Efficacy of UV-C 254 nm Light and a Sporicidal Surface Disinfectant in Inactivating Spores from Clostridioides difficile Ribotypes In Vitro
Abstract
1. Introduction
2. Materials and Methods
2.1. C. difficile Strains
2.2. Preparation and Purification of C. difficile Spores
2.3. UV-C Radiation Source and Dose Measurement
2.4. Inoculation, UV-C Treatments, and C. difficile Spore Recovery and Enumeration
2.5. Sporicidal Surface Wipe Treatment
2.6. Data Analysis
3. Results
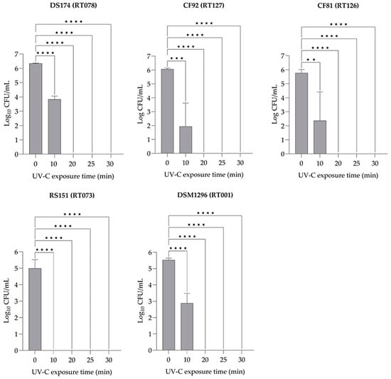
3.1. Efficacy of UV-C 254 nm Light in the Inactivation of C. difficile Spores at Various Exposure Times on the Surface of BHI Agar Plates and in PBS Solution
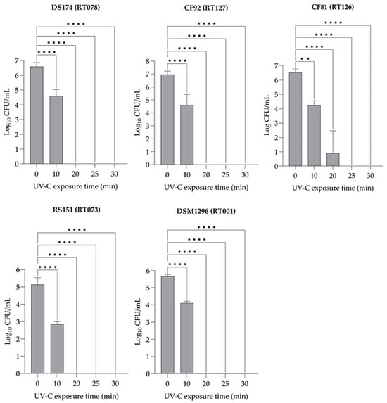
3.2. Efficacy of the UV-C Dose for the Reduction of C. difficile Spores on the Surface of BHI Agar Plates and in PBS Solution
3.3. Efficacy of Sporicidal Surface Wipes on the log10 CFU Reduction of C. difficile Spores on Different Surfaces
4. Discussion
5. Conclusions
Supplementary Materials
Author Contributions
Funding
Institutional Review Board Statement
Informed Consent Statement
Data Availability Statement
Acknowledgments
Conflicts of Interest
References
- Buddle, J.E.; Fagan, R.P. Pathogenicity and virulence of Clostridioides difficile. Virulence 2023, 14, 2150452. [Google Scholar] [CrossRef] [PubMed]
- Rupnik, M.; Wilcox, M.H.; Gerding, D.N. Clostridium difficile infection: New developments in epidemiology and pathogenesis. Nat. Rev. Microbiol. 2009, 7, 526–536. [Google Scholar] [CrossRef] [PubMed]
- Usacheva, E.A.; Jin, J.-P.; Peterson, L.R. Host response to Clostridium difficile infection: Diagnostics and detection. J. Glob. Antimicrob. Resist. 2016, 7, 93–101. [Google Scholar] [CrossRef]
- Shaughnessy, M.K.; Micielli, R.L.; DePestel, D.D.; Arndt, J.; Strachan, C.L.; Welch, K.B.; Chenoweth, C.E. Evaluation of hospital room assignment and acquisition of Clostridium difficile infection. Infect. Control Hosp. Epidemiol. 2011, 32, 201–206. [Google Scholar] [CrossRef] [PubMed]
- Lawler, A.J.; Lambert, P.A.; Worthington, T. A Revised Understanding of Clostridioides difficile Spore Germination. Trends Microbiol. 2020, 28, 744–752. [Google Scholar] [CrossRef] [PubMed]
- Armstrong, G.N.; Watson, I.A.; Stewart-Tull, D.E. Inactivation of B. cereus spores on agar, stainless steel or in water with a combination of Nd:YAG laser and UV irradiation. Innov. Food Sci. Emerg. Technol. 2006, 7, 94–99. [Google Scholar] [CrossRef]
- Setlow, P. Spores of Bacillus subtilis: Their resistance to and killing by radiation, heat and chemicals. J. Appl. Microbiol. 2006, 101, 514–525. [Google Scholar] [CrossRef]
- Setlow, P.; Christie, G. What’s new and notable in bacterial spore killing! World J. Microbiol. Biotechnol. 2021, 37, 144. [Google Scholar] [CrossRef]
- Kim, H.-J.; Yoon, H.-W.; Lee, M.-A.; Kim, Y.-H.; Lee, C.J. Impact of UV-C Irradiation on Bacterial Disinfection in a Drinking Water Purification System. J. Microbiol. Biotechnol. 2023, 33, 106–113. [Google Scholar] [CrossRef]
- Cutler, T.D.; Zimmerman, J.J. Ultraviolet irradiation and the mechanisms underlying its inactivation of infectious agents. Anim. Health Res. Rev. 2011, 12, 15–23. [Google Scholar] [CrossRef]
- Reineke, K.; Mathys, A. Endospore Inactivation by Emerging Technologies: A Review of Target Structures and Inactivation Mechanisms. Annu. Rev. Food Sci. Technol. 2020, 11, 255–274. [Google Scholar] [CrossRef] [PubMed]
