Three Novel Bacteriophages for the Biocontrol of Pseudomonas syringae pv. actinidiae on Artificially Contaminated Kiwifruit Leaves
Abstract
1. Introduction
2. Materials and Methods
2.1. Bacterial Strain and Growth Conditions
2.2. Phage Isolation and Purification
2.3. Virion Morphology
2.4. SDS-PAGE Analysis
2.5. Determination of the Phage Host Range and Efficiency of Plating (EOP)
2.6. Determination of the Adsorption Curves
2.7. Determination of the One-Step Growth Curves
2.8. Bacterial Inactivation Assays Using Single Phage Suspensions and Phage Cocktails
2.9. Determination of the Rate of Emergence of Phage-Resistant Bacterial Mutants
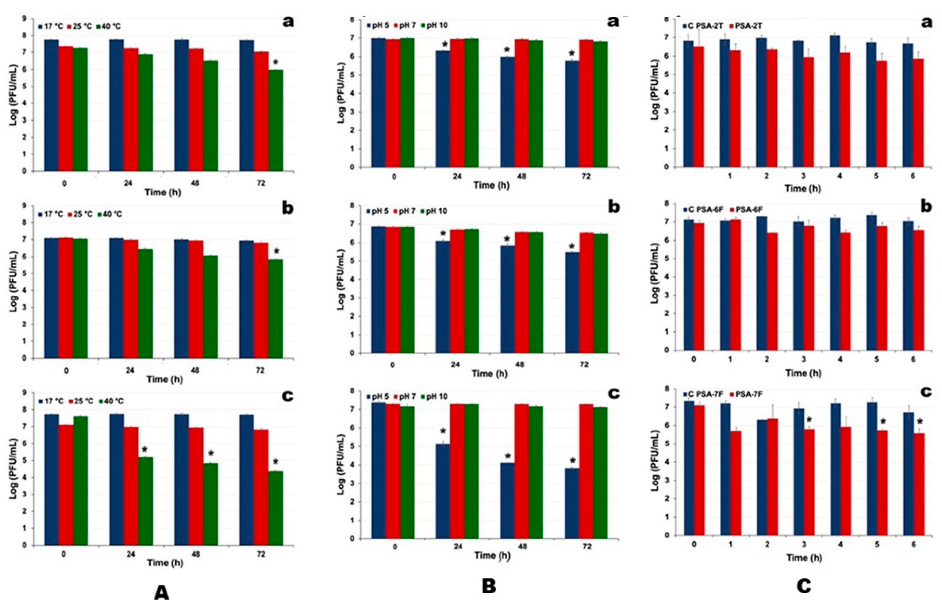
2.10. Determination of the Impact of Environmental Factors on Phage Viability
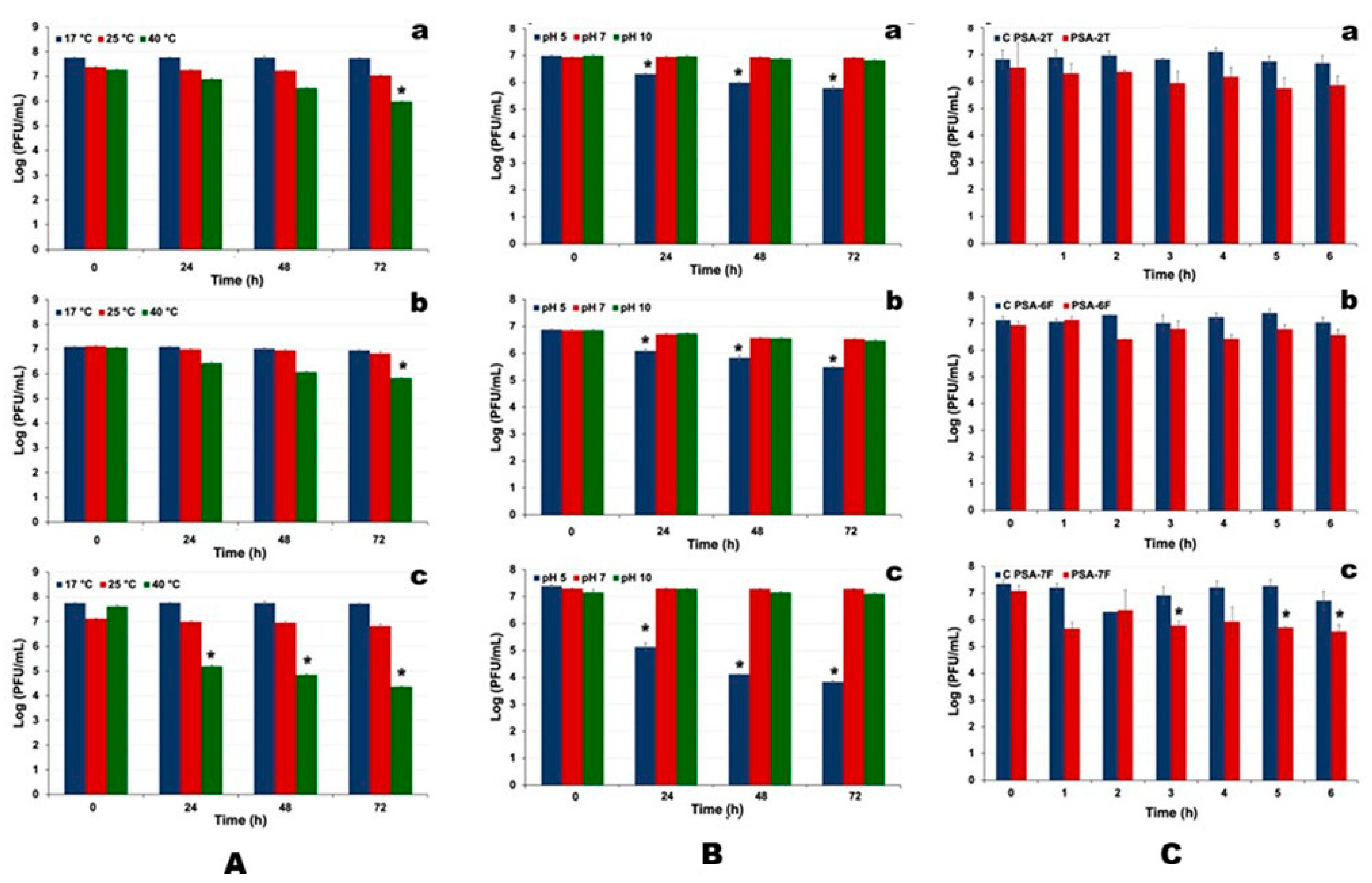
2.11. Determination of Bacterial Inactivation by Phage PSA-2T
2.12. Determination of Bacterial Inactivation by Phage Treatment on Kiwifruit Plant Leaves Artificially Contaminated with P. syringae pv. actinidiae
2.13. Phage DNA Extraction
2.14. Genomic Analysis
2.15. Viral Proteomic Tree
2.16. Statistical Analyses
3. Results
3.1. Phage Lysis Plaques and Phage Morphology
3.2. SDS-PAGE Analysis of Phage Structural Proteins
3.3. Phage Host Range Analysis and Efficiency of Plating (EOP)
3.4. Adsorption Curves
3.5. One-Step Growth Curves
3.6. Bacterial Inactivation by Single Phage Suspensions and Phage Cocktails
3.7. Rate of Emergence of Phage-Resistant Bacterial Mutants
3.8. Evaluation of Environmental Factors on Phage Viability
3.9. Bacterial Inactivation Curves with Phage PSA-2T
3.10. Phage Treatment on Kiwifruit Plant Leaves Artificially Contaminated with P. syringae pv. actinidiae
3.11. Genome Analysis
4. Discussion
5. Conclusions
Supplementary Materials
Author Contributions
Funding
Institutional Review Board Statement
Informed Consent Statement
Data Availability Statement
Acknowledgments
Conflicts of Interest
Correction Statement
References
- Food and Agriculture Organization (FAO). FAOSTAT: Crops and Livestock Products; Food and Agriculture Organization: Rome, Italy, 2022. [Google Scholar]
- Cameron, A.; Sarojini, V. Pseudomonas syringae pv. actinidiae: Chemical control, resistance mechanisms and possible alternatives. Plant Pathol. 2014, 63, 1–11. [Google Scholar] [CrossRef]
- Kim, G.H.; Kim, K.H.; Son, K.I.; Choi, E.D.; Lee, Y.S.; Jung, J.S.; Koh, Y.J. Outbreak and spread of bacterial canker of kiwifruit caused by Pseudomonas syringae pv. actinidiae biovar 3 in Korea. Plant Pathol. J. 2016, 32, 545–551. [Google Scholar] [CrossRef]
- Pereira, C.; Costa, P.; Pinheiro, L.; Balcão, V.M.; Almeida, A. Kiwifruit bacterial canker: An integrative view focused on biocontrol strategies. Planta 2021, 253, 49. [Google Scholar] [CrossRef]
- Chapman, J.R.; Taylor, R.K.; Weir, B.S.; Romberg, M.K.; Vanneste, J.L.; Luck, J.; Alexander, B.J.R. Phylogenetic relationships among global populations of Pseudomonas syringae pv. actinidiae. Phytopathology 2012, 102, 1034–1044. [Google Scholar] [CrossRef]
- Fujikawa, T.; Sawada, H. Genome analysis of Pseudomonas syringae pv. actinidiae biovar 6, which produces the phytotoxins, phaseolotoxin and coronatine. Sci. Rep. 2019, 9, 3836. [Google Scholar] [CrossRef]
- Bender, C.L.; Alarcon-Chaidez, F.; Gross, D.C. Pseudomonas syringae phytotoxins: Mode of action, regulation, and biosynthesis by peptide and polyketide synthetases. Microbiol. Mol. Biol. Rev. 1999, 63, 266–292. [Google Scholar] [CrossRef]
- Fujikawa, T.; Sawada, H. Genome analysis of the kiwifruit canker pathogen Pseudomonas syringae pv. actinidiae biovar 5. Sci. Rep. 2016, 6, 21399. [Google Scholar] [CrossRef]
- Falcone, G.; Campa, M. Diseases Caused by Pseudomonas. In Laboratory Diagnosis of Infectious Diseases; Springer: New York, NY, USA, 1988; pp. 435–442. [Google Scholar]
- Deng, S.; Chang, W.; Que, Y.; Liu, J.; Wang, H. Survival of Pseudomonas syringae pv. actinidiae in detached kiwifruit leaves at different environmental conditions. PeerJ 2023, 11, e15031. [Google Scholar] [CrossRef]
