Next Article in Journal
Optimization of Cast-Steel Tubular Circular-Hollow-Section Connections Based on Depth-First Search Algorithm
Previous Article in Journal
Automatic Generation of Precast Concrete Component Fabrication Drawings Based on BIM and Multi-Agent Reinforcement Learning
 
 
Font Type:
Arial Georgia Verdana
Font Size:
Aa Aa Aa
Line Spacing:
Column Width:
Background:
Article

Research on Flexural Performance of Basalt Fiber-Reinforced Steel–Expanded Polystyrene Foam Concrete Composite Wall Panels

1
Modern Industry College, Jilin Jianzhu University, Changchun 130118, China
2
Changchun Institute of Engineering Design and Research Co., Ltd., Changchun 130012, China
*
Authors to whom correspondence should be addressed.
Buildings 2025, 15(2), 285; https://doi.org/10.3390/buildings15020285
Submission received: 27 December 2024 / Revised: 16 January 2025 / Accepted: 16 January 2025 / Published: 19 January 2025
(This article belongs to the Section Building Structures)

Abstract

This paper presents a novel design of prefabricated steel–EPS foam concrete composite wall panels, which can solve issues such as long curing times, decreased impermeability and durability, easy corrosion of steel reinforcement, and difficult construction under the cold climate conditions in Northeast China. A parametric analysis of the composite wallboard was carried out using the finite-element analysis software ABAQUS 6.12. In-depth exploration was conducted on the contributions of parameters such as the density of foam concrete, the strength of cold-formed thin-walled C-section steel, and the cross-sectional height of cold-formed thin-walled C-section steel compared to the overall flexural bearing capacity of the composite wallboard as well as the impacts of these parameters on the failure modes. The mechanical properties of the composite wallboard were verified through four-point bending tests. The bearing capacity of this composite wallboard can reach up to 100.58 kN at most, and its flexural bearing capacity can reach 30.44 kN·m. Meanwhile, its ductility coefficient of 2.9 is also within the optimal range. The research results confirm the superior mechanical properties of the designed composite wallboard, providing beneficial references for the research on similar composite material structures.

1. Introduction

With the increasing severity of population aging and resource shortages, the traditional construction industry’s high energy consumption, low efficiency, and structural labor shortages have become increasingly prominent. As a result, countries worldwide are seeking a green transformation and innovation in the construction sector to achieve low-carbon, high-efficiency, and sustainable development goals. In this context, many countries, including the United States, the European Union, and China, have issued new industry standards focused on low-carbon and sustainable development concepts for the construction industry. Research aimed at optimizing building structural design and improving energy efficiency has become a hot topic [1].
Among various green building technologies, prefabricated construction, including precast concrete structures [2], steel structures [3], and modern timber structures [4], has garnered significant attention due to its advantages in industrialization, standardization, and mass production. In particular, precast concrete structures, known for their high strength and durability, are widely used in modern construction. Cold-formed thin-walled steel, as an efficient construction material, has increasingly found applications in prefabricated concrete structures due to its high strength-to-weight ratio, ease of construction, and versatility. The combination of cold-formed steel and reinforced concrete to form a composite steel–concrete structure has become a new research hotspot in the engineering field.
In response to this new structural form, numerous scholars have conducted in-depth studies both domestically and internationally. For example, Dianzhong Liu et al. [5] designed a new type of cold-formed thin-walled C-section steel–foam concrete composite floor slab and comprehensively analyzed its structural performance through bending tests and numerical simulations. The study showed that the composite slab has excellent load-bearing and deformation capabilities, with its load-bearing capacity being significantly influenced by the strength of the steel material. Ying-Lei Li et al. [6] explored the impact of box-shaped cross-sections made of C-shaped and U-shaped sections on the bending performance of composite beams, finding that the components in the composite beam can cooperate to improve the overall load-bearing capacity. Haojie Fang et al. [7] conducted experimental studies on the seismic performance of steel–foam concrete shear walls, showing that the use of foam concrete significantly enhanced the seismic performance of the shear walls. Yunpeng Chu et al. [8] investigated the shear performance of double-layer steel composite walls, revealing that the axial load ratio and internal connection strength have significant effects on the stress state of the composite wall. Xiuhua Zhang et al. [9] studied the axial compression performance of cold-formed thin-walled C-section steel (CFS)–strawboard composite walls and derived a calculation formula for the axial load-bearing capacity of composite walls based on experimental results. Ahmed Abdulla Alali and Xiuhua Zhang [10,11] examined the bending performance of steel–concrete composite slabs from the perspectives of internal connector shape and the enhancement of steel performance using polystyrene aggregate concrete (PAC). Siva Avudaiappan, Nathalie Eid, and others [12,13] studied the influence of the internal connector shape on the bearing capacity of composite structures and the performance enhancement of steel using PAC.
These studies demonstrate that steel–concrete composite shear walls can significantly improve the load-bearing capacity of floor slabs. To further enhance the applicability and sustainability of composite walls, some researchers [5,7] have proposed replacing conventional concrete with foam concrete in composite structures to reduce the overall weight of the structure. The introduction of polystyrene beads into foam concrete has led to the development of polystyrene bead foam concrete, which is lighter and helps further reduce the density of the concrete, thus reducing the overall weight of the structure. Additionally, polystyrene beads offer excellent thermal insulation, improving the wall’s insulation performance. Expanded polystyrene (EPS) beads, derived from recycled waste materials, have a density of less than 30 kg/m3 and a smooth, closed spherical structure [14]. These beads exhibit strong vibration and impact resistance, low relative density, excellent functionality, and hydrophobic properties, making them difficult to degrade naturally. The density of ordinary foam concrete ranges between 600–1400 kg/m3, but by incorporating EPS beads, this density can be further reduced. For instance, WU Zhen [15] and others produced EPS foam concrete with a density range of 300–500 kg/m3. Sherif El and Gamal Abdullah Imtiaz [16,17] conducted in-depth studies on the mechanical and thermal performance of EPS foam concrete. de Souza T B, Yi Xu, K. Miled [18,19,20], and others explored the influence of EPS bead size and content on the properties of foam concrete. WU Zhen, Han Liu, Saulius Vaitkus [15,21,22], and others analyzed the stress–strain relationship of EPS foam concrete under compression. Chen Yuan [23] and others tested the impact performance of EPS foam concrete, confirming its excellent energy absorption capacity. P.L.N. Fernando [24] and others produced and tested EPS foam concrete sandwich panels containing 50% EPS. The results showed that the cooperation between the panel layers was excellent, demonstrating superior bending performance. Scholars like Karalar M [25,26] and Zeybek O [27] probed diverse approaches to enhancing material properties while minimizing self-weight. They employed varied methodologies and techniques, seeking efficient resolutions. Therefore, concrete structural materials are evolving towards lightweight, high-strength new materials, which possess excellent properties and will drive innovation and sustainable development in the construction industry.
This study designs a novel precast steel–EPS foam concrete composite wall panel structure, considering the challenges faced by conventional reinforced concrete structures, such as long maintenance times, reduced impermeability, durability degradation, steel corrosion, and high construction difficulty. In response to EPS’s strong hydrophobicity, which may lead to significant shrinkage cracks during curing, thus affecting the durability and mechanical properties of concrete in cold climates like those in Northeast China, the combination of EPS foam concrete with C-section steel achieves the goals of lightweight and thermal insulation. To further enhance the structural stability, this study investigates the reinforcement mechanisms of different fibers on EPS foam concrete [28,29,30,31], adding basalt fibers (BF) to the concrete to strengthen the overall structure, increase the concrete’s toughness, reduce cracking risks, and improve resistance to impact and deformation. Additionally, double-layer, biaxial, cold-drawn steel wire meshes are placed on both sides of the EPS insulation board, which not only helps secure the position of the insulation but also effectively prevents fractures when the panel is subjected to external loads, ensuring that the wall’s load-bearing capacity is not prematurely reduced due to damage to the insulation material.

