Facile Synthesis and In Vitro Activity of N-Substituted 1,2-Benzisothiazol-3(2H)-ones against Dengue Virus NS2BNS3 Protease
Abstract
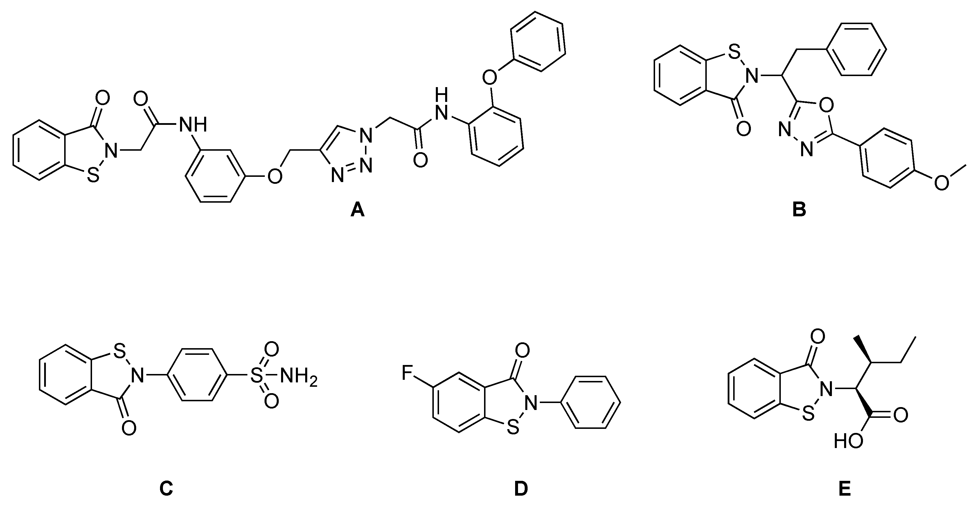
1. Introduction
2. Methods
2.1. Chemistry
2.2. General Procedure for the Synthesis of 1,2-Benzisothiazol-2(3H)-ones (5a–5q)
2.3. Computational Assessment of the Absorption, Distribution, Metabolism and Elimination (ADME) Properties of BITs
2.4. Biological Evaluation
Inhibition of the DENV2 NS2BNS3 Protease by BITs
2.5. Cytotoxicity Measurements Using an MTS Assay
2.6. RNA Isolation and Quantification of DENV
2.7. Immunofluorescence Staining of Vero Cells Infected with DENV
2.8. Molecular Docking
3. Results and Discussion
3.1. Synthesis of BITs
3.2. Pharmacokinetics Studies: Predictions of the ADME
3.3. Screening of BITs for Anti-DENV NS2BNS3 Protease Inhibition
3.4. Molecular Docking of Compounds Clustered in the Substrate-Binding Site
3.5. In Vitro Testing of the Inhibitory Activity of BITs against the DENV Replication Assay
4. Conclusions
Supplementary Materials
Author Contributions
Funding
Institutional Review Board Statement
Informed Consent Statement
Data Availability Statement
Acknowledgments
Conflicts of Interest
References
- Bhatt, S.; Gething, P.W.; Brady, O.J.; Messina, J.P.; Farlow, A.W.; Moyes, C.L.; Drake, J.M.; Brownstein, J.S.; Hoen, A.G.; Sankoh, O.; et al. The global distribution and burden of dengue. Nature 2013, 496, 504–507. [Google Scholar] [CrossRef]
- Timiri, A.K.; Sinha, B.N.; Jayaprakash, V. Progress and prospects on DENV protease inhibitors. Eur. J. Med. Chem. 2016, 117, 125–143. [Google Scholar] [CrossRef]
- Wilder-Smith, A.; Gubler, D.J.; Weaver, S.C.; Monath, T.P.; Heymann, D.L.; Scott, T.W. Epidemic arboviral diseases: Priorities for research and public health. Lancet Infect. Dis. 2017, 17, e101–e106. [Google Scholar] [CrossRef]
- Qadir, A.; Riaz, M.; Saeed, M.; Shahzad-Ul-Hussan, S. Potential targets for therapeutic intervention and structure based vaccine design against Zika virus. Eur. J. Med. Chem. 2018, 156, 444–460. [Google Scholar] [CrossRef]
- Nitsche, C.; Holloway, S.; Schirmeister, T.; Klein, C.D. Biochemistry and medicinal chemistry of the dengue virus protease. Chem. Rev. 2014, 114, 11348–11381. [Google Scholar] [CrossRef]
- Yusof, R.; Clum, S.; Wetzel, M.; Murthy, H.M.; Padmanabhan, R. Purified NS2B/NS3 serine protease of dengue virus type 2 exhibits cofactor NS2B dependence for cleavage of substrates with dibasic amino acids in vitro. J. Biol. Chem. 2000, 275, 9963–9969. [Google Scholar] [CrossRef]
- Liu, H.; Wu, R.; Sun, Y.; Ye, Y.; Chen, J.; Luo, X.; Shen, X.; Liu, H. Identification of novel thiadiazoloacrylamide analogues as inhibitors of dengue-2 virus NS2B/NS3 protease. Bioorg. Med. Chem. 2014, 22, 6344–6352. [Google Scholar] [CrossRef]
- Da Silva-Junior, E.F.; de Araujo-Junior, J.X. Peptide derivatives as inhibitors of NS2B-NS3 protease from Dengue, West Nile, and Zika flaviviruses. Bioorg. Med. Chem. 2019, 27, 3963–3978. [Google Scholar] [CrossRef]