- Balestra, G.M.; Mazzaglia, A.; Quattrucci, A.; Renzi, M.; Rossetti, A. Current status of bacterial canker spread on kiwifruit in Italy. Australas. Plant Dis. Notes 2009, 4, 34–36. [Google Scholar] [CrossRef]
- Takikawa, Y.; Serizawa, S.; Ichikawa, T.; Tsuyumu, S.; Goto, M. Pseudomonas syringae pv. actinidae pv. nov.: The causal bacterium of canker of kiwifruit in Japan. Jpn. J. Phytopathol. 1989, 55, 437–444. [Google Scholar] [CrossRef]
- European Commission. Commission implementing decision of 5 December 2012 as regards measures to prevent the introduction into and the spread within the Union of Pseudomonas syringae pv. actinidiae Takikawa, Serizawa, Ichikawa, Tsuyumu & Goto. Off. J. Eur. Union 2012, 335, 49–54. [Google Scholar]
- Vogelaar, M.; Schenk, M.; Delbianco, A.; Graziosi, I.; Vos, S. Pest survey card on Pseudomonas syringae pv. actinidiae. EFSA Support. Publ. 2020, 17, 1986E. [Google Scholar] [CrossRef]
- Donati, I.; Buriani, G.; Cellini, A.; Mauri, S.; Costa, G.; Spinelli, F. New insights on the bacterial canker of kiwifruit (Pseudomonas syringae pv. actinidiae). J. Berry Res. 2014, 4, 53–67. [Google Scholar] [CrossRef]
- La Torre, A.; Iovino, V.; Caradonia, F. Copper in plant protection: Current situation and prospects. Phytopathol. Mediterr. 2018, 57, 201–236. [Google Scholar] [CrossRef]
- Vanneste, J.; Kay, C.; Onorato, R.; Yu, J.; Cornish, D.; Spinelli, F.; Max, S. Recent advances in the characterisation and control of Pseudomonas syringae pv. actinidiae, the causal agent of bacterial canker on kiwifruit. Acta Hortic. 2011, 913, 443–455. [Google Scholar] [CrossRef]
- Young, J.M. Pseudomonas syringae pv. actinidiae in New Zealand. J. Plant Pathol. 2012, 94, 5–10. [Google Scholar] [CrossRef]
- Lamichhane, J.R.; Osdaghi, E.; Behlau, F.; Köhl, J.; Jones, J.B.; Aubertot, J.-N. Thirteen decades of antimicrobial copper compounds applied in agriculture. A review. Agron. Sustain. Dev. 2018, 38, 28. [Google Scholar] [CrossRef]
- Lee, Y.S.; Kim, G.H.; Song, Y.-R.; Oh, C.-S.; Koh, Y.J.; Jung, J.S. Streptomycin Resistant Isolates of Pseudomonas syringae pv. actinidiae in Korea. Res. Plant Dis. 2020, 26, 44–47. [Google Scholar] [CrossRef]
- Ren, G.; Ding, Z.; Pan, X.; Wei, G.; Wang, P. Evaluation of the Abilities of Three Kinds of Copper-Based Nanoparticles to Control Kiwifruit Bacterial Canker. Antibiotics 2022, 11, 891. [Google Scholar] [CrossRef]
- Santos, M.G.; Nunes da Silva, M.; Vasconcelos, M.W.; Carvalho, S.M.P. Scientific and technological advances in the development of sustainable disease management tools: A case study on kiwifruit bacterial canker. Front. Plant Sci. 2024, 14, 1306420. [Google Scholar] [CrossRef]
- Luo, J.; Dai, D.; Lv, L.; Ahmed, T.; Chen, L.; Wang, Y.; An, Q.; Sun, G.; Li, B. Advancements in the Use of Bacteriophages to Combat the Kiwifruit Canker Phytopathogen Pseudomonas syringae pv. actinidiae. Viruses 2022, 14, 2704. [Google Scholar] [CrossRef] [PubMed]
- Pereira, C.; Costa, P.; Duarte, J.; Balcão, V.M.; Almeida, A. Phage therapy as a potential approach in the biocontrol of pathogenic bacteria associated with shellfish consumption. Int. J. Food Microbiol. 2021, 338, 108995. [Google Scholar] [CrossRef]
- Costa, P.; Pereira, C.; Romalde, J.L.; Almeida, A. A game of resistance: War between bacteria and phages and how phage cocktails can be the solution. Virology 2024, 599, 110209. [Google Scholar] [CrossRef]
- Harada, L.K.; Pereira, J.F.B.; Campos, W.F.; Silva, E.C.; Moutinho, C.G.; Vila, M.M.D.C.; Oliveira, J.M.; Teixeira, J.A.; Balcão, V.M.; Tubino, M. Insights into protein-ionic liquid interactions aiming at macromolecule delivery systems. J. Braz. Chem. Soc. 2018, 29, 1983–1998. [Google Scholar] [CrossRef]
- Silva, E.C.; Quinde, C.A.; Cieza, B.; Basu, A.; Vila, M.M.D.C.; Balcão, V.M. Molecular characterization and genome mechanical features of two newly isolated polyvalent bacteriophages infecting Pseudomonas syringae pv. garcae. Genes 2024, 15, 113. [Google Scholar] [CrossRef] [PubMed]
