolf, S.A.; Prenger-Berninghoff, E.; Thrukonda, L.; Semmler, T.; Ewers, C. Genotypic Characterization of Uropathogenic Escherichia coli from Companion Animals: Predominance of ST372 in Dogs and Human-Related ST73 in Cats. Antibiotics 2023, 13, 38. [Google Scholar] [CrossRef] [PubMed]
- Litster, A.; Moss, S.M.; Honnery, M.; Rees, B.; Trott, D.J. Prevalence of bacterial species in cats with clinical signs of lower urinary tract disease: Recognition of Staphylococcus felis as a possible feline urinary tract pathogen. Vet. Microbiol. 2007, 121, 182–188. [Google Scholar] [CrossRef] [PubMed]
- Lund, H.S.; Skogtun, G.; Sørum, H.; Eggertsdóttir, A.V. Antimicrobial susceptibility in bacterial isolates from Norwegian cats with lower urinary tract disease. J. Feline Med. Surg. 2015, 17, 507–515. [Google Scholar] [CrossRef]
- Smoglica, C.; Evangelisti, G.; Fani, C.; Marsilio, F.; Trotta, M.; Messina, F.; Di Francesco, C.E. Antimicrobial Resistance Profile of Bacterial Isolates from Urinary Tract Infections in Companion Animals in Central Italy. Antibiotics 2022, 11, 1363. [Google Scholar] [CrossRef] [PubMed]
- Hansen-Jones, C.L.; Hill, K.E.; Cogger, N. Feline urinary tract pathogens in western Canada: Prevalence of bacterial species and antimicrobial resistance from 2012 to 2018. Can. Vet. J. 2023, 64, 558–564. [Google Scholar]
- Hernando, E.; Vila, A.; D’Ippolito, P.; Rico, A.J.; Rodon, J.; Roura, X. Prevalence and Characterization of Urinary Tract Infection in Owned Dogs and Cats from Spain. Top Companion Anim. Med. 2021, 43, 100512. [Google Scholar] [CrossRef]
- Fonseca, J.D.; Mavrides, D.E.; Graham, P.A.; McHugh, T.D. Results of urinary bacterial cultures and antibiotic susceptibility testing of dogs and cats in the UK. J. Small Anim. Pract. 2021, 62, 1085–1091. [Google Scholar] [CrossRef]
- Sroithongkham, P.; Nittayasut, N.; Yindee, J.; Nimsamer, P.; Payungporn, S.; Pinpimai, K.; Ponglowhapan, S.; Chanchaithong, P. Multidrug-resistant Escherichia coli causing canine pyometra and urinary tract infections are genetically related but distinct from those causing prostatic abscesses. Sci. Rep. 2024, 14, 11848. [Google Scholar] [CrossRef]
- Passmore, C.A.; Sherington, J.; Stegemann, M.R. Efficacy and safety of cefovecin (Convenia) for the treatment of urinary tract infections in dogs. J. Small Anim. Pract. 2007, 48, 139–144. [Google Scholar] [CrossRef]
- Gerber, B.; Boretti, F.S.; Kley, S.; Laluha, P.; Müller, C.; Sieber, N.; Unterer, S.; Wenger, M.; Flückiger, M.; Glaus, T.; et al. Evaluation of clinical signs and causes of lower urinary tract disease in European cats. J. Small Anim. Pract. 2005, 46, 571–577. [Google Scholar] [CrossRef]
- Kruger, J.M.; Osborne, C.A.; Goyal, S.M.; Wickstrom, S.L.; Johnston, G.R.; Fletcher, T.F.; Brown, P.A. Clinical evaluation of cats with lower urinary tract disease. JAVMA 1991, 199, 211–216. [Google Scholar] [CrossRef] [PubMed]
- Buffington, C.A.; Chew, D.J.; Kendall, M.S.; Scrivani, P.V.; Thompson, S.B.; Blaisdell, J.L.; Woodworth, B.E. Clinical evaluation of cats with nonobstructive urinary tract diseases. JAVMA 1997, 210, 46–50. [Google Scholar] [CrossRef] [PubMed]
- Nam, E.H.; Ko, S.; Chae, J.S.; Hwang, C.Y. Characterization and zoonotic potential of uropathogenic Escherichia coli isolated from dogs. J. Microbiol. Biotechnol. 2013, 23, 422–429. [Google Scholar] [CrossRef] [PubMed]
- Chen, Y.M.; Wright, P.J.; Lee, C.S.; Browning, G.F. Uropathogenic virulence factors in isolates of Escherichia coli from clinical cases of canine pyometra and feces of healthy bitches. Vet. Microbiol. 2003, 94, 57–69. [Google Scholar] [CrossRef]
- Flores-Mireles, A.L.; Walker, J.N.; Caparon, M.; Hultgren, S.J. Urinary tract infections: Epidemiology, mechanisms of infection and treatment options. Nat. Rev. Microbiol. 2015, 13, 269–284. [Google Scholar] [CrossRef]
- Weese, J.S.; Blondeau, J.; Boothe, D.; Guardabassi, L.G.; Gumley, N.; Papich, M.; Jessen, L.R.; Lappin, M.; Rankin, S.; Westropp, J.L.; et al. International Society for Companion Animal Infectious Diseases (ISCAID) guidelines for the diagnosis and management of bacterial urinary tract infections in dogs and cats. Vet. J. 2019, 247, 8–25. [Google Scholar] [CrossRef]
