Next Issue
Volume 14, December
Previous Issue
Volume 14, October
 
 

Actuators, Volume 14, Issue 11 (November 2025) – 56 articles

  • Issues are regarded as officially published after their release is announced to the table of contents alert mailing list.
  • You may sign up for e-mail alerts to receive table of contents of newly released issues.
  • PDF is the official format for papers published in both, html and pdf forms. To view the papers in pdf format, click on the "PDF Full-text" link, and use the free Adobe Reader to open them.
Cover Story (view full-size image):
Order results
Result details
Section
Select all
Export citation of selected articles as:
18 pages, 2084 KB  
Article
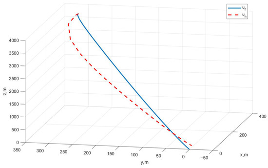
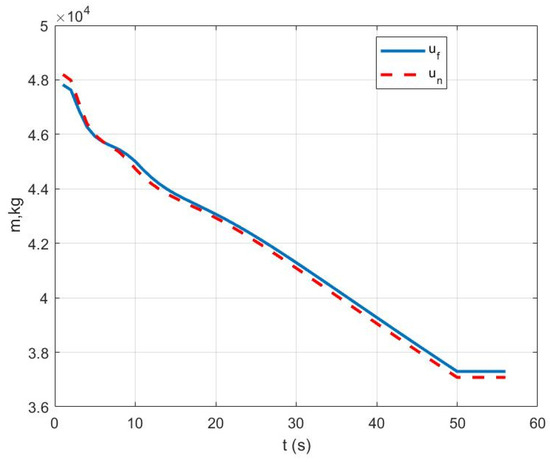
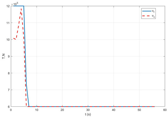
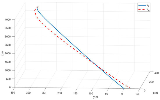
Fault-Tolerant Controller Design for Reusable Launch Vehicle
by Jian Xu, Chenguang Guo, Yuewen Wang, Yong Xiao and Xiaoxiang Hu
Actuators 2025, 14(11), 565; https://doi.org/10.3390/act14110565 - 19 Nov 2025
Viewed by 268
Abstract
A fault-tolerant controller design for reusable launch vehicles (RLVs) is discussed in this paper. The control precision of RLVs is very important, since it must be ensured that an RLV’s speed reaches zero while flying to the target point. More seriously, the rocket’s [...] Read more.
A fault-tolerant controller design for reusable launch vehicles (RLVs) is discussed in this paper. The control precision of RLVs is very important, since it must be ensured that an RLV’s speed reaches zero while flying to the target point. More seriously, the rocket’s thrust system may suffer from faults, so the fault-tolerant control of RLVs is very important. The landing dynamic model of RLVs is very complex, and the thrust is coupled with time-varying states, which make the controller design of RLVs very difficult. Based on the specific control requirements of rocket landing, the control design problem is first transformed into a normal model in this paper. Then, considering potential thrust faults, an optimal fault-tolerant controller is designed using reinforcement learning. Considering sensor faults and actuator faults, this paper presents the corresponding fault-tolerant controller design method. Considering that the analytical problem of the proposed fault-tolerant controller is difficult to solve, this paper presents an approximation method for the analytical solution based on a neural network. The simulation results demonstrate that the proposed controller ensures the safe and stable landing of the rocket in both nominal and fault scenarios. Full article
(This article belongs to the Section Aerospace Actuators)
Show Figures

Figure 1

29 pages, 3696 KB  
Article
Design of a Novel Shipborne Parallel Stabilization Platform and Control Strategy Based on Improved LADRC
by Yu Wang, Hongbin Qiang, Shaopeng Kang, Kailei Liu, Jing Yang, Hanbin Wang and Xiangyang Tian
Actuators 2025, 14(11), 564; https://doi.org/10.3390/act14110564 - 19 Nov 2025
Viewed by 363
Abstract
To enhance the precision, load capacity, disturbance rejection, and reliability of shipborne parallel stabilization platforms under complex sea conditions, this paper proposes a redundant, actuated, parasitic-motion-free 3-DOF 3RRS-RUS parallel stabilization platform. Based on the proposed 3RRS-RUS shipborne parallel stabilization platform, a Linear Active [...] Read more.
To enhance the precision, load capacity, disturbance rejection, and reliability of shipborne parallel stabilization platforms under complex sea conditions, this paper proposes a redundant, actuated, parasitic-motion-free 3-DOF 3RRS-RUS parallel stabilization platform. Based on the proposed 3RRS-RUS shipborne parallel stabilization platform, a Linear Active Disturbance Rejection Control (LADRC) approach, integrated with a Sliding Mode Disturbance Observer (SMDO), is developed. First, the mechanism is synthesized using screw theory, and its 2R1T 3-DOF characteristics are verified through parasitic motion analysis. Second, the inverse kinematics model is established. Third, the conventional LADRC is decoupled, and a new Linear Extended State Observer (LESO) together with its corresponding control law is designed. Moreover, an SMDO is incorporated into the motor’s three-loop control scheme to alleviate the estimation burden on the LESO and enhance the system’s disturbance rejection capability. Finally, experimental validations were carried out on both the CSPACE and SimMechanics platforms. The results demonstrate that the proposed SMDO–LADRC achieves superior tracking performance, high robustness, and strong disturbance rejection capability, The tracking errors along the RX, RY, and Z axes were reduced by 6.5%, 1.1%, and 16.6%, respectively, compared with the conventional LADRC, while also confirming the feasibility of the newly designed 3-DOF 3RRS-RUS shipborne parallel stabilization platform. Full article
(This article belongs to the Special Issue Design and Control of Parallel Robotics)
Show Figures

Figure 1

10 pages, 2772 KB  
Article
Media-Free and Contactless Micro-Positioning System Using Ultrasonic Levitation and Magnetic Actuators
by Berend Denkena, Jörg Wallaschek, Henning Buhl, Jens Twiefel, Chenglong Ding and Zijian Chen
Actuators 2025, 14(11), 563; https://doi.org/10.3390/act14110563 - 19 Nov 2025
Viewed by 343
Abstract
In micro-production technology (MPT), the demand for ultra-precise machine tools has been steadily increasing. Conventional guideway systems, such as hydrostatic or aerostatic bearings, often face limitations in terms of compactness, media supply, and susceptibility to external disturbances, which restrict their applicability in next-generation [...] Read more.
In micro-production technology (MPT), the demand for ultra-precise machine tools has been steadily increasing. Conventional guideway systems, such as hydrostatic or aerostatic bearings, often face limitations in terms of compactness, media supply, and susceptibility to external disturbances, which restrict their applicability in next-generation precision manufacturing. In order to address these challenges, this paper presents a novel media-free, contactless, and active three-degree-of-freedom (DOF) planar positioning (guiding) system that integrates ultrasonic actuators with electromagnetic actuators. The hybrid concept combines the high load capacity and self-stabilization of double-acting ultrasonic actuators and pronounced controllability of the electromagnetic actuators. A prototype system was developed and experimentally validated. Ultrasonic actuators successfully established a stable levitation state, while electromagnetic actuators provided fine adjustment of the levitation height in the micrometer range. Load tests demonstrated that the system maintained stable levitation under an external load of 30 N. These results confirm the feasibility of the proposed approach for robust and precise positioning. The developed hybrid system therefore represents the potential for next-generation precise manufacturing machines in MPT, offering high accuracy and robustness against external disturbances. Full article
(This article belongs to the Special Issue Advances in Piezoelectric Actuators and Materials)
Show Figures