- Nitsche, C.; Behnam, M.A.; Steuer, C.; Klein, C.D. Retro peptide-hybrids as selective inhibitors of the Dengue virus NS2B-NS3 protease. Antivir. Res. 2012, 94, 72–79. [Google Scholar] [CrossRef]
- Yin, Z.; Patel, S.J.; Wang, W.L.; Wang, G.; Chan, W.L.; Rao, K.R.; Alam, J.; Jeyaraj, D.A.; Ngew, X.; Patel, V.; et al. Peptide inhibitors of Dengue virus NS3 protease. Part 1: Warhead. Bioorg. Med. Chem. Lett. 2006, 16, 36–39. [Google Scholar] [CrossRef]
- Drazic, T.; Kopf, S.; Corridan, J.; Leuthold, M.M.; Bertosa, B.; Klein, C.D. Peptide-beta-lactam Inhibitors of Dengue and West Nile Virus NS2B-NS3 Protease Display Two Distinct Binding Modes. J. Med. Chem. 2020, 63, 140–156. [Google Scholar] [CrossRef]
- Takagi, Y.; Matsui, K.; Nobori, H.; Maeda, H.; Sato, A.; Kurosu, T.; Orba, Y.; Sawa, H.; Hattori, K.; Higashino, K.; et al. Discovery of novel cyclic peptide inhibitors of dengue virus NS2B-NS3 protease with antiviral activity. Bioorg. Med. Chem. Lett. 2017, 27, 3586–3590. [Google Scholar] [CrossRef]
- Lin, K.H.; Ali, A.; Rusere, L.; Soumana, D.I.; Kurt Yilmaz, N.; Schiffer, C.A. Dengue Virus NS2B/NS3 Protease Inhibitors Exploiting the Prime Side. J. Virol. 2017, 91. [Google Scholar] [CrossRef]
- Tiew, K.C.; Dou, D.; Teramoto, T.; Lai, H.; Alliston, K.R.; Lushington, G.H.; Padmanabhan, R.; Groutas, W.C. Inhibition of Dengue virus and West Nile virus proteases by click chemistry-derived benz[d]isothiazol-3(2H)-one derivatives. Bioorg. Med. Chem. 2012, 20, 1213–1221. [Google Scholar] [CrossRef]
- Aravapalli, S.; Lai, H.; Teramoto, T.; Alliston, K.R.; Lushington, G.H.; Ferguson, E.L.; Padmanabhan, R.; Groutas, W.C. Inhibitors of Dengue virus and West Nile virus proteases based on the aminobenzamide scaffold. Bioorg. Med. Chem. 2012, 20, 4140–4148. [Google Scholar] [CrossRef]
- Hamdani, S.S.; Khan, B.A.; Hameed, S.; Batool, F.; Saleem, H.N.; Mughal, E.U.; Saeed, M. Synthesis and evaluation of novel S-benzyl- and S-alkylphthalimide- oxadiazole -benzenesulfonamide hybrids as inhibitors of dengue virus protease. Bioorg. Chem. 2020, 96, 103567. [Google Scholar] [CrossRef]
- Weng, Z.; Shao, X.; Graf, D.; Wang, C.; Klein, C.D.; Wang, J.; Zhou, G.C. Identification of fused bicyclic derivatives of pyrrolidine and imidazolidinone as dengue virus-2 NS2B-NS3 protease inhibitors. Eur. J. Med. Chem. 2017, 125, 751–759. [Google Scholar] [CrossRef]
- Wu, H.; Bock, S.; Snitko, M.; Berger, T.; Weidner, T.; Holloway, S.; Kanitz, M.; Diederich, W.E.; Steuber, H.; Walter, C.; et al. Novel dengue virus NS2B/NS3 protease inhibitors. Antimicrob. Agents Chemother. 2015, 59, 1100–1109. [Google Scholar] [CrossRef]
- Bharadwaj, S.; Lee, K.E.; Dwivedi, V.D.; Yadava, U.; Panwar, A.; Lucas, S.J.; Pandey, A.; Kang, S.G. Discovery of Ganoderma lucidum triterpenoids as potential inhibitors against Dengue virus NS2B-NS3 protease. Sci. Rep. 2019, 9, 19059. [Google Scholar] [CrossRef]
