Experimental and Numerical Study of the Tensile Behavior of Dam Concrete
Abstract
1. Introduction
2. Experimental Methods
2.1. Materials and Specimens
2.2. Experiment Device
3. Mesoscale Modeling Methodology
3.1. Model Construction
3.2. Constitutive Model and Parameter Selection
3.2.1. Cohesive Model
- (1)
- Linear-Elastic Behavior
- (2)
- Damage Initiation Criterion
- (3)
- Damage Evolution
3.2.2. Parameter Selection
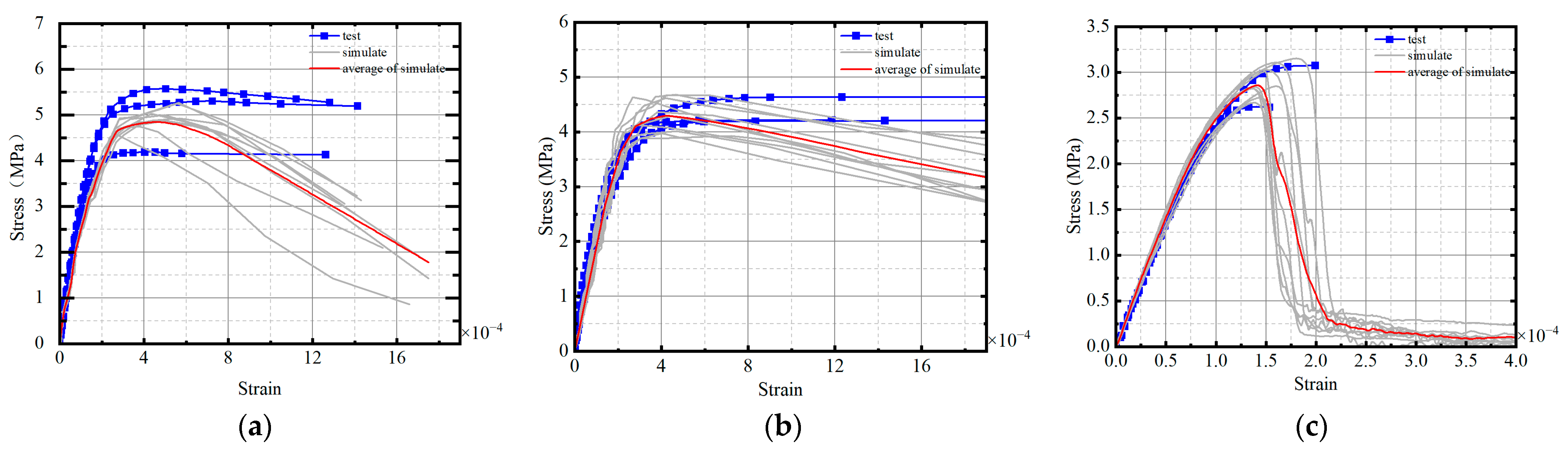
4. Results and Discussion
