Fault Diagnosis in Robot Drive Systems Using Data-Driven Dynamics Learning
Abstract
1. Introduction
2. Methodology
2.1. Robot Dynamics and MLP-Based Learning
2.2. SHAP-Based Attribution Analysis
2.3. Fault Classification Framework
3. Experimental Setup
3.1. Robot Platform and Fault Conditions
- Motor brake fault: A degradation in the braking mechanism, resulting in increased dynamic friction and resistance during commanded motions. This fault typically manifests as higher torque demand and irregular stopping performance. The nominal performance of the brake is specified as follows: a static friction torque of at least 8.0 Nm, an input power of 12.8 W at 20 °C, and a rotational inertia of kg·m2. Brake faults can manifest electrically through anomalies in the release or pull-in voltages. In the present experiments, only the fully engaged (severe) fault state was tested. Degradation mechanisms include a reduction in spring tension, defects in the coil (electromagnet), or insufficient power margin, all of which can compromise braking performance.
- Reducer fault: A speed-reducer (gearbox) anomaly caused by wear and manufacturing-induced denting in the RV-type reducer of the third joint. This fault leads to symptoms such as audible abnormal noise, increased vibration, and nonlinear transmission errors. Most of the problems were caused by improper grease application, resulting in grease mixed with iron particles and hardened deposits.
- Electrical fault: In addition to mechanical faults such as motor brake issues, reducer or gear failures, electrical problems can also degrade robotic performance. These include short-circuits or open-circuits in the wiring harness, poor quality of factory-supplied utilities (e.g., phase imbalance, voltage sags/swells), motor demagnetization, internal coil defects, or PCB-level faults induced by electrostatic discharge. While such electrical issues are addressed in other studies [7,8,16] and are not directly treated in the present work, they ultimately cause abnormal current or voltage patterns that affect robot performance.
3.2. Data Acquisition
3.3. Dataset Composition
3.4. Implementation Details
4. Results and Discussion
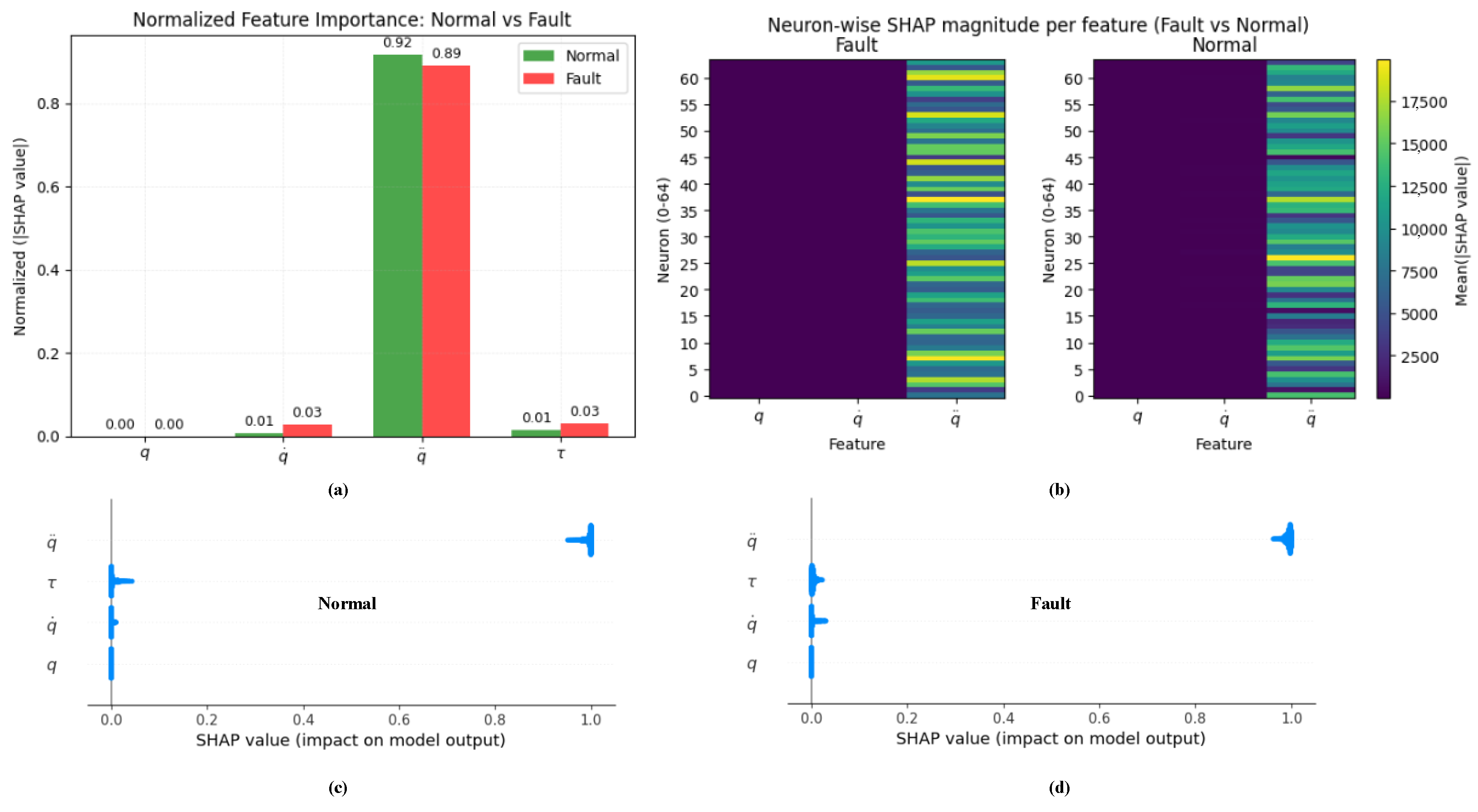
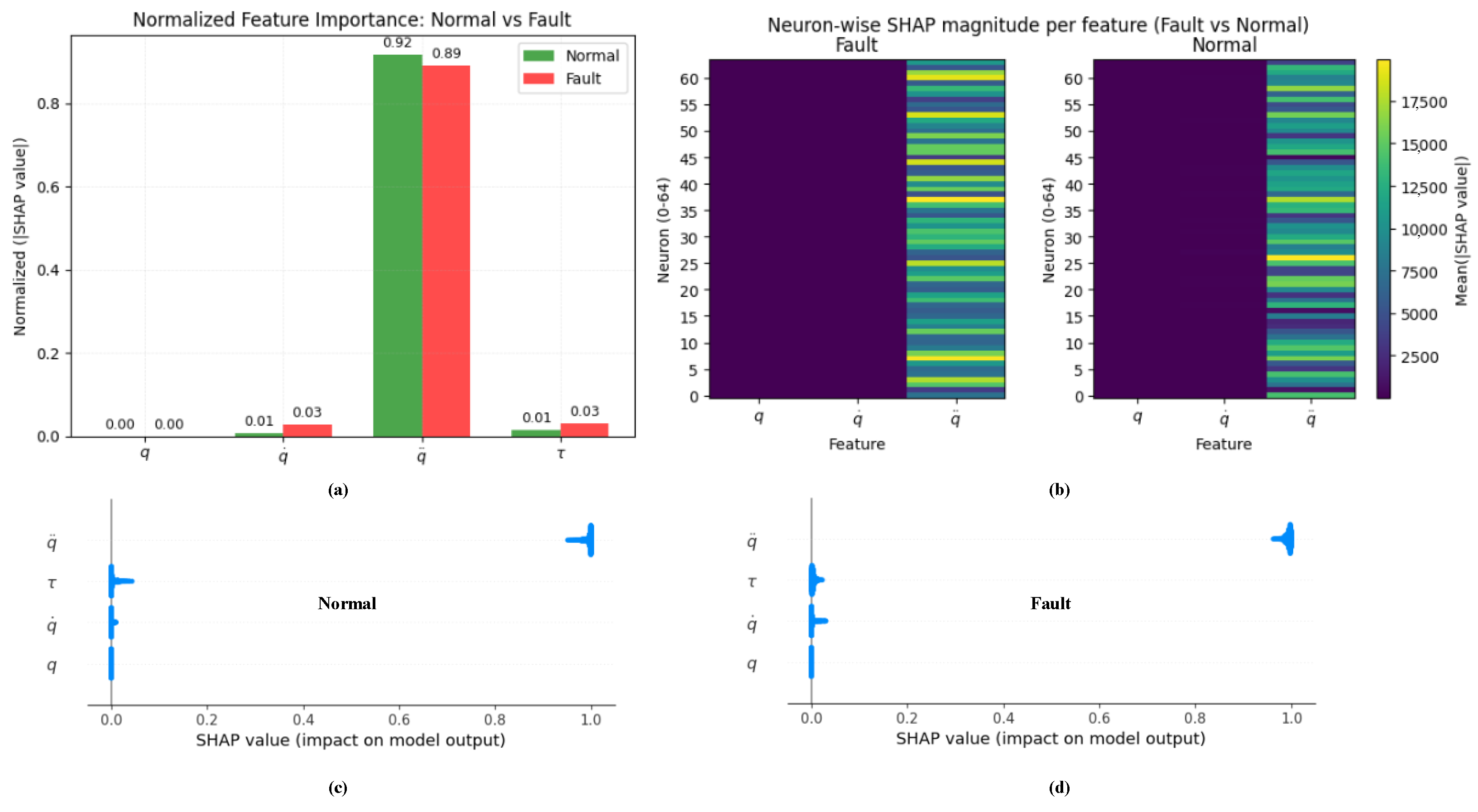
4.1. MLP-Based Dynamics Modeling for Feature Attribution
4.2. Fault Classification Performance
4.3. Limitations
5. Conclusions
Funding
Institutional Review Board Statement