- Li, X.; Cai, M.; Wang, L.; Niu, F.; Yang, D.; Zhang, G. Evaluation survey of microbial disinfection methods in UV-LED water treatment systems. Sci. Total Environ. 2019, 659, 1415–1427. [Google Scholar] [CrossRef] [PubMed]
- Nyangaresi, P.O.; Rathnayake, T.; Beck, S.E. Evaluation of disinfection efficacy of single UV-C, and UV-A followed by UV-C LED irradiation on Escherichia coli, B. spizizenii and MS2 bacteriophage, in water. Sci. Total Environ. 2023, 859, 160256. [Google Scholar] [CrossRef] [PubMed]
- Gayán, E.; Álvarez, I.; Condón, S. Inactivation of bacterial spores by UV-C light. Innov. Food Sci. Emerg. Technol. 2013, 19, 140–145. [Google Scholar] [CrossRef]
- Tschudin-Sutter, S.; Kuijper, E.J.; Durovic, A.; Vehreschild, M.J.G.T.; Barbut, F.; Eckert, C.; Fitzpatrick, F.; Hell, M.; Norèn, T.; O’Driscoll, J.; et al. Guidance document for prevention of Clostridium difficile infection in acute healthcare settings. Clin. Microbiol. Infect. 2018, 24, 1051–1054. [Google Scholar] [CrossRef]
- Dyer, C.; Hutt, L.P.; Burky, R.; Joshi, L.T. Biocide Resistance and Transmission of Clostridium difficile Spores Spiked onto Clinical Surfaces from an American Health Care Facility. Appl. Environ. Microbiol. 2019, 85, e01090-19. [Google Scholar] [CrossRef]
- Yokoe, D.S.; Anderson, D.J.; Berenholtz, S.M.; Calfee, D.P.; Dubberke, E.R.; Ellingson, K.D.; Gerding, D.N.; Haas, J.P.; Kaye, K.S.; Klompas, M.; et al. A compendium of strategies to prevent healthcare-associated infections in acute care hospitals: 2014 updates. Infect. Control Hosp. Epidemiol. 2014, 35, 967–977. [Google Scholar] [CrossRef]
- European Standard EN 13704:2018; Chemical Disinfectants—Quantitative Suspension Test for the Evaluation of Sporicidal Activity of Chemical Disinfectants Used in Food, Industrial, Domestic and Institutional Areas—Test Method and Requirements (Phase 2, Step 1). European Committee for Standardization: Brussels, Belgium, 2018.
- Wesgate, R.; Rauwel, G.; Criquelion, J.; Maillard, J.-Y. Impact of standard test protocols on sporicidal efficacy. J. Hosp. Infect. 2016, 93, 256–262. [Google Scholar] [CrossRef]
- Blau, K.; Berger, F.K.; Mellmann, A.; Gallert, C. Clostridioides difficile from Fecally Contaminated Environmental Sources: Resistance and Genetic Relatedness from a Molecular Epidemiological Perspective. Microorganisms 2023, 11, 2497. [Google Scholar] [CrossRef]
- Blau, K.; Gallert, C. Prevalence, Antimicrobial Resistance and Toxin-Encoding Genes of Clostridioides difficile from Environmental Sources Contaminated by Feces. Antibiotics 2023, 12, 162. [Google Scholar] [CrossRef]
- Putnam, E.E.; Nock, A.M.; Lawley, T.D.; Shen, A. SpoIVA and SipL are Clostridium difficile spore morphogenetic proteins. J. Bacteriol. 2013, 195, 1214–1225. [Google Scholar] [CrossRef] [PubMed]
- Herigstad, B.; Hamilton, M.; Heersink, J. How to optimize the drop plate method for enumerating bacteria. J. Microbiol. Methods 2001, 44, 121–129. [Google Scholar] [CrossRef]
- Mitchell, J.B.; Sifuentes, L.Y.; Wissler, A.; Abd-Elmaksoud, S.; Lopez, G.U.; Gerba, C.P. Modelling of ultraviolet light inactivation kinetics of methicillin-resistant Staphylococcus aureus, vancomycin-resistant Enterococcus, Clostridium difficile spores and murine norovirus on fomite surfaces. J. Appl. Microbiol. 2019, 126, 58–67. [Google Scholar] [CrossRef] [PubMed]
- Boyce, J.M.; Farrel, P.A.; Towle, D.; Fekieta, R.; Aniskiewicz, M. Impact of Room Location on UV-C Irradiance and UV-C Dosage and Antimicrobial Effect Delivered by a Mobile UV-C Light Device. Infect. Control Hosp. Epidemiol. 2016, 37, 667–672. [Google Scholar] [CrossRef] [PubMed]
