An Adaptive Command Scaling Method for Incremental Flight Control Allocation
Abstract
1. Introduction
2. Preliminaries
2.1. Incremental Nonlinear Dynamic Inversion Control
2.2. EVTOL Example
2.3. Incremental Control Set and Moment Set
3. Adaptive Command Scaling Law
3.1. Adaption Mechanism


3.2. Algorithm Design
| Algorithm 1. Adaptive Scalar Command Scaling (single control tick) | ||
| Require: (raw command), (achieved by the allocator), [0,1] | ||
| (current gain), , , controller sample time , (optional) reset threshold | ||
| (0,1), tiny positive tolerance (e.g., 1 × 10−10) | ||
| Ensure: Updated [0,1] | ||
| 1: | ||
| 2: | {scaled residual} | |
| 3: | ||
| 4: | ||
| 5: | ||
| 6: | {project to [0,1]} | |
| 7: | {unscaled residual for reset} | |
| 8: | ||
| 9: | if then | |
| 10: | {reset when raw command is feasible} | |
| 11: | end if | |
| 12: | return K | |
4. Closed-Loop Stability
4.1. Virtual Output Under Uncertainty and Allocation Error
- (1)
- The estimated control effectiveness matrix may differ from the true effectiveness .
- (2)
- The current virtual control is measured or estimated with errorwhere is the true virtual control at the linearization point and is its estimate.
4.2. Stability of Tracking Error Dynamics
4.3. Effects of Uncertainty and Allocation Error
- Current virtual control error : This term captures uncertainty or noise in the measurement or estimation of the current virtual control. In many INDI applications, is derived from high-pass or complementary filters, so this term is typically bounded.