- Jones, J.B.; Vallad, G.E.; Iriarte, F.B.; Obradović, A.; Wernsing, M.H.; Jackson, L.E.; Balogh, B.; Hong, J.C.; Momol, M.T. Considerations for using bacteriophages for plant disease control. Bacteriophage 2012, 2, 208–214. [Google Scholar] [CrossRef]
- Mota, L.C.; Silva, E.C.; Quinde, C.A.; Cieza, B.; Basu, A.; Rodrigues, L.M.R.; Vila, M.M.D.C.; Balcão, V.M. Potential of a newly isolated lytic bacteriophage to control Pseudomonas coronafaciens pv. garcae in coffee plants: Molecular characterization with in vitro and ex vivo experiments. Enzym. Microb. Technol. 2025, 184, 110573. [Google Scholar] [CrossRef]
- Pinheiro, L.A.M.; Pereira, C.; Barreal, M.E.; Gallego, P.P.; Balcão, V.M.; Almeida, A. Use of phage ϕ6 to inactivate Pseudomonas syringae pv. actinidiae in kiwifruit plants: In vitro and ex vivo experiments. Appl. Microbiol. Biotechnol. 2020, 104, 1319–1330. [Google Scholar] [CrossRef]
- Silva, E.C.; Rodrigues, L.M.R.; Destefano, S.A.L.; Guerreiro Filho, O.; Braghini, M.T.; Baldo, D.A.; Oliveira, J.M., Jr.; Vila, M.M.D.C.; Balcão, V.M. Control of coffee canker associated with Pseudomonas coronafaciens pv. garcae using a cocktail integrating two virulent polyvalent bacteriophages encapsulated in nanoparticles: In planta studies. J. Appl. Microbiol. 2024, 136, lxae310. [Google Scholar] [CrossRef] [PubMed]
- Gimranov, E.; Oliveira, H.; Santos, C.; Moura, L.; Azeredo, J. Lytic properties and genomic analysis of bacteriophage Brt_Psa3, targeting Pseudomonas syringae pv. actinidiae. Appl. Microbiol. Biotechnol. 2025, 109, 220. [Google Scholar] [CrossRef]
- Iriarte, F.B.; Obradović, A.; Wernsing, M.H.; Jackson, L.E.; Balogh, B.; Hong, J.A.; Momol, M.T.; Jones, J.B.; Vallad, G.E. Soil-based systemic delivery and phyllosphere in vivo propagation of bacteriophages: Two possible strategies for improving bacteriophage persistence for plant disease control. Bacteriophage 2012, 2, 215–224. [Google Scholar] [CrossRef]
- Abedon, S.T.; Herschler, T.D.; Stopar, D. Bacteriophage Latent-Period Evolution as a Response to Resource Availability. Appl. Environ. Microbiol. 2001, 67, 4233–4241. [Google Scholar] [CrossRef] [PubMed]
- Flores, O.; Retamales, J.; Núñez, M.; León, M.; Salinas, P.; Besoain, X.; Yañez, C.; Bastías, R. Characterization of bacteriophages against Pseudomonas syringae pv. actinidiae with potential use as natural antimicrobials in kiwifruit plants. Microorganisms 2020, 8, 974. [Google Scholar] [CrossRef]
- Fiorillo, A.; Frezza, D.; Di Lallo, G.; Visconti, S. A Phage Therapy Model for the Prevention of Pseudomonas syringae pv. actinidiae Infection of Kiwifruit Plants. Plant Dis. 2023, 107, 267–271. [Google Scholar] [CrossRef]
- Di Lallo, G.; Evangelisti, M.; Mancuso, F.; Ferrante, P.; Marcelletti, S.; Tinari, A.; Superti, F.; Migliore, L.; D’Addabbo, P.; Frezza, D.; et al. Isolation and partial characterization of bacteriophages infecting Pseudomonas syringae pv. actinidiae, causal agent of kiwifruit bacterial canker. J. Basic Microbiol. 2014, 54, 1210–1221. [Google Scholar] [CrossRef]
- Frampton, R.A.; Acedo, E.L.; Young, V.L.; Chen, D.; Tong, B.; Taylor, C.; Easingwood, R.A.; Pitman, A.R.; Kleffmann, T.; Bostina, M.; et al. Genome, proteome and structure of a T7-like bacteriophage of the kiwifruit canker phytopathogen Pseudomonas syringae pv. actinidiae. Viruses 2015, 7, 3361–3379. [Google Scholar] [CrossRef]
- Yu, J.-G.; Lim, J.-A.; Song, Y.-R.; Heu, S.; Kim, G.H.; Koh, Y.J.; Oh, C.-S. Isolation and Characterization of Bacteriophages Against Pseudomonas syringae pv. actinidiae Causing Bacterial Canker Disease in Kiwifruit. J. Microbiol. Biotechnol. 2016, 26, 385–393. [Google Scholar] [CrossRef]
- Park, J.; Lim, J.-A.; Yu, J.-G.; Oh, C.-S. Genomic features and lytic activity of the bacteriophage PPPL-1 effective against Pseudomonas syringae pv. actinidiae, a cause of bacterial canker in kiwifruit. J. Microbiol. Biotechnol. 2018, 28, 1542–1546. [Google Scholar] [CrossRef] [PubMed]
- Yin, Y.; Ni, P.; Deng, B.; Wang, S.; Xu, W.; Wang, D. Isolation and characterisation of phages against Pseudomonas syringae pv. actinidiae. Acta Agric. Scand. Sect. B Soil Plant Sci. 2019, 69, 199–208. [Google Scholar] [CrossRef]