- Alhmidi, H.; Cadnum, J.L.; Piedrahita, C.T.; John, A.R.; Donskey, C.J. Evaluation of an automated ultraviolet-C light disinfection device and patient hand hygiene for reduction of pathogen transfer from interactive touchscreen computer kiosks. Am. J. Infect. Control 2018, 46, 464–467. [Google Scholar] [CrossRef] [PubMed]
- Nerandzic, M.M.; Cadnum, J.L.; Eckart, K.E.; Donskey, C.J. Evaluation of a hand-held far-ultraviolet radiation device for decontamination of Clostridium difficile and other healthcare-associated pathogens. BMC Infect. Dis. 2012, 12, 120. [Google Scholar] [CrossRef]
- Nerandzic, M.M.; Fisher, C.W.; Donskey, C.J. Sorting through the Wealth of Options: Comparative Evaluation of Two Ultraviolet Disinfection Systems. PLoS ONE 2014, 9, e107444. [Google Scholar] [CrossRef]
- Boyce, J.M.; Havill, N.L.; Moore, B.A. Terminal decontamination of patient rooms using an automated mobile UV light unit. Infect. Control Hosp. Epidemiol. 2011, 32, 737–742. [Google Scholar] [CrossRef]
- Rutala, W.A.; Gergen, M.F.; Weber, D.J. Room decontamination with UV radiation. Infect. Control Hosp. Epidemiol. 2010, 31, 1025–1029. [Google Scholar] [CrossRef]
- Nerber, H.N.; Sorg, J.A. The small acid-soluble proteins of Clostridioides difficile are important for UV resistance and serve as a check point for sporulation. PLoS Pathog. 2021, 17, e1009516. [Google Scholar] [CrossRef]
- Setlow, P. Spore Resistance Properties. Microbiol. Spectr. 2014, 2, 201–215. [Google Scholar] [CrossRef] [PubMed]
- Setlow, P. Small, acid-soluble spore proteins of Bacillus species: Structure, synthesis, genetics, function, and degradation. Annu. Rev. Microbiol. 1988, 42, 319–338. [Google Scholar] [CrossRef] [PubMed]
- Tande, B.M.; Pringle, T.A.; Rutala, W.A.; Gergen, M.F.; Weber, D.J. Understanding the effect of ultraviolet light intensity on disinfection performance through the use of ultraviolet measurements and simulation. Infect. Control Hosp. Epidemiol. 2018, 39, 1122–1124. [Google Scholar] [CrossRef] [PubMed]
- Nerandzic, M.M.; Cadnum, J.L.; Pultz, M.J.; Donskey, C.J. Evaluation of an automated ultraviolet radiation device for decontamination of Clostridium difficile and other healthcare-associated pathogens in hospital rooms. BMC Infect. Dis. 2010, 10, 197. [Google Scholar] [CrossRef] [PubMed]
- Boyce, J.M.; Donskey, C.J. Understanding ultraviolet light surface decontamination in hospital rooms: A primer. Infect. Control Hosp. Epidemiol. 2019, 40, 1030–1035. [Google Scholar] [CrossRef]
- Moore, G.; Ali, S.; Cloutman-Green, E.A.; Bradley, C.R.; Wilkinson, M.A.C.; Hartley, J.C.; Fraise, A.P.; Wilson, A.P.R. Use of UV-C radiation to disinfect non-critical patient care items: A laboratory assessment of the Nanoclave Cabinet. BMC Infect. Dis. 2012, 12, 174. [Google Scholar] [CrossRef]
- Turner, N.A.; Anderson, D.J. Hospital Infection Control: Clostridioides difficile. Clin. Colon Rectal Surg. 2020, 33, 98–108. [Google Scholar] [CrossRef]
- Dancer, S.J. Mopping up hospital infection. J. Hosp. Infect. 1999, 43, 85–100. [Google Scholar] [CrossRef]
- Wilcox, M.H.; Fraise, A.P.; Bradley, C.R.; Walker, J.; Finch, R.G. Sporicides for Clostridium difficile: The devil is in the detail. J. Hosp. Infect. 2011, 77, 187–188. [Google Scholar] [CrossRef]
- Siani, H.; Cooper, C.; Maillard, J.-Y. Efficacy of “sporicidal” wipes against Clostridium difficile. Am. J. Infect. Control 2011, 39, 212–218. [Google Scholar] [CrossRef]