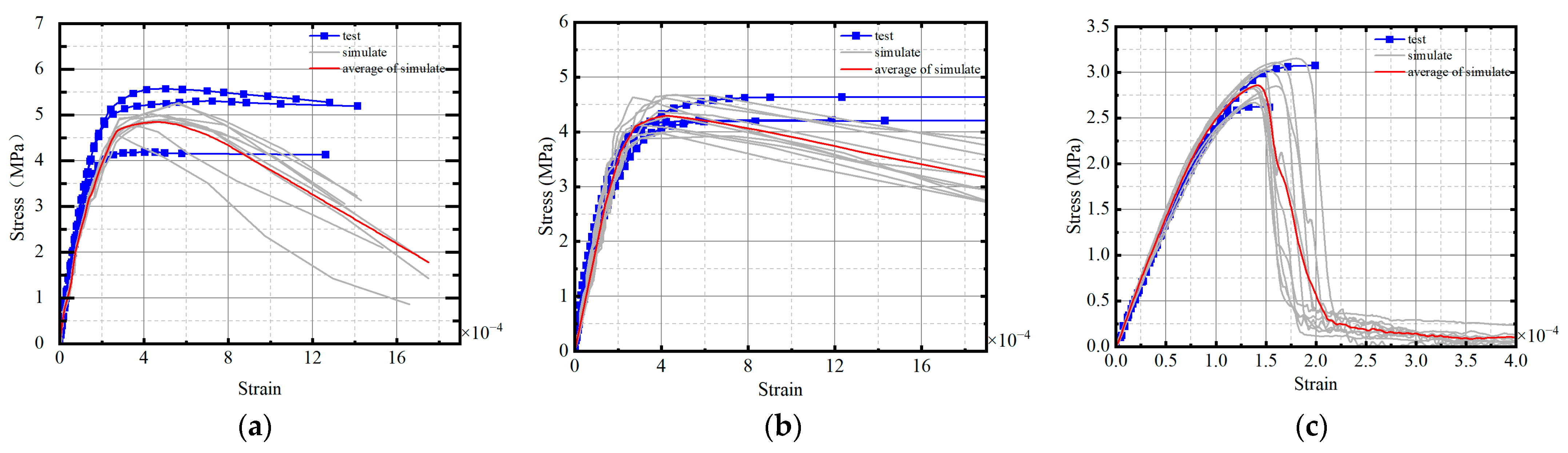
4.1. Mesh Sensitivity Analysis
4.2. Failure Modes
4.3. Damage Progression
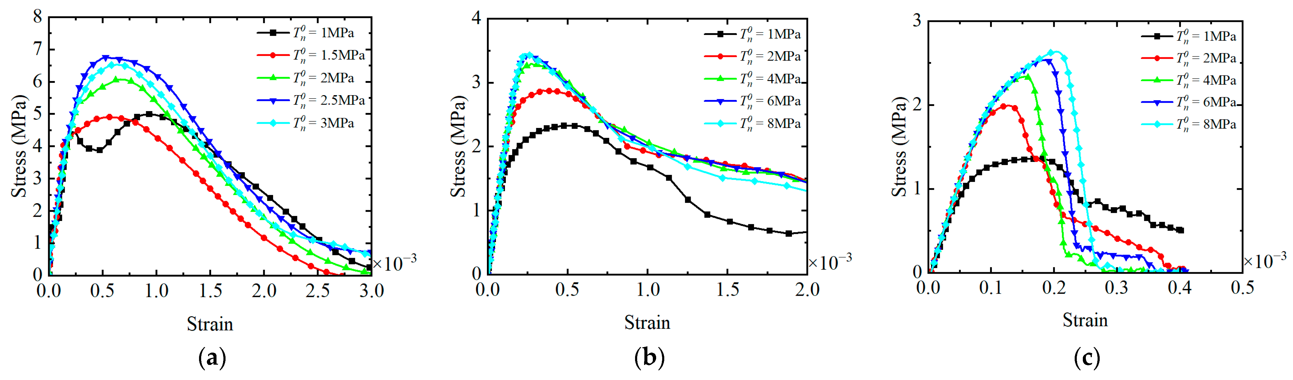
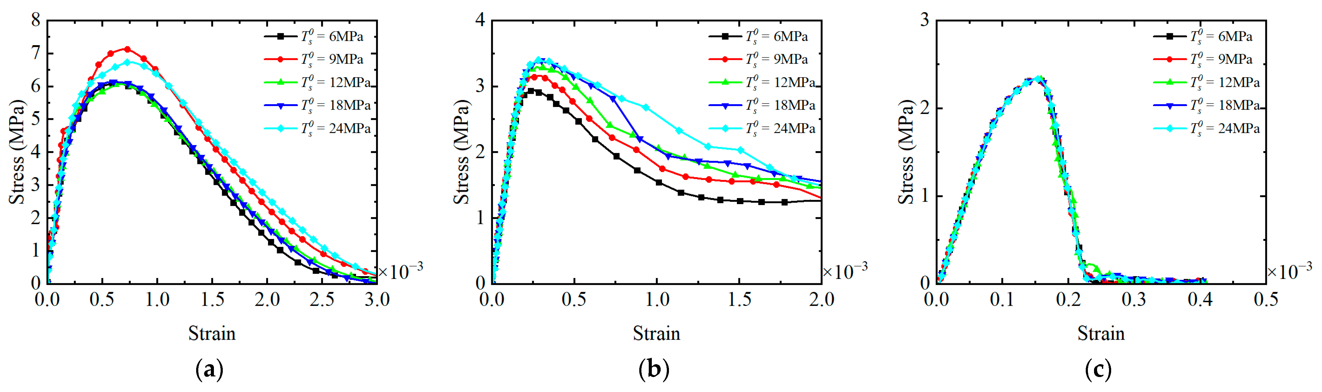
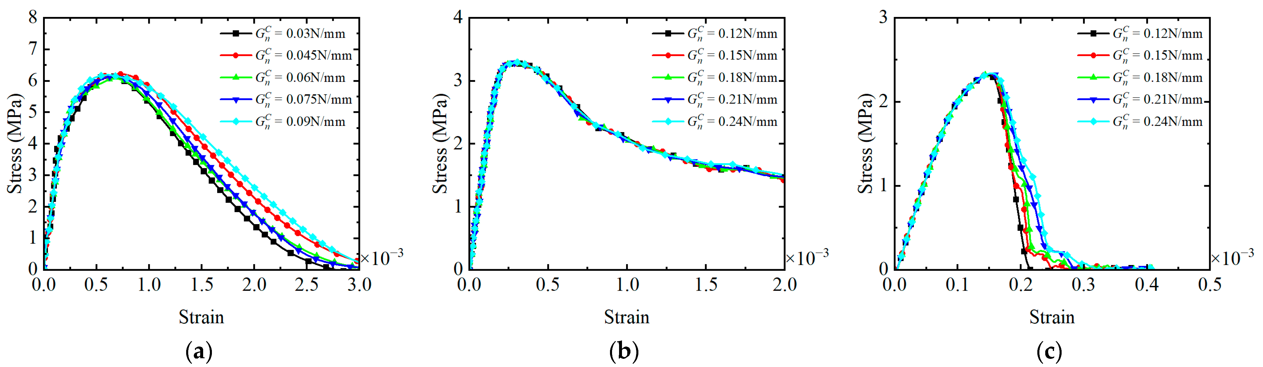
4.4. Parameter Sensitivity Analysis
4.4.1. Sensitivity Analysis of Mortar Cohesive-Element Parameters
- (1)
- Normal Traction at Damage Initiation of mortar cohesive elements
- (2)
- Shear Traction at Damage Initiation of mortar cohesive elements
