Self-Sensing Approach for Semi-Active Control of Variable Damping Electromagnetic Suspension System
Abstract
1. Introduction
- Based on the characteristics of electromagnetic suspension, the Kalman filter observer is combined with self-sensing technology to estimate suspension displacement and velocity, and its accuracy is verified through experiments.
- The self-sensing EMD is tested on a one-quarter vehicle testing platform to verify the vibration-damping performance of the self-sensing semi-active EMS.
2. Variable Damping Electromagnetic Suspension System
2.1. Overview of EMS System
2.2. Principle of EMD Variable Damping
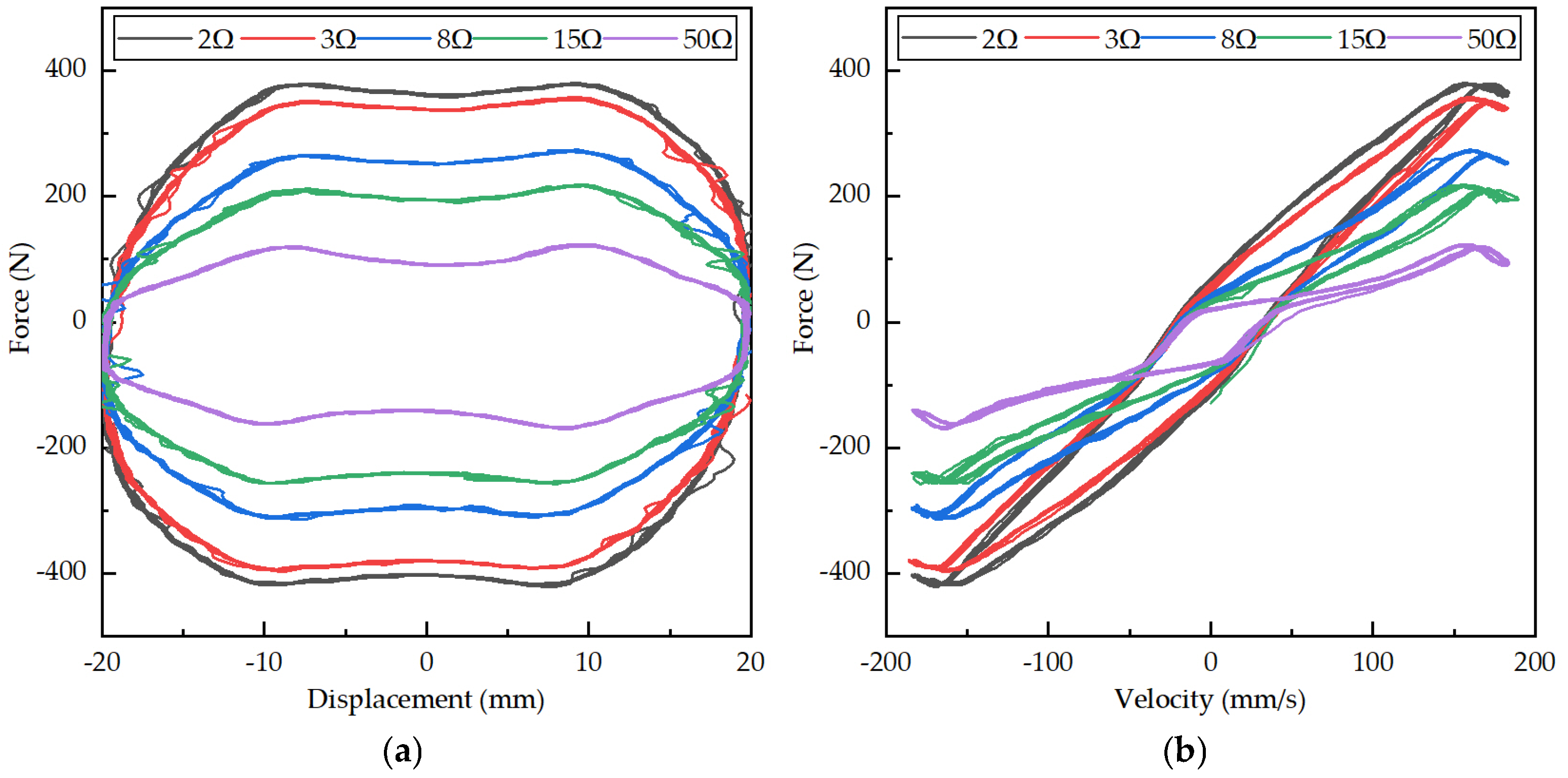
2.3. Characteristic Experiment of EMD
3. Self-Sensing of VD-EMS System
3.1. Analysis of the Principle of Self-Sensing
3.2. Suspension Displacement and Velocity Estimation
3.3. Self-Sensing Combined with Kalman Filter Observer
- Project the state ahead:
- 2.