2. Design of Composite Wall Panels

As shown in Figure 1, the model design of the composite wall panel adopts an innovative structural approach. Different from the traditional design that positions cold-formed C-section steel inside the wall, this design arranges the steel beneath the EPS foam concrete layer. This layout not only simplifies the subsequent testing and reinforcement procedures of the composite wall panel but also effectively reduces the overall self-weight of the structure through the utilization of EPS foam concrete in the upper layer, thus achieving the goal of lightweight construction. Furthermore, EPS insulation boards are integrated into the wall structure. This integration not only reduces the temperature difference across the wall, alleviating the thermal stress induced by temperature variations, but also enhances the overall thermal-insulation performance of the composite wall panel. In this way, there is no need to increase the wall thickness as a traditional means to meet the insulation requirements.
To further enhance the structural stability, double-layer, biaxial, cold-drawn steel wire meshes are installed on both sides of the EPS insulation board. This installation not only secures the position of the insulation board but also effectively inhibits crack formation when the wall panel is subjected to external loading, ensuring that the load-bearing capacity of the wall is not prematurely compromised due to damage to the insulation material.
Meanwhile, by optimizing the mix proportion of EPS foam concrete, the coefficient of thermal expansion of the concrete is decreased. Leveraging the low-density and high-performance thermal-insulation properties of polystyrene boards, the risk of wall damage during the freeze–thaw cycle, resulting from the combined action of self-weight and frost heave forces, is mitigated.

3. Load-Bearing Capacity Calculation

In this design, the composite wall panel is formed by combining EPS foam concrete with C-section steel. Therefore, the bending load-bearing capacity of the panel, compared to the standard calculation formula, needs to take into account the fact that when the bending load-bearing capacity reduces to 85%, both the upper and lower flanges of the cold-formed C-section steel will have yielded, and the specimen will have failed. At the point of failure, the strain in the cold-formed C-section steel is considered as the yield strain of the concrete, and the entire concrete section remains in the elastic compression phase. The EPS insulation board in the composite wall primarily serves as a thermal insulator, and its contribution to the load-bearing capacity can be disregarded. Therefore, when calculating the load-bearing capacity, the EPS insulation layer is neglected. Based on this assumption, the bending load-bearing capacity of the composite wall panel is calculated using the following formula:
M = φ b f y s A s c 1 h s c 1 + A s t 1 h s t 1 + σ d A d h s c 1 + h d 2   + 1 2 σ d A s c 2 h s c 1 + A s t 2 h s t 1 A s c 3 h s c 2 A s t 3 h s t 2
where φ b   is the overall stability coefficient of the C-section steel, f y s   is the yield strength of the C-section steel, Asc1 is the cross-sectional area of the C-section steel under compression, hsc1 is the distance from the upper flange of the C-section steel to the neutral axis, Ast1 is the cross-sectional area of the C-section steel under tension, hst1 is the distance from the bottom flange of the C-section steel to the neutral axis, σ d is the compressive strength of the EPS foam concrete, Ad is the cross-sectional area of the upper concrete layer, and hd is the thickness of the upper concrete layer. b1 and b2 represent the width of the composite member and the width of the insulation board, respectively; Asc2 and Ast2 are the cross-sectional areas of the lower concrete layer under compression and tension, respectively; Asc3 and Ast3 are the cross-sectional areas of the EPS insulation layer under compression and tension, respectively; hsc2 and hst2 are the distances from the top and bottom of the EPS insulation layer to the neutral axis, respectively.
Following the method provided by the Chinese standards [32], the bending load-bearing capacity of the composite wall panel can be calculated as follows:
φ b = 4320 A h λ y 2 W x ξ 1 η 2 + ξ + η 235 f y
η = 2 ξ 2 e a / h
ξ = 4 I w h 2 I y + 0.156 I t I y I 0 h 2
I w = I y × h 2 2
In the formula, λy is the slenderness ratio of the C-section steel in the plane perpendicular to the bending moment, A is the cross-sectional area of the C-section steel. h is the height of the cross-section, and l0 is the effective length used in the calculation ξ 1 = 1.13, ξ 2 = 0.46. Wx is the distance from the point of lateral load application to the bending center, ea is the modulus of the compressed edge of the cross-section along the X-axis, Iω is the warping moment of inertia for the entire cross-section, Iy is the moment of inertia of the cross-section about the y-axis, and It is the torsional moment of inertia. When the overall stability coefficient φ b   exceeds 0.7, it is recommended for φ b to replace φ b , with φ b = 1.091 0.274 φ b x .
The bending moment values of the composite wall panel, based on experimental testing and finite-element analysis, are determined using the following formula [33]:
M = q y l 2 8
q y = 1.208 P l

4. Finite-Element Simulation Analysis

4.1. Composite Wall Modeling

The C3D8R element is commonly used in finite-element analysis software (such as ABAQUS). When simulating concrete cracking, it can take into account the nonlinear characteristics of concrete materials, such as plastic deformation and creep. These characteristics are of great importance for the simulation of concrete cracking. Meanwhile, it can also be conveniently coupled with other elements (such as reinforcement elements) to simulate the interaction between steel bars and concrete in reinforced concrete structures, thus reflecting the actual stress conditions of the structures more realistically. Therefore, both EPS foamed concrete and cold-formed C-section steel are simulated using the three-dimensional C3D8R eight-node hexahedral reduced-integration element. The cold-drawn steel mesh and reinforcing bars are modeled using two-node linear truss elements (T3D2).
In this study, TIE constraints were applied between the concrete and the steel frame in the component, and embedded region constraints were used for the internal extruded polystyrene board. Specifically, one end of the wall was fixed with a hinged support (U1 = U2 = U3 = UR1 = UR3 = 0), while the other end was a sliding hinge support (U1 = U2 = UR1 = UR3 = 0). The loading beam and the supports were tied to the structure using TIE constraints to prevent slippage during loading and ensure convergence of the calculation results. The accuracy of the simulation results is influenced by the mesh size. After repeated tests and adjustments, the following mesh sizes were adopted: EPS foam concrete: 20 mm; cold-formed C-section steel: 25 mm; cold-drawn steel mesh and reinforcing bars: 15 mm.
The cold-formed C-section steel was embedded into the lower part of the concrete, with the corresponding nodes coupled to ensure no slippage occurred between the two materials. The structural layout of the model is shown in Figure 2a,b, while the mesh discretization is illustrated in Figure 2c,d.
Based on engineering experience, the initial design of the panel dimensions was 3000 × 725 × 280 mm, with the dimensions of the cold-formed C-section steel being 180 × 70 × 20 × 3 mm. The cold-formed C-section steel was made of Q235B material. The density of the EPS foam concrete was 600 kg/m3. The material parameters for the concrete and cold-formed C-section steel are listed in Table 1.