- Rutala, W.A.; Gergen, M.F.; Weber, D.J. Efficacy of different cleaning and disinfection methods against Clostridium difficile spores: Importance of physical removal versus sporicidal inactivation. Infect. Control Hosp. Epidemiol. 2012, 33, 1255–1258. [Google Scholar] [CrossRef] [PubMed]
- Nkemngong, C.A.; Chaggar, G.K.; Li, X.; Teska, P.J.; Oliver, H.F. Disinfectant wipes transfer Clostridioides difficile spores from contaminated surfaces to uncontaminated surfaces during the disinfection process. Antimicrob. Resist. Infect. Control 2020, 9, 176. [Google Scholar] [CrossRef] [PubMed]
- Lim, S.C.; Collins, D.; Riley, T. Evaluation of peracetic acid sporicidal wipes in removing Clostridioides (Clostridium) difficile spores from rubber surfaces. Int. J. Infect. Dis. 2020, 101, 312. [Google Scholar] [CrossRef]
- Kenters, N.; Huijskens, E.G.W.; de Wit, S.C.J.; Sanders, I.G.J.M.; van Rosmalen, J.; Kuijper, E.J.; Voss, A. Effectiveness of various cleaning and disinfectant products on Clostridium difficile spores of PCR ribotypes 010, 014 and 027. Antimicrob. Resist. Infect. Control 2017, 6, 54. [Google Scholar] [CrossRef]
- Gemein, S.; Andrich, R.; Christiansen, B.; Decius, M.; Exner, M.; Hunsinger, B.; Imenova, E.; Kampf, G.; Koburger-Janssen, T.; Konrat, K.; et al. Efficacy of five ‘sporicidal’ surface disinfectants against Clostridioides difficile spores in suspension tests and 4-field tests. J. Hosp. Infect. 2022, 122, 140–147. [Google Scholar] [CrossRef]







| Strain ID | PCR-Ribotypes | Toxin Genes | Source | Reference |
|---|---|---|---|---|
| DS174 | RT078 | TcdA, TcdB, CDT | DSS-S | [20,21] |
| CF81 | RT126 | TcdA, TcdB, CDT | CF | |
| CF92 | RT127 | TcdA, TcdB, CDT | CF | |
| RS151 | RT073 | - | RS | |
| DSM1296 | RT001 | TcdA, TcdB | Human | DSM |
Disclaimer/Publisher’s Note: The statements, opinions and data contained in all publications are solely those of the individual author(s) and contributor(s) and not of MDPI and/or the editor(s). MDPI and/or the editor(s) disclaim responsibility for any injury to people or property resulting from any ideas, methods, instructions or products referred to in the content. |
© 2024 by the authors. Licensee MDPI, Basel, Switzerland. This article is an open access article distributed under the terms and conditions of the Creative Commons Attribution (CC BY) license (https://creativecommons.org/licenses/by/4.0/).
Share and Cite
Blau, K.; Gallert, C. Efficacy of UV-C 254 nm Light and a Sporicidal Surface Disinfectant in Inactivating Spores from Clostridioides difficile Ribotypes In Vitro. Pathogens 2024, 13, 965. https://doi.org/10.3390/pathogens13110965
Blau K, Gallert C. Efficacy of UV-C 254 nm Light and a Sporicidal Surface Disinfectant in Inactivating Spores from Clostridioides difficile Ribotypes In Vitro. Pathogens. 2024; 13(11):965. https://doi.org/10.3390/pathogens13110965
Chicago/Turabian StyleBlau, Khald, and Claudia Gallert. 2024. "Efficacy of UV-C 254 nm Light and a Sporicidal Surface Disinfectant in Inactivating Spores from Clostridioides difficile Ribotypes In Vitro" Pathogens 13, no. 11: 965. https://doi.org/10.3390/pathogens13110965
APA StyleBlau, K., & Gallert, C. (2024). Efficacy of UV-C 254 nm Light and a Sporicidal Surface Disinfectant in Inactivating Spores from Clostridioides difficile Ribotypes In Vitro. Pathogens, 13(11), 965. https://doi.org/10.3390/pathogens13110965