- Saleem, H.N.; Batool, F.; Mansoor, H.J.; Shahzad-ul-Hussan, S.; Saeed, M. Inhibition of Dengue Virus Protease by Eugeniin, Isobiflorin, and Biflorin Isolated from the Flower Buds of Syzygium aromaticum (Cloves). ACS Omega 2019, 4, 1525–1533. [Google Scholar] [CrossRef]
- Sarwar, M.W.; Riaz, A.; Dilshad, S.M.R.; Al-Qahtani, A.; Nawaz-Ul-Rehman, M.S.; Mubin, M. Structure activity relationship (SAR) and quantitative structure activity relationship (QSAR) studies showed plant flavonoids as potential inhibitors of dengue NS2B-NS3 protease. BMC Struct. Biol. 2018, 18, 6. [Google Scholar] [CrossRef] [PubMed]
- Mor, M.; Zani, F.; Mazza, P.; Silva, C.; Bordi, F.; Morini, G.; Plazzi, P.V. Biological studies on 1,2-benzisothiazole derivatives V. Antimicrobial properties of N-alkanoic, N-arylalkanoic and N-aryloxyalkanoic derivatives of 1,2-benzisothiazolin-3-one: QSAR study and genotoxicity evaluation. Farmaco 1996, 51, 493–501. [Google Scholar]
- Wright, S.W.; Petraitis, J.J.; Abelman, M.M.; Bostrom, L.L.; Corbett, R.L.; Green, A.M.; Kindt, R.M.; Sherk, S.R.; Magolda, R.L. Inhibition of cartilage breakdown by isothiazolones. Bioorg. Med. Chem. Lett. 1993, 3, 2875–2878. [Google Scholar] [CrossRef]
- Matsunaga, H.; Matsui, T.; Ohya, K.; Okino, K.; Hayashida, K.; Maebayashi, K.; Kiriike, N.; Stein, D.J. A benzisothiazole derivative and antipsychotic agent, perospirone, for augmentation of selective serotonin reuptake inhibitors (SSRIs) in refractory obsessive-compulsive disorder (OCD): Two patient case series. Int. J. Psychiatry Clin. Pract. 2006, 10, 142–145. [Google Scholar] [CrossRef]
- Nandakumar, N.; Gopinath, P.; Gopas, J.; Muraleedharan, K.M. Benzisothiazolone Derivatives Exhibit Cytotoxicity in Hodgkin’s Lymphoma Cells through NF-kappaB Inhibition and are Synergistic with Doxorubicin and Etoposide. Anticancer Agents Med. Chem. 2020, 20, 715–723. [Google Scholar] [CrossRef]
- Wang, L.H.; Yang, X.Y.; Zhang, X.; Mihalic, K.; Fan, Y.X.; Xiao, W.; Howard, O.M.; Appella, E.; Maynard, A.T.; Farrar, W.L. Suppression of breast cancer by chemical modulation of vulnerable zinc fingers in estrogen receptor. Nat. Med. 2004, 10, 40–47. [Google Scholar] [CrossRef]
- Lu, J.; Vodnala, S.K.; Gustavsson, A.L.; Gustafsson, T.N.; Sjoberg, B.; Johansson, H.A.; Kumar, S.; Tjernberg, A.; Engman, L.; Rottenberg, M.E.; et al. Ebsulfur is a benzisothiazolone cytocidal inhibitor targeting the trypanothione reductase of Trypanosoma brucei. J. Biol. Chem. 2013, 288, 27456–27468. [Google Scholar] [CrossRef]
- Dou, D.; Alex, D.; Du, B.; Tiew, K.C.; Aravapalli, S.; Mandadapu, S.R.; Calderone, R.; Groutas, W.C. Antifungal activity of a series of 1,2-benzisothiazol-3(2H)-one derivatives. Bioorg. Med. Chem. 2011, 19, 5782–5787. [Google Scholar] [CrossRef]