Figure 1

14 pages, 2213 KB  
Article
Wrench Model with Rotation Angles for Magnetically Levitated Actuators
by Haoxuan Xiao, Kunwei Guo and Xiao Ling
Actuators 2025, 14(11), 562; https://doi.org/10.3390/act14110562 - 18 Nov 2025
Viewed by 327
Abstract
Magnetic levitation actuators (MLAs) are frequently employed in photolithography, precise positioning and transportation. The actuator, which consists of racetrack coils and one-dimensional 3 Halbach arrays, has the capacity to calculate the wrench model in real time. However, the high computational demands of the [...] Read more.
Magnetic levitation actuators (MLAs) are frequently employed in photolithography, precise positioning and transportation. The actuator, which consists of racetrack coils and one-dimensional 3 Halbach arrays, has the capacity to calculate the wrench model in real time. However, the high computational demands of the high-dimensional wrench model will result in a prolonged control cycle. Based on a levitation plane composed of three groups of magnetic levitation actuators, this paper proposes a wrench model considering six dimensions to calculate the output current required by the actuator in real time. This method simplifies the expression form of the formula and directly calculates the expression of the current conversion matrix, thereby enabling the system’s computing speed to reach 3 KHz. The system’s step response and trajectory-tracking performance were simulated and compared under the models with and without angular consideration. It has been demonstrated that when rotation angles are incorporated into the magnetic levitation plane, the wrench model considering angles achieves better performance than the wrench model without rotation angles. Full article
(This article belongs to the Special Issue Actuators in Magnetic Levitation Technology and Vibration Control)
Show Figures

Figure 1

23 pages, 4289 KB  
Article
The Structural Design and Pressure Characteristics Analysis of a Magnetic Fluid Sealing Device with Dual Magnetic Sources
by Jie Qing, Zhenggui Li, Chuanshi Cheng, Changrong Shen and Lin Cai
Actuators 2025, 14(11), 561; https://doi.org/10.3390/act14110561 - 18 Nov 2025
Viewed by 385
Abstract
The magnetic fluid seal (MFS) is a novel sealing technique that offers numerous benefits such as non-wear, long life, zero leakage, etc. There are numerous potential applications for it in the fields of energy and chemical industry, aerospace, machinery and electricity, etc. However, [...] Read more.
The magnetic fluid seal (MFS) is a novel sealing technique that offers numerous benefits such as non-wear, long life, zero leakage, etc. There are numerous potential applications for it in the fields of energy and chemical industry, aerospace, machinery and electricity, etc. However, compared with a mechanical seal, the pressure of MFS is relatively low, which greatly limits its application promotion. Therefore, in this paper, a magnetic fluid sealing device with a dual magnetic source (present MFS) is firstly designed to improve the sealing pressure. Secondly, the effects of different sealing gaps, pole tooth heights, pole tooth angles and pole tooth eccentricity distances on the sealing pressure are investigated through numerical simulations to obtain the better combination of structural parameters for sealing performance. Finally, a test rig was built to confirm the reliability of the new device, and the results show that the new device’s sealing pressure is significantly higher than the conventional MFS’ at the same rate of rotation, with a maximum increase of 1.69 times and 1.71 times in sealing gas and liquid, respectively. This paper provides a reference for the improvement of sealing pressure of MFS in engineering applications. Full article
(This article belongs to the Section Actuator Materials)
Show Figures

Figure 1

17 pages, 3253 KB  
Article
Improved Static Model for Pneumatic Artificial Muscle Based on Virtual Work and Bladder Radial Deformation Work Losses
by Miha Pipan, Mihael Debevec and Niko Herakovič
Actuators 2025, 14(11), 560; https://doi.org/10.3390/act14110560 - 15 Nov 2025
Viewed by 310
Abstract
Existing pneumatic artificial muscle (PAM) static geometrical models based on the principle of virtual work provide only approximate force predictions since they neglect the effects of volume change and radial bladder deformation work loss. In this study, we propose an improved geometrical static [...] Read more.
Existing pneumatic artificial muscle (PAM) static geometrical models based on the principle of virtual work provide only approximate force predictions since they neglect the effects of volume change and radial bladder deformation work loss. In this study, we propose an improved geometrical static model called the Accurate Volume and Bladder Deformation Loss (AVBDL) model. This model introduces a physically consistent calculation of muscle volume at different contractions and pressures and incorporates a new way of describing work losses due to radial deformation of the bladder. The hyperelastic properties of the bladder were experimentally characterized and modeled using the Mooney–Rivlin formulation. The AVBDL model was validated against experimental data from four types of pneumatic muscles and compared with three established analytical models. Results show that the AVBDL model significantly improves force prediction accuracy, achieving a normalized root mean square (NRMS) error of 6.7–16.4%, compared to 20–68% for existing models. Due to its analytical transparency, reduced error, and broad applicability, the AVBDL model provides a robust basis for accurate simulation and control of pneumatic artificial muscles. Full article
(This article belongs to the Section Actuator Materials)
Show Figures

Figure 1

20 pages, 5569 KB  
Article
Investigation of Acoustic Agglomeration of Solid Particles in a Chamber with Three Overlapping Ultrasonic Acoustic Fields
by Andrius Čeponis, Darius Vainorius, Kristina Kilikevičienė and Artūras Kilikevičius
Actuators 2025, 14(11), 559; https://doi.org/10.3390/act14110559 - 14 Nov 2025
Viewed by 360
Abstract
This paper presents numerical and experimental investigations of acoustic agglomeration of solid particles in a chamber with three overlapping ultrasonic fields. The simultaneous generation of these fields produces an interference pattern with a greater number of pressure nodes, more evenly distributed across the [...] Read more.
This paper presents numerical and experimental investigations of acoustic agglomeration of solid particles in a chamber with three overlapping ultrasonic fields. The simultaneous generation of these fields produces an interference pattern with a greater number of pressure nodes, more evenly distributed across the chamber cross section. The chamber design is based on three piezoelectric transducers equipped with disc-shaped acoustic radiators and a cylindrical body. The transducers are evenly positioned around the cylinder’s horizontal axis of symmetry. Numerical simulations of their acoustic characteristics showed that, at a resonance frequency of 49.71 kHz and with a 125 Vp-p excitation, the system can generate up to 146 dB sound pressure level. The predicted interference field pattern indicated a high density of alternating pressure nodes across the chamber. Experimental results confirmed that, at a resonance frequency of 48.85 kHz and with the same excitation signal, the sound pressure in the chamber reached 144.8 dB. Particle agglomeration tests demonstrated effective performance: ultrafine particles in the 191–294 nm range decreased by 31.2%, while particles in the 0.75–1 µm range increased by up to 52.9%. These findings confirm the strong potential of interference acoustic fields for enhancing particle agglomeration and supporting air purification applications. Full article
(This article belongs to the Special Issue Advances in Piezoelectric Actuators and Materials)
Show Figures