- Ni, P.; Wang, L.; Deng, B.; Jiu, S.; Ma, C.; Zhang, C.; Almeida, A.; Wang, D.; Xu, W.; Wang, S. Combined application of bacteriophages and carvacrol in the control of Pseudomonas syringae pv. actinidiae planktonic and biofilm forms. Microorganisms 2020, 8, 837. [Google Scholar] [CrossRef]
- Song, Y.R.; Vu, N.T.; Park, J.; Hwang, I.S.; Jeong, H.J.; Cho, Y.S.; Oh, C.S. Phage pppl-1, a new biological agent to control bacterial canker caused by Pseudomonas syringae pv. actinidiae in kiwifruit. Antibiotics 2021, 10, 554. [Google Scholar] [CrossRef]
- Bai, J.; Liu, Y.; Liu, M.; Luo, S.; Cheng, Y.; Li, G.; Liu, C.; Wen, S.; Xia, M.; He, X.; et al. Application of phage therapy against red-fleshed kiwifruit canker. Biol. Control 2022, 169, 104893. [Google Scholar] [CrossRef]
- Firrao, G.; Torelli, E.; Polano, C.; Ferrante, P.; Ferrini, F.; Martini, M.; Marcelletti, S.; Scortichini, M.; Ermacora, P. Genomic structural variations affecting virulence during clonal expansion of Pseudomonas syringae pv. actinidiae biovar 3 in Europe. Front. Microbiol. 2018, 9, 656. [Google Scholar] [CrossRef]
- Ferrante, P.; Scortichini, M. Frost promotes the pathogenicity of Pseudomonas syringae pv. actinidiae in Actinidia chinensis and A. deliciosa plants. Plant Pathol. 2014, 63, 12–19. [Google Scholar] [CrossRef]
- Louvado, A.; Coelho, F.J.R.C.; Domingues, P.; Santos, A.L.; Gomes, N.C.M.; Almeida, A.; Cunha, Â. Isolation of surfactant-resistant Pseudomonads from the estuarine surface microlayer. J. Microbiol. Biotechnol 2012, 22, 283–291. [Google Scholar] [CrossRef]
- Oliveira, V.; Gomes, N.C.M.; Almeida, A.; Silva, A.M.S.; Simões, M.M.Q.; Smalla, K.; Cunha, Â. Hydrocarbon contamination and plant species determine the phylogenetic and functional diversity of endophytic degrading bacteria. Mol. Ecol. 2014, 23, 1392–1404. [Google Scholar] [CrossRef] [PubMed]
- Adams, M. Bacteriophages; John Wiley and Sons: New York, NY, USA, 1959. [Google Scholar]
- Balcão, V.M.; Moreli, F.C.; Silva, E.C.; Belline, B.G.; Martins, L.F.; Rossi, F.P.N.; Pereira, C.; Vila, M.M.D.C.; da Silva, A.M. Isolation and Molecular Characterization of a Novel Lytic Bacteriophage That Inactivates MDR Klebsiella pneumoniae Strains. Pharmaceutics 2022, 14, 1421. [Google Scholar] [CrossRef]
- Kutter, E. Phage host range and efficiency of plating. In Bacteriophage: Methods and Protocols; Clokie, M.R., Kropinski, A.M., Eds.; Humana Press: Totowa, NJ, USA, 2009; pp. 141–149. [Google Scholar] [CrossRef]
- Stuer-Lauridsen, B.; Janzen, T.; Schnabl, J.; Johansen, E. Identification of the host determinant of two prolate-headed phages infecting Lactococcus lactis. Virology 2003, 309, 10–17. [Google Scholar] [CrossRef] [PubMed]
- Hyman, P.; Abedon, S.T. Practical methods for determining phage growth parameters. In Bacteriophages: Methods and Protocols, Volume 1: Isolation, Characterization, and Interactions; Humana Press: Totowa, NJ, USA, 2009; Volume 501, ISBN 9781603271646. [Google Scholar]
- Filippov, A.; Sergueev, K.V.; He, Y.; Huang, X.Z.; Gnade, B.T.; Mueller, A.J.; Fernandez-Prada, C.; Nikolich, M.P. Bacteriophage-resistant mutants in Yersinia pestis: Identification of phage receptors and attenuation for mice. PLoS ONE 2011, 6, e25486. [Google Scholar] [CrossRef]
- Bartolomeu, M.; Braz, M.; Costa, P.; Duarte, J.; Pereira, C.; Almeida, A. Evaluation of UV-C Radiation Efficiency in the Decontamination of Inanimate Surfaces and Personal Protective Equipment Contaminated with Phage φ6. Microorganisms 2022, 10, 593. [Google Scholar] [CrossRef] [PubMed]
- Bolger, A.M.; Lohse, M.; Usadel, B. Trimmomatic: A flexible trimmer for Illumina sequence data. Bioinformatics 2014, 30, 2114–2120. [Google Scholar] [CrossRef]
- Bankevich, A.; Nurk, S.; Antipov, D.; Gurevich, A.A.; Dvorkin, M.; Kulikov, A.S.; Lesin, V.M.; Nikolenko, S.I.; Pham, S.; Prjibelski, A.D.; et al. SPAdes: A new genome assembly algorithm and its applications to single-cell sequencing. J. Comput. Biol. 2012, 19, 455–477. [Google Scholar] [CrossRef] [PubMed]