- Teichmann-Knorrn, S.; Reese, S.; Wolf, G.; Hartmann, K.; Dorsch, R. Prevalence of feline urinary tract pathogens and antimicrobial resistance over five years. Vet. Rec. 2018, 183, 21. [Google Scholar] [CrossRef]
- Boothe, D.; Smaha, T.; Carpenter, D.M.; Shaheen, B.; Hatchcock, T. Antimicrobial resistance and pharmacodynamics of canine and feline pathogenic E. coli in the United States. J. Am. Anim. Hosp. Assoc. 2012, 48, 379–389. [Google Scholar] [CrossRef]
- Chang, S.K.; Lo, D.Y.; Wei, H.W.; Kuo, H.C. Antimicrobial resistance of Escherichia coli isolates from canine urinary tract infections. J. Vet. Med. Sci. 2015, 77, 59–65. [Google Scholar] [CrossRef][Green Version]
- European Medicines Agency (EMA); Committee for Medicinal Products for Veterinary use (CVMP); Committee for Medicinal Products for Human Use (CHMP). Categorisation of Antibiotics in the European Union. European Medicines Agency, 2020, EMA/CVMP/CHMP/682198/2017. Available online: https://www.ema.europa.eu/en/documents/report/categorisation-antibiotics-european-union-answer-request-european-commission-updating-scientific_en.pdf (accessed on 24 July 2024).
- Ministero della Salute. Piano Nazionale di Contrasto dell’Antimicrobico-Resistenza (PNCAR) 2017–2020. 10th November 2017. Available online: https://www.salute.gov.it/imgs/C_17_pubblicazioni_2660_allegato.pdf (accessed on 24 July 2024).
- Ministero della Salute. Piano Nazionale di Contrasto all’Antibiotico-Resistenza (PNCAR) 2022–2025. 2022. Available online: https://www.salute.gov.it/imgs/C_17_pubblicazioni_3294_allegato.pdf (accessed on 24 July 2024).
- Ministero della Salute. Relazione Sulla Resistenza agli Antimicrobici dei Batteri Zoonotici e Commensali Negli Animali Destinati alla Produzione di Alimenti e Nelle Carni Derivate 2014–2021. 15th January 2024. Available online: https://www.salute.gov.it/portale/news/p3_2_1_1_1.jsp?lingua=italiano&menu=notizie&p=dalministero&id=6459 (accessed on 24 July 2024).
- O’Neill, L.; Manzanilla, E.G.; Ekhlas, D.; Leonard, F.C. Antimicrobial Resistance in Commensal Escherichia coli of the Porcine Gastrointestinal Tract. Antibiotics 2023, 12, 1616. [Google Scholar] [CrossRef]
- Scarpellini, R.; Assirelli, G.; Giunti, M.; Esposito, E.; Mondo, E.; Piva, S. Monitoring the Prevalence of Antimicrobial Resistance in Companion Animals: Results from Clinical Isolates in an Italian University Veterinary Hospital. Transbound. Emerg. Dis. 2023, 2023, 6695493. [Google Scholar] [CrossRef]
- Vercelli, C.; Della Ricca, M.; Re, M.; Gambino, G.; Re, G. Antibiotic Stewardship for Canine and Feline Acute Urinary Tract Infection: An Observational Study in a Small Animal Hospital in Northwest Italy. Antibiotics 2021, 10, 562. [Google Scholar] [CrossRef] [PubMed]
- De la Maza, L.; Pezzlo, M.T.; Shigei, J.T.; Peterson, E.M. Escherichia, Shigella and Salmonella. In Color Atlas of Medical Bacteriology, 1st ed.; ASM Press, Ed.; Piccin Nuova Libraria s.p.a.: Padova, Italy, 2006; pp. 92–98. [Google Scholar]
- Clinical and Laboratory Standard Institute (CLSI). Performance Standard for Antimicrobial Disk and Dilution Susceptibility Tests for Bacteria Isolated from Animals; Approved Standard 3rd ed.; CLSI document M31-A3; Clinical and Laboratory Standard Institute: Wayne, PA, USA, 2008. [Google Scholar]
- Clinical and Laboratory Standard Institute (CLSI). Performance Standard for Antimicrobial Disk and Dilution Susceptibility Tests for Bacteria Isolated from Animals, 4th ed.; CLSI Supplement VET08; Clinical and Laboratory Standard Institute: Wayne, PA, USA, 2018. [Google Scholar]
- Clinical and Laboratory Standard Institute (CLSI). Performance Standard for Antimicrobial Susceptibility Testing, 27th ed.; CLSI Supplement M100; Clinical and Laboratory Standard Institute: Wayne, PA, USA, 2017. [Google Scholar]
- European Committee on Antimicrobial Susceptibility Testing (EUCAST). In Proceedings of the 3rd Consultation on Modifying the Definitions of S, I and R and Introducing the Area of Technical Uncertainty, General Consultation, 23 February–10 April 2018.