Figure 1

18 pages, 5574 KB  
Article
Adaptive Dynamic Event-Triggered Sliding Mode Tracking Control of Pneumatic Vibration Isolation System
by Haoming Zou, Zizhen An, Mingcong Deng and Guoshan Zhang
Actuators 2025, 14(11), 558; https://doi.org/10.3390/act14110558 - 13 Nov 2025
Viewed by 423
Abstract
In this paper, an adaptive dynamic event-triggered sliding mode control scheme is proposed for a pneumatic vibration isolation platform. First, an experimental platform is designed and constructed, and a corresponding dynamic model is established, which explicitly accounts for the unknown threshold voltage at [...] Read more.
In this paper, an adaptive dynamic event-triggered sliding mode control scheme is proposed for a pneumatic vibration isolation platform. First, an experimental platform is designed and constructed, and a corresponding dynamic model is established, which explicitly accounts for the unknown threshold voltage at the input side. Based on this model, an adaptive sliding mode controller is developed. Then, to suppress unnecessary actuator updates, a dynamic event-triggered mechanism is introduced. Lyapunov-based analysis demonstrates the stability of the closed-loop system and guarantees the exclusion of Zeno behavior. Finally, experimental results on the pneumatic platform verify the effectiveness and superiority of the proposed approach. Full article
Show Figures

Figure 1

22 pages, 23699 KB  
Article
Design and Pressure Optimized Control of an Electro-Hydraulic Servo Leveling System with Moment Compensation for Silver Sintering Packaging Equipment
by Jiafei Chang, Hao Lin, Wei Gao, Lijuan Chen, Huimeng Cui, Yongshuai Xu and Chao Ai
Actuators 2025, 14(11), 557; https://doi.org/10.3390/act14110557 - 13 Nov 2025
Viewed by 286
Abstract
The simultaneous sintering of chips with different specifications generates differential auxiliary sintering pressures, which create eccentric loads on the substrate. These loads disrupt the horizontal alignment of the chip-loading mold and adversely affect sintering quality. To overcome the challenge, an electro-hydraulic servo leveling [...] Read more.
The simultaneous sintering of chips with different specifications generates differential auxiliary sintering pressures, which create eccentric loads on the substrate. These loads disrupt the horizontal alignment of the chip-loading mold and adversely affect sintering quality. To overcome the challenge, an electro-hydraulic servo leveling system featuring active moment compensation is developed, incorporating high-precision pressure control to counteract the influence of eccentric loading. The system design is guided by static analysis to identify the eccentric load distribution, resulting in an optimized mechanical configuration. A feedforward-based Nussbaum gain backstepping adaptive controller is proposed to compensate for multiple nonlinear disturbances, including time-varying hydraulic parameters and external loads, while a feedforward strategy is integrated to improve the dynamic response of the pressure control loop. The effectiveness of the moment compensation leveling system and control algorithm has been validated through simulations and physical experiments on silver sintering equipment. The results show that the baseline deviation of the lower mold platform is reduced by 95%, achieving micron-level precision (≤5 μm). The proposed control algorithm reduces the dynamic tracking error by 42.4% and the steady-state fluctuation error by 50.6%. The introduction of the moment compensation leveling system to the existing silver sintering equipment addresses the issue of chip fracture caused by eccentric loading. The shear strength of the sintered layer is increased by 40.6%, and the thickness uniformity is improved by 65.8%. This study contributes to improved packaging quality and efficiency for power semiconductors, providing a theoretical basis for the development of advanced sintering equipment. Full article
(This article belongs to the Section Control Systems)
Show Figures

Figure 1

13 pages, 3991 KB  
Article
Active Flow Control by Coanda Actuators for Aerodynamic Drag Reduction in a European-Type Truck
by R. Bardera, J. C. Matías-García, E. Barroso-Barderas, J. Fernández-Antón and A. A. Rodríguez-Sevillano
Actuators 2025, 14(11), 556; https://doi.org/10.3390/act14110556 - 13 Nov 2025
Viewed by 387
Abstract
Heavy vehicles present high aerodynamic drag. This results in significant fuel consumption and, consequently, high emissions of harmful substances. This study examines the variation in aerodynamic drag in a European-type truck with different trailer configurations. Passive flow control by geometry modifications of the [...] Read more.
Heavy vehicles present high aerodynamic drag. This results in significant fuel consumption and, consequently, high emissions of harmful substances. This study examines the variation in aerodynamic drag in a European-type truck with different trailer configurations. Passive flow control by geometry modifications of the rear part of the trailer and active flow control using the Coanda effect were tested, with the aim of improving the aerodynamic efficiency of the vehicle. To achieve this, a modular structure of a 1:30 scaled truck was designed to enable different trailer configurations. Drag measurements were performed with a two-component external balance, and PIV tests were conducted to correlate the drag reduction with the aerodynamic changes behind the trailer. Passive control reduced drag by up to 5.7%, and active flow control reduced it by up to 12.6% compared to the unmodified base trailer. PIV flow visualization confirms that blowing effectively reduces the recirculation zone behind the trailer. Full article
Show Figures

Figure 1

14 pages, 1272 KB  
Article
Simulated Intelligent-System Interruptions: Effects on Back-Support Exoskeleton Performance and Muscle Activation
by Jeewon Choi, Junik Park and Chaerim Park
Actuators 2025, 14(11), 555; https://doi.org/10.3390/act14110555 - 13 Nov 2025
Viewed by 338
Abstract
This study examined how interruptions, which are increasingly prevalent in modern intelligent work systems, influence the effectiveness of a back-support exoskeleton (BSE) during repetitive low-load lifting. Thirteen healthy male participants (age: 22.7 ± 1.7 years) performed a repetitive lifting task with and without [...] Read more.
This study examined how interruptions, which are increasingly prevalent in modern intelligent work systems, influence the effectiveness of a back-support exoskeleton (BSE) during repetitive low-load lifting. Thirteen healthy male participants (age: 22.7 ± 1.7 years) performed a repetitive lifting task with and without a back-support exoskeleton (BSE) while concurrently engaging in a digit subtraction task that simulated cognitive interruptions characteristic of intelligent systems, presented at three frequencies (none, intermittent, and frequent). Task performance (number of lifting repetitions and placement accuracy), muscle activation of the erector spinae and upper trapezius, and subjective workload were assessed. Results showed that BSE use reduced the number of lifting repetitions by approximately 8% but did not affect placement accuracy. Consistent with its intended function, the BSE decreased erector spinae activation and subjective workload; however, it was also associated with progressively greater trapezius activation. Notably, BSE did not provide additional benefits under these cognitively demanding conditions, highlighting its limited effectiveness when attentional resources are constrained. These findings highlight that the value of BSEs depends not only on biomechanical support but also on work environments that effectively manage the dual-task demands introduced by intelligent systems. Full article
Show Figures