4.2. CDP Model

EPS foam concrete is modeled using the Concrete Damaged Plasticity (CDP) model in ABAQUS. This model fully accounts for the degradation of concrete stiffness due to crack formation caused by damage accumulation during the loading process. The failure mechanisms considered in the CDP model include cracking failure under tensile stress and crushing failure under compressive stress. The tensile strength of the concrete in the tensile zone is assumed to be 1/10 of its compressive strength.
The parameters required for this model are as follows: The dilation angle is 30 degrees; the eccentricity is 0.1; the ratio of the biaxial compressive strength to the uniaxial compressive strength of concrete is 1.16; the ratio of the second stress invariant on the tensile meridian to that on the compressive meridian, K, is 0.667; and the viscosity coefficient is 0.00001.
The stress–strain relationship curves for EPS foam concrete and steel components [34,35] are as follows:
(a)
Stress–strain relationship curve for EPS foam concrete:
y = 0.975 x 0.555 x 2 1 1.025 x + 0.445 x 2 , x 1 11.147 x 8.338 12.147 , x > 1
where x is the ratio of strain to maximum strain; Y is the ratio of stress to the compressive strength of EPS foam concrete.
(b)
Stress–strain relationship curve for steel members:
σ = E S ε           ( ε y ε < ε y )   f y               ( ε > ε y ) f y           ( ε < ε y )
where σ—stress of steel; ε—strain of steel; Es—Young’s modulus; fy—yield stress; εy—yield strain.

4.3. Simulation Results

Figure 3 presents the stress distribution in the EPS foam concrete and cold-formed C-section steel components. The figure shows the von Mises stress distribution for both the EPS foam concrete and the cold-formed C-section steel. It is observed that, under ultimate load conditions, the overall deformation of the component remains minimal. Moreover, the deformation patterns of the concrete and the steel frame are consistent with each other, indicating effective load transfer and composite action between the two materials. In actual building structure design, this material combination method can be given more consideration. By leveraging the advantages of different materials, such as the high strength of steel, the plasticity of concrete, and the heat insulation properties of thermal insulation materials, a composite structure with better performance can be created to enhance the overall mechanical properties and thermal insulation effect of the building.
Figure 4 displays the damage contours for the component. Stress concentrations are clearly visible at the interface between the EPS foam concrete and the cold-formed C-section steel, particularly at the layered cross-sections. This region exhibits more pronounced transverse crack development, indicating significant material degradation in these areas. In actual building design, this boundary constraint setting can be referred to according to different building types and force requirements. For example, in the design of bridges, high-rise buildings, etc., rationally setting boundary supports can help improve the stability of the structure under various loads and reduce the risk of structural damage caused by unreasonable boundaries.

4.4. Parameter Analysis

Based on the bending capacity calculation formula for composite wall panels derived in the previous sections, the primary factors influencing the load-bearing capacity of the wall panels include the strength and sectional height of the C-section steel and the density of the concrete. Accordingly, parametric analyses of fiber-reinforced composite wall panels were conducted using the finite-element software ABAQUS. The study primarily investigated the effects of the following parameters on the performance of the wall panels: the strength of the C-section steel, density of the EPS foam concrete, and sectional height of the C-section steel.
In this design, four commonly used steel grades were selected to analyze their influence on the strength of the wall panels. The density of the EPS foam concrete was fixed at 600 kg/m3, while the other parameters remained unchanged. The grades of cold-formed C-section steel were chosen as 235 MPa, 300 MPa, 345 MPa, and 390 MPa to conduct a parametric analysis of the effects of varying steel grades.
Figure 5a depicts the load–deflection curves for composite wall panels under different grades of cold-formed C-section steel. Evidently, as the steel strength escalated, both the load-bearing capacity in the plastic phase and the ultimate load-carrying capacity of the model experienced an improvement. The bond strength between the concrete and the steel frame was independent of the steel strength. Thus, solely increasing the steel strength merely extended the elastic phase of the composite wall panel without altering the bond strength. Consequently, the slope of the elastic phase remained consistent across all models, signifying that there was no remarkable impact on the overall stiffness of the composite wall panel. Furthermore, it is clearly discernible that the increment in steel strength resulted in a relatively homogeneous enhancement of the panel’s flexural capacity. Specifically, for every 1% increase in steel strength, the ultimate load-bearing capacity of the light steel–EPS foam concrete composite wall panel increased by 0.62% to 0.78%.
The influence of accidental factors on the performance of EPS foam concrete is not considered. Keeping other variables unchanged, only the density grades of 600, 800, 1000, and 1200 kg/m3 were selected as variable parameters, and the models were marked as B-600, B-800, B-1000, and B-1200. The thickness of the cold-formed thin-walled C-shaped steel channel was taken as 3 mm, the cross-sectional size was C180 × 70 × 20, and the steel strength was taken as 235 MPa; that is, only one factor of the density of foam concrete was considered. The load–deflection curves of concrete with each density grade are shown in Figure 5b.
As the compressive strength of EPS foam concrete increased, the ultimate load-bearing capacity of the composite panel also improved. Higher concrete density corresponds to greater compressive strength [34], resulting in enhanced bending capacity of the composite panel. During the elastic phase, the modulus of elasticity of EPS foam concrete increased with the concrete grade. Consequently, the increase in foam concrete compressive strength led to an improvement in the overall stiffness of the model, thereby reducing deformation. By varying the sectional height of the C-section steel, the impact of this parameter on the load-bearing capacity of the composite wall panels was analyzed. The numerical simulation results are summarized in Table 2, and the corresponding load–displacement curves are shown in Figure 5c. The C-section steel was set to grade Q235, and the concrete density was set to 600 kg/m3.
When all other parameters were held constant, the sectional height was increased incrementally from 150 mm to 240 mm, with an increase of 30 mm at each step. The bending capacity improved by 28.17%, 40.38%, and 17.79%, respectively. These results indicate that increasing the sectional height significantly enhances the bending capacity of the composite wall panels. However, as the sectional height increased, the rate of improvement diminished. This demonstrates that increasing the sectional height has a pronounced effect on the stiffness of the composite wall panels, with stiffness improving significantly as sectional height increases.