- Linearization/model error : This term arises from the first-order Taylor expansion of the input–output map over one sampling interval. For sufficiently small sampling time and moderate state variations, is small and bounded.
- Control-effectiveness error : This term represents a mismatch between the true control effectiveness and its estimate. Ref. [23] has proved that this term is bounded when the sampling frequency is sufficiently high and has a diagonally dominant structure.
- The focus of this paper is the allocation error term , which arises from input limits and the choice of control allocator. Unlike the other three residuals, can become large when the raw incremental command lies near or outside the incremental admissible control set. The proposed adaptive command scaling law acts precisely on this term. When the raw command is infeasible, K reduces the effective command magnitude so that the allocator operates in a valid region, thereby reducing the magnitude and direction errors between and . This scaling tightens the ISS bound.
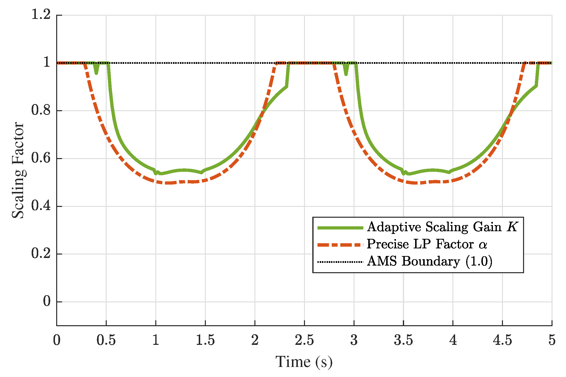
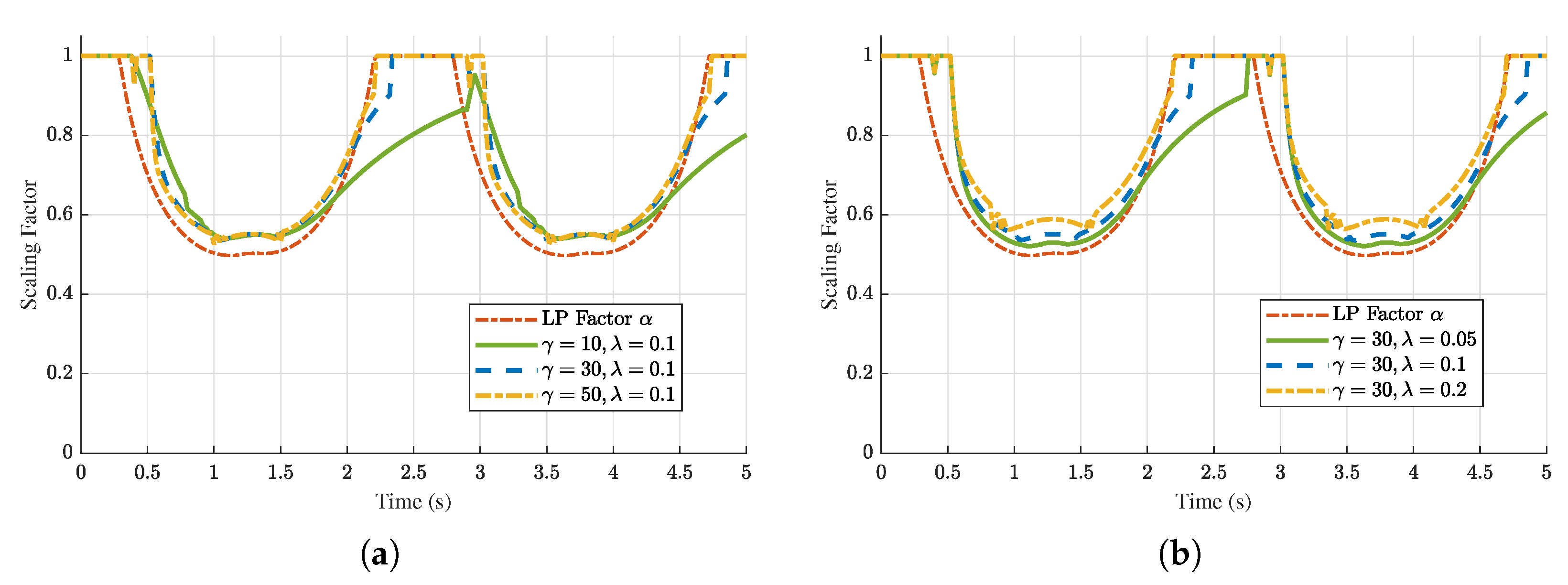
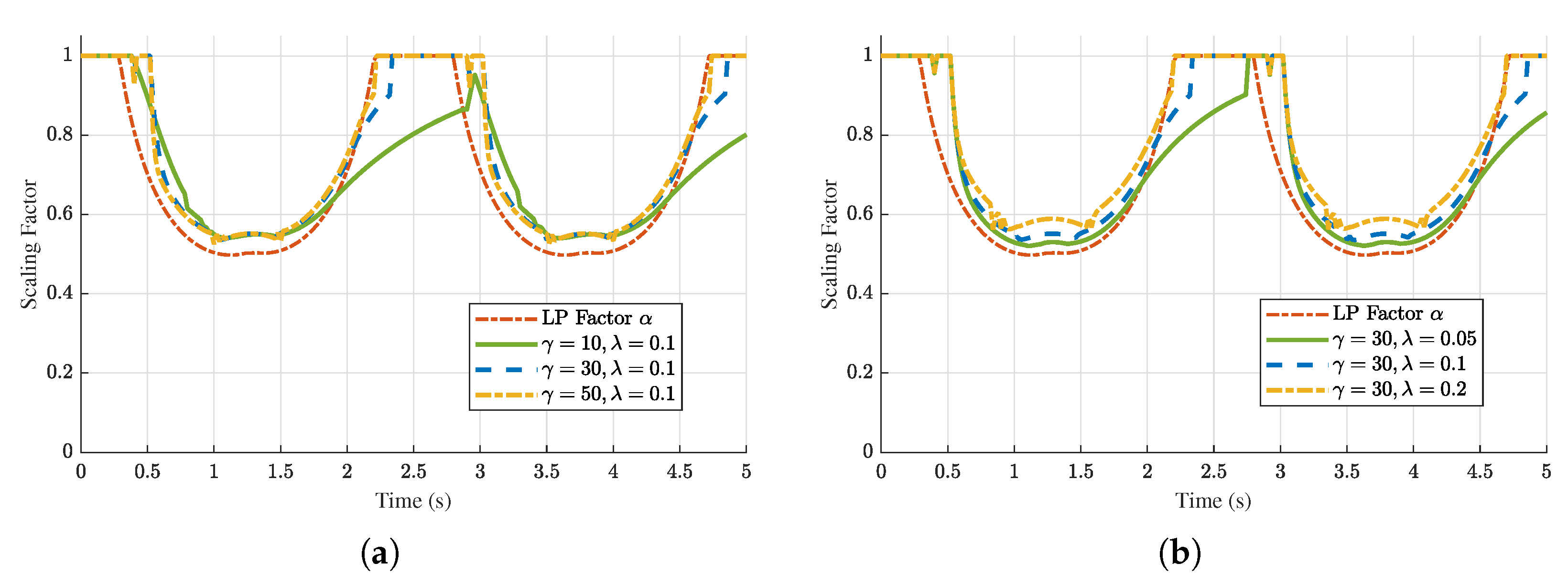
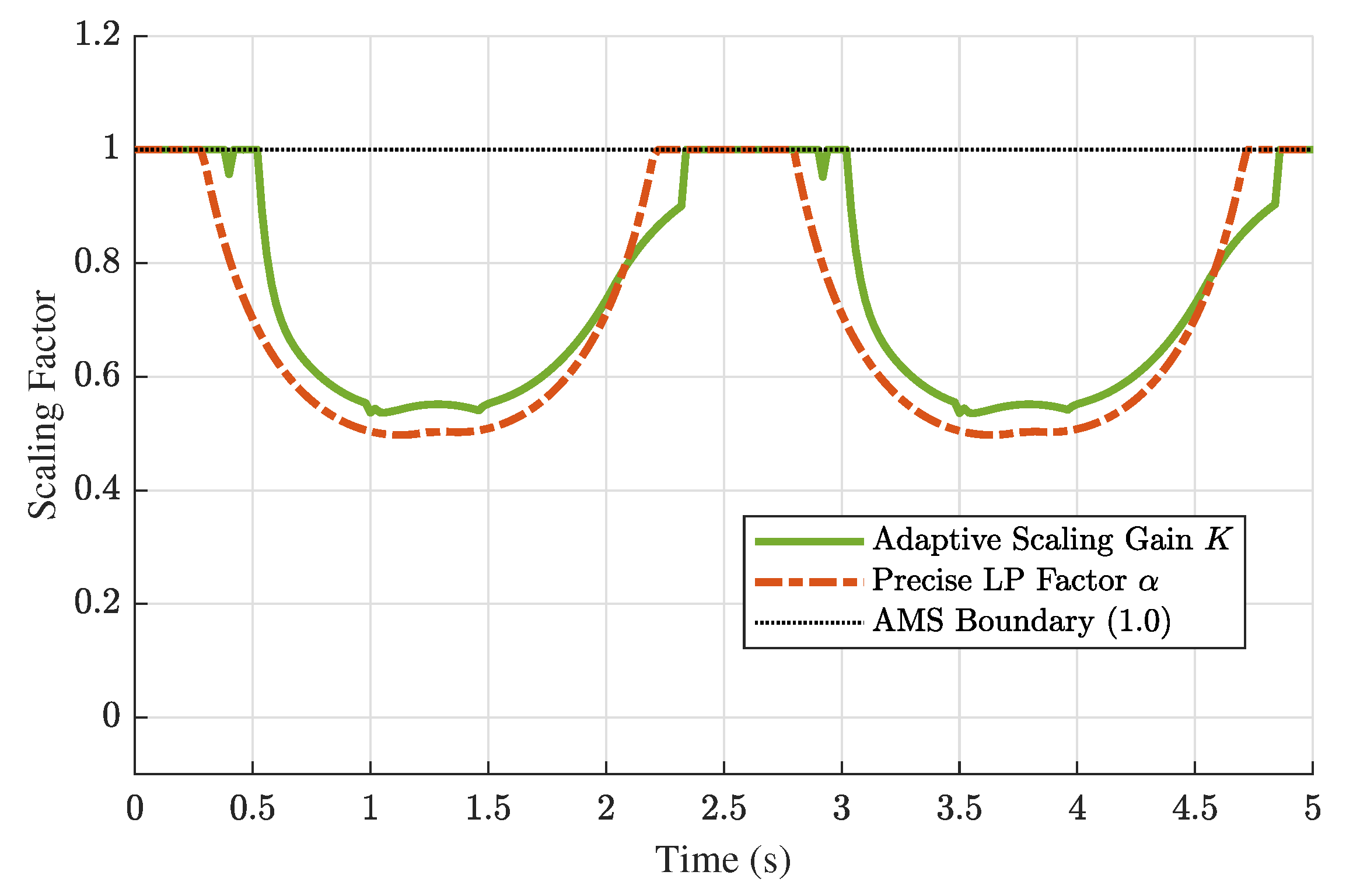
5. Command Scaling Performance
5.1. Allocation Task Setup
5.2. Performance Comparison
6. Closed-Loop INDI Flight Simulation
6.1. INDI Controller Setup
6.2. Tracking Scenario and Results
7. Discussion
7.1. Simulation Results Discussion
7.2. Modular Design
7.3. Time-Varying Control Effectiveness
8. Conclusions
Author Contributions
Funding
Institutional Review Board Statement
Informed Consent Statement
Data Availability Statement