- Project the error covariance ahead:
- Compute the Kalman gain:
- 2.
- Update estimate with measurement :
- 3.
- Update the error covariance:
4. Controller Design
- When the ideal force is in the opposite direction to the relative velocity, the actual equivalent damping force will be in the same direction as the ideal force. In this case, by selecting the appropriate external resistance, the actual equivalent damping force can be set as close as possible to the ideal force, thereby ensuring that the system’s vibration follows the pattern set by the control algorithm. It is important to note that due to the discrete nature of the external resistance used, the actual control resistance cannot be exactly equal to the ideal resistance. Therefore, the actual equivalent damping force cannot perfectly match the ideal force, but the difference can be minimized to make the vibration response as close as possible to the ideal case.
- When the ideal force is in the same direction as the relative velocity, the actual equivalent damping force will necessarily be in the opposite direction to the ideal force. In this situation, the control will cause the vibration to worsen. At this point, the maximum resistance should be selected for the external resistor to minimize the actual equivalent damping force and ensure that the difference between the actual equivalent damping force and the ideal force is minimized, thereby reducing the degree of vibration deterioration. For the designed variable resistance module, using the maximum resistance ensures that the system’s equivalent damping coefficient reaches a sufficiently low level, making the equivalent damping force close to 0; the degree of vibration deterioration can be almost ignored.
5. Performance Evaluation Test
5.1. Introduction of the Test System
5.2. Performance Evaluation Under Sine Excitation
5.3. Performance Evaluation Under Random Road Excitation
6. Conclusions
- The variable-damping electromagnetic suspension system was designed, and the corresponding mathematical and physical models were established. The mechanism for achieving variable damping by altering the external circuit resistance was analyzed. This laid the foundation for the application of self-sensing technology in EMS.
- We combined the Kalman filter observer with self-sensing technology to estimate the velocity and displacement of the electromagnetic suspension, and the accuracy of the estimation results was verified through experiments.
- Parameters estimated through self-sensing were applied to the ADDC, to validate the effectiveness of an EMS in vibration. Applying self-sensing technology to vibration control in EMS is a feasible method.
Author Contributions
Funding
Data Availability Statement
Conflicts of Interest
References
- Masa’id, A.; Lenggana, B.W.; Ubaidillah, U.; Susilo, D.D.; Choi, S.-B. A Review on Vibration Control Strategies Using Magnetorheological Materials Actuators: Application Perspective. Actuators 2023, 12, 113. [Google Scholar] [CrossRef]
- Floreán-Aquino, K.H.; Arias-Montiel, M.; Linares-Flores, J.; Mendoza-Larios, J.G.; Cabrera-Amado, Á. Modern Semi-Active Control Schemes for a Suspension with MR Actuator for Vibration Attenuation. Actuators 2021, 10, 22. [Google Scholar] [CrossRef]
- Roshan, Y.M.; Maravandi, A.; Moallem, M. Power Electronics Control of an Energy Regenerative Mechatronic Damper. IEEE Trans. Ind. Electron. 2015, 62, 3052–3060. [Google Scholar] [CrossRef]