Informed Consent Statement
Data Availability Statement
Conflicts of Interest
Nomenclature
| Symbol | Description | Unit |
| q | Joint position vector | rad |
| Joint velocity vector | rad/s | |
| Joint acceleration vector | rad/s2 | |
| Joint torque | Nm | |
| Inertia matrix | kg·m2 | |
| Coriolis/centrifugal matrix | Nm | |
| Gravity torque vector | Nm | |
| Friction torque | Nm | |
| Torque estimation error | Nm | |
| Joint angle (encoder reading) | rad | |
| Sensor error/noise at time t | unit depends on sensor | |
| SHAP feature contribution for feature i | - | |
| SHAP vector for all features | - | |
| MLP model output function | - | |
| L | Loss function used for training | - |
References
- Shi, G.; Nigatu, H.; Wang, Z.; Huang, Y. DNN-Augmented Kinematically Decoupled Three-DoF Origami Parallel Robot for High-Precision Heave and Tilt Control. Actuators 2025, 14, 291. [Google Scholar] [CrossRef]
- Jia, L.; Chen, K.; Liao, Z.; Qiu, A.; Cao, M. Adaptive Robust Impedance Control of Grinding Robots Based on an RBFNN and the Exponential Reaching Law. Actuators 2025, 14, 393. [Google Scholar] [CrossRef]
- Lu, C.; Gao, R.; Yin, L.; Zhang, B. Human–robot collaborative scheduling in energy-efficient welding shop. IEEE Trans. Ind. Inform. 2023, 20, 963–971. [Google Scholar] [CrossRef]
- Liu, Z.; Cheng, S.; Su, Y.; Duan, G.; Tan, J. Semantic Segmentation Based Spraying Trajectory Planning for Complex Product. IEEE Trans. Ind. Inform. 2024, 20, 9416–9426. [Google Scholar] [CrossRef]
- Deng, X.; Liu, J.; Gong, H.; Gong, H.; Huang, J. A human–robot collaboration method using a pose estimation network for robot learning of assembly manipulation trajectories from demonstration videos. IEEE Trans. Ind. Inform. 2022, 19, 7160–7168. [Google Scholar] [CrossRef]
- Cao, B.; Yu, J.; Zhang, Y.; Liu, P.; Zhang, Y.; Sun, H.; Jin, P.; Lin, J.; Wang, L. A Novel Kinematic Calibration Method for Industrial Robots Based on the Improved Grey Wolf Optimization Algorithm. Actuators 2025, 14, 403. [Google Scholar] [CrossRef]
- Kim, H.; Jeong, H.; Lee, H.; Kim, S.W. Online and offline diagnosis of motor power cables based on 1d cnn and periodic burst signal injection. Sensors 2021, 21, 5936. [Google Scholar] [CrossRef]
- Kim, H.; Lee, H.; Kim, S.; Kim, S.W. Attention recurrent neural network-based severity estimation method for early-stage fault diagnosis in robot harness cable. Sensors 2023, 23, 5299. [Google Scholar] [CrossRef]