Conflicts of Interest
References
- Durham, W.; Bordignon, K.A.; Beck, R. Aircraft Control Allocation; John Wiley & Sons: Chichester, UK, 2017. [Google Scholar]
- Wang, X.; Van Kampen, E.J.; Chu, Q.; Lu, P. Stability analysis for incremental nonlinear dynamic inversion control. J. Guid. Control. Dyn. 2019, 42, 1116–1129. [Google Scholar] [CrossRef]
- Bordignon, K.; Bessolo, J. Control allocation for the X-35B. In Proceedings of the 2002 Biennial International Powered Lift Conference and Exhibit, Williamsburg, VA, USA, 5–7 November 2002; p. 6020. [Google Scholar] [CrossRef]
- Harris, J.J. F-35 flight control law design, development and verification. In Proceedings of the 2018 Aviation Technology, Integration, and Operations Conference, Atlanta, GA, USA, 25–29 June 2018; p. 3516. [Google Scholar] [CrossRef]
- Rupprecht, T.A.; Steinert, A.; Kotitschke, C.; Holzapfel, F. Indi control law structure for a medevac evtol and its reference models: Feedforward, physical limitations, and innerloop dynamics for optimal tracking. In Proceedings of the AIAA Aviation Forum and Ascend 2024, Las Vegas, NV, USA, 29 July–2 August 2024; p. 4425. [Google Scholar] [CrossRef]
- Johansen, T.A.; Fossen, T.I. Control allocation—A survey. Automatica 2013, 49, 1087–1103. [Google Scholar] [CrossRef]
- Blaha, T.M.; Smeur, E.J.J.; Remes, B.D.W. A survey of optimal control allocation for aerial vehicle control. Actuators 2023, 12, 282. [Google Scholar] [CrossRef]
- Raab, S.; Steinert, A.; Hafner, S.; Holzapfel, F. Toward efficient calculation of inverses in control allocation for safety-critical applications. J. Guid. Control. Dyn. 2024, 47, 2316–2332. [Google Scholar] [CrossRef]
