Next Article in Journal
Field Study on Winter Thermal Comfort of Occupants of Nursing Homes in Shandong Province, China
Next Article in Special Issue
Development and Characterization of Alkali-Activated Lithium Slag-Fly Ash Composite Cement
Previous Article in Journal
An Evaluation of the Technologies Used for the Real-Time Monitoring of the Risk of Falling from Height in Construction—Systematic Review
Previous Article in Special Issue
Mesoscopic Numerical Simulation of Freeze–Thaw Damage in Hydraulic Concrete
 
 
Font Type:
Arial Georgia Verdana
Font Size:
Aa Aa Aa
Line Spacing:
Column Width:
Background:
Article

Evaluation of Dynamic Mechanical Properties of Steel-Fiber-Reinforced Concrete Subjected to Freeze–Thaw Cycles

1
State Key Laboratory of Eco-Hydraulics in Northwest Arid Region, Xi’an University of Technology, Xi’an 710048, China
2
Henan Jiaotou Jiaozheng Expressway Co., Ltd., Zhengzhou 450003, China
3
Henan Province Highway Engineering Bureau Group Co., Ltd., Zhengzhou 450003, China
*
Author to whom correspondence should be addressed.
Buildings 2024, 14(9), 2880; https://doi.org/10.3390/buildings14092880
Submission received: 22 July 2024 / Revised: 24 August 2024 / Accepted: 29 August 2024 / Published: 12 September 2024
(This article belongs to the Special Issue Advanced Studies in Structure Materials—2nd Edition)

Abstract

This study investigates the structural characteristics of SFRC with different amounts of steel fibers following exposure to freeze–thaw cycles, while taking into account various levels of confinement pressure and rates of deformation. The focus of the research is to examine the dynamic mechanical properties of SFRC exposed to freeze–thaw cycles. The inclusion of steel fibers improves the strength of concrete during freeze–thaw cycles, with 1% steel fiber content being the most effective. Strain rate and confining pressure significantly impact the strength and failure mode of SFRC. The strength of concrete increases linearly with the strain rate. With no confining pressure, the cracks in the concrete specimen align with the direction of the applied stress. And with confining pressure, concrete exhibits diagonal shear failure. Microstructural analysis results from scanning electron microscopy are consistent with the macroscopic properties.