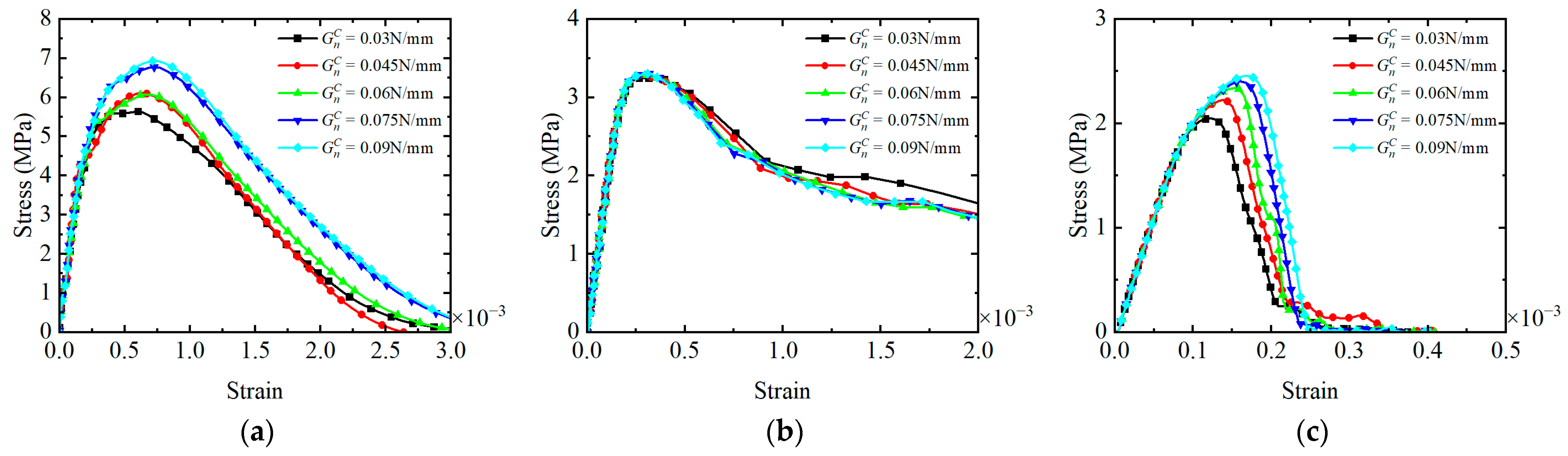
- (3)
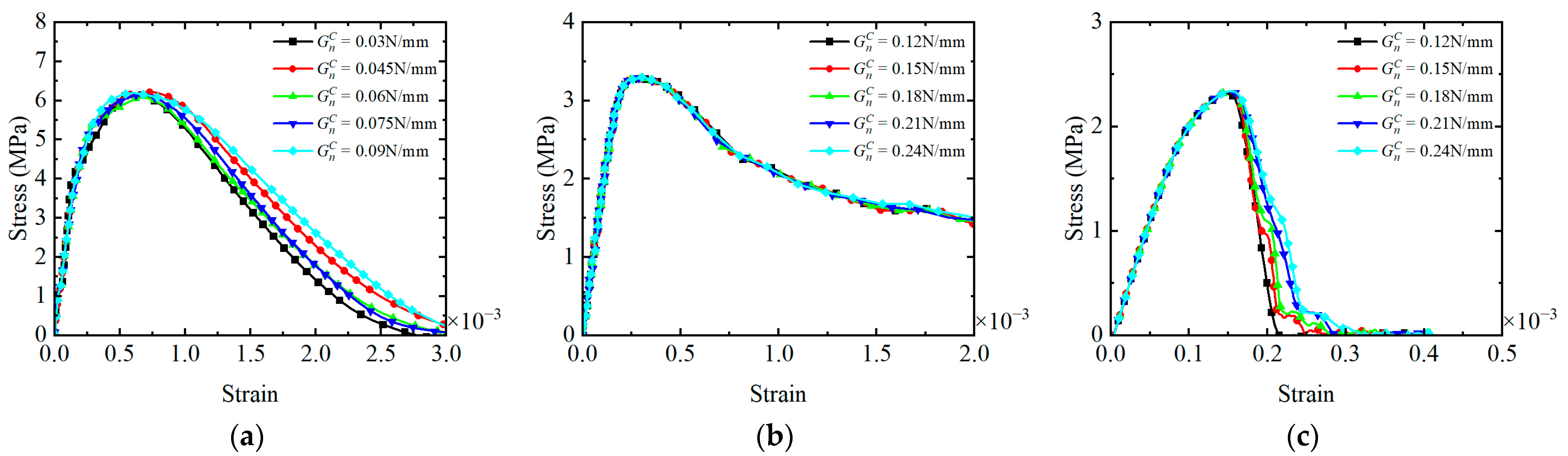
- Normal fracture energy of mortar cohesive elements
- (4)
- Shear fracture energy of mortar cohesive elements
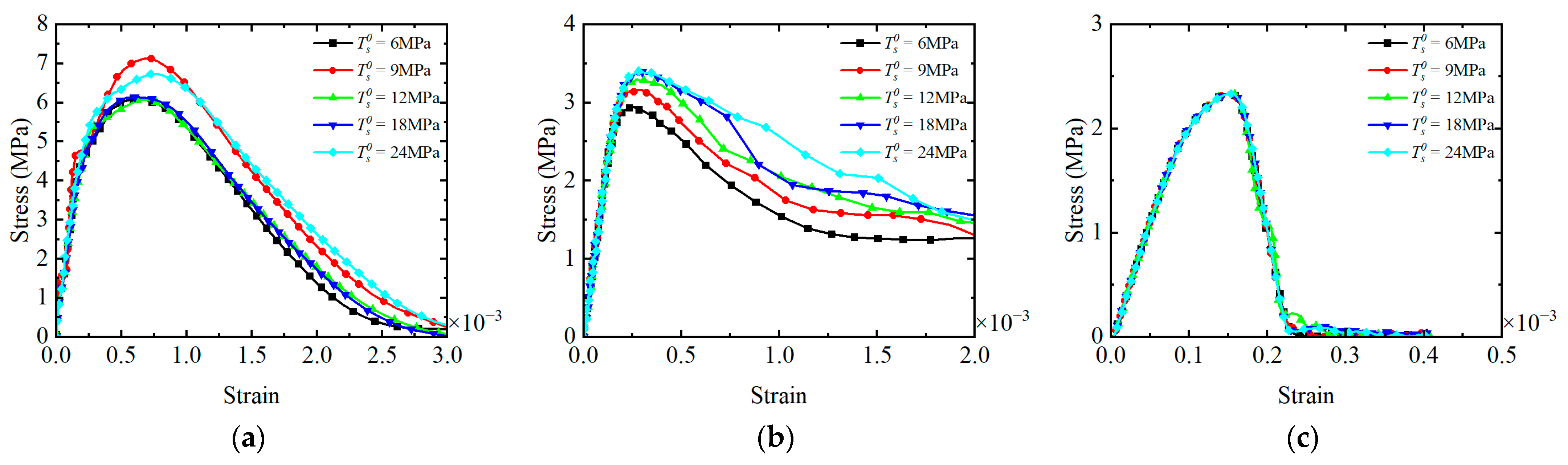
4.4.2. Sensitivity Analysis of ITZ Cohesive-Element Parameters
- (1)
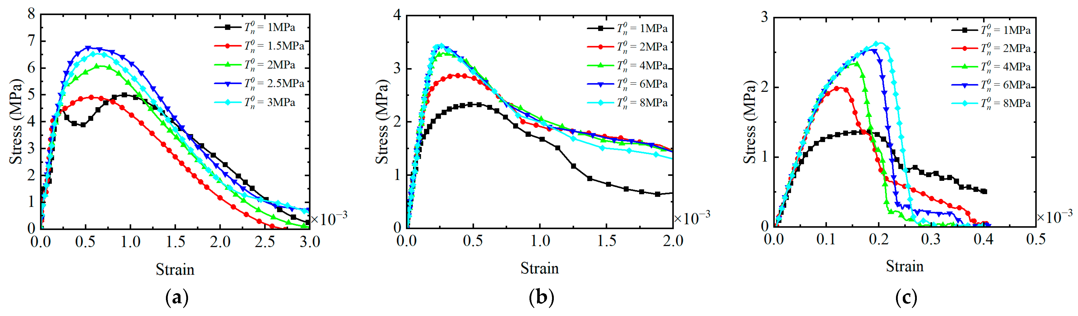
- Normal Traction at Damage Initiation of ITZ cohesive elements
- (2)
- Shear Traction at Damage Initiation of ITZ cohesive elements
- (3)
- Normal fracture energy of ITZ cohesive elements
- (4)
- Shear fracture energy of ITZ cohesive elements
5. Conclusions
- A mesoscale concrete model with globally inserted cohesive interfaces reproduces the tensile failure process of dam concrete with good fidelity. The simulated stress–strain curves agree well with the tests and capture the cracking process.
- The one-at-a-time sensitivity analysis clarifies how the three phases (mortar, aggregates, ITZ) affect the macroscopic response. The mortar tensile strength primarily controls the peak strength; increasing it raises the peak but enhances brittleness. The ITZ properties govern crack nucleation and propagation: the stress at crack initiation is generally assumed to be approximately equal to the tensile strength of the ITZ, the higher the shear strength of the ITZ, the higher the splitting tensile strength of the concrete, and the fracture energies mainly delay post-peak softening.