- Acheson, M.J.; Gregory, I.M. Modified cascading generalized inverse control allocation. In Proceedings of the AIAA SCITECH 2023 Forum, National Harbor, MD, USA, 23–27 January 2023; p. 2542. [Google Scholar] [CrossRef]
- Durham, W.C. Constrained control allocation. J. Guid. Control. Dyn. 1993, 16, 717–725. [Google Scholar] [CrossRef]
- Bolender, M.A.; Doman, D.B. Method for determination of nonlinear attainable moment sets. J. Guid. Control. Dyn. 2004, 27, 907–914. [Google Scholar] [CrossRef]
- Orr, J.; Wall, J. Linear approximation to optimal control allocation for rocket nozzles with elliptical constraints. In Proceedings of the AIAA Guidance, Navigation, and Control Conference, Portland, OR, USA, 8–11 August 2011; p. 6500. [Google Scholar] [CrossRef]
- Johnson, E.N.; Calise, A.J. Pseudo-control hedging: A new method for adaptive control. In Proceedings of the Advances in Navigation Guidance and Control Technology Workshop, Redstone Arsenal, AL, USA, 1–2 November 2000; pp. 1–2. [Google Scholar]
- Zhang, J.; Holzapfel, F. Saturation Protection with Pseudo Control Hedging: A Control Allocation Perspective. In Proceedings of the AIAA Scitech 2021 Forum, Virtual, 19–21 January 2021; p. 0370. [Google Scholar] [CrossRef]
- Lu, Z.; Holzapfel, F. Stability and performance analysis for SISO incremental flight control. arXiv 2020, arXiv:2012.00129. [Google Scholar] [CrossRef]
- MathWorks. Pinv—Moore-Penrose Pseudoinverse. 2025. Available online: https://ww2.mathworks.cn/help/matlab/ref/pinv.html (accessed on 20 November 2025).