5. Four-Point Bending Test of Composite Wall Panels

Based on the theoretical calculations and numerical simulation results, composite wall panel specimens were fabricated to conduct four-point bending tests and evaluate their mechanical performance. The physical test setup and its schematic diagram are shown in Figure 6.
The supports were positioned 100 mm from each end of the specimen. A fixed hinge support was used on one end, while a sliding hinge support was used on the other. Along the midpoint of the specimen’s long edge, an MTS testing system equipped with an electro-hydraulic servo (500 kN capacity) was used to apply a vertical load. The MTS system allowed precise control of the loading rate and mode via computer. Two line-loading beams were placed with a spacing of 1000 mm, ensuring uniform distribution of the applied load.
The key difference between the two is that CSC-2 incorporates 0.2% basalt fiber by volume fraction. The lower outer edge of the panel is a steel frame made of cold-formed thin-walled C-section steel. At the bottom of the steel frame, a layer of cold-drawn steel wire mesh was placed, and concrete was poured up to 70 mm. Two polystyrene particle insulation boards were then installed, with dimensions of 1220 × 480 × 140 mm. The density of the EPS insulation board is 18–22 kg/m3, the thermal conductivity is ≤0.039 W/(m·K), the tensile strength and compressive strength are both ≥0.10 MPa, the water absorption rate is ≤3.0%, and the dimensional stability is ≤0.3%. Another layer of cold-drawn steel wire mesh was placed above the insulation boards, and concrete was poured again up to a total thickness of 280 mm. The dimensions of the panel are 300 × 725 × 280 mm, with a shear–span ratio a/d of 280/100, and it was designed as a unidirectional slab. The cold-formed thin-walled C-section steel used was China 235b-grade steel, with a standard yield strength of 235 MPa [32]. The ultimate tensile strength of this steel type ranges between 370 MPa and 500 MPa, and the cross-sectional dimensions of the C-section steel are C180 × 70 × 20 × 3 mm. The EPS foam concrete has a density of 600 kg/m3 and a compressive strength of 2.5 MPa. The concrete mix proportions are provided in Table 3, and the physical properties of the EPS insulation board are shown in Table 4.
The test was divided into two stages: preloading and formal loading. Before formal loading, a preload of 5 kN was applied to ensure the proper functioning of the instruments and test setup as well as the ability of the data acquisition system to collect data accurately. At the beginning, the loading was carried out in the form of load increments at a loading rate of 2 KN/min. After the component cracked, the loading rate was adjusted to 1 KN/min. Subsequently, when the component yielded, or the load dropped, the loading method was switched to displacement loading, and the loading was performed with a step length of 1 mm, continuing until the wall panel specimen failed. After each load increment, the load was held for at least 5 min to ensure stability, and crack development, foam concrete delamination, as well as strain and displacement values were carefully observed and recorded.
The failure of the specimen was determined based on one of two criteria: (1) the mid-span deflection reached L/50, where L is the span length, or (2) the current load value dropped to 85% of the peak load. Additionally, the cracking load of the wall panels was determined following the relevant Chinese standards [36], which stipulate that under the standard wind load, the deflection should not exceed L/200. The experiment utilized traditional bending test instrumentation, including LVDTs (Linear Variable Differential Transformers) and strain gauges. Strain gauges were mounted at various locations on the cold-formed thin-walled C-section steel to capture strain changes at specific points.
In addition to strain measurement on the cold-formed thin-walled C-section steel, three strain gauges were placed on the top surface at the mid-span of the EPS foam concrete. Moreover, to evaluate the strain variation along the cross-sectional height, five strain gauges were arranged at different vertical positions based on the relative locations of the strain gauges on the top and bottom surfaces. LVDTs were strategically positioned to monitor deflection at the mid-span of the specimen, at the two loading points, and at the support locations on both sides. Additionally, a DJCK-2 crack measurement device was employed to monitor the development of cracks in the specimen during the test. The experiment was conducted using an MTS testing system and was divided into two stages: preloading and formal loading. During the preloading phase, a load of 5 kN was applied for 5 min to verify the proper functioning of the equipment and test setup as well as the accuracy of the data acquisition system.
For the formal loading phase, a combined load–displacement control method was employed. Initially, the specimen was loaded incrementally using a load-controlled method, with a loading rate of 2 kN/min until cracking occurred. After cracking, the loading rate was reduced to 1 kN/min. Once the specimen yielded or a load drop was observed, the loading method was switched to displacement-controlled loading, with a step size of 1 mm, and continued until the wall panel specimen failed. After each load increment, the load was held for at least 5 min to ensure that readings stabilized. During this time, the development of cracks, delamination of the EPS foam concrete, and changes in strain and displacement were carefully monitored and recorded. The failure criteria for the specimen were as follows: (a) the mid-span deflection reached L/50, where L is the span length; (b) the load value dropped to 85% of the peak load; (c) the cracking load of the wall panels was determined according to the relevant Chinese standards [36], which stipulate that under the standard wind load, the deflection should not exceed L/200.
The entire test process can be divided into three stages: the elastic stage, the elastic–plastic stage, and the failure stage. In the early loading phase, both the strain and stress of the cold-formed C-section steel and the EPS foam concrete were relatively small. When the load reached approximately 30% of the ultimate load, transverse cracks were observed at the interface between the steel section and the concrete, indicating the onset of delamination. As the load was further increased, and the panel entered the elastic–plastic stage, the stresses were redistributed based on the structure of the panel. In this stage, the compressive stresses in the pure bending region were carried by the EPS foam concrete, while the tensile stresses in the lower part of the pure bending region were carried by the lower flange of the cold-formed C-section steel. Strain gauge readings revealed that the upper and lower flanges of the cold-formed C-section steel did not simultaneously reach the yield stage. The lower flange yielded first under the tensile stress, while the upper flange remained in the elastic stage. At this point, vertical cracks in the pure bending region began to propagate downward, and the transverse cracks at the delamination interface began to connect. The neutral axis of the section also began to rise. As the load continued to increase towards the ultimate load, the upper flange of the C-section steel gradually yielded, while the stress in the EPS foam concrete increased. The bond between the concrete and the steel weakened, leading to concrete delamination. Finally, the concrete at the top of the panel was crushed, resulting in failure of the specimen.
Figure 7 shows the crack distribution at the time of failure. A comparison between the results of the four-point bending test and the numerical simulation reveals that the crack distribution observed in the model closely matches the crack distribution obtained during the experiment. Additionally, the overall experimental results of the four-point bending test align very well with the numerical simulation results.