- Sabry, A.H.; Nordin, F.H.; Sabry, A.H.; Ab Kadir, M.Z.A. Fault detection and diagnosis of industrial robot based on power consumption modeling. IEEE Trans. Ind. Electron. 2019, 67, 7929–7940. [Google Scholar] [CrossRef]
- Buhari, M.; Levi, V.; Awadallah, S.K. Modelling of ageing distribution cable for replacement planning. IEEE Trans. Power Syst. 2015, 31, 3996–4004. [Google Scholar] [CrossRef]
- Shirkoohi, G. Modelling of fault detection in electrical wiring. IET Sci. Meas. Technol. 2015, 9, 211–217. [Google Scholar] [CrossRef]
- Lundquist, E.J.; Nagel, J.R.; Wu, S.; Jones, B.; Furse, C. Advanced forward methods for complex wire fault modeling. IEEE Sens. J. 2012, 13, 1172–1179. [Google Scholar] [CrossRef]
- Kim, H. Robot dynamics-based cable fault diagnosis using stacked transformer encoder layers. Electr. Eng. 2024, 107, 3697–3708. [Google Scholar] [CrossRef]
- He, Y.; Chen, J.; Zhou, X.; Huang, S. In-situ fault diagnosis for the harmonic reducer of industrial robots via multi-scale mixed convolutional neural networks. J. Manuf. Syst. 2023, 66, 233–247. [Google Scholar] [CrossRef]
- Chen, C.; Liu, C.; Wang, T.; Zhang, A.; Wu, W.; Cheng, L. Compound fault diagnosis for industrial robots based on dual-transformer networks. J. Manuf. Syst. 2023, 66, 163–178. [Google Scholar] [CrossRef]
- Kim, H.; Lee, H.; Kim, S.W. Current only-based fault diagnosis method for industrial robot control cables. Sensors 2022, 22, 1917. [Google Scholar] [CrossRef]
- Zhao, R.; Yan, R.; Wang, J.; Mao, K.; Shen, P.; Wang, X. Deep learning and its applications to machine health monitoring: A survey. Mech. Syst. Signal Process. 2019, 115, 213–237. [Google Scholar] [CrossRef]
- Liu, J.; Borja, P.; Della Santina, C. Physics-informed neural networks to model and control robots: A theoretical and experimental investigation. Adv. Intell. Syst. 2024, 6, 2300385. [Google Scholar] [CrossRef]
- Meng, C.; Griesemer, S.; Cao, D.; Seo, S.; Liu, Y. When physics meets machine learning: A survey of physics-informed machine learning. Mach. Learn. Comput. Sci. Eng. 2025, 1, 20. [Google Scholar] [CrossRef]
- Guc, F.; Chen, Y. Sensor fault diagnostics using physics-informed transfer learning framework. Sensors 2022, 22, 2913. [Google Scholar] [CrossRef]
- Uhrich, B.; Pfeifer, N.; Schäfer, M.; Theile, O.; Rahm, E. Physics-informed deep learning to quantify anomalies for real-time fault mitigation in 3D printing. Appl. Intell. 2024, 54, 4736–4755. [Google Scholar] [CrossRef]