- Wick, R.R.; Schultz, M.B.; Zobel, J.; Holt, K.E. Bandage: Interactive visualization of de novo genome assemblies. Bioinformatics 2015, 31, 3350–3352. [Google Scholar] [CrossRef] [PubMed]
- Bushnell, B.; Rood, J.; Singer, E. BBMerge—Accurate paired shotgun read merging via overlap. PLoS ONE 2017, 12, e0185056. [Google Scholar] [CrossRef] [PubMed]
- Walker, B.J.; Abeel, T.; Shea, T.; Priest, M.; Abouelliel, A.; Sakthikumar, S.; Cuomo, C.A.; Zeng, Q.; Wortman, J.; Young, S.K.; et al. Pilon: An integrated tool for comprehensive microbial variant detection and genome assembly improvement. PLoS ONE 2014, 9, e112963. [Google Scholar] [CrossRef] [PubMed]
- Garneau, J.R.; Depardieu, F.; Fortier, L.C.; Bikard, D.; Monot, M. PhageTerm: A tool for fast and accurate determination of phage termini and packaging mechanism using next-generation sequencing data. Sci. Rep. 2017, 7, 8292. [Google Scholar] [CrossRef]
- Shen, A.; Millard, A. Phage genome annotation: Where to begin and end. Phage 2021, 2, 183–193. [Google Scholar] [CrossRef]
- Nayfach, S.; Camargo, A.P.; Schulz, F.; Eloe-Fadrosh, E.; Roux, S.; Kyrpides, N.C. CheckV assesses the quality and completeness of metagenome-assembled viral genomes. Nat. Biotechnol. 2021, 39, 578–585. [Google Scholar] [CrossRef]
- Bouras, G.; Nepal, R.; Houtak, G.; Psaltis, A.J.; Wormald, P.J.; Vreugde, S. Pharokka: A fast scalable bacteriophage annotation tool. Bioinformatics 2023, 39, btac776. [Google Scholar] [CrossRef]
- Terzian, P.; Ndela, E.O.; Galiez, C.; Lossouarn, J.; Bucio, R.E.P.; Mom, R.; Toussaint, A.; Petit, M.-A.; Enault, F. PHROG: Families of prokaryotic virus proteins clustered using remote homology. NAR Genom. Bioinform. 2021, 3, lqab067. [Google Scholar] [CrossRef]
- Nishimura, Y.; Yoshida, T.; Kuronishi, M.; Uehara, H.; Ogata, H.; Goto, S. ViPTree: The viral proteomic tree server. Bioinformatics 2017, 33, 2379–2380. [Google Scholar] [CrossRef]
- Hyman, P. Phages for Phage Therapy: Isolation, Characterization, and Host Range Breadth. Pharmaceuticals 2019, 12, 35. [Google Scholar] [CrossRef]
- Mourosi, J.T.; Awe, A.; Guo, W.; Batra, H.; Ganesh, H. Understanding Bacteriophage Tail Fiber Interaction with Host Surface Receptor: The Key “Blueprint” for Reprogramming Phage Host Range. Int. J. Mol. Sci. 2022, 23, 12146. [Google Scholar] [CrossRef]
- Olkkonen, V.M.; Bamford, D.H. Quantitation of the adsorption and penetration stages of bacteriophage phi 6 infection. Virology 1989, 171, 229–238. [Google Scholar] [CrossRef] [PubMed]
- Harada, L.K.; Silva, E.C.; Rossi, F.P.N.; Cieza, B.; Oliveira, T.J.; Pereira, C.; Tomazetto, G.; Silva, B.B.; Squina, F.M.; Vila, M.M.D.C.; et al. Characterization and in vitro testing of newly isolated lytic bacteriophages for the biocontrol of Pseudomonas aeruginosa. Future Microbiol. 2022, 17, 111–141. [Google Scholar] [CrossRef]
- Payne, R.; Jansen, V. Understanding bacteriophage therapy as a density-dependent kinetic process. J. Theor. Biol. 2001, 208, 37–48. [Google Scholar] [CrossRef]
- Abedon, S.T. Lysis from without. Bacteriophage 2011, 1, 46–49. [Google Scholar] [CrossRef]
- Shao, Y.; Wang, I.-N. Bacteriophage adsorption rate and optimal lysis time. Genetics 2008, 180, 471–482. [Google Scholar] [CrossRef]
- Jones, J.B.; Jackson, L.E.; Balogh, B.; Obradovic, A.; Iriarte, F.B.; Momol, M.T. Bacteriophages for plant disease control. Annu. Rev. Phytopathol. 2007, 45, 245–262. [Google Scholar] [CrossRef] [PubMed]
- Balogh, B.; Jones, J.B.; Iriarte, F.B.; Momol, M.T. Phage therapy for plant disease control. Curr. Pharm. Biotechnol. 2010, 11, 48–57. [Google Scholar] [CrossRef]
- Abedon, S.; Culler, R.R. Optimizing bacteriophage plaque fecundity. J. Theor. Biol. 2007, 249, 582–592. [Google Scholar] [CrossRef]
- Balcão, V.M.; Basu, A.; Cieza, B.; Rossi, F.N.; Pereira, C.; Vila, M.M.D.C.; Setubal, J.C.; Ha, T.; da Silva, A.M. Pseudomonas-tailed lytic phages: Genome mechanical analysis and putative correlation with virion morphogenesis yield. Future Microbiol. 2022, 17, 1009–1026. [Google Scholar] [CrossRef]