6. Performance Analysis

Figure 8 conducts a comparative analysis of the deflection of specimens CSC-1 and CSC-2. It can be observed that after incorporating basalt fibers, the ultimate load-bearing capacity of the specimens has not been significantly enhanced. However, the elastic–plastic stage has been extended, and the ductility of the specimens has been improved. In the initial loading phase, the deformation behavior of the specimens is similar to that of a standard concrete panel. This is mainly due to the fact that at this stage, the bond strength between the cold-formed C-section steel and the EPS foam concrete is relatively high, enabling the two materials to deform cooperatively. As the load increases, cracks begin to form at the interface. The first crack in specimen CSC-1 appeared at a load of 34 kN, while for specimen CSC-2, it appeared at 42 kN. This phenomenon fully demonstrates that the addition of basalt fibers effectively enhances the cracking resistance of the wall panels and extends their elastic stage. When the load is further increased, the wall panels enter the elastic–plastic stage. During this period, the rate of deflection accelerates significantly. This is mainly because the bond strength between the cold-formed C-section steel and the concrete has decreased, although the steel has not yet yielded at this time. However, as the transverse cracks in the delamination interface further develop, the wall panels enter the plastic stage. At this point, the bond strength between the steel and the concrete deteriorates further, causing slippage between the two materials. This slippage disrupts their original cooperative deformation state, resulting in a significant reduction in the flexural stiffness of the wall panels until they finally fail.
Based on the load–displacement (P) curves, the composite wall panels do not exhibit a distinct yield point. Therefore, the yield load and corresponding yield displacement of the composite wall panels were determined using a graphical method, as illustrated in Figure 8. The yield point, labeled as E (Py, Δy), represents the yield load and displacement of the composite wall panel. The ductility coefficient of the composite wall panels was calculated following principles provided in Chinese standards [37]. The peak load (Pmax) and peak displacement (Δmax) correspond to the load and displacement at the peak of the curve. On the descending branch of the load–displacement curve, the ultimate load (Pu) and ultimate displacement (Δu) are defined as the load and displacement at the point where the load drops to 85% of Pmax. The calculation of the ductility coefficient is shown in Table 5. From Table 5, it can be seen that the yield load of CSC-2 increased by only 2.8% compared to CSC-1, indicating that the addition of basalt fibers has minimal effect on the yield load. However, an analysis of the ductility coefficients of the composite wall panels showed that the coefficients for both specimens fall within the range of 2.2 to 3.0, demonstrating good deformation capacity. Moreover, the ductility coefficient of CSC-2 increased by 7.8% compared to CSC-1, indicating that the incorporation of basalt fibers has a significant effect on improving the ductility of the composite wall panels.
The strain values at the mid-span of the top and bottom surfaces of the EPS foam concrete as well as the strain values at the top and bottom flanges of the cold-formed C-section stee, were compared, and the load–strain relationship curves are plotted in Figure 9. The strain value at the bottom of the concrete closely matches the strain value at the lower flange of the C-section steel, indicating a good bond between the concrete and the steel. When the composite wall panel reached its ultimate load, the strain in both the top and bottom flanges of the cold-formed C-section steel exceeded 2000 με, indicating that the C-section steel surpassed its yield strength. Throughout the loading process, the strain values at the top surface of the concrete and the upper flange of the cold-formed C-section steel remained negative, indicating that the entire cross-section of the concrete was always in compression.
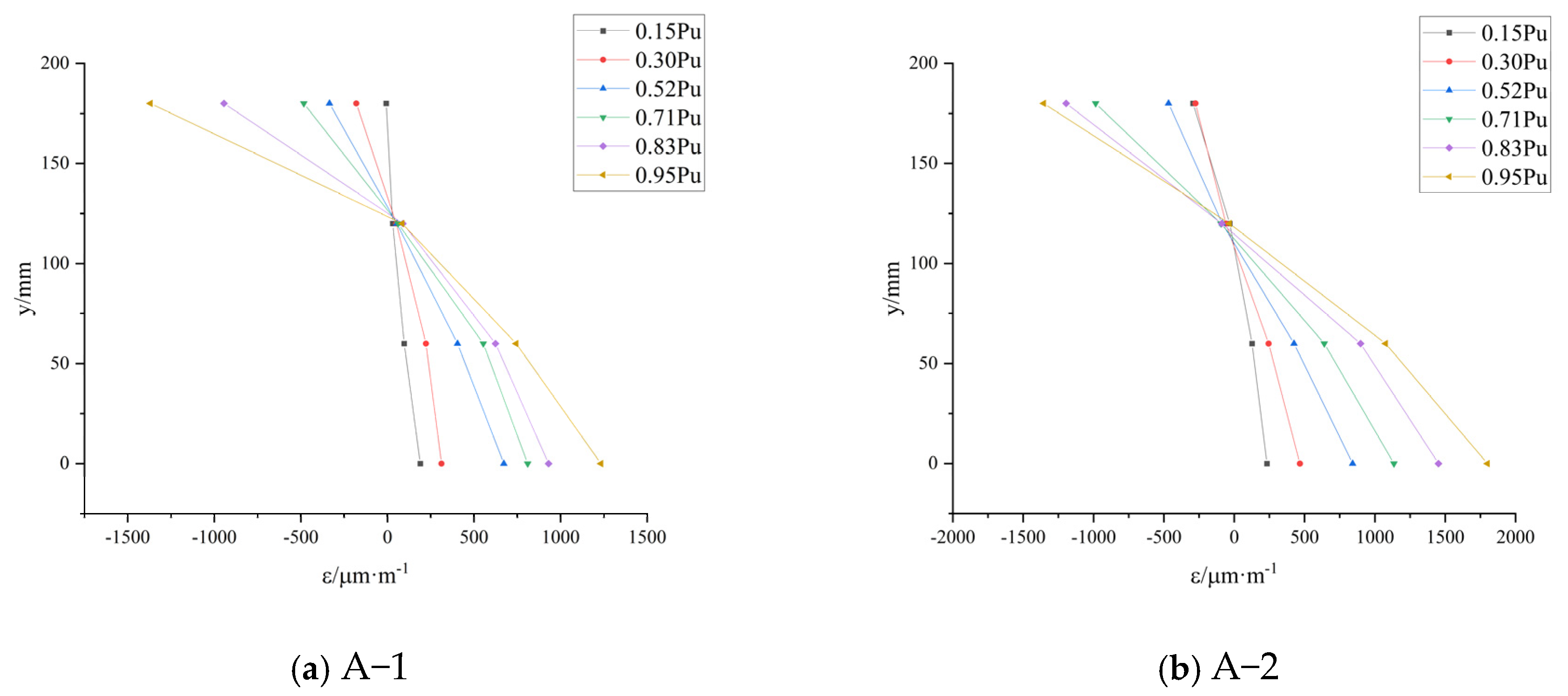
To analyze whether the strain distribution of the specimens conforms to the plane section assumption, the strain readings along the web height of the cold-formed C-section steel at mid-span were selected and plotted as load–strain curves in Figure 10. The horizontal axis (ε) represents the longitudinal strain of the section, while the vertical axis (y) represents the section height. Here, y = 0 mm corresponds to the lower flange of the cold-formed C-section steel, and y = 180 mm corresponds to the upper flange. In the early loading phase (at 0.15 Pu, where Pu is the ultimate load), the strain distribution of the cold-formed C-section steel along the section height was linear. As the load increased, slip between the cold-formed C-section steel and the concrete began to occur, causing sudden changes in strain along the section height at mid-span. However, the overall strain trend continued to approximate a linear distribution along the section height. Thus, the strain distribution generally conformed to the plane section assumption.
It can be seen from the curve of the concrete top surface and the curve of the upper flange of the C-shaped steel that, once the load exceeded 70% of the ultimate load, the rate of compressive strain growth in the EPS foam concrete increased significantly, continuing until the specimen failed. It is evident that before the load reached 90% of the ultimate load, the compressive strain at the top surface of the cold-formed C-section steel increased linearly and at a slow rate. As the load continued to increase towards the ultimate load, the upper flange of the cold-formed C-section steel began to yield, entering the plastic stage, during which the strain increased rapidly until failure.
Figure 11 presents a comparison of the load–deflection curves obtained from numerical simulation and experimental testing. The numerical simulation curve closely aligns with the experimental curve. When it comes to the analysis of large-scale structures, the bond–slip behavior between the steel frame and concrete considerably amplifies the complexity of the modeling process. This, in turn, causes a substantial upsurge in computational time. In extreme scenarios, it might even surpass the computational capabilities of the computer. Moreover, the determination of parameters within the bond–slip constitutive relationship necessitates an extensive amount of experimental data. Given that the impact of bond–slip on the overall structural performance is relatively minor, it was not incorporated into the numerical model in this research. This omission accounts for the finite-element results being marginally higher than the experimental outcomes. Table 6 presents a compares of the characteristic loads obtained from both the numerical simulation and the experiment. These characteristic loads include cracking load, yield load, and ultimate load.
To verify the validity and accuracy of the bending bearing capacity equation of composite wallboard, theoretical calculations were performed on composite wall panels with varying combinations of cold-formed C-section steel grades, EPS foam concrete grades, and C-section steel cross-sections. The calculated results were compared with the experimental and finite-element analysis results. In this comparison, Mc is the theoretical value calculated by the Equation. Me and Ml are experimental or numerical simulated values calculated by the bending moment value of composite wall panel. The results demonstrate that the discrepancy between the theoretical values and the experimental (or simulation) values is within ±10%, as shown in Table 7. This indicates that the Equation is a reasonable approach for calculating the bending capacity of composite wall panels.
The experimental data were compared with the findings of other researchers in terms of characteristic load-bearing capacity, ductility coefficient, and bending capacity, as shown in Table 8. The comparison results indicate that the designed prefabricated steel–EPS foam concrete composite wall panels exhibit superior performance in these key performance indicators. Characteristic Load-Bearing Capacity: The values of 98.50 kN and 100.58 kN for the composite wall panels exceeded the results reported in previous studies [15,16,38,39,40,41], where the maximum value was 99.95 kN. A high characteristic load-bearing capacity signifies that the composite wall panels can sustain larger loads under stress. Ductility Coefficient: The values of 2.69 and 2.90 fall within the optimal range of 2.0 to 4.0, suggesting that the panels can absorb energy effectively under stress, thereby reducing the risk of brittle failure. Bending Capacity: The values of 29.60 kN·m and 30.44 kN·m are at a high level compared to previous studies [15,16,38,39,40,41], where the range was 15.65 kN·m to 55.33 kN·m. This further validates the excellent performance of the composite wall panels under bending loads. These findings confirm the superior mechanical properties of the designed composite wall panels, making them highly competitive in structural applications.