Figure 1

15 pages, 3491 KB  
Article
Gearless Coal Mill Anti-Disturbance Sliding Mode Control Based on Improved Deadbeat Predictive Current Control
by Qiming Wang, Mingduo Zhang and Changhong Jiang
Actuators 2025, 14(11), 554; https://doi.org/10.3390/act14110554 - 11 Nov 2025
Viewed by 218
Abstract
This paper presents a composite control strategy for gearless coal mill to improve the disturbance immunity under low-speed variable operating conditions. First, the gearless coal mill encounters power supply voltage fluctuations, mechanical failures, or ambient temperature changes during operation. These situations can cause [...] Read more.
This paper presents a composite control strategy for gearless coal mill to improve the disturbance immunity under low-speed variable operating conditions. First, the gearless coal mill encounters power supply voltage fluctuations, mechanical failures, or ambient temperature changes during operation. These situations can cause the system to suffer from the problem of insufficient control accuracy of the rotational speed. Therefore, a non-singular fast terminal sliding mode control strategy is proposed to improve the speed response. Then, to address the problem of load perturbation caused by different coal quality, this paper designs the extended state observer. Feed-forward compensation of the perturbation is performed to improve the robustness. Finally, due to the parameter mismatch problem caused by heat in operations that take a long time, this paper proposes a sliding-mode-based deadbeat predictive current control. The strategy possesses the fast dynamic response of deadbeat predictive current control while retaining the strong robustness of sliding mode control. Lyapunov proved the stability of the proposed control strategy. The experimental results verified that the proposed control strategy had better control performance. Full article
Show Figures

Figure 1

17 pages, 4642 KB  
Article
Maximizing Efficiency in a Retrofitted Battery-Powered Material Handler by Novel Control Strategies
by Marco Ferrari, Daniele Beltrami, Vinay Partap Singh, Tatiana Minav and Stefano Uberti
Actuators 2025, 14(11), 553; https://doi.org/10.3390/act14110553 - 11 Nov 2025
Viewed by 256
Abstract
The electrification of non-road mobile machinery is advancing to enhance sustainability and reduce emissions. This study investigates how to maximize the efficiency of the retrofitting of a material handler from an internal combustion engine to a battery-powered electric motor, while keeping the hydraulic [...] Read more.
The electrification of non-road mobile machinery is advancing to enhance sustainability and reduce emissions. This study investigates how to maximize the efficiency of the retrofitting of a material handler from an internal combustion engine to a battery-powered electric motor, while keeping the hydraulic system unchanged. Using a previously validated model, this study proposes three control strategies for the electric motor and hydraulic pump to enhance efficiency and performance. The first control strategy optimizes hydraulic pump performance within its most efficient displacement range. The second strategy maximizes powertrain efficiency by considering both efficiencies of the electric motor and hydraulic pump. The third strategy uses a servo-actuated valve to adjust the load-sensing margin and exhibits energy savings up to 14.2% and an 11.5% increase in efficiency. The proposed strategies avoid complex optimization algorithms, ensuring practical applicability for small- and medium-sized enterprises, which often face cost constraints and limited scalability. Full article
(This article belongs to the Special Issue New Control Schemes for Actuators—2nd Edition)
Show Figures

Figure 1

30 pages, 3035 KB  
Article
Adaptive Fuzzy Leader-Following Consensus Quantized Control for High-Order Nonlinear Multi-Agent Systems
by Yifan Liu, Min Ma and Tong Wang
Actuators 2025, 14(11), 552; https://doi.org/10.3390/act14110552 - 11 Nov 2025
Viewed by 339
Abstract
This paper investigates the adaptive fuzzy leader-following consensus control problem for a class of high-order nonlinear multi-agent systems with quantized input signals. Considering the complex dynamics of high-order nonlinear multi-agent systems, a novel adaptive fuzzy control strategy with equivalent virtual controller is proposed [...] Read more.
This paper investigates the adaptive fuzzy leader-following consensus control problem for a class of high-order nonlinear multi-agent systems with quantized input signals. Considering the complex dynamics of high-order nonlinear multi-agent systems, a novel adaptive fuzzy control strategy with equivalent virtual controller is proposed to achieve the consensus tracking performance and guarantee the uniform ultimate boundedness of the closed-loop nonlinear system. During the control design process, only the states information from the subsystem itself and its neighbors and part of the information from the reference signals are available. In addition, the hysteresis quantizer is utilized to reduce the chattering phenomenon. Finally, a numerical simulation example is given to show the effectiveness of the proposed control strategy. Full article
(This article belongs to the Special Issue Intelligent Sensing, Control and Actuation in Networked Systems)
Show Figures

Figure 1

23 pages, 10215 KB  
Article
Disturbances Attenuation of Dual Three-Phase Permanent Magnet Synchronous Machines with Bi-Subspace Predictive Current Control
by Wanping Yu, Changlin Zhong, Qianwen Duan, Qiliang Bao and Yao Mao
Actuators 2025, 14(11), 551; https://doi.org/10.3390/act14110551 - 11 Nov 2025
Viewed by 527
Abstract
Sensor sampling errors and inverter dead-time effects introduce significant nonlinear disturbances into dual three-phase permanent magnet synchronous machine (DTP-PMSM) drive systems with sinusoidal excitation, leading to pronounced alternating current (AC) and direct current (DC) disturbances. These disturbances severely compromise the stability and reliability [...] Read more.
Sensor sampling errors and inverter dead-time effects introduce significant nonlinear disturbances into dual three-phase permanent magnet synchronous machine (DTP-PMSM) drive systems with sinusoidal excitation, leading to pronounced alternating current (AC) and direct current (DC) disturbances. These disturbances severely compromise the stability and reliability of the current control loop, ultimately degrading the overall driving accuracy of the system. To effectively address this issue, this paper proposes a novel interference suppression strategy based on bi-subspace predictive current control. Specifically, the proposed approach optimizes modulation through two-step virtual-vector-based predictive current control (VVPCC) operation to achieve disturbance decoupling. Building upon this foundation, a model-assisted discrete extended state observer (DESO) is incorporated into the fundamental subspace, whereas a discrete vector resonant controller (DVRC) with pre-distorted Tustin discretization is applied to the secondary subspace. Modeling analysis and experimental results demonstrate that, compared with the classical VVPCC method, the proposed bi-subspace VVPCC method has good steady-state performance and enhanced robustness in the presence of disturbances. Full article
(This article belongs to the Section Control Systems)
Show Figures