- David, W.; Hosmer, D.W.; Lemeshow, S. The Multiple Logistic Regression Model. In Applied Logistic Regression, 1st ed.; John Wiley & Sons, Inc., Ed.; John Wiley & Sons Inc.: Hoboken, NJ, USA, 2000; pp. 35–47. [Google Scholar]
- R Core Team. R: A Language and Environment for Statistical Computing. R Foundation for Statistical Computing, Vienna, Austria. 2023. Available online: https://www.R-project.org/ (accessed on 17 April 2024).
- McMeekin, C.H.; Hill, K.E.; Gibson, I.R.; Bridges, J.P.; Benschop, J. Antimicrobial resistance patterns of bacteria isolated from canine urinary samples submitted to a New Zealand veterinary diagnostic laboratory between 2005–2012. New Zealand Vet. J. 2017, 65, 99–104. [Google Scholar] [CrossRef] [PubMed]
- Wong, C.; Epstein, S.E.; Westropp, J.L. Antimicrobial Susceptibility Patterns in Urinary Tract Infections in Dogs (2010–2013). J. Vet. Intern. Med. 2015, 29, 1045–1052. [Google Scholar] [CrossRef] [PubMed]
- Cooke, C.L.; Singer, R.S.; Jang, S.S.; Hirsh, D.C. Enrofloxacin resistance in Escherichia coli isolated from dogs with urinary tract infections. J. Am. Vet. Med. Assoc. 2002, 220, 190–192. [Google Scholar] [CrossRef]
- Hall, J.L.; Holmes, M.A.; Baines, S.J. Prevalence and antimicrobial resistance of canine urinary tract pathogens. Vet. Rec. 2013, 173, 549. [Google Scholar] [CrossRef]
- Ball, K.R.; Rubin, J.E.; Chirino-Trejo, M.; Dowling, P.M. Antimicrobial resistance and prevalence of canine uropathogens at the Western College of Veterinary Medicine Veterinary Teaching Hospital, 2002–2007. Can. Vet. J. 2008, 49, 985–990. [Google Scholar]
- Italian Medicines Agency. The Medicines Utilisation Monitoring Centre; National Report on Antibiotics Use: Rome, Italy, 2022. [Google Scholar]
- European Centre for Disease Prevention and Control (ECDC); European Food Safety Authority (EFSA); European Medicines Agency (EMA). Antimicrobial consumption and resistance in bacteria from humans and food-producing animals. EFSA J. 2024, 22, e8589. [Google Scholar] [CrossRef]
- European Commission. Guidelines for the Prudent Use of Antimicrobials in Veterinary Medicine. Off. J. Eur. Union 2015, 2015/C, 299/04. Available online: https://health.ec.europa.eu/document/download/190841e8-5975-4390-a304-908c259592ab_en?filename=2015_prudent_use_guidelines_en.pdf (accessed on 17 April 2024).
- European Commission. A European One Health Action Plan against Antimicrobial Resistance (AMR). 2017. Available online: https://health.ec.europa.eu/document/download/353f40d1-f114-4c41-9755-c7e3f1da5378_en?filename=amr_2017_action-plan.pdf (accessed on 17 April 2024).
- Decreto Legislativo 6 aprile 2006, n. 193. Attuazione della direttiva 2004/28/CE recante codice comunitario dei medicinali veterinari. Gazz. Uff. 2006, 121, G602034.