7. Conclusions

This paper introduces a novel prefabricated steel–EPS foam concrete composite wallboard structure. By integrating the high strength of steel with the lightweight nature and excellent thermal insulation properties of foam concrete, this composite wallboard presents a novel alternative for building structures. Through meticulous parametric analysis and experimental validation, the impact mechanisms of diverse parameters on the wallboard’s performance were precisely elucidated. This effort furnishes a robust theoretical and practical basis for its engineering implementation. The developed design formula for flexural bearing capacity allows for the accurate prediction of the wallboard’s performance. This not only expedites the wide-scale adoption of this new-type composite wallboard in actual construction projects but also improves the safety and cost effectiveness of building structures.

Author Contributions

Conceptualization, Y.M. and F.L.; methodology, F.L. and L.Z.; software, L.Z. and L.Y.; validation, L.Z., F.L. and G.W.; formal analysis, L.Z.; data curation, R.Z.; writing—original draft preparation, L.Z.; writing—review and editing, Y.M.; project administration, R.Z. All authors have read and agreed to the published version of the manuscript.

Funding

This research was funded by the Science and Technology Development Project of Jilin Province, grant number 20220203193SF.

Data Availability Statement

Data are contained within the article.

Conflicts of Interest

Author Ran Zheng is employed by the Changchun Institute of Engineering Design and Research Co., Ltd. The remaining authors declare that the research was conducted in the absence of any commercial or financial relationships that could be construed as a potential conflict of interest.