Figure 1

33 pages, 12691 KB  
Article
Design and Control Strategy of a Non-Gravity Axes Tracking System for a Rigid Suspension-Type Astronaut Operational Training System
by Zhenhan Wang, Lixun Zhang, Feng Xue, Yuhe Fan and Bendong Xian
Actuators 2025, 14(11), 550; https://doi.org/10.3390/act14110550 - 10 Nov 2025
Viewed by 260
Abstract
Low-gravity and microgravity simulation devices for training astronauts to manipulate objects under terrestrial conditions are critical for improving operational performance and efficiency in extraterrestrial environments while minimizing risk. To this end, a rigid-suspension-type astronaut operational training system (RSAOTS) was developed, which can precisely [...] Read more.
Low-gravity and microgravity simulation devices for training astronauts to manipulate objects under terrestrial conditions are critical for improving operational performance and efficiency in extraterrestrial environments while minimizing risk. To this end, a rigid-suspension-type astronaut operational training system (RSAOTS) was developed, which can precisely simulate the motion characteristics of target objects in low/microgravity environments. In the RSAOTS, to realize rapid and extensive inertial motion of the target object along non-gravity axes, we designed a non-gravity axes tracking system (NGATS). The NGATS adopts an X-Y-X Cartesian robot configuration and is driven by timing belt linear modules. The composite compliance control strategy of NGATS comprises two loops: the inner loop uses active disturbance rejection control to precisely control motion, whereas the outer loop integrates human–robot interaction admittance control with constraint disturbance force control. This control strategy effectively minimizes the constraint disturbance force exerted by the NGATS on the target object, retaining only its inertial characteristics along the non-gravity axes. The feasibility of the NGATS configuration and composite control strategy was validated through microgravity environment simulation experiments conducted along the non-gravity axes. Experimental results show that for target objects with a mass of 37.5 kg, the NGATS adopts the proposed control strategy, the root mean squared errors of the constraint disturbance force are 0.1828 N in the X-axis and 0.3321 N in the Y-axis. Full article
(This article belongs to the Section Actuators for Robotics)
Show Figures

Figure 1

30 pages, 8447 KB  
Article
Detection Algorithm of Thrombolytic Solution Concentration with an Optimized Conical Thrombolytic Actuator for Interventional Therapy
by Jingjing Yang, Yingken Shen, Yifan Jiang, Biyuan Rui, Pengqi Yang, Guifang Deng, Hao Qin and Junjie Lei
Actuators 2025, 14(11), 549; https://doi.org/10.3390/act14110549 - 10 Nov 2025
Viewed by 347
Abstract
Fragmented thrombolytic actuators address the limited time window of thrombolysis agents and the risk of intimal injury from mechanical thrombectomy, emerging as a crucial method for rapid vascular recanalization. However, occluded vessels are often tortuous and narrow, imposing strict size constraints on the [...] Read more.
Fragmented thrombolytic actuators address the limited time window of thrombolysis agents and the risk of intimal injury from mechanical thrombectomy, emerging as a crucial method for rapid vascular recanalization. However, occluded vessels are often tortuous and narrow, imposing strict size constraints on the actuator. Moreover, the inability to assess thrombolysis efficacy in real-time during procedures impedes timely adjustments to control strategies for the actuator. To address these challenges, this study designs a conical piezoelectric actuator that employs high-frequency vibration in conjunction with a small dose of thrombolytics to fragment and accelerate thrombus dissolution. Firstly, structural parameters of the actuator are optimized using grey relational analysis combined with an improved entropy-weighting method, and the optimal design is prototyped and tested. Next, a real-time thrombolytic solution concentration detection algorithm based on an Improved Grey Wolf Optimizer–Support Vector Regression (IGWO-SVR) model is proposed. Finally, an experimental platform is constructed for validation and analysis. The results show that compared to the initial design, the optimized actuator has significantly improved kinematic and force performance, with the tip amplitude increasing by 42% and the output energy density reaching 3.3726 × 10−2 W/mm3. The IGWO-SVR model yields highly accurate, stable concentration estimates, with a coefficient of determination (R2) of 0.9987 and a root-mean-square error (RMSE) of 0.8118. This work provides a pathway toward actuator miniaturization and real-time thrombolysis monitoring, with positive implications for future clinical applications. Full article
(This article belongs to the Special Issue Actuation and Sensing of Intelligent Soft Robots)
Show Figures

Figure 1

17 pages, 2138 KB  
Article
Surface Electromyography-Based Wrist Angle Estimation and Robotic Arm Control with Echo State Networks
by Toshihiro Kawase and Hiroki Ikeda
Actuators 2025, 14(11), 548; https://doi.org/10.3390/act14110548 - 9 Nov 2025
Viewed by 534
Abstract
Continuous estimation of joint angles based on surface electromyography (sEMG) signals is a promising method for naturally controlling prosthetic limbs and assistive devices. However, conventional methods based on neural networks have limitations such as long training times and calibration burdens. This study investigates [...] Read more.
Continuous estimation of joint angles based on surface electromyography (sEMG) signals is a promising method for naturally controlling prosthetic limbs and assistive devices. However, conventional methods based on neural networks have limitations such as long training times and calibration burdens. This study investigates the use of an echo state network (ESN), which enables fast training, to estimate wrist joint angles from sEMG. Five participants mimicked the motion of a 1-degree-of-freedom robotic arm by flexing and extending their wrist, while sEMG signals from the wrist flexor and extensor muscles and the robotic arm’s angle were recorded. The ESN was trained to take two sEMG channels as input and the robotic joint angle as output. High-accuracy estimation with a median coefficient of determination R2 = 0.835 was achieved for representative ESN parameters. Additionally, the effects of the reservoir size, spectral radius, and time constant on estimation accuracy were evaluated using data from a single participant. Furthermore, online estimation of joint angles based on sEMG signals enabled successful control of the robotic arm. These results suggest that sEMG-based ESN estimation offers fast, accurate joint control and could be useful for prosthetics and fundamental studies on body perception. Full article
Show Figures