1. Introduction

Steel-fiber-reinforced concrete (SFRC) offers several performance advantages over traditional concrete, including higher tensile strength, improved toughness, enhanced ductility, and greater durability. The inclusion of steel fibers helps to inhibit crack propagation, reduce shrinkage, and improve overall structural integrity [1,2,3]. As a result, structures made with SFRC can better withstand dynamic loads and harsh environmental conditions, leading to longer service life and reduced maintenance costs. These attributes make SFRC particularly suitable for demanding applications, including bridge engineering, wind turbine foundation engineering, and pavement engineering [4,5,6,7]. Its superior performance under tensile stress and its ability to resist cracking and deformation under load contribute to its growing popularity in these fields. Consequently, SFRC is increasingly being employed in various construction projects.
The incorporation of steel fibers significantly influences the structural properties of concrete. Increasing the water–cement ratio and steel fiber content (0.5–1.5%) can enhance compressive strength by 10–25%, tensile strength by 31–47%, and flexural strength by 3–140%, depending on the aspect ratio [8]. Conversely, Rao et al. [9] reported that the splitting tensile and flexural strength of SFRC can be improved by 30%. Additionally, while higher compressive strength may reduce ductility, the inclusion of fibers enhances toughness and impact resistance [10]. Moradi et al. [11] studied the effects of steel fibers on concrete using uniaxial compression and tensile stress–strain curves. They modified the elastoplastic damage constitutive model for plain concrete and proposed a new model for steel-fiber-reinforced concrete. Almusallam et al. [12] found that steel fibers improve concrete performance in projectile impact scenarios by increasing the ballistic limit, reducing penetration and scabbing depths, and significantly decreasing the ejected mass from the back face as fiber volume increases.
Research has shown that the addition of steel fibers enhances the dynamic mechanical properties of concrete. Yoo et al. [13] found that fiber content has minimal impact on the compressive strength and elastic modulus of SFRC beams but significantly affects peak strain and post-cracking behavior. According to Sun et al. [14], increases in strain rate or fiber content lead to a faster growth in energy absorption compared to strength and strain, which helps reduce damage to SFRC under high strain rates. Ren et al. [15] discovered that the content and type of steel fibers have no significant effect on the dynamic elastic modulus and peak strain, with straight steel fibers slightly outperforming hooked-end fibers in enhancing dynamic compressive strength at a 2.0% volume fraction. Wu et al. [16] reported that 1% straight steel fibers improve dynamic tensile strength more effectively than hooked-end fibers at the same content. Bankir et al. [17] found that as the aspect ratio of steel fibers in SFRC increases, the dynamic elastic modulus of concrete increases by 21.58% compared to the control sample, and Poisson’s ratio increases by 27.46%. The Poisson’s ratio of SFRC varies between 0.1825 and 0.246.
Some SFRCs are negatively affected by freeze–thaw (F–T) damage, a major factor leading to their degradation. Wang and Niu [18] explored how steel-fiber-reinforced shotcrete exhibits excellent frost resistance and sulfate resistance, enhancing its durability in harsh environments. Zhao et al. [19] used digital imaging to assess the impact resistance of SFRC subjected to the combination of fiber addition and F–T cycles. This study highlighted the importance of understanding SFRC’s response to F–T cycles when subjected to different loading conditions. Xia et al. [20] proposed a more accurate concrete F–T damage model to describe the degree of F–T damage in concrete by studying the frost resistance of steel-fiber-reinforced concrete. Chakdel et al. [21] studied the mechanical behavior of SFRC under F–T and acidic environments. The results showed that after 300 F–T cycles, the compression, indirect tensile, and fracture toughness properties of SFRC were improved compared to plain concrete.
The block size of SFRC also has an impact on its bearing strength. Jiang et al. [22] found that there is a linear correlation between the size and compressive strength of SFRC, and the size effect is more significant when the compressive strength is higher than 150 MPa. Su et al. [23] show that the amount of steel fiber has a certain impact on the size effect of the flexural strength of recycled concrete. The larger the amount of steel fiber, the more obvious the size effect. When the amount of steel fiber is large, the impact of the amount of steel fiber on the size effect is weaker. In addition, Yuan et al. [24] have shown that the reinforcement effect of hybrid steel polyacrylonitrile fibers on the flexural strength of concrete increases with decreasing size. Setti et al. [25] found that steel fibers make SFRC more sensitive to size effects in bending strength and proposed a relationship between size effects and steel fiber content.
From the aforementioned literature review, it is crucial to note that despite extensive experimental research on the dynamic performance of SFRC, studies on its multiaxial performance, especially after F–T cycles, are scarce. Most existing research focuses on uniaxial tensile and compressive strengths, toughness, and ductility of SFRC under standard conditions. However, these studies do not adequately address the complex stress states SFRC might face in real-world applications post-F–T cycles. F–T cycles can significantly deteriorate the microstructure of concrete, impacting its mechanical properties. While steel fibers enhance SFRC’s resistance to environmental attacks, the extent of its dynamic performance retention under triaxial compressive stress after F–T cycles remains unclear. This is crucial for hydraulic structures that encounter multiaxial stress in hydraulic engineering. This study comprehensively investigates the behavior of SFRC under triaxial compression stress after F–T cycling, quantifying the degradation of dynamic performance to provide a theoretical basis for addressing the complex stress states that SFRC may face in practical applications after F–T cycling.
The study explores how the mechanical characteristics of SFRC change under varying F–T cycles, pressures (0, 5, 10 MPa), and deformation rates (10−5/s to 10−2/s). SFRC specimens with 0–2% steel fiber were tested using a dynamic triaxial servo-hydraulic machine. The research evaluates how dynamic compressive properties are impacted. Microstructural analysis via SEM was conducted to understand performance enhancement mechanisms.