- A quantitative analysis of tensile damage evolution reveals three distinct stages: (i) elastic deformation; (ii) crack initiation and propagation along the interfacial transition zone (ITZ); and (iii) crack penetration through the mortar matrix. The results indicate that more than 80% of the tensile damage is concentrated in the ITZ. Cracks preferentially extend along the ITZ network and eventually cut through the mortar, while the spatial arrangement of aggregates redirects ITZ paths and thus governs the overall crack trajectory.
- From a mesoscale viewpoint, the flexural and uniaxial-tension capacities are governed mainly by the tensile strengths and normal fracture energies of the mortar and ITZ, with limited sensitivity to shear parameters. In contrast, the splitting tensile capacity increases with the tensile strength, shear strength, and tangential fracture energy of the mortar and the ITZ and is nearly insensitive to the normal fracture energy.
Author Contributions
Funding
Data Availability Statement
Conflicts of Interest
References
- Chen, H. Seismic safety of high concrete dams. Earthq. Eng. Eng. Vib. 2014, 13, 1–16. [Google Scholar] [CrossRef]
- Wang, H.; Li, C.; Tu, J.; Li, D. Dynamic Tensile Test of Mass Concrete with Shapai Dam Cores. Mater. Struct. 2017, 50, 44. [Google Scholar] [CrossRef]
- Ren, Q.; Li, Q.; Yin, Y. Concrete Meso-Structure Characteristics and Mechanical Property Research with Numerical Methods. Constr. Build. Mater. 2018, 158, 189–197. [Google Scholar] [CrossRef]
- Zhou, G.; Xu, Z. 3D Mesoscale Investigation on the Compressive Fracture of Concrete with Different Aggregate Shapes and Interface Transition Zones. Constr. Build. Mater. 2023, 393, 132111. [Google Scholar] [CrossRef]
- Vidya Sagar, R.; Raghu Prasad, B.K.; Nazreen, S.; Singh, R.K. Modeling Mode-I Fracture Process in Concrete at Meso-Scale: Computational Aspects of Lattice Model and a Comparison between Results of Two Dimensional Lattice Simulation and Acoustic Emission Measurements. Eng. Fract. Mech. 2019, 210, 257–278. [Google Scholar] [CrossRef]
- Schlangent, E.; Garboczi, E.J. New method for simulating fracture using an elastically uniform random geometry lattice. Int. J. Eng. Sci. 1996, 34, 1131–1144. [Google Scholar] [CrossRef]
- Van Mier, J.G.M.; Van Vliet, M.R.A. Experimentation, Numerical Simulation and the Role of Engineering Judgement in the Fracture Mechanics of Concrete and Concrete Structures. Constr. Build. Mater. 1999, 13, 3–14. [Google Scholar] [CrossRef]
- Jivkov, A.P.; Engelberg, D.L.; Stein, R.; Petkovski, M. Pore Space and Brittle Damage Evolution in Concrete. Eng. Fract. Mech. 2013, 110, 378–395. [Google Scholar] [CrossRef]
- Benkemoun, N.; Hautefeuille, M.; Colliat, J.-B.; Ibrahimbegovic, A. Failure of Heterogeneous Materials: 3D Meso-scale FE Models with Embedded Discontinuities. Int. J. Numer. Methods Eng. 2010, 82, 1671–1688. [Google Scholar] [CrossRef]