- Zhang, Z.; Qin, A.; Zhang, J.; Zhang, B.; Fan, Q.; Zhang, N. Fuzzy sampled-data H∞ sliding-mode control for active hysteretic suspension of commercial vehicles with unknown actuator-disturbance. Control Eng. Pract. 2021, 117, 104940–104953. [Google Scholar] [CrossRef]
- Mai, V.N.; Yoon, D.-S.; Choi, S.-B.; Kim, G.-W. Explicit model predictive control of semi-active suspension systems with magneto-rheological dampers subject to input constraints. J. Intell. Mater. Syst. Struct. 2020, 31, 1157–1170. [Google Scholar] [CrossRef]
- Liu, P.; Xia, X.; Zhang, N.; Ning, D.; Zheng, M. Torque response characteristics of a controllable electromagnetic damper for seat suspension vibration control. Mech. Syst. Signal Process. 2019, 133, 106238–106254. [Google Scholar] [CrossRef]
- Zare, K.; Mardani, M.M.; Vafamand, N.; Khooban, M.H.; Sadr, S.S.; Dragičević, T. Fuzzy-logic-based adaptive proportional-integral sliding mode control for active suspension vehicle systems: Kalman filtering approach. Inf. Technol. Control 2019, 48, 648–659. [Google Scholar] [CrossRef]
- Zhang, J.; Ding, F.; Zhang, N.; Chen, S.; Zhang, B. A New SSUKF Observer for Sliding Mode Force Tracking H∞ Control of Electrohydraulic Active Suspension. Asian J. Control 2020, 22, 761–778. [Google Scholar] [CrossRef]
- Ren, H.; Chen, S.; Zhao, Y.; Liu, G.; Yang, L. State observer-based sliding mode control for semi-active hydro-pneumatic suspension. Veh. Syst. Dyn. 2016, 54, 168–190. [Google Scholar] [CrossRef]
- Pan, H.; Sun, W.; Gao, H.; Hayat, T.; Alsaadi, F. Nonlinear tracking control based on extended state observer for vehicle active suspensions with performance constraints. Mechatronics 2015, 30, 363–370. [Google Scholar] [CrossRef]
- Wang, H.; Kin Wong, P.; Zhao, J.; Yang, Z.-X.; Yang, Z.-X. Observer-based robust gain-scheduled control for semi-active air suspension systems subject to uncertainties and external disturbance. Mech. Syst. Signal Process. 2022, 173, 109045–109065. [Google Scholar] [CrossRef]
- Zhang, B.; Liu, M.; Wang, K.; Tan, B.; Deng, Y.; Qin, A.; Liu, J. Takagi–Sugeno Fuzzy Model-Based Control for Semi-Active Cab Suspension Equipped with an Electromagnetic Damper and an Air Spring. Machines 2023, 11, 226. [Google Scholar] [CrossRef]
- Xia, X.; Zheng, M.; Liu, P.; Zhang, N.; Ning, D.; Du, H. Friction observer-based hybrid controller for a seat suspension with semi-active electromagnetic damper. Mechatronics 2021, 76, 102568. [Google Scholar] [CrossRef]
- Shi, Q.; Zhang, H. An Improved Control-Oriented Tire Model and Its Applications on Intelligent Vehicles. IEEE Trans. Intell. Veh. 2024, 9, 1501–1511. [Google Scholar] [CrossRef]
- Qin, A.; Zhang, B.; Ning, D.; Tan, B.; Du, H. A self-sensing approach for estimating suspension displacement and velocity in semi-active electromagnetic dampers. Mech. Syst. Signal Process. 2024, 208, 111049. [Google Scholar] [CrossRef]
- Verma, M.; Lafarga, V.; Collette, C. Perfect collocation using self-sensing electromagnetic actuator: Application to vibration control of flexible structures. Sens. Actuators A Phys. 2020, 313, 112210. [Google Scholar] [CrossRef]
- Yao, Y.; Li, Y.; Yin, Q. A novel method based on self-sensing motor drive system for misalignment detection. Mech. Syst. Signal Process. 2019, 116, 217–229. [Google Scholar] [CrossRef]
- Hu, G.; Ru, Y.; Li, W. Design and development of a novel displacement differential self-induced magnetorheological damper. J. Intell. Mater. Syst. Struct. 2014, 26, 527–540. [Google Scholar] [CrossRef]
- Deng, H.; Gao, Y.; Hu, R.; Zhao, S.; Han, G.; Lian, X.; Ma, M.; Zhong, X. Self-sensing automotive magnetorheological dampers for low frequency vibration. Smart Mater. Struct. 2021, 30, 115015. [Google Scholar] [CrossRef]