- Ni, R.; Qureshi, A.H. Progressive learning for physics-informed neural motion planning. arXiv 2023, arXiv:2306.00616. [Google Scholar] [CrossRef]
- Qi, X.; Wang, S.; Fang, C.; Jia, J.; Lin, L.; Yuan, T. Machine learning and SHAP value interpretation for predicting comorbidity of cardiovascular disease and cancer with dietary antioxidants. Redox Biol. 2025, 79, 103470. [Google Scholar] [CrossRef]
- Gawde, S.; Patil, S.; Kumar, S.; Kamat, P.; Kotecha, K.; Alfarhood, S. Explainable predictive maintenance of rotating machines using lime, shap, pdp, ice. IEEE Access 2024, 12, 29345–29361. [Google Scholar] [CrossRef]
- Lin, K.; Gao, Y. Model interpretability of financial fraud detection by group SHAP. Expert Syst. Appl. 2022, 210, 118354. [Google Scholar] [CrossRef]
- Lundberg, S.M.; Lee, S.I. A Unified Approach to Interpreting Model Predictions. In Proceedings of the Advances in Neural Information Processing Systems (NeurIPS), Long Beach, CA, USA, 4–9 December 2017; Volume 30. [Google Scholar]
- Jang, K.; Pilario, K.E.S.; Lee, N.; Moon, I.; Na, J. Explainable artificial intelligence for fault diagnosis of industrial processes. IEEE Trans. Ind. Inform. 2023, 21, 4–11. [Google Scholar] [CrossRef]
- Jeon, J.E.; Hong, S.J.; Han, S.S. Utilization of Machine Learning and Explainable Artificial Intelligence (XAI) for Fault Prediction and Diagnosis in Wafer Transfer Robot. Electronics 2024, 13, 4471. [Google Scholar] [CrossRef]
- Zereen, A.N.; Das, A.; Uddin, J. Machine Fault Diagnosis Using Audio Sensors Data and Explainable AI Techniques-LIME and SHAP. Comput. Mater. Contin. 2024, 80, 3463–3484. [Google Scholar] [CrossRef]
- Brusa, E.; Cibrario, L.; Delprete, C.; Di Maggio, L.G. Explainable AI for machine fault diagnosis: Understanding features’ contribution in machine learning models for industrial condition monitoring. Appl. Sci. 2023, 13, 2038. [Google Scholar] [CrossRef]
- Dahl, P.R. A Solid Friction Model; Technical Report; PubGenius Inc.: Milpitas, CA, USA, 1968. [Google Scholar]
- Karnopp, D. Computer simulation of stick-slip friction in mechanical dynamic systems. J. Dyn. Syst. Meas. Control. 1985, 107, 100–103. [Google Scholar] [CrossRef]
- Haessig, D.A., Jr.; Friedland, B. On the modeling and simulation of friction. In Proceedings of the 1990 American Control Conference, San Diego, CA, USA, 23–25 May 1991. [Google Scholar]