- Lai, H.; Dou, D.; Aravapalli, S.; Teramoto, T.; Lushington, G.H.; Mwania, T.M.; Alliston, K.R.; Eichhorn, D.M.; Padmanabhan, R.; Groutas, W.C. Design, synthesis and characterisation of novel 1,2-benzisothiazol-3(2H)-one and 1,3,4-oxadiazole hybrid derivatives: Potent inhibitors of Dengue and West Nile virus NS2B/NS3 proteases. Bioorg. Med. Chem. 2013, 21, 102–113. [Google Scholar] [CrossRef]
- Sharmeen, L.; McQuade, T.; Heldsinger, A.; Gogliotti, R.; Domagala, J.; Gracheck, S. Inhibition of the early phase of HIV replication by an isothiazolone, PD 161374. Antivir. Res. 2001, 49, 101–114. [Google Scholar] [CrossRef]
- Pietka-Ottlik, M.; Potaczek, P.; Piasecki, E.; Mlochowski, J. Crucial role of selenium in the virucidal activity of benzisoselenazol-3(2H)-ones and related diselenides. Molecules 2010, 15, 8214–8228. [Google Scholar] [CrossRef]
- Correa, A.; Tellitu, I.; Dominguez, E.; SanMartin, R. Novel alternative for the N-S bond formation and its application to the synthesis of benzisothiazol-3-ones. Org. Lett. 2006, 8, 4811–4813. [Google Scholar] [CrossRef] [PubMed]
- Guo, J.R.; Gong, J.F.; Song, M.P. Nickel(ii)-catalysed C(sp(2))-H sulfuration/annulation with elemental sulfur: Selective access to benzoisothiazolones. Org. Biomol. Chem. 2019, 17, 5029–5037. [Google Scholar] [CrossRef]
- Siegemund, A.; Taubert, K.; Schulze, B. 1,2-Benzisothiazol-3(2H)-ones and heterocyclic annelated isothiazol-3(2H)-ones, Part 11: Synthesis, reaction and biological activity. Sulfur Rep. 2002, 23, 279–319. [Google Scholar] [CrossRef]
- Grivas, J. Novel general synthesis of 2-substituted 1, 2-benzisothiazolin-3-ones. Cyclisation of N-substituted 2-methoxycarbonylbenzenesulfenamides. J. Org. Chem. 1975, 40, 2029–2032. [Google Scholar] [CrossRef]
- El-Sabbagh, O.I. Synthesis of some new benzisothiazolone and benzenesulfonamide derivatives of biological interest starting from saccharin sodium. Arch. Der. Pharm. 2013, 346, 733–742. [Google Scholar] [CrossRef]
- Trott, O.; Olson, A.J. AutoDock Vina: Improving the speed and accuracy of docking with a new scoring function, efficient optimisation, and multithreading. J. Comput. Chem. 2010, 31, 455–461. [Google Scholar] [CrossRef]
- Singh, G.; Rani, S.; Arora, A.; Aulakh, D.; Wriedt, M. Thioester-appended organosilatranes: Synthetic investigations and application in the modification of magnetic silica surfaces. New J. Chem. 2016, 40, 6200–6213. [Google Scholar] [CrossRef]
- Wang, S.; Fang, K.; Dong, G.; Chen, S.; Liu, N.; Miao, Z.; Yao, J.; Li, J.; Zhang, W.; Sheng, C. Scaffold Diversity Inspired by the Natural Product Evodiamine: Discovery of Highly Potent and Multitargeting Antitumor Agents. J. Med. Chem. 2015, 58, 6678–6696. [Google Scholar] [CrossRef] [PubMed]
- Millies, B.; von Hammerstein, F.; Gellert, A.; Hammerschmidt, S.; Barthels, F.; Goppel, U.; Immerheiser, M.; Elgner, F.; Jung, N.; Basic, M.; et al. Proline-Based Allosteric Inhibitors of Zika and Dengue Virus NS2B/NS3 Proteases. J. Med. Chem. 2019, 62, 11359–11382. [Google Scholar] [CrossRef] [PubMed]