2. Experimental Program

2.1. Specimens

In engineering and construction, 42.5 cement is widely used, and using 42.5 cement for testing can make research results widely applicable [26,27]. The cement utilized in this experiment is standard Portland cement from China with the designation P.O.42.5R grade, which is produced in Qinling Cement Factory of Shaanxi Province. The coarse aggregate consists of well-sorted pebbles measuring between 5 and 20 mm in size. The performance indicators are shown in Table 1. The fine aggregate consists of Weihe sand that is continuously graded and has a fineness modulus of 2.35. Suzhou Shiweikang curved hook steel fiber is shown in Figure 1, with the steel fiber’s performance indicators detailed in Table 2. This performance of steel fibers can fully demonstrate the role of steel fibers in steel-fiber-reinforced concrete, making the experimental phenomena more significant [28]. The admixtures were polycarboxylic superplasticizer and triterpenoid saponin air entraining agent. Use clean tap water for mixing water. In order to study the optimal steel fiber content for steel-fiber-reinforced concrete, selecting a steel fiber content of 0–2% can observe the process of first increasing and then decreasing the performance of steel-fiber-reinforced concrete [29,30]. SFRC with 0%, 1.0%, and 2.0% fiber content were selected in the test, and the numbers were SF0, SF10, and SF20, respectively.
In order to distribute the steel fiber evenly in the specimen, the steel fiber and the mixing water were added to the mixer for mixing in two batches during the concrete mixing process, and the concrete mixing materials were fully stirred after each addition of the material, as shown in Figure 2. Vibration stirring technology was used to keep the steel fibers in a vibrating state during the mixing process, thereby breaking their agglomeration and ensuring uniform mixing with other materials within 2 min [31]. Then, according to the standard (CECS 13:2009, 2009) [32], the concrete mix is vibrated and compacted in a steel mold with a size of 100 mm × 200 mm. After 24 h, place the sample in a curing box and allow it to cure for 28 days.

2.2. F–T Cycle Test

According to the Chinese standard (GB/T50082-2009, 2009), the SFRC were placed in the F–T device in this test and the “quick-freezing method” was used for the rapid F–T cycle test. The experimental selection of 0–200 F–T cycles can fully reflect the impact of F–T action on the dynamic mechanical properties of steel-fiber-reinforced concrete. After 200 F–T cycles, the impact of F–T action on the dynamic mechanical properties of steel-fiber-reinforced concrete is more significant [19,20,21]. Triaxial compression testing was conducted on the samples after 0, 50, 100, 150, and 200 F–T cycles to assess their mechanical characteristics, and the SEM was used to observe the microstructure of the samples. During the test, the highest temperature of the center of the sample was (6 ± 2) °C and the lowest temperature was (−16 ± 2) °C within 4 h of an F–T cycle.

2.3. Triaxial Compression Test

By conducting triaxial compression tests on steel-fiber-reinforced concrete, the compressive strength, maximum strain, and stress–strain relationship of concrete under different confining pressures and strain rates can be detected to study the dynamic mechanical properties of steel-fiber-reinforced concrete after F–T cycles [33]. The test utilizes the micro-computer servo coarse-grained soil dynamic and static triaxial meter from Xi’an University of Technology, depicted in Figure 3. During the test, the pressure liquid in the cylinder was passed first, so that the sample was subjected to the same confining pressure and was maintained unchanged during the whole test process. Vertical axial pressure is then applied to the specimen through the balanced piston until the specimen is destroyed. During the experiment, three different levels of pressure were applied: 0 MPa, 5 MPa, and 10 MPa, along with four different rates of strain: 10−5/s, 10−4/s, 10−3/s, and 10−2/s. Each group of tests utilized three SFRC specimens, with the average result value being calculated. If the data with large dispersion appeared in the test, the test should be re-conducted. The control section of the device gathers data to determine the compressive strength, maximum strain, and stress-strain patterns of the SFRC. Additionally, the post-failure appearance of the sample is documented to assess the mode of failure.

2.4. SEM Test

During this experiment, observe the sample’s microstructure using a Merlin Compact SEM. In Figure 4, first, 5 mm × 5 mm × 5 mm SEM specimens were separated by a cutting machine from the concrete after triaxial compression failure. Prior to the examination, the SEM sample was soaked in dry ethanol for a day and subsequently dried to purify the specimen’s surface. Then, the surface of the SEM specimen was sprayed with gold to improve the imaging quality. Ultimately, the samples were photographed under high vacuum conditions with a 5 kV accelerated voltage.