Figure 1

14 pages, 14275 KB  
Article
Novel Design and Control of Ultrasonic Transducers for a Media-Free Contactless Micro-Positioning System
by Zijian Chen, Jens Twiefel, Chenglong Ding, Henning Buhl, Berend Denkena and Jörg Wallaschek
Actuators 2025, 14(11), 547; https://doi.org/10.3390/act14110547 - 8 Nov 2025
Viewed by 400
Abstract
Microelectromechanical systems (MEMSs) are increasingly used for both industrial and consumer applications. To improve the accuracy and efficiency of MEMS fabrication and to overcome the limitations of conventional contactless positioning systems, this study introduces a novel positioning concept that combines ultrasonic levitation with [...] Read more.
Microelectromechanical systems (MEMSs) are increasingly used for both industrial and consumer applications. To improve the accuracy and efficiency of MEMS fabrication and to overcome the limitations of conventional contactless positioning systems, this study introduces a novel positioning concept that combines ultrasonic levitation with electromagnetic actuation. Squeeze-film effects generated by high-frequency ultrasonic transducers enable levitation, while fast-response reluctance forces from electromagnets govern the positioning dynamics without requiring bulky mounting frames. The focus of this paper is on proposing a novel double-acting ultrasonic transducer with a Gaussian profile horn, ensuring an approximately uniform vibration distribution and increased levitation force. The double-acting design enables levitation on both surfaces, simplifying the mounting and thermal compensation of the transducer’s expansion while reducing interactions among transducers. A model-based control strategy ensures resonant operation and constant vibration amplitude. Experiments demonstrate levitation forces up to 343 N, with a total levitation height of 25 µm, resulting from two levitation air gaps. Comprehensive performance characterization validates the feasibility of this transducer design for integration into the proposed positioning system. Full article
(This article belongs to the Special Issue Advances in Piezoelectric Actuators and Materials)
Show Figures

Figure 1

28 pages, 5287 KB  
Article
Development Results of a Nitinol (NiTi) Angular Actuator
by Oana-Vasilica Grosu, Laurențiu-Dan Milici, Ciprian Bejenar and Mihaela Pavăl
Actuators 2025, 14(11), 546; https://doi.org/10.3390/act14110546 - 8 Nov 2025
Viewed by 627
Abstract
Shape memory alloys are key to sustainable technology and future industries, with one of the most remarkable materials at present being Nitinol (NiTi), which is known to have unique driving properties and applications, working in extreme conditions and capable of being applied in [...] Read more.
Shape memory alloys are key to sustainable technology and future industries, with one of the most remarkable materials at present being Nitinol (NiTi), which is known to have unique driving properties and applications, working in extreme conditions and capable of being applied in specific actuation tasks. In this context, this work presents an actuator prototype using versatile springs composed of nickel–titanium to produce angular displacements, beginning with contextual findings on the latest trends and opportunities for solutions in the field of Nitinol (NiTi) devices. Considering the research and industry concerns regarding shape memory materials and the need for research, design, and innovation in the development and investigation of various prototypes of Nitinol-based (NiTi) actuators, the functionalities, physical design, and static/dynamic performance of this newly proposed angular actuator offer strong potential. This work also presents and discusses the results of both experimental model testing and an analytical model simulation within MATLAB and Simulink R2022b. Full article
(This article belongs to the Section Actuator Materials)
Show Figures

Figure 1

17 pages, 2681 KB  
Article
Development of Closed Symmetrical Robotic Arms Driven by Pneumatic Muscle Actuators
by Che-Wei Chang and Mao-Hsiung Chiang
Actuators 2025, 14(11), 545; https://doi.org/10.3390/act14110545 - 7 Nov 2025
Viewed by 354
Abstract
This research aims to investigate the practicality and feasibility of pneumatic muscle actuators (PMAs) applied in the pneumatic servo system. The mechanism consists of closed symmetrical planar robotic arms driven by two pairs of opposing PMAs, whose structure is similar to human arms. [...] Read more.
This research aims to investigate the practicality and feasibility of pneumatic muscle actuators (PMAs) applied in the pneumatic servo system. The mechanism consists of closed symmetrical planar robotic arms driven by two pairs of opposing PMAs, whose structure is similar to human arms. Importantly, the two distal links (or wrist parts) are combined into a collective end-effector, whose desired position is controlled only by the two shoulder angle joints. When two pairs of PMAs are attached to the upper arms, they actuate each shoulder and assist in the movement of the arms. However, the nonlinear behavior, high hysteresis, low damping, and time-varying characteristics of PMAs significantly limit their controllability. Therefore, to effectively address these challenges, a Fourier series-based adaptive sliding mode controller with H (FSB-ASMC + H) is employed to achieve accurate path tracking of the PMAs. This control approach not only compensates for approximation errors, disturbances, and unmodeled dynamics but also ensures the desired H positioning performance of the overall system. The controller method can not only effectively prevent approximation errors, disturbances, and un-modeled dynamics but can also ensure the required H positioning performance of the whole system. Thus, the results of the experiment showed that the control strategy for the system collocating the FSB-ASMC + H can attain excellent control performance. Full article
(This article belongs to the Special Issue Intelligent Control for Pneumatic Servo System)
Show Figures

Figure 1

20 pages, 2461 KB  
Article
Cooperative Systems Based on Arrays of Dielectric Elastomer Actuators
by Julian Neu, Sipontina Croce, Andrej Schagaew, Stefan Seelecke and Gianluca Rizzello
Actuators 2025, 14(11), 544; https://doi.org/10.3390/act14110544 - 7 Nov 2025
Viewed by 461
Abstract
This work introduces two cooperative dielectric elastomer actuator (DEA) array designs, enabling comparison between a fully soft, wearable-oriented system and a rigid, high-performance platform. The soft silicone-based array achieves strokes up to 1.9 mm and maintains 44% displacement under strong bending, demonstrating suitability [...] Read more.
This work introduces two cooperative dielectric elastomer actuator (DEA) array designs, enabling comparison between a fully soft, wearable-oriented system and a rigid, high-performance platform. The soft silicone-based array achieves strokes up to 1.9 mm and maintains 44% displacement under strong bending, demonstrating suitability for haptic feedback in wearable applications. The rigid prototype, based on thermoformed buckling beams, provides strokes up to 2.8 mm, reduced hysteresis, improved stability, and reproducible fabrication, while allowing fine-tuning of preload conditions. Experiments revealed frequency-dependent coupling, enabling stimulation of defective actuators via neighboring elements and amplification of single-element strokes through cooperative excitation. Furthermore, self-sensing effects were exploited for error detection. These results underline the potential of DEA arrays for decentralized control, fault-tolerant actuation, and future applications in soft robotics and wearable systems. Full article
(This article belongs to the Section Actuator Materials)
Show Figures

Figure 1

15 pages, 5396 KB  
Article
An Adaptive Gripper for On-Orbit Grasping with Rapid Capture and Force Sensing Capabilities
by Qiong Wu, Yupeng Zhang, Wenfu Xu and Han Yuan
Actuators 2025, 14(11), 543; https://doi.org/10.3390/act14110543 - 7 Nov 2025
Viewed by 535
Abstract
End-effectors are becoming increasingly vital in orbital space missions, performing increasingly complex operational tasks. Current on-orbit missions primarily utilize net systems and rigid grippers as manipulators. However, the dynamic analysis of the net system is complicated, and its reliability is insufficient. Moreover, rigid [...] Read more.
End-effectors are becoming increasingly vital in orbital space missions, performing increasingly complex operational tasks. Current on-orbit missions primarily utilize net systems and rigid grippers as manipulators. However, the dynamic analysis of the net system is complicated, and its reliability is insufficient. Moreover, rigid grippers are not impact-resistant, which can lead to the target either rebounding or sustaining damage. This paper designs an adaptive gripper for rapid passive grasping. Adjusting the initial setup of the gripper by altering the cables allows for different degrees of trigger sensitivity to be achieved. The gripper presented in this paper integrates a bistable mechanism with a dual-mode actuation system, achieving performance metrics such as a 16.7ms activation time and a 5.42m/s capture speed. This combination of rapid passive and controllable active grasping demonstrates a novel and effective solution with significant potential for dynamic on-orbit service and debris removal missions. Full article
(This article belongs to the Special Issue Soft Robotics: Actuation, Control, and Application)
Show Figures