- Zhang, Z.; Zhang, X.; Chen, W.; Rasim, Y.; Salman, W.; Pan, H.; Yuan, Y.; Wang, C. A high-efficiency energy regenerative shock absorber using supercapacitors for renewable energy applications in range extended electric vehicle. Appl. Energy 2016, 178, 177–188. [Google Scholar] [CrossRef]
- Maciejewski, I.; Zlobinski, M.; Krzyzynski, T.; Glowinski, S. Vibration control of an active horizontal seat suspension with a permanent magnet synchronous motor. J. Sound Vib. 2020, 488, 115655–115671. [Google Scholar] [CrossRef]
- Khodarahmi, M.; Maihami, V. A review on Kalman filter models. Arch. Comput. Methods Eng. 2023, 30, 727–747. [Google Scholar] [CrossRef]
- Ning, D.; Du, H.; Sun, S.; Li, W.; Li, W. An Energy Saving Variable Damping Seat Suspension System With Regeneration Capability. IEEE Trans. Ind. Electron. 2018, 65, 8080–8091. [Google Scholar] [CrossRef]
- Liu, C.; Chen, L.; Yang, X.; Zhang, X.; Yang, Y. General Theory of Skyhook Control and its Application to Semi-Active Suspension Control Strategy Design. IEEE Access 2019, 7, 101552–101560. [Google Scholar] [CrossRef]
- Chen, B.-C.; Shiu, Y.-H.; Hsieh, F.-C. Sliding-mode control for semi-active suspension with actuator dynamics. Veh. Syst. Dyn. 2011, 49, 277–290. [Google Scholar] [CrossRef]
- Ding, Z.; Zhao, F.; Qin, Y.; Tan, C. Adaptive neural network control for semi-active vehicle suspensions. J. Vibroeng. 2017, 19, 2654–2669. [Google Scholar] [CrossRef]
- Williams, D.E. Active suspension: Future lessons from the past. SAE Int. J. Veh. Dyn. Stab. NVH 2018, 2, 147–165. [Google Scholar] [CrossRef]
- ISO. Mechanical Vibration and Shock-Evaluation of Human Exposure to Whole-Body Vibration—Part 1: General Requirements; ISO: Geneva, Switzerland, 2010. [Google Scholar]
























| Parameter | Symbol | Value |
|---|---|---|
| Vehicle mass | 255 kg | |
| Wheel mass | 35 kg | |
| Spring stiffness | 21,000 N/m | |
| Tire stiffness | 200,000 N/m | |
| Equivalent damping | 1500 N·s/m | |
| Ideal inertia | 250 kg |
Disclaimer/Publisher’s Note: The statements, opinions and data contained in all publications are solely those of the individual author(s) and contributor(s) and not of MDPI and/or the editor(s). MDPI and/or the editor(s) disclaim responsibility for any injury to people or property resulting from any ideas, methods, instructions or products referred to in the content. |
© 2024 by the authors. Licensee MDPI, Basel, Switzerland. This article is an open access article distributed under the terms and conditions of the Creative Commons Attribution (CC BY) license (https://creativecommons.org/licenses/by/4.0/).
Share and Cite
Fu, C.; Liu, P.; Yu, J.; Qin, A.; Ning, D. Self-Sensing Approach for Semi-Active Control of Variable Damping Electromagnetic Suspension System. Actuators 2024, 13, 480. https://doi.org/10.3390/act13120480
Fu C, Liu P, Yu J, Qin A, Ning D. Self-Sensing Approach for Semi-Active Control of Variable Damping Electromagnetic Suspension System. Actuators. 2024; 13(12):480. https://doi.org/10.3390/act13120480
Chicago/Turabian StyleFu, Chao, Pengfei Liu, Jianqiang Yu, An Qin, and Donghong Ning. 2024. "Self-Sensing Approach for Semi-Active Control of Variable Damping Electromagnetic Suspension System" Actuators 13, no. 12: 480. https://doi.org/10.3390/act13120480
APA StyleFu, C., Liu, P., Yu, J., Qin, A., & Ning, D. (2024). Self-Sensing Approach for Semi-Active Control of Variable Damping Electromagnetic Suspension System. Actuators, 13(12), 480. https://doi.org/10.3390/act13120480