3. Results and Discussion

3.1. Triaxial Compressive Strength

Samples were subjected to 0, 50, 100, 150, and 200 F–T cycles to thoroughly evaluate their impact on the dynamic behavior of SFRC. Figure 5 shows the compressive strength of the concrete samples subjected to 5 MPa confining pressure during various F–T cycles. The information clearly shows that the concrete’s compressive strength decreases slowly with an increase in the number of F–T cycles. The pattern aligns with the results reported by Lu and colleagues in their study [34]. Additionally, the triaxial compressive strength of concrete samples subjected to F–T cycles exhibits two distinct phases: (I) a gradual decline from the beginning of the process to 50 cycles and (II) a rapid decline from 50 to 200 cycles. The increase in cycles may cause the aggregate and mortar to become loose, resulting in a gradual decrease in the triaxial compressive strength due to the internal structure being affected.
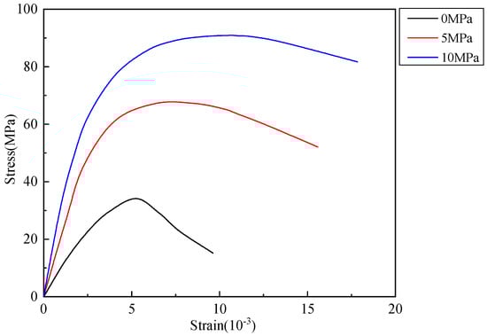
As shown in Figure 6, it is clear that the triaxial compressive strength of every concrete sample exposed to F–T cycles rises as the rate of strain increases. This finding aligns with previous research [35,36]. Concrete containing 1% steel fiber experiences a 12.2%, 20.4%, and 28.1% increase in triaxial compressive strength at strain rates of 10−4/s, 10−3/s, and 10−2/s, respectively, when compared to 10−5/s under 5 MPa confining pressure. The strength increase is due to two factors: (i) At high strain rates, rapid and extensive crack propagation requires significant energy, which cannot be stored, thus increasing stress at the loading point and enhancing strength. Faster crack propagation also prevents cracks from following the weakest path, indirectly boosting strength. (ii) The Stefan effect, where viscous resistance is generated by a fluid between moving solid plates, similarly hinders macroscopic crack propagation in concrete. This viscous effect is more pronounced at high strain rates, further increasing concrete strength.
The results of Figure 6 demonstrate that the inclusion of steel fibers enhances the overall triaxial compressive strength of concrete. Increasing steel fiber content reduces the average spacing between fibers, allowing them to better bear the load and delaying crack formation and propagation. Nevertheless, with a fiber content of 2.0%, there is a slight decrease in strength caused by the ‘balling effect’, which occurs when fibers aggregate, leading to uneven distribution and weakening the bond between fibers and the concrete matrix [37]. This clumping leads to weak spots and insufficient concrete slurry to fill and wrap around the fibers, compromising the steel fibers’ effectiveness and mechanical properties.
At a consistent strain rate, the triaxial compressive strength of SFRC rises with increasing confining pressure, but the rate of increase decreases as the confining pressure goes up (Figure 6). The SF0 sample exhibits a triaxial compressive strength of 62.73 MPa at a strain rate of 10−5/s, with a confining pressure of 5 MPa, and 77.97 MPa at 10 MPa, showing 116.8% and 169.70% improvement compared to uniaxial compression, respectively. SF10 and SF20 specimens show similar trends. Lateral confining pressure limits new crack formation and restrains existing microcrack propagation, significantly enhancing SFRC’s triaxial compressive strength [38].

3.2. Peak Strain

In Figure 7, the specimens exhibit an increase in axial peak strain with F–T cycles rising. For instance, considering a strain rate of 10−5/s, the axial peak strain of SF0, SF10, and SF20 increases by 42.1%, 39.3%, and 40.5%, respectively, from F–T 0 times to F–T 200 times. Specimens experiencing F–T cycles exhibit a peak strain behavior that mirrors their compressive strength, characterized by two clear phases: (I) a gradual rise from the beginning of soaking to 50 F–T cycles, followed by (II) a rapid escalation from 50 to 200 F–T cycles.
The results in Figure 8 show that higher strain rates result in a reduction of the maximum axial strain in concrete samples after 100 F–T cycles. In the absence of steel fiber reinforcement (SF0) and under 0 MPa confining pressure, the axial peak strain reduces by 4.4%, 8.0%, and 10.6% at strain rates of 10−4/s, 10−3/s, and 10−2/s, respectively, in comparison to 10−5/s. This pattern is also observed in concrete containing 1% and 2% steel fiber. Additionally, increasing confining pressure raises the axial peak strain for all concrete types. At a strain rate of 10−5/s, the maximum axial strain for SF0 increases by 98.0% as the confining pressure goes from 0 to 10 MPa. For SF10, it increases from 0.0057 to 0.0113 under the same conditions, with similar results for SF20. Adding steel fiber also increases axial peak strain. These findings align with Zhang et al. [39], who reported increased peak strain with higher confining pressure.