Figure 1

17 pages, 2000 KB  
Article
Mechanical Design and Kinematic Analysis of an Autonomous Wrist with DC Motor Actuators for Space Assembly
by Charles C. Nguyen, Ha T. T. Ngo, Tu T. C. Duong and Afshin Nabili
Actuators 2025, 14(11), 542; https://doi.org/10.3390/act14110542 - 7 Nov 2025
Viewed by 488
Abstract
This paper deals with the mechanical design and kinematic analysis of an autonomous wrist for space assembly (AWSA) whose actuators are activated by DC motors and ball screw drives. This robotic wrist was developed and built as a prototype to investigate in-space robotic [...] Read more.
This paper deals with the mechanical design and kinematic analysis of an autonomous wrist for space assembly (AWSA) whose actuators are activated by DC motors and ball screw drives. This robotic wrist was developed and built as a prototype to investigate in-space robotic operations, including maintaining and repairing spacecraft of the US National Aeronautics and Space Administration (NASA), such as the International Space Station (ISS) or satellites. Despite its disadvantages, such as a small workspace and low maneuverability, a parallel structure instead of a serial structure was selected for the design of the AWSA due to several advantages it has over a serial robot manipulator (SRM), including higher payload, greater stiffness, and better stability. The present paper also introduces a hybrid concept for robotic space operations, which combines an SRM performing gross motion and a parallel robot manipulator (PRM) performing fine motion. It then discusses the design and construction of the DC motor actuators and ball screw drives and presents the kinematic equations developed for the AWSA. This paper provides a closed-form solution to the inverse kinematics of the AWSA and a numerical solution using the Newton–Raphson method for its forward kinematics. Full article
(This article belongs to the Special Issue Actuators in Robotic Control—3rd Edition)
Show Figures

Figure 1

21 pages, 3301 KB  
Article
Experimental Study on the Characteristics of Dual Synthetic Jets Modulated by Driving Signals
by Shiqing Li, Shuxuan Cai, Lingwei Zeng and Zhenbing Luo
Actuators 2025, 14(11), 541; https://doi.org/10.3390/act14110541 - 6 Nov 2025
Viewed by 347
Abstract
Piezoelectric synthetic jet actuators typically struggle to generate high-speed jets at low driving frequencies due to the coupling effect between jet frequency and jet intensity. This limitation to some extent restricts their application in flow control within low-speed flow fields. To address this [...] Read more.
Piezoelectric synthetic jet actuators typically struggle to generate high-speed jets at low driving frequencies due to the coupling effect between jet frequency and jet intensity. This limitation to some extent restricts their application in flow control within low-speed flow fields. To address this issue, this study presents two methods of signal modulation. The effects of driving signal modulation on dual synthetic jet actuator (DSJA) characteristics were experimentally investigated. A laser displacement meter was used to measure the central point amplitude of the piezoelectric diaphragm, while the velocity at the exit of the DSJAs was measured using a hot-wire anemometer. The effects of signal modulation on the amplitude of the piezoelectric diaphragm, the maximum jet velocity, and the frequency domain characteristics of the dual synthetic jet (DSJ) were thoroughly analyzed. Experimental results demonstrate that driving signal modulation can enhance jet velocity at relatively low driving frequencies. The modulated DSJ exhibits low-frequency characteristics, rendering it suitable for flow control applications that require low-frequency jets. Furthermore, the coupling effect between jet frequency and jet intensity in the piezoelectric DSJA is significantly alleviated. Starting from the vibration displacement of the piezoelectric transducer (PZT), this paper systematically elaborates on the corresponding relationship between PZT displacement and the peak velocity at the jet outlet, and the “low-frequency and high-momentum jet generation method based on signal modulation” proposed herein is expected to break through the momentum–frequency coupling limitation of traditional piezoelectric dual-stenosis jet actuators (DSJAs) and enhance their application potential in low-speed flow control. Full article
(This article belongs to the Section Control Systems)
Show Figures

Figure 1

18 pages, 23476 KB  
Article
Stress Analysis and Operational Limits of an SLA-Printed Soft Antagonistic Actuator Using a Yeoh-Calibrated Finite Element Model
by Jim S. Palacios-Lazo, Rosalba Galván-Guerra, Paola A. Niño-Suarez and Juan E. Velázquez-Velázquez
Actuators 2025, 14(11), 540; https://doi.org/10.3390/act14110540 - 6 Nov 2025
Viewed by 340
Abstract
Soft robotics has emerged as a promising approach for safe human–machine interaction, adaptive manipulation, and bioinspired motion, yet its progress relies on accurate material characterization and structural analysis of actuators. This study presents the mechanical behavior and stress analysis of a stereolithography-printed pneumatic [...] Read more.
Soft robotics has emerged as a promising approach for safe human–machine interaction, adaptive manipulation, and bioinspired motion, yet its progress relies on accurate material characterization and structural analysis of actuators. This study presents the mechanical behavior and stress analysis of a stereolithography-printed pneumatic actuator with antagonistic architecture, fabricated using Elastic 50A resin V2. Uniaxial tensile tests were performed according to ASTM D412 to derive material parameters, which were fitted to hyperelastic constitutive models. The Yeoh model was identified as the most accurate and implemented in finite element simulations to predict actuator deformation under multiple pressurization modes. Results revealed critical stress zones and established operational pressure limits of 110–130 kPa, beyond which the material approaches its tensile strength. Experimental testing with a controlled pneumatic system validated the numerical predictions, confirming both bending and multidirectional actuation as well as structural failure thresholds. The integration of material characterization, numerical modeling, and experimental validation provides a robust workflow for the design of SLA-fabricated antagonistic actuators. These findings highlight the advantages of combining digital fabrication with antagonistic actuation and material modeling to expand the understanding of soft robots’ behavior. Full article
(This article belongs to the Special Issue Soft Robotics: Actuation, Control, and Application)
Show Figures