- Corke, P.I. A simple and systematic approach to assigning Denavit–Hartenberg parameters. IEEE Trans. Robot. 2007, 23, 590–594. [Google Scholar] [CrossRef]








| Category | Test Env. | Type | Application | Cap./Payload | Samples |
|---|---|---|---|---|---|
| Brake Faults | Test Rig 1 | Brake Fault | Joint 4–6 | 2.0 kW | 12,324 |
| Test Rig 2 | Brake Fault | Joint 1–3 | 4.3 kW | 7135 | |
| Test Rig 3 | Brake Fault | Joint 1–3 | 4.3 kW | 7135 | |
| Test Rig 4 | Normal | Joint 4–6 | 2.0 kW | 11,084 | |
| Test Rig 5 | Normal | Joint 4–6 | 2.0 kW | 8799 | |
| Test Rig 6 | Normal | Joint 1–3 | 4.3 kW | 7135 | |
| Test Rig 7 | Normal | Joint 1–3 | 4.3 kW | 7140 | |
| Reducer Faults | Process 1, 2, 3, 4 | Normal | Spot welding | 165 kg | 4665 |
| Process 5, 6, 7, 8 | Reducer Fault | Spot welding | 165 kg | 5236 | |
| Process 9 | Normal | Spot welding | 165 kg | 892 | |
| Process 10, 11 | Reducer Fault | Spot welding | 165 kg | 2519 | |
| Process 12, 13 | Normal | Spot welding | 165 kg | 1893 | |
| Process 14 | Reducer Fault | Spot welding | 200 kg | 1426 | |
| Process 15 | Reducer Fault | Spot welding | 165 kg | 1053 | |
| Total | 78,436 | ||||
| Item | Specification |
|---|---|
| MLP #1 | |
| Input | State (, , ) per joint |
| Hidden layers | 2 fully connected layers: [64, 64] neurons |
| Activation function | tanh for hidden layers; linear for output |
| Batch size | 256 samples per minibatch |
| Optimizer | Adam |
| Learning rate | |
| Loss function | Mean squared error (MSE) |
| Number of epochs | 1000 (max training iterations) |
| Early stopping | Patience = 20 epochs (validation loss) |
| Random seed | Fixed (seed = 42) |
| MLP #2 | |
| Input | SHAP-based feature vector per joint |
| Hidden layers | 2 fully connected layers: [64, 32] neurons |
| Activation functions | ReLU for hidden layers; Sigmoid for output |
| Output dimension | 1 (binary: normal/fault) |
| Loss function | Binary cross-entropy (BCE) |
| Optimizer | Adam |
| Learning rate | |
| Batch size | Full-batch (entire dataset) |
| Number of epochs | 10,000 |
| Early stopping | Not applied |
| Random seed | Fixed (seed = 42) |
| Sample | Torque MSE (Nm2) | RMSE (Nm) | Comp. Time per Samples (s) |
|---|---|---|---|
| 1 | 7.009 | 8.37 | 6.353 |
| 2 | 4.151 | 6.44 | 5.634 |
| 3 | 6.742 | 8.21 | 6.316 |
| 4 | 4.121 | 6.42 | 6.760 |
| 5 | 2.834 | 1.68 | 9.300 |
| 6 | 2.342 | 4.84 | 6.303 |
| 7 | 3.889 | 1.97 | 7.115 |
| 8 | 3.492 | 0.59 | 1.338 |