- Zhang, J.; Lu, Z.; Holzapfel, F. Null-Space Control Allocation for Generalized Load Reduction in eVTOL Aircraft. Aerosp. Syst. 2025; under review. [Google Scholar]
- Simmons, B.M.; Buning, P.G.; Murphy, P.C. Full-envelope aero-propulsive model identification for lift+cruise aircraft using computational experiments. In Proceedings of the AIAA Aviation 2021 Forum, Virtual, 2–6 August 2021; p. 3170. [Google Scholar] [CrossRef]
- Acheson, M.J. Generic Urban Air Mobility. 2024. Available online: https://github.com/nasa/Generic-Urban-Air-Mobility-GUAM (accessed on 1 October 2025).
- Lombaerts, T.; Kaneshige, J.; Schuet, S.; Hardy, G.; Aponso, B.L.; Shish, K.H. Nonlinear dynamic inversion based attitude control for a hovering quad tiltrotor eVTOL vehicle. In Proceedings of the AIAA Scitech 2019 Forum, San Diego, CA, USA, 7–11 January 2019; p. 0134. [Google Scholar] [CrossRef]
- Niemiec, R.; Gandhi, F.; Lopez, M.; Tischler, M. System identification and handling qualities predictions of an eVTOL urban air mobility aircraft using modern flight control methods. In Proceedings of the Vertical Flight Society 76th Annual Forum, Virtual, 5–8 October 2020. [Google Scholar]
- MathWorks. Simulink. 2025. Available online: https://www.mathworks.com/products/simulink.html (accessed on 21 November 2025).
- Wang, X.; Kampen, E.J.v.; Chu, Q.; Lu, P. Incremental sliding-mode fault-tolerant flight control. J. Guid. Control. Dyn. 2019, 42, 244–259. [Google Scholar] [CrossRef]
- Mitrinović, D.S. Analytic Inequalities; Young’s inequality; Springer: New York, NY, USA, 1970; pp. 48–50. [Google Scholar]
- Sontag, E.D.; Wang, Y. On characterizations of the input-to-state stability property. Syst. Control Lett. 1995, 24, 351–359. [Google Scholar] [CrossRef]
- Raab, S.A.; Zhang, J.; Bhardwaj, P.; Holzapfel, F. Consideration of control effector dynamics and saturations in an extended INDI approach. In Proceedings of the AIAA Aviation 2019 Forum, Dallas, TX, USA, 17–21 June 2019; p. 3267. [Google Scholar] [CrossRef]















| Property | Value | Unit |
|---|---|---|
| Total mass | 2563 | |
| Wing area | 17.28 | |
| Wing span | 14.48 | |
| Maximum speed | 167 | |
| Minimum speed | 10 | |
| Maximum acceleration | 100 | |
| Rotor time constant | 0.0796 |
| Nominal | 2.11 | 3.05 | 4.21 | 2.38 | 2.52 | 3.98 | 3.00 | 2.92 |
| Adaptive | 1.76 | 2.82 | 3.83 | 2.03 | 2.25 | 3.61 | 2.85 | 2.25 |
Disclaimer/Publisher’s Note: The statements, opinions and data contained in all publications are solely those of the individual author(s) and contributor(s) and not of MDPI and/or the editor(s). MDPI and/or the editor(s) disclaim responsibility for any injury to people or property resulting from any ideas, methods, instructions or products referred to in the content. |
© 2025 by the authors. Licensee MDPI, Basel, Switzerland. This article is an open access article distributed under the terms and conditions of the Creative Commons Attribution (CC BY) license (https://creativecommons.org/licenses/by/4.0/).
Share and Cite
Lu, Z.; Zhang, J.; Li, H.; Holzapfel, F. An Adaptive Command Scaling Method for Incremental Flight Control Allocation. Actuators 2025, 14, 579. https://doi.org/10.3390/act14120579
Lu Z, Zhang J, Li H, Holzapfel F. An Adaptive Command Scaling Method for Incremental Flight Control Allocation. Actuators. 2025; 14(12):579. https://doi.org/10.3390/act14120579
Chicago/Turabian StyleLu, Zhidong, Jiannan Zhang, Hangxu Li, and Florian Holzapfel. 2025. "An Adaptive Command Scaling Method for Incremental Flight Control Allocation" Actuators 14, no. 12: 579. https://doi.org/10.3390/act14120579
APA StyleLu, Z., Zhang, J., Li, H., & Holzapfel, F. (2025). An Adaptive Command Scaling Method for Incremental Flight Control Allocation. Actuators, 14(12), 579. https://doi.org/10.3390/act14120579