Figure 1

22 pages, 5209 KB  
Article
Design of Static Output Feedback Active Suspension Controllers with Quarter-Car Model for Motion Sickness Mitigation
by Seongjin Yim
Actuators 2025, 14(11), 539; https://doi.org/10.3390/act14110539 - 6 Nov 2025
Viewed by 441
Abstract
This paper presents a method to design a static output feedback active suspension controller with a quarter-car model for motion sickness mitigation. To mitigate motion sickness in a vehicle, it has been known that the vertical acceleration and pitch rate of a sprung [...] Read more.
This paper presents a method to design a static output feedback active suspension controller with a quarter-car model for motion sickness mitigation. To mitigate motion sickness in a vehicle, it has been known that the vertical acceleration and pitch rate of a sprung mass should be reduced over the frequency range from 0.8 to 8 Hz. For this purpose, a half-car model has been used with linear quadratic optimal control for controller design because it can describe the pitch motion of a sprung mass. However, a controller design procedure with the half-car model is relatively more complex than the quarter-car one. To cope with this problem, a quarter-car model is used for controller design in this paper. The half-car model consists of two quarter-car models. Based on this fact, a controller designed with a quarter-car model can be applied to the front and rear suspensions in the half-car one. To avoid the full-state feedback in a real vehicle, a static output feedback structure is selected. To find the gains of the controllers for the quarter-car models in the front and rear suspensions, linear quadratic optimal control and a simulation-based optimization method are applied. To validate the proposed method, the controllers designed with the quarter-car and half-car models are simulated on a vehicle simulation package. From the simulation results, it is shown that the static output feedback active suspension controller designed with the quarter-car model is quite effective for motion sickness mitigation. Full article
(This article belongs to the Section Actuators for Surface Vehicles)
Show Figures

Figure 1

19 pages, 10873 KB  
Article
RM-Act 2.0: A Modular Harmonic Actuator Towards Improved Torque Density
by Ramesh Krishnan Muttathil Gopanunni, Alok Ranjan, Lorenzo Martignetti, Franco Angelini and Manolo Garabini
Actuators 2025, 14(11), 538; https://doi.org/10.3390/act14110538 - 6 Nov 2025
Viewed by 726
Abstract
In modern robotics, actuator performance is fundamental to achieving efficient and durable motion, with compactness and torque density being especially critical. Compact actuators enable integration in space-constrained systems without compromising functionality, while high torque density ensures powerful output relative to size, enhancing efficiency [...] Read more.
In modern robotics, actuator performance is fundamental to achieving efficient and durable motion, with compactness and torque density being especially critical. Compact actuators enable integration in space-constrained systems without compromising functionality, while high torque density ensures powerful output relative to size, enhancing efficiency and versatility. Harmonic gearboxes embody these qualities, offering lightweight design, zero backlash, and excellent torque density, which have made them a standard choice in robotics. However, their widespread adoption is limited by high manufacturing costs due to the precision machining required. To address this challenge, the authors previously introduced RM-Act, a Radial Modular Actuator employing two synchronous belts as harmonic speed reducers. Building on this concept, RM-Act 2.0 is introduced as an improved version that employs a single synchronous belt. This design reduces transmission slippage, improves torque density, and offers greater modularity with a wider range of reduction ratios. The work details the development and validation of RM-Act 2.0 through a functional prototype and performance model, highlighting its advancements over the original RM-Act in compactness and torque density. Full article
(This article belongs to the Section High Torque/Power Density Actuators)
Show Figures

Figure 1

18 pages, 7247 KB  
Article
Design and Research of a Neodymium Magnetic Ball Plug Ferrofluid Micropump
by Jie Su, Zhenggui Li, Baozhu Han, Qingsong Wang, Zhichao Qing and Qingyu Chen
Actuators 2025, 14(11), 537; https://doi.org/10.3390/act14110537 - 5 Nov 2025
Viewed by 327
Abstract
Due to the limitations of traditional micropumps in terms of miniaturization and integration, ferrofluid micropumps, as emerging microfluidic driving devices, exhibit significant application potential due to their unique pumping mechanism. Research on ferrofluid micropumps can advance micro/nano technology, meet biomedical needs, and facilitate [...] Read more.
Due to the limitations of traditional micropumps in terms of miniaturization and integration, ferrofluid micropumps, as emerging microfluidic driving devices, exhibit significant application potential due to their unique pumping mechanism. Research on ferrofluid micropumps can advance micro/nano technology, meet biomedical needs, and facilitate micro-electro-mechanical system (MEMS) integration. As traditional structural improvement methods struggle to meet increasingly stringent application conditions, under the action of the motion and mechanism of magnetic fluids, a new method of using neodymium magnetic ball plugs instead of traditional magnetic fluid plungers has been developed, aiming to enhance the pumping performance. In this study, the influence of the magnetic field (MF) generated by permanent magnets (PM) on the magnetic properties inside the micropump cavity was first determined. Furthermore, it was revealed in this research that the neodymium magnetic ball plug enhances the pumping flow rate and maximum pumping height of the ferrofluid plug and the pumping stability of the neodymium magnetic ball plug ferrofluid micropump is significantly improved. Additionally, the rotational speed (Rev) of the dynamic neodymium magnetic ball type magnetic fluid plug driven by the motor and the magnetic strength created by the PM are the main aspects influencing the result in this experiment. Full article
(This article belongs to the Section Miniaturized and Micro Actuators)
Show Figures

Figure 1

19 pages, 6175 KB  
Article
Design and Performance Analysis of a Subsea Wet-Mateable Connector Seal for Subsea Drilling Rigs
by Liang Xiong, Xiaolian Zhang, Shuo Zhao, Lieyu Tian, Bingyi Hu, Yang Lv, Jinsong Lu, Ailiyaer Ahemaiti, Zhaofei Sun, Fuyuan Li and Junguo Cui
Actuators 2025, 14(11), 536; https://doi.org/10.3390/act14110536 - 5 Nov 2025
Viewed by 378
Abstract
As terrestrial oil and gas resources continue to decline, deep-sea oil and gas development has become a strategic priority. A wide range of production equipment must be deployed on the seabed, among which subsea wet-mateable connectors are indispensable. To address the challenges of [...] Read more.
As terrestrial oil and gas resources continue to decline, deep-sea oil and gas development has become a strategic priority. A wide range of production equipment must be deployed on the seabed, among which subsea wet-mateable connectors are indispensable. To address the challenges of high pressure, low temperature, and corrosion in deep-sea environments, this study proposes a cooperative sealing strategy between the annular protrusion on the entry casing and a sliding sleeve. The leakage per single mate/demate cycle is quantified under varying insertion speeds and pressure differentials. By examining the effects of protrusion geometry, insertion speed, friction coefficient, and radial compression on sealing performance, the optimal parameters are identified: a friction coefficient of 0.15 and a trapezoidal-rib seal with 0.015 mm radial compression for dynamic sealing, yielding a contact pressure of 27.5 MPa and a mating/demating force of 197.26 N—satisfying the manipulation requirements of a remotely operated vehicle. Hydrostatic pressure tests demonstrate that the dynamic sealing design of the underwater connector achieves a balance between high reliability and low insertion resistance, and the prototype meets the operational requirements for deep-sea service. Full article
(This article belongs to the Section Control Systems)
Show Figures

Figure 1

Previous Issue
Next Issue
Back to TopTop