| Lipinski Parameters | ||||||||||
|---|---|---|---|---|---|---|---|---|---|---|
| Compounds | MW a | HBA b | HBD c | iLogP d | Violations | nROTB e | TPSA f | %ABS g | BBB h | GI ABS i |
| 5a | 193 | 1 | 0 | 2.49 | 0 | 2 | 50.24 | 91.67 | Yes | High |
| 5b | 207 | 1 | 0 | 2.72 | 0 | 3 | 50.24 | 91.67 | Yes | High |
| 5c | 235 | 1 | 0 | 3.19 | 0 | 5 | 50.24 | 91.67 | Yes | High |
| 5d | 319 | 1 | 0 | 4.51 | 1 | 11 | 50.24 | 91.67 | No | High |
| 5e | 195 | 2 | 1 | 1.92 | 0 | 2 | 70.47 | 84.69 | No | High |
| 5f | 241 | 1 | 0 | 2.64 | 0 | 2 | 50.24 | 91.67 | Yes | High |
| 5g | 283 | 1 | 0 | 3.52 | 1 | 4 | 50.24 | 91.67 | Yes | High |
| 5h | 272 | 3 | 0 | 2.21 | 0 | 2 | 96.06 | 75.86 | No | High |
| 5i | 272 | 3 | 0 | 2.31 | 0 | 2 | 96.06 | 75.86 | No | High |
| 5j | 286 | 3 | 0 | 2.45 | 0 | 2 | 96.06 | 75.86 | No | High |
| 5k | 306 | 1 | 0 | 2.96 | 0 | 1 | 50.24 | 91.67 | Yes | High |
| 5l | 243 | 2 | 1 | 2.44 | 0 | 1 | 70.47 | 84.69 | Yes | High |
| 5m | 262 | 1 | 0 | 2.76 | 0 | 1 | 50.24 | 91.67 | Yes | High |
| 5n | 296 | 1 | 0 | 2.84 | 0 | 1 | 50.24 | 91.67 | Yes | High |
| 5o | 257 | 2 | 0 | 2.88 | 0 | 2 | 59.47 | 88.49 | Yes | High |
| # | Compound | Inhibition a | IC50 b |
|---|---|---|---|
| (%) | (μM) | ||
| 1 | 5h | 72 | 41.80 ± 1.17 |
| 2 | 5i | 67 | 52.70 ± 3.23 |
| 3 | 5j | 92 | 2.56 ± 1.03 |
| 4 | 5k | 80 | 8.24 ± 1.16 |
| 5 | 5l | 89 | 6.66 ± 2.17 |
| 6 | 5m | 94 | 2.01± 0.98 |
| 7 | 5n | 94 | 5.28 ± 1.89 |
| 8 | 5o | 58 | 26.50 ± 4.32 |
Publisher’s Note: MDPI stays neutral with regard to jurisdictional claims in published maps and institutional affiliations. |
© 2021 by the authors. Licensee MDPI, Basel, Switzerland. This article is an open access article distributed under the terms and conditions of the Creative Commons Attribution (CC BY) license (https://creativecommons.org/licenses/by/4.0/).
Share and Cite
Batool, F.; Saeed, M.; Saleem, H.N.; Kirschner, L.; Bodem, J. Facile Synthesis and In Vitro Activity of N-Substituted 1,2-Benzisothiazol-3(2H)-ones against Dengue Virus NS2BNS3 Protease. Pathogens 2021, 10, 464. https://doi.org/10.3390/pathogens10040464
Batool F, Saeed M, Saleem HN, Kirschner L, Bodem J. Facile Synthesis and In Vitro Activity of N-Substituted 1,2-Benzisothiazol-3(2H)-ones against Dengue Virus NS2BNS3 Protease. Pathogens. 2021; 10(4):464. https://doi.org/10.3390/pathogens10040464
Chicago/Turabian StyleBatool, Farwa, Muhammad Saeed, Hafiza Nosheen Saleem, Luisa Kirschner, and Jochen Bodem. 2021. "Facile Synthesis and In Vitro Activity of N-Substituted 1,2-Benzisothiazol-3(2H)-ones against Dengue Virus NS2BNS3 Protease" Pathogens 10, no. 4: 464. https://doi.org/10.3390/pathogens10040464
APA StyleBatool, F., Saeed, M., Saleem, H. N., Kirschner, L., & Bodem, J. (2021). Facile Synthesis and In Vitro Activity of N-Substituted 1,2-Benzisothiazol-3(2H)-ones against Dengue Virus NS2BNS3 Protease. Pathogens, 10(4), 464. https://doi.org/10.3390/pathogens10040464