| 9 | 2.101 | 0.46 | 7.952 |
| 10 | 7.922 | 0.89 | 5.648 |
| 11 | 2.274 | 1.51 | 7.915 |
| 12 | 4.251 | 6.52 | 8.365 |
| 13 | 5.815 | 7.63 | 1.359 |
| 14 | 1.002 | 10.01 | 1.311 |
| 15 | 1.056 | 1.03 | 7.753 |
| 16 | 4.016 | 0.20 | 9.753 |
| 17 | 1.755 | 0.42 | 1.310 |
| 18 | 2.523 | 0.50 | 1.532 |
| 19 | 2.481 | 1.57 | 1.293 |
| 20 | 1.674 | 4.09 | 7.754 |
| 21 | 2.623 | 1.62 | 5.650 |
| 22 | 4.498 | 0.67 | 7.234 |
| Model | Accuracy | AUC | Training Time [s] | Inference Time [s] |
|---|---|---|---|---|
| Random Forest | 0.973 ± 0.002 | 0.998 ± 0.000 | 6.224 ± 0.088 | 0.117 ± 0.008 |
| MLP | 0.925 ± 0.002 | 0.986 ± 0.001 | 2.082 ± 0.047 | 0.001 ± 0.001 |
| SVM | 0.922 ± 0.002 | 0.983 ± 0.001 | 145.582 ± 1.788 | 12.334 ± 0.115 |
| Logistic Regression | 0.893 ± 0.003 | 0.938 ± 0.002 | 0.028 ± 0.001 | 0.001 ± 0.001 |
| Model | Accuracy | AUC | Training Time (s) | Inference Time [s] |
|---|---|---|---|---|
| Random Forest | 1.000 ± 0.000 | 1.000 ± 0.000 | 4.180 ± 0.082 | ± |
| MLP | 0.998 ± 0.003 | 0.998 ± 0.005 | 1.048 ± 0.016 | ± |
| SVM | 0.677 ± 0.016 | 0.785 ± 0.021 | 8.350 ± 0.162 | ± |
| Logistic Regression | 0.499 ± 0.023 | 0.532 ± 0.011 | 1.580 ± 0.025 | ± |
Disclaimer/Publisher’s Note: The statements, opinions and data contained in all publications are solely those of the individual author(s) and contributor(s) and not of MDPI and/or the editor(s). MDPI and/or the editor(s) disclaim responsibility for any injury to people or property resulting from any ideas, methods, instructions or products referred to in the content. |
© 2025 by the author. Licensee MDPI, Basel, Switzerland. This article is an open access article distributed under the terms and conditions of the Creative Commons Attribution (CC BY) license (https://creativecommons.org/licenses/by/4.0/).
Share and Cite
Kim, H. Fault Diagnosis in Robot Drive Systems Using Data-Driven Dynamics Learning. Actuators 2025, 14, 583. https://doi.org/10.3390/act14120583
Kim H. Fault Diagnosis in Robot Drive Systems Using Data-Driven Dynamics Learning. Actuators. 2025; 14(12):583. https://doi.org/10.3390/act14120583
Chicago/Turabian StyleKim, Heonkook. 2025. "Fault Diagnosis in Robot Drive Systems Using Data-Driven Dynamics Learning" Actuators 14, no. 12: 583. https://doi.org/10.3390/act14120583
APA StyleKim, H. (2025). Fault Diagnosis in Robot Drive Systems Using Data-Driven Dynamics Learning. Actuators, 14(12), 583. https://doi.org/10.3390/act14120583