- Mateus, L.; Costa, L.; Silva, Y.J.; Pereira, C.; Cunha, A.; Almeida, A. Efficiency of phage cocktails in the inactivation of Vibrio in aquaculture. Aquaculture 2014, 424–425, 167–173. [Google Scholar] [CrossRef]
- Pereira, C.; Moreirinha, C.; Lewicka, M.; Almeida, P.; Clemente, C.; Cunha, Â.; Delgadillo, I.; Romalde, J.; Nunes, M.L.; Almeida, A. Bacteriophages with potential to inactivate Salmonella Typhimurium: Use of single phage suspensions and phage cocktails. Virus Res. 2016, 220, 179–192. [Google Scholar] [CrossRef] [PubMed]
- Gill, J.J.; Hyman, P. Phage choice, isolation, and preparation for phage therapy. Curr. Pharm. Biotechnol. 2010, 11, 2–14. [Google Scholar] [CrossRef] [PubMed]
- Pinheiro, L.; Pereira, C.; Frazão, C.; Balcão, V.; Almeida, A. Efficiency of phage φ6 for biocontrol of Pseudomonas syringae pv. syringae: An in vitro preliminary study. Microorganisms 2019, 7, 286. [Google Scholar] [CrossRef]
- Duarte, J.; Pereira, C.; Moreirinha, C.; Salvio, R.; Lopes, A.; Wang, D.; Almeida, A. New insights on phage efficacy to control Aeromonas salmonicida in aquaculture systems: An in vitro preliminary study. Aquaculture 2018, 495, 970–982. [Google Scholar] [CrossRef]
- Forti, F.; Roach, D.R.; Cafora, M.; Pasini, M.E.; Horner, D.S.; Fiscarelli, E.V.; Rossitto, M.; Cariani, L.; Briani, F.; Debarbieux, L. Design of a Broad-Range Bacteriophage Cocktail That Reduces Pseudomonas aeruginosa Biofilms and Treats Acute Infections in Two Animal Models. Antimicrob. Agents Chemother. 2018, 62, e02573-17. [Google Scholar] [CrossRef]
- Costa, P.; Pereira, C.; Gomes, A.; Almeida, A. Efficiency of single phage suspensions and phage cocktail in the inactivation of Escherichia coli and Salmonella Typhimurium: An in vitro preliminary study. Microorganisms 2019, 7, 94. [Google Scholar] [CrossRef]
- Silva, E.C.; Rodrigues, L.M.R.; Vila, M.M.D.C.; Balcão, V.M. Newly isolated phages preying on Pseudomonas syringae pv. garcae: In vitro and ex vivo inactivation studies in coffee plant leafs. Enzyme Microb. Technol. 2023, 171, 110325. [Google Scholar] [CrossRef]
- Wright, R.C.; Friman, V.-P.; Smith, M.C.M.; Brockhurst, M.A. Cross-resistance is modular in bacteria–phage interactions. PLoS Biol. 2018, 16, e2006057. [Google Scholar] [CrossRef]
- Rombouts, S.; Volckaert, A.; Venneman, S.; Declercq, B.; Vandenheuvel, D.; Allonsius, C.N.; Van Malderghem, C.; Jang, H.B.; Briers, Y.; Noben, J.P.; et al. Characterization of novel bacteriophages for biocontrol of bacterial blight in leek caused by Pseudomonas syringae pv. porri. Front. Microbiol. 2016, 7, 279. [Google Scholar] [CrossRef]
- Li, M.; Jin, Y.; Lin, H.; Wang, J.; Jiang, X. Complete genome of a novel lytic Vibrio parahaemolyticus phage VPp1 and characterization of its endolysin for antibacterial activities. J. Food Prot. 2018, 81, 1117–1125. [Google Scholar] [CrossRef]
- Ferran, A.A.; Lacroix, M.Z.; Gourbeyre, O.; Huesca, A.; Gaborieau, B.; Debarbieux, L.; Bousquet-Mélou, A. The selection of antibiotic- and bacteriophage-resistant Pseudomonas aeruginosa is prevented by their combination. Microbiol. Spectr. 2022, 10, e02874-22. [Google Scholar] [CrossRef]
- Buttimer, C.; McAuliffe, O.; Ross, R.P.; Hill, C.; O’Mahony, J.; Coffey, A. Bacteriophages and bacterial plant diseases. Front. Microbiol. 2017, 8, 34. [Google Scholar] [CrossRef]
- Labrie, S.J.; Samson, J.E.; Moineau, S. Bacteriophage resistance mechanisms. Nat. Rev. Microbiol. 2010, 8, 317–327. [Google Scholar] [CrossRef] [PubMed]
- Koskella, B.; Brockhurst, M.A. Bacteria-phage coevolution as a driver of ecological and evolutionary processes in microbial communities. FEMS Microbiol. Rev. 2014, 38, 916–931. [Google Scholar] [CrossRef] [PubMed]
- Frampton, R.A.; Pitman, A.R.; Fineran, P.C. Advances in bacteriophage-mediated control of plant pathogens. Int. J. Microbiol. 2012, 2012, 326452. [Google Scholar] [CrossRef] [PubMed]
- Chan, B.K.; Abedon, S.T.; Loc-Carrillo, C. Phage cocktails and the future of phage therapy. Future Microbiol. 2013, 8, 769–783. [Google Scholar] [CrossRef]