- Jiradilok, P.; Nagai, K.; Matsumoto, K. Meso-Scale Modeling of Non-Uniformly Corroded Reinforced Concrete Using 3D Discrete Analysis. Eng. Struct. 2019, 197, 109378. [Google Scholar] [CrossRef]
- Kawai, T. New Discrete Models and Their Application to Seismic Response Analysis of Structures. Nucl. Eng. Des. 1978, 48, 207–229. [Google Scholar] [CrossRef]
- Gu, X.; Jia, J.; Wang, Z.; Hong, L.; Lin, F. Determination of Mechanical Parameters for Elements in Meso-Mechanical Models of Concrete. Front. Struct. Civ. Eng. 2013, 7, 391–401. [Google Scholar] [CrossRef]
- Hwang, Y.K.; Lim, Y.M. Validation of Three-Dimensional Irregular Lattice Model for Concrete Failure Mode Simulations under Impact Loads. Eng. Fract. Mech. 2017, 169, 109–127. [Google Scholar] [CrossRef]
- Suchorzewski, J.; Tejchman, J.; Nitka, M.; Bobiński, J. Meso-Scale Analyses of Size Effect in Brittle Materials Using DEM. Granul. Matter 2019, 21, 9. [Google Scholar] [CrossRef]
- Groh, U.; Konietzky, H.; Walter, K.; Herbst, M. Damage Simulation of Brittle Heterogeneous Materials at the Grain Size Level. Theor. Appl. Fract. Mech. 2011, 55, 31–38. [Google Scholar] [CrossRef]
- Rangari, S.; Murali, K.; Deb, A. Effect of Meso-Structure on Strength and Size Effect in Concrete under Compression. Eng. Fract. Mech. 2018, 195, 162–185. [Google Scholar] [CrossRef]
- Sinaie, S. Application of the Discrete Element Method for the Simulation of Size Effects in Concrete Samples. Int. J. Solids Struct. 2017, 108, 244–253. [Google Scholar] [CrossRef]
- Kristombu Baduge, S.; Mendis, P.; Ngo, T.D.; Sofi, M. Ductility Design of Reinforced Very-High Strength Concrete Columns (100–150 MPa) Using Curvature and Energy-Based Ductility Indices. Int. J. Concr. Struct. Mater. 2019, 13, 37. [Google Scholar] [CrossRef]
- Zhu, W.C.; Teng, J.G.; Tang, C.A. Mesomechanical Model for Concrete. Part I: Model Development. Mag. Concr. Res. 2004, 56, 313–330. [Google Scholar] [CrossRef]
- Snozzi, L.; Molinari, J. A Cohesive Element Model for Mixed Mode Loading with Frictional Contact Capability. Int. J. Numer. Methods Eng. 2013, 93, 510–526. [Google Scholar] [CrossRef]
- Wang, J.; Jivkov, A.P.; Li, Q.M.; Engelberg, D.L. Experimental and Numerical Investigation of Mortar and ITZ Parameters in Meso-Scale Models of Concrete. Theor. Appl. Fract. Mech. 2020, 109, 102722. [Google Scholar] [CrossRef]
- Alfano, G. Finite Element Interface Models for the Delamination Analysis of Laminated Composites: Mechanical and Computational Issues. Int. J. Numer. Methods Eng. 2001, 50, 1701–1736. [Google Scholar] [CrossRef]
- Jin, Z.-H.; Sun, C.T. Cohesive Zone Modeling of Interface Fracture in Elastic Bi-Materials. Eng. Fract. Mech. 2005, 72, 1805–1817. [Google Scholar] [CrossRef]
- SL/T 352-2020; Test Code for Hydraulic Concrete. Ministry of Water Resources of the People’s Republic of China: Beijing, China, 2020.