- Ministero della Salute. Modalità applicative delle disposizioni in materia di tracciabilità dei medicinali veterinari e dei mangimi medicati. Gazz. Uff. 2019, 89, 19A02527. [Google Scholar]
- Decreto Legislativo 7 dicembre 2023, n. 218. Adeguamento della normativa nazionale alle disposizioni del regolamento (UE) 2019/6 del Parlamento europeo e del Consiglio dell’11 dicembre 2018 relativo ai medicinali veterinari e che abroga la direttiva 2001/82/CE, ai sensi dell’articolo 17 della legge 4 agosto 2022, n. 127. Gazz. Uff. 2024, 2, 23G00225.



| Class | Inflection | ORprec (95%CI) | ORsucc (95%CI) |
|---|---|---|---|
| Aminoglycosides | 2019 | 1.37 (1.17–1.62) | 0.45 (0.31–0.63) |
| Aminopenicillins w/out inhibitors | 2017 | 1.22 (0.95–1.57) | 0.77 (0.55–1.08) |
| Aminopenicillins with inhibitors | 2020 | 1.40 (1.22–1.62) | 0.42 (0.28–0.62) |
| Amphenicols | No | 0.93 (0.66–1.39) | - |
| Carbapenems | No | 0.93 (0.70–1.20) | - |
| 1st and 2nd gen. Cephalosporins | 2019 | 1.46 (1.23–1.76) | 0.32 (0.22–0.48) |
| 3rd and 4th gen. Cephalosporins | 2020 | 1.27 (1.11–1.46) | 0.38 (0.24–0.58) |
| Nitrofuranics | No | 0.97 (0.82–1.16) | - |
| Quinolones | 2017 | 1.28 (0.98–1.67) | 0.68 (0.47–0.96) |
| Sulphonamides and folate-reductase inhibitors | No | 0.95 (0.87–1.03) | - |
| Tetracyclines | No | 0.52 (0.39–0.63) | - |
| EMA Category | Inflection | Coeffprec (95%CI) | Coeffsucc (95%CI) |
|---|---|---|---|
| A | 2019 | 4.4% (3.0–5.9%) | −11.8% (−14.9–8.8%) |
| B | 2019 | 2.9% (0.6–5.2%) | −8.7% (−13.4–4.0%) |
| C | 2019 | 7.0% (4.9–9.1%) | −17.4% (−21.7–13.0%) |
| D | 2019 | 0.8% (−1.8–3.4%) | −4.8% (−10.2–0.6%) |
Disclaimer/Publisher’s Note: The statements, opinions and data contained in all publications are solely those of the individual author(s) and contributor(s) and not of MDPI and/or the editor(s). MDPI and/or the editor(s) disclaim responsibility for any injury to people or property resulting from any ideas, methods, instructions or products referred to in the content. |
© 2024 by the authors. Licensee MDPI, Basel, Switzerland. This article is an open access article distributed under the terms and conditions of the Creative Commons Attribution (CC BY) license (https://creativecommons.org/licenses/by/4.0/).
Share and Cite
Bellato, A.; Robino, P.; Stella, M.C.; Scalas, D.; Savarino, P.; Zanatta, R.; Re, G.; Nebbia, P. Ten-Year Antimicrobial Resistance Trend in Uropathogenic Escherichia coli (UPEC) Isolated from Dogs and Cats Admitted to a Veterinary Teaching Hospital in Italy. Microorganisms 2024, 12, 2175. https://doi.org/10.3390/microorganisms12112175
Bellato A, Robino P, Stella MC, Scalas D, Savarino P, Zanatta R, Re G, Nebbia P. Ten-Year Antimicrobial Resistance Trend in Uropathogenic Escherichia coli (UPEC) Isolated from Dogs and Cats Admitted to a Veterinary Teaching Hospital in Italy. Microorganisms. 2024; 12(11):2175. https://doi.org/10.3390/microorganisms12112175
Chicago/Turabian StyleBellato, Alessandro, Patrizia Robino, Maria Cristina Stella, Daniela Scalas, Paolo Savarino, Renato Zanatta, Giovanni Re, and Patrizia Nebbia. 2024. "Ten-Year Antimicrobial Resistance Trend in Uropathogenic Escherichia coli (UPEC) Isolated from Dogs and Cats Admitted to a Veterinary Teaching Hospital in Italy" Microorganisms 12, no. 11: 2175. https://doi.org/10.3390/microorganisms12112175
APA StyleBellato, A., Robino, P., Stella, M. C., Scalas, D., Savarino, P., Zanatta, R., Re, G., & Nebbia, P. (2024). Ten-Year Antimicrobial Resistance Trend in Uropathogenic Escherichia coli (UPEC) Isolated from Dogs and Cats Admitted to a Veterinary Teaching Hospital in Italy. Microorganisms, 12(11), 2175. https://doi.org/10.3390/microorganisms12112175