- Torres-Barceló, C. The disparate effects of bacteriophages on antibiotic-resistant bacteria. Emerg. Microbes Infect. 2018, 7, 168. [Google Scholar] [CrossRef]
- Svircev, A.; Roach, D.; Castle, A. Framing the future with bacteriophages in agriculture. Viruses 2018, 10, 218. [Google Scholar] [CrossRef]
- Cutler, T.; Zimmerman, J. Ultraviolet irradiation and the mechanisms underlying its inactivation of infectious agents. Anim. Heal. Res. Rev. 2011, 12, 15–23. [Google Scholar] [CrossRef]
- Wurtmann, E.J.; Wolin, S.L. RNA under attack: Cellular handling of RNA damage. Crit. Rev. Biochem. Mol. Biol. 2009, 44, 34–49. [Google Scholar] [CrossRef] [PubMed]
- Manjula, B.; Varaprasad, K.; Sadiku, R.; Raju, K.M. Preparation and characterization of sodium alginate-based hydrogels and their in vitro release studies. Adv. Polym. Technol. 2013, 32, 1–12. [Google Scholar] [CrossRef]
- Rios, A.; Vila, M.; Lima, R.; Del Fiol, F.; Tubino, M.; Teixeira, J.; Balcão, V. Structural and functional stabilization of bacteriophage particles within the aqueous core of a W/O/W multiple emulsion: A potential biotherapeutic system for the inhalational treatment of bacterial pneumonia. Process Biochem. 2018, 64, 177–192. [Google Scholar] [CrossRef]
- Balcão, V.M.; Barreira, S.V.P.; Nunes, T.M.; Chaud, M.V.; Tubino, M.; Vila, M.M.D.C. Carbohydrate hydrogels with stabilized phage particles for bacterial biosensing: Bacterium diffusion studies. Appl. Biochem. Biotechnol. 2014, 172, 1194–1214. [Google Scholar] [CrossRef]
- Balcão, V.M.; Vila, M.M.D.C. Structural and functional stabilization of protein entities: State-of-the-art. Adv. Drug Deliv. Rev. 2015, 93, 25–41. [Google Scholar] [CrossRef]
- Balcão, V.M.; Glasser, C.A.; Chaud, M.V.; del Fiol, F.S.; Tubino, M.; Vila, M.M.D.C. Biomimetic aqueous-core lipid nanoballoons integrating a multiple emulsion formulation: A suitable housing system for viable lytic bacteriophages. Colloids Surf. B Biointerfaces 2014, 123, 478–485. [Google Scholar] [CrossRef]
- Hsu, C.-H.; Lo, C.-Y.; Liu, J.-K.; Lin, C.-S. Control of the eel (Anguilla japonica) pathogens, Aeromonas hydrophila and Edwardsiella tarda, by bacteriophages. J. Fish. Soc. Taiwan 2000, 27, 21–31. [Google Scholar] [CrossRef]
- Pasharawipas, T.; Manopvisetcharean, J.; Flegel, T. Phage treatment of Vibrio harveyi: A general concept of protection against bacterial infection. Res. J. Microbiol. 2011, 6, 560–567. [Google Scholar] [CrossRef]
- Prasad, Y.; Arpana; Kumar, D.; Sharma, A. Lytic bacteriophages specific to Flavobacterium columnare rescue catfish, Clarias batrachus (Linn.) from columnaris disease. J. Environ. Biol. 2011, 32, 161–168. [Google Scholar]
- Oechslin, F. Resistance development to bacteriophages occurring during bacteriophage therapy. Viruses 2018, 10, 351. [Google Scholar] [CrossRef] [PubMed]
- Kasurinen, J.; Spruit, C.M.; Wicklund, A.; Pajunen, M.I.; Skurnik, M. Screening of Bacteriophage Encoded Toxic Proteins with a Next Generation Sequencing-Based Assay. Viruses 2021, 13, 750. [Google Scholar] [CrossRef]
- Kharina, A.V.; Zaika, S.A.; Yumyna, Y.M.; Zelena, P.P.; Kornienko, N.O.; Kosenko, Y.A.; Polischuk, V.P. Detection of Proteus mirabilis and Enterobacter cloacae in tomatto and pepper fruits and isolation of their bacteriophages. Sci. Rep. Natl. Univ. Life Resour. Environ. Manag. Ukr. 2015, 13, 80–93. [Google Scholar]
- Oliveira, H.; Sillankorva, S.; Merabishvili, M.; Kluskens, L.D.; Azeredo, J. Unexploited opportunities for phage therapy. Front. Pharmacol. 2015, 6, 180. [Google Scholar] [CrossRef]
- Harrison, E.; Brockhurst, M.A. Ecological and Evolutionary Benefits of Temperate Phage: What Does or Doesn’t Kill You Makes You Stronger. BioEssays 2017, 39, 1700112. [Google Scholar] [CrossRef] [PubMed]







| Strains | Phages | |||||
|---|---|---|---|---|---|---|
| PSA-2T | PSA-6F | PSA-7F | ||||
| Spot Test | EOP (%) | Spot Test | EOP (%) | Spot Test | EOP (%) | |
| P. syringae pv. actinidiae CRA-FRU 14.10 (host) | + | 100 | + | 100 | + | 100 |