References

  1. Manfredi, V.; Santarsiero, G.; Masi, A.; Ventura, G. The High-Performance Dissipating Frame (HPDF) System for the Seismic Strengthening of RC Existing Buildings. Sustainability 2021, 13, 1864. [Google Scholar] [CrossRef]
  2. Zhu, K.; Zhang, Y.; Meng, X.; Ma, Z. Structural Assembly Analysis of Concrete Buildings with Intelligent Finite Element Analysis. J. Sens. 2022, 2022, 6701021. [Google Scholar] [CrossRef]
  3. Uang, C.M.; Bruneau, M. State-of-the-art review on seismic design of steel structures. J. Struct. Eng. 2018, 144, 03118002. [Google Scholar] [CrossRef]
  4. Švajlenka, J.; Pošiváková, T. Innovation potential of wood constructions in the context of sustainability and efficiency of the construction industry. J. Clean. Prod. 2023, 411, 137209. [Google Scholar] [CrossRef]
  5. Liu, D.; Fu, F.; Liu, W. Structural Behavior of Composite Floor System Using Cold-Formed Thin-Walled C Steel Channel Embedded Foam Concrete. Appl. Sci. 2021, 11, 9888. [Google Scholar] [CrossRef]
  6. Li, Y.L.; Li, Y.Q.; Shen, Z.Y. Investigation on flexural strength of cold-formed thin-walled steel beams with built-up box section. Thin-Walled Struct. 2016, 107, 66–79. [Google Scholar] [CrossRef]
  7. Fang, H.; Qian, Z.; Yao, B.; Wang, W. Experimental studies on the mechanical behaviors of cold-formed thin-walled steel-foam concrete composite walls. Adv. Struct. Eng. 2024, 13694332241254599. [Google Scholar] [CrossRef]
  8. Chu, Y.; He, X.; Yao, Y.; Hou, H. Experimental research on the shear performance of the two-storey composite cold-formed thin-walled steel wall. KSCE J. Civ. Eng. 2020, 24, 537–550. [Google Scholar] [CrossRef]
  9. Zhang, X.; Zhang, E.; Li, C. Study on axial compression mechanical behavior of cold-formed thin-walled C-shaped steel composite wall sheathed with straw board on both sides. In Structures; Elsevier: Amsterdam, The Netherlands, 2021; Volume 33, pp. 3746–3756. [Google Scholar]
  10. Alali, A.A.; Tsavdaridis, K.D. Experimental investigation on flexural behaviour of prefabricated ultra-shallow steel concrete composite slabs. J. Constr. Steel Res. 2024, 217, 108632. [Google Scholar] [CrossRef]
  11. Zhang, X.; Li, H.; Zhao, Z. Experiment and numerical analysis on flexural behavior of cold-formed thin-walled C-shaped steel-paper straw board composite floors. J. Asian Archit. Build. Eng. 2023, 22, 2247–2262. [Google Scholar] [CrossRef]
  12. Avudaiappan, S.; Flores, E.I.S.; Araya-Letelier, G.; Thomas, W.J.; Raman, S.N.; Murali, G.; Amran, M.; Karelina, M.; Fediuk, R.; Vatin, N. Experimental investigation on composite deck slab made of cold-formed profiled steel sheeting. Metals 2021, 11, 229. [Google Scholar] [CrossRef]
  13. Eid, N.; Joó, A.L. Simplified numerical model development for advanced design of lightweight-concrete encased cold-formed steel shear wall panels. SN Appl. Sci. 2023, 5, 366. [Google Scholar] [CrossRef]
  14. Xie, Y.; Li, J.; Lu, Z.; Jiang, J.; Niu, Y. Preparation and properties of ultra-lightweight EPS concrete based on pre-saturated bentonite. Constr. Build. Mater. 2019, 195, 505–514. [Google Scholar] [CrossRef]
  15. Wu, Z.; Chen, B.; Liu, N. Fabrication and compressive properties of expanded polystyrene foamed concrete: Experimental research and modeling. J. Shanghai Jiaotong Univ. (Sci.) 2013, 18, 61–69. [Google Scholar] [CrossRef]
  16. El Gamal, S.; Al-Jardani, Y.; Meddah, M.S.; Abu Sohel, K.; Al-Saidy, A. Mechanical and thermal properties of lightweight concrete with recycled expanded polystyrene beads. Eur. J. Environ. Civ. Eng. 2024, 28, 80–94. [Google Scholar] [CrossRef]
  17. Imtiaz, A.; Sharif, M.B.; Irfan-Ul-Hassan, M.; Ghafoor, M.T.; Hasan, S. Effect of Expanded Polystyrene Beads on Mechanical, Thermal, and Acoustic Properties of Lightweight Concrete. Arab. J. Sci. Eng. 2024, 50, 1715–1727. [Google Scholar] [CrossRef]
  18. de Souza, T.B.; Medeiros, M.H.; Araújo, F.W.; de Melo Neto, A.A. The influence of expanded polystyrene granules on the properties of foam concrete. Mater. Struct. 2023, 56, 19. [Google Scholar] [CrossRef]
  19. Xu, Y.; Tong, S.; Xu, X.; Mao, J.; Kang, X.; Luo, J.; Jiang, L.; Guo, M.-Z. Effect of foam stabilization on the properties of foamed concrete modified by expanded polystyrene. J. Build. Eng. 2023, 73, 106822. [Google Scholar] [CrossRef]
  20. Miled, K.; Sab, K.; Le Roy, R. Particle size effect on EPS lightweight concrete compressive strength: Experimental investigation and modelling. Mech. Mater. 2007, 39, 222–240. [Google Scholar] [CrossRef]
  21. Liu, H.; Liu, D.; Yu, Q.; Xu, P.; Tian, L.; Yu, W.; Jia, S.; Kong, Y.; Lei, P. Experimental Scrutiny of Uniaxial Compressive Stress–Strain Relationship for Expanded Polystyrene Concrete. Iran. J. Sci. Technol. Trans. Civ. Eng. 2023, 47, 2931–2948. [Google Scholar] [CrossRef]
  22. Vaitkus, S.; Vėjelis, S.; Šeputytė-Jucikė, J.; Członka, S.; Strzelec, K.; Kairytė, A. Analysis of active and passive deformation of expanded polystyrene foam under short-term compression. Materials 2022, 15, 7548. [Google Scholar] [CrossRef] [PubMed]
  23. Chen, Y.; Zhang, W.; Zhang, L.; Zou, W.; Zhang, Y. Dynamic impact compressive performance of expanded polystyrene (EPS)-foamed concrete. Arch. Civ. Mech. Eng. 2022, 22, 164. [Google Scholar]
  24. Fernando, P.L.N.; Jayasinghe, M.T.R.; Jayasinghe, C. Structural feasibility of Expanded Polystyrene (EPS) based lightweight concrete sandwich wall panels. Constr. Build. Mater. 2017, 139, 45–51. [Google Scholar] [CrossRef]
  25. Ecemiş, A.S.; Madenci, E.; Karalar, M.; Fayed, S.; Althaqafi, E.; Özkılıç, Y.O. Bending Performance of Reinforced Concrete Beams with Rubber as Form of Fiber from Waste Tires. Materials 2024, 17, 4958. [Google Scholar] [CrossRef] [PubMed]
  26. Korkut, F.; Karalar, M.; Motameni, A.; Althaqafi, E.; Özdöner, N.; Özkılıç, Y.O. Experimental and Numerical Investigation of the Flexural Behavior of Reinforced-Concrete Beams Utilizing Waste Andesite Dust. Materials 2024, 17, 4413. [Google Scholar] [CrossRef]
  27. Zeybek, O.; Başaran, B.; Aksoylu, C.; Karalar, M.; Althaqafi, E.; Beskopylny, A.N.; Stel’makh, S.A.; Shcherban′, E.M.; Umiye, O.A.; Özkılıç, Y.O. Shear Performance in Reinforced Concrete Beams with Partial Aggregate Substitution Using Waste Glass: A Comparative Analysis via Digital Imaging Processing and a Theoretical Approach. ACS Omega 2024, 9, 41662–41675. [Google Scholar] [CrossRef]
  28. Sun, Y.; Li, C.; You, J.; Bu, C.; Yu, L.; Yan, Z.; Liu, X.; Zhang, Y.; Chen, X. An Investigation of the properties of expanded polystyrene concrete with fibers based on an orthogonal experimental design. Materials 2022, 15, 1228. [Google Scholar] [CrossRef]
  29. Wu, Z.; Wang, X.; Chen, Z. Experimental study on Corn Straw Fiber (CSF) toughening EPS concrete. Constr. Build. Mater. 2024, 429, 136325. [Google Scholar] [CrossRef]
  30. Babavalian, A.; Ranjbaran, A.H.; Shahbeyk, S. Uniaxial and triaxial failure strength of fiber reinforced EPS concrete. Constr. Build. Mater. 2020, 247, 118617. [Google Scholar] [CrossRef]
  31. Chen, B.; Fang, C. Contribution of fibres to the properties of EPS lightweight concrete. Mag. Concr. Res. 2009, 61, 671–678. [Google Scholar] [CrossRef]
  32. GB/T700-2006; Carbon Structure Steels, Chinese Standard. Standards Press of China: Beijing, China, 2007.
  33. Zhang, X.; Zhao, Z.; Li, X. Flexural performance of cold-formed thin-walled steel-paper straw board composite slab. Stavební Obz.-Civ. Eng. J. 2020, 29, 10–24. [Google Scholar] [CrossRef]
  34. Cui, C. Study on Seismic Performance of Light Steel EPS Concrete Shear Wall. Ph.D. Thesis, Tsinghua University, Beijing, China, 2018. [Google Scholar]
  35. GB50018-2002; Technical Code of Cold-Formed Thin-Wall Steel Structures, Chinese Standard. China Planning Press: Beijing, China, 2002.
  36. GB/T51232-2016; Prefabricated Steel Structure Building Technology, Chinese Standard. China Architecture & Building Press: Beijing, China, 2016.
  37. JGJ101-2015; Specification for Seismic Test of Buildings. Standards Press of China: Beijing, China, 2015. (In Chinese)
  38. Liu, Q.; Du, W.; Uddin, N.; Zhou, Z. Flexural Behaviors of Concrete/EPS-Foam/Glass-Fiber Composite Sandwich Panel. Adv. Mater. Sci. Eng. 2018, 2018, 5286757. [Google Scholar] [CrossRef]
  39. Zheng, T.; Ge, Q.; Xiong, F.; Li, G.; Xue, Y.; Deng, X. Study of the flexural performance and a novel calculation formula for the degree of composite action for precast concrete sandwich panels. Struct. Des. Tall Spec. Build. 2023, 32, e2065. [Google Scholar] [CrossRef]
  40. Lv, X.; Yu, Z.; Liao, Z. Experimental study on flexural behavior of a novel variable-grade prefabricated concrete slab with surrounding composited. Struct. Concr. 2023, 24, 892–905. [Google Scholar] [CrossRef]
  41. Bian, Y.; Xiong, F.; Liu, Y.; Ge, Q. Flexural performance of novel ECC-RC composite sandwich panels. Eng. Struct. 2023, 292, 116547. [Google Scholar] [CrossRef]
Figure 1. Composite wall panel structure and details.
Figure 1. Composite wall panel structure and details.
Buildings 15 00285 g001
Figure 2. Steel–EPS Foam Concrete Wall Panel Models.
Figure 2. Steel–EPS Foam Concrete Wall Panel Models.
Buildings 15 00285 g002
Figure 3. Stress Distribution of EPS Foam Concrete and Cold-Formed C-Shaped Steel.
Figure 3. Stress Distribution of EPS Foam Concrete and Cold-Formed C-Shaped Steel.
Buildings 15 00285 g003
Figure 4. Damage Contour Maps of Components.
Figure 4. Damage Contour Maps of Components.
Buildings 15 00285 g004
Figure 5. Load–Displacement Curves of Components.
Figure 5. Load–Displacement Curves of Components.
Buildings 15 00285 g005
Figure 6. The physical test setup and its schematic diagram and details.
Figure 6. The physical test setup and its schematic diagram and details.
Buildings 15 00285 g006
Figure 7. Crack distribution diagram at the failure of the specimen.
Figure 7. Crack distribution diagram at the failure of the specimen.
Buildings 15 00285 g007
Figure 8. Comparative analysis of the deflection of specimens using graphical method.
Figure 8. Comparative analysis of the deflection of specimens using graphical method.
Buildings 15 00285 g008
Figure 9. Load–strain comparison for the top and bottom surfaces of the concrete and the upper and lower flanges of the C-shaped steel.
Figure 9. Load–strain comparison for the top and bottom surfaces of the concrete and the upper and lower flanges of the C-shaped steel.
Buildings 15 00285 g009
Figure 10. Strain Distribution along the Section Height of C-shaped Steel at Midspan.
Figure 10. Strain Distribution along the Section Height of C-shaped Steel at Midspan.
Buildings 15 00285 g010
Figure 11. Comparison of Load-Deflection Curves Between Numerical Simulation and Experiment. (a) CSC-1; (b) CSC-2.
Figure 11. Comparison of Load-Deflection Curves Between Numerical Simulation and Experiment. (a) CSC-1; (b) CSC-2.
Buildings 15 00285 g011
Table 1. Parameters of EPS Foam Concrete and Cold-Formed C-Shaped Steel.
Table 1. Parameters of EPS Foam Concrete and Cold-Formed C-Shaped Steel.
MaterialDensity (kg/m3)Compressive Strength (MPa)Tensile Strength (MPa)Young’s Modulus (MPa)Poisson’s Ratio
Cold-Formed C-Shaped Steel78003003002.05 × 1050.30
EPS Foam Concrete6001.60.61.3 × 1040.20
Table 2. Effect of Section Height on Flexural Bearing Capacity of Composite Wall Panels.
Table 2. Effect of Section Height on Flexural Bearing Capacity of Composite Wall Panels.
No.Section Height (mm)Maximum Load Pmax (KN)Maximum Displacement Δmax (mm)
C-15015081.1636.48
C-180180104.0235.89
C-210210146.0341.28
C-240240172.0140.96
Table 3. Mix Proportion of EPS Foam Concrete (Density 600 kg/m3).
Table 3. Mix Proportion of EPS Foam Concrete (Density 600 kg/m3).
Specimen No.Cement (kg)Water (kg)Polystyrene Particles (kg)Glue Powder (kg)Foam (kg)BF Volume Ratio (%)
CSC-140023550.4200
CSC-240023550.4200.2%
Table 4. Physical properties of polystyrene granule insulation boards.
Table 4. Physical properties of polystyrene granule insulation boards.
Density (kg/m3)Thermal Conductivity (W/m·k)Tensile Strength (MPa)Compressive Strength (MPa)Water Absorption Rate (%)Dimensional Stability (%)
18~22≤0.039≥0.10≥0.10≤3.0≤0.3
Table 5. Ductility Coefficients of Components.
Table 5. Ductility Coefficients of Components.
No.Yield LoadMaximum LoadUltimate LoadDuctility Coefficient (μ)
Py/kNΔy/mmPmax/kNΔmax/mmPu/kNΔu/mm
CSC-17016.4398.535.8983.7244.212.69
CSC-27215.75100.5832.9985.4945.752.90
Table 6. Comparison Between Experimental and Finite-Element Analysis Results.
Table 6. Comparison Between Experimental and Finite-Element Analysis Results.
IDMaximum Load Pmax (KN)Maximum Displacement Δmax (MM)
PmaxEPmaxFPmaxE/PmaxFΔmaxEΔmaxFΔmaxEmaxF
CSC-198.5102.50.9635.8937.110.96
CSC-2100.58101.870.9832.9935.790.95
Table 7. Flexural Bearing Capacity of Composite Wall Panels.
Table 7. Flexural Bearing Capacity of Composite Wall Panels.
Sample No.Me (Ml)/kN·mMc/kN·mMc/Me (Ml)
CSC-129.6032.120.92
CSC-230.4432.720.93
B-80046.3649.970.93
B-100060.0963.340.95
B-120069.1771.540.97
Q30035.4237.210.95
Q34538.6341.700.92
Q39041.8444.890.93
C15022.8522.780.99
C21043.2942.401.02
C24053.4451.871.03
Table 8. Statistical Comparison.
Table 8. Statistical Comparison.
SourceNo.Yield Load
Py (KN)
Maximum Load
Pmax (KN)
Ductility Coefficient (μ)Flexural Bearing Capacity (kN·m)
This paperCSC-170.0098.502.6929.60
CSC-272.00100.582.9030.44
[15]CB-147.1257.602.5115.65
CB-243.7556.602.2714.51
CB-342.2157.002.3814.02
[16]Rectangular slab II75.2084.506.3320.41
Trapezoidal slab I62.0072.906.1017.61
[38]ICISP15.8027.701.2510.03
[39]PCSP-GT78.8194.876.3840.68
PCSP-ST79.2399.956.5342.86
[40]PC147.7555.754.3253.75
PC249.7557.756.3055.33
[41]T20B20-164.7576.185.9521.85
T30B30-166.2577.956.4922.36
Disclaimer/Publisher’s Note: The statements, opinions and data contained in all publications are solely those of the individual author(s) and contributor(s) and not of MDPI and/or the editor(s). MDPI and/or the editor(s) disclaim responsibility for any injury to people or property resulting from any ideas, methods, instructions or products referred to in the content.