- Walraven, J.C. Aggregate Interlock: A Theoretical and Experimental Analysis. Ph.D. Thesis, Delft University of Technology, Delft, The Netherlands, 1980. [Google Scholar]
- Camanho, P. Mixed-Mode Decohesion Finite Elements for the Simulation of Delamination in Composite Materials; No. NAS 1.15: 211737; NASA Technical Reports Server: Washington, DC, USA, 2002. [Google Scholar]
- Chen, H.; Xu, B.; Mo, Y.L.; Zhou, T. Behavior of Meso-Scale Heterogeneous Concrete under Uniaxial Tensile and Compressive Loadings. Constr. Build. Mater. 2018, 178, 418–431. [Google Scholar] [CrossRef]
- Tregger, N.; Corr, D.; Graham-Brady, L.; Shah, S. Modeling the Effect of Mesoscale Randomness on Concrete Fracture. Probabilistic Eng. Mech. 2006, 21, 217–225. [Google Scholar] [CrossRef]
- Zhou, W.; Yuan, W.; Change, X.-L. Combined Finite-Discrete Element Method Modeling of Rockslides. Eng. Comput. 2016, 33, 1530–1559. [Google Scholar] [CrossRef]
- Wang, X.; Zhang, M.; Jivkov, A.P. Computational Technology for Analysis of 3D Meso-Structure Effects on Damage and Failure of Concrete. Int. J. Solids Struct. 2016, 80, 310–333. [Google Scholar] [CrossRef]
























| Strength Grade | Gradation | Mass per Unit Volume of Concrete (kg/m3) | |||||||||
|---|---|---|---|---|---|---|---|---|---|---|---|
| Water | Cement | Fly Ash | Sand | Coarse Aggregate | Water-Reducing Agent (%) | Air-Entraining Agent (%) | |||||
| 5 mm–20 mm | 20 mm–40 mm | 40 mm–80 mm | 80 mm–150 mm | ||||||||
| C18030 | 4 | 85 | 123 | 66 | 481 | 342 | 342 | 513 | 513 | 0.8 | 0.058 |
| Parameter | Aggregate | Mortar | ITZ |
|---|---|---|---|
| Solid Elements | |||
| 2.5 × 10−9 | 2.2 × 10−9 | ||
| 50,000 | 18,000 | ||
| 0.22 | 0.24 | ||
| Cohesive Parameters | |||
| 50,000 | 18,000 | 12,000 | |
| 150,000 | 54,000 | 36,000 | |
| 6 | 4 | 2 | |
| 18 | 12 | 6 | |
| 0.3 | 0.18 | 0.09 | |
| 0.9 | 0.54 | 0.27 |
| Parameters | Case 1 | Case 2 | Case 3 | Case 4 | Case 5 |
|---|---|---|---|---|---|
| (MPa) | 1 | 2 | 4 | 6 | 8 |
| (MPa) | 6 | 9 | 12 | 18 | 24 |
| (N/mm) | 0.12 | 0.15 | 0.18 | 0.21 | 0.24 |
| (N/mm) | 0.26 | 0.39 | 0.52 | 0.65 | 0.78 |
| Parameters | Case 1 | Case 2 | Case 3 | Case 4 | Case 5 |
|---|---|---|---|---|---|
| (MPa) | 1 | 1.5 | 2 | 2.5 | 3 |
| (MPa) | 3 | 4.5 | 6 | 7.5 | 9 |
| (N/mm) | 0.03 | 0.045 | 0.06 | 0.075 | 0.09 |
| (N/mm) | 0.1 | 0.15 | 0.2 | 0.25 | 0.3 |
Disclaimer/Publisher’s Note: The statements, opinions and data contained in all publications are solely those of the individual author(s) and contributor(s) and not of MDPI and/or the editor(s). MDPI and/or the editor(s) disclaim responsibility for any injury to people or property resulting from any ideas, methods, instructions or products referred to in the content. |
© 2025 by the authors. Licensee MDPI, Basel, Switzerland. This article is an open access article distributed under the terms and conditions of the Creative Commons Attribution (CC BY) license (https://creativecommons.org/licenses/by/4.0/).
Share and Cite
Zhang, K.; Guo, S.; Li, D.; Wang, H. Experimental and Numerical Study of the Tensile Behavior of Dam Concrete. Buildings 2025, 15, 4350. https://doi.org/10.3390/buildings15234350
Zhang K, Guo S, Li D, Wang H. Experimental and Numerical Study of the Tensile Behavior of Dam Concrete. Buildings. 2025; 15(23):4350. https://doi.org/10.3390/buildings15234350
Chicago/Turabian StyleZhang, Kunhang, Shengshan Guo, Deyu Li, and Haibo Wang. 2025. "Experimental and Numerical Study of the Tensile Behavior of Dam Concrete" Buildings 15, no. 23: 4350. https://doi.org/10.3390/buildings15234350
APA StyleZhang, K., Guo, S., Li, D., & Wang, H. (2025). Experimental and Numerical Study of the Tensile Behavior of Dam Concrete. Buildings, 15(23), 4350. https://doi.org/10.3390/buildings15234350