| P. syringae pv. actinidiae CRA-FRU 12.54 | + | 127 ± 4 | + | 99 ± 16 | + | 159 ± 13 |
| P. syringae pv. actinidiae CRA-FRU 8.43 | − | 0 | − | 0 | − | 0 |
| Pseudomonas syringae pv. syringae DSM 21482 | + | 120 ± 4 | + | 90 ± 6 | + | 148 ± 11 |
| Pseudomonas sp. X047434 | − | 0 | − | 0 | − | 0 |
| Pseudomonas sp. EF627998 | − | 0 | − | 0 | − | 0 |
| Pseudomonas sp. EF628000 | − | 0 | − | 0 | − | 0 |
| Pseudomonas sp. AF411853 | − | 0 | − | 0 | − | 0 |
| Pseudomonas sp. HF679142 | − | 0 | − | 0 | − | 0 |
| Pseudomonas sp. AB772943 | − | 0 | − | 0 | − | 0 |
| Pseudomonas sp. EU306338 | − | 0 | − | 0 | − | 0 |
| Pseudomonas sp. GU966669 | − | 0 | − | 0 | − | 0 |
| Pseudomonas sp. AY332207 | − | 0 | − | 0 | − | 0 |
| Pseudomonas sp. JN033360 | − | 0 | − | 0 | − | 0 |
| Pseudomonas putida JQ619028 | − | 0 | − | 0 | − | 0 |
| Pseudomonas putida JQ824856 | − | 0 | − | 0 | − | 0 |
| Pseudomonas stutzeri EU167940 | − | 0 | − | 0 | − | 0 |
| Pseudomonas rhodesiae JX994152 | − | 0 | − | 0 | − | 0 |
| Pseudomonas aeruginosa ATCC 27853 | − | 0 | − | 0 | − | 0 |
| Aeromonas hydrophila ATCC 7966 | − | 0 | − | 0 | − | 0 |
| Escherichia coli ATCC 13706 | − | 0 | − | 0 | − | 0 |
| Escherichia coli ATCC 25922 | − | 0 | − | 0 | − | 0 |
| Staphylococcus aureus ATCC 6538 | − | 0 | − | 0 | − | 0 |
| Salmonella Typhimurium ATCC 14028 | − | 0 | − | 0 | − | 0 |
| Salmonella Typhimurium ATCC 13311 | − | 0 | − | 0 | − | 0 |
| Vibrio parahaemolyticus DSM 27657 | − | 0 | − | 0 | − | 0 |
| Single Phages/ Phage Cocktails | Control Sample (CFU/mL) | Sample Treated with Phages (CFU/mL) | Frequency of Phage-Resistant Bacterial Mutants |
|---|---|---|---|
| PSA-2T | 1.60 ± 0.56 × 108 | 2.90 ± 0.86 × 106 | 1.86 × 10−2 |
| PSA-6F | 1.41 ± 0.22 × 108 | 9.29 ± 0.49 × 106 | 6.58 × 10−2 |
| PSA-7F | 1.36 ± 0.20 × 108 | 2.13 ± 0.15 × 106 | 1.77 × 10−2 |
| PSA-2T/PSA-6F | 1.44 ± 0.24 × 108 | 2.43 ± 0.11 × 106 | 1.69 × 10−2 |
| PSA-2T/PSA-7F | 1.42 ± 0.21 × 108 | 2.23 ± 0.49 × 106 | 1.58 × 10−2 |
| PSA-6F/PSA-7F | 1.39 ± 0.25 × 108 | 2.03 ± 0.11 × 106 | 1.47 × 10−2 |
| PSA-2T/PSA-6F/PSA-7F | 1.49 ± 0.14 × 108 | 1.51 ± 0.70 × 106 | 1.01 × 10−2 |
Disclaimer/Publisher’s Note: The statements, opinions and data contained in all publications are solely those of the individual author(s) and contributor(s) and not of MDPI and/or the editor(s). MDPI and/or the editor(s) disclaim responsibility for any injury to people or property resulting from any ideas, methods, instructions or products referred to in the content. |
© 2025 by the authors. Licensee MDPI, Basel, Switzerland. This article is an open access article distributed under the terms and conditions of the Creative Commons Attribution (CC BY) license (https://creativecommons.org/licenses/by/4.0/).
Share and Cite
Pereira, C.; Gomes, E.; Costa, P.; Duarte, J.; Braz, M.; Oliveira, V.; Gomes, N.C.M.; Balcão, V.M.; Almeida, A. Three Novel Bacteriophages for the Biocontrol of Pseudomonas syringae pv. actinidiae on Artificially Contaminated Kiwifruit Leaves. Pathogens 2025, 14, 1247. https://doi.org/10.3390/pathogens14121247
Pereira C, Gomes E, Costa P, Duarte J, Braz M, Oliveira V, Gomes NCM, Balcão VM, Almeida A. Three Novel Bacteriophages for the Biocontrol of Pseudomonas syringae pv. actinidiae on Artificially Contaminated Kiwifruit Leaves. Pathogens. 2025; 14(12):1247. https://doi.org/10.3390/pathogens14121247
Chicago/Turabian StylePereira, Carla, Eduardo Gomes, Pedro Costa, João Duarte, Márcia Braz, Vanessa Oliveira, Newton C. M. Gomes, Victor M. Balcão, and Adelaide Almeida. 2025. "Three Novel Bacteriophages for the Biocontrol of Pseudomonas syringae pv. actinidiae on Artificially Contaminated Kiwifruit Leaves" Pathogens 14, no. 12: 1247. https://doi.org/10.3390/pathogens14121247
APA StylePereira, C., Gomes, E., Costa, P., Duarte, J., Braz, M., Oliveira, V., Gomes, N. C. M., Balcão, V. M., & Almeida, A. (2025). Three Novel Bacteriophages for the Biocontrol of Pseudomonas syringae pv. actinidiae on Artificially Contaminated Kiwifruit Leaves. Pathogens, 14(12), 1247. https://doi.org/10.3390/pathogens14121247