Share and Cite

MDPI and ACS Style

Liu, F.; Zhao, L.; Yuan, L.; Wu, G.; Zheng, R.; Mu, Y. Research on Flexural Performance of Basalt Fiber-Reinforced Steel–Expanded Polystyrene Foam Concrete Composite Wall Panels. Buildings 2025, 15, 285. https://doi.org/10.3390/buildings15020285

AMA Style

Liu F, Zhao L, Yuan L, Wu G, Zheng R, Mu Y. Research on Flexural Performance of Basalt Fiber-Reinforced Steel–Expanded Polystyrene Foam Concrete Composite Wall Panels. Buildings. 2025; 15(2):285. https://doi.org/10.3390/buildings15020285

Chicago/Turabian Style

Liu, Fang, Long Zhao, Longxin Yuan, Gang Wu, Ran Zheng, and Yusong Mu. 2025. "Research on Flexural Performance of Basalt Fiber-Reinforced Steel–Expanded Polystyrene Foam Concrete Composite Wall Panels" Buildings 15, no. 2: 285. https://doi.org/10.3390/buildings15020285

APA Style

Liu, F., Zhao, L., Yuan, L., Wu, G., Zheng, R., & Mu, Y. (2025). Research on Flexural Performance of Basalt Fiber-Reinforced Steel–Expanded Polystyrene Foam Concrete Composite Wall Panels. Buildings, 15(2), 285. https://doi.org/10.3390/buildings15020285

Note that from the first issue of 2016, this journal uses article numbers instead of page numbers. See further details here.

Article Metrics

Back to TopTop