3.3. Axial Stress–Strain Behaviour

In Figure 9, as the number of F–T cycles increases, the stress–strain curves exhibit notable changes. Notably, both the maximum value, indicating the compressive strength, and the initial gradient, representing the elastic modulus, progressively decline. This shows that the concrete’s resistance to compression weakens, and its rigidity decreases with each additional F–T cycle. After 200 cycles of fatigue testing, the downward slope of the graph becomes more compact and steeper in comparison to specimens that have not undergone fatigue testing. Moreover, decreased areas under the curves suggest a decline in the energy absorption ability of the samples with an increase in the number of F–T cycles. As the number of F–T cycles increases, damage inside the concrete gradually accumulates, microcracks increase, and pores expand. The weakening of this concrete structure leads to a decrease in its compressive strength and initial stiffness.
Figure 10 shows the stress–strain behavior of SF10 concrete samples after undergoing 100 cycles of freezing and thawing at a strain rate of 10−5/s under different levels of confining pressure. As the pressure increases, the slope of the curve in the elastic phase steadily increases, making the compaction phase of the stress–strain curve more noticeable. Additionally, the energy absorption capacity of the specimens increases with higher confining pressure. The enhancement in concrete properties is due to the constraining impact of pressure on crack formation, leading to improved strength and overall characteristics.
The stress–strain response of SF10 concrete samples under varying strain rates is depicted in Figure 11, after being exposed to 100 F–T cycles and a confining pressure of 5 MPa. At a strain rate of 10−5/s that is nearly constant, the process of deformation can be categorized into four phases: compaction of pores (AB1), elasticity (B1C1), cracking that is not stable (C1D1), and then failure. The AB1 stage involves the closure of concrete pores during the initial loading stage, resulting in an upward concave shape. With an increase in strain rate, the beginning portion of the stress–strain graph tends to become more linear. At a strain rate of 10−2/s, the absence of the pore compaction stage is probably caused by the micropores not fully closing before transitioning to the elastic stage (AB2) during high strain rate loading. High strain rate loading causes the unstable cracking stage (B2C2) to result in faster crack growth, the formation of new cracks, and increased concrete deterioration. With an increase in stress, the gradient of the linear portion at the beginning of the curve also increases. Upon reaching peak stress, the specimen enters the failure stage.
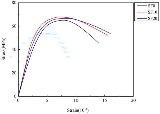
Figure 12 illustrates how changing the number of steel fibers in concrete samples affects their stress–strain characteristics. Adding steel fibers at concentrations of 1.0% and 2.0% significantly improves the mechanical properties of concrete, including peak stress, peak strain, and energy dissipation capacity. This demonstrates the positive influence of steel fibers on concrete performance. Interestingly, the specimen with 1.0% steel fiber content shows a more pronounced improvement in mechanical properties than the specimen with 2.0% steel fiber content. This counterintuitive result suggests an optimal steel fiber content for maximizing reinforcement effects. The reduced effectiveness at 2.0% fiber content is likely due to the challenges of excessive fiber addition, such as clumping and uneven dispersion, which create weak points in the concrete matrix. This phenomenon is supported by literature findings [37], indicating that an optimal balance of steel fiber content is crucial for achieving the best mechanical performance in SFRC.

3.4. Failure Mode

In Figure 13, surface damage increases with more F–T cycles, with more severe surface slag observed. Triaxial compression tests reveal subtle cracks in the absence of F–T cycles. After 50 cycles, loose mortar and detachment appear at the cracks. With more cycles, this damage worsens. After 200 cycles, the main crack widens significantly, with considerable loose mortar. Even with more F–T cycles, the angle between the crack surface and the horizontal plane stays constant, suggesting that the basic failure mode persists, but F–T cycles lead to larger and more visible cracks as internal damage accelerates.
Figure 14 exhibits how the strain rate does not affect the failure mode, consistent with Chen et al. [40]. At low strain rates, stress concentration at interfaces leads to microcrack propagation along weak interfaces. At higher strain rates, many coarse aggregates break, producing loud sounds as cracks propagate along the fastest energy release path, often cutting through aggregates. Higher strain rates result in more severe specimen failure, with more debris, rougher crack surfaces, and wider cracks, aligning with Wang et al. [36] and Xiao et al. [41].
The failure mechanisms of SFRC under 5 and 10 MPa confinement pressures exhibit comparable traits, in agreement with the findings of Farnam et al. [42]. Therefore, 5 MPa is used for detailed analysis. Figure 15 illustrates the different ways in which SF0, SF10, and SF20 samples failed when subjected to confining pressures of 0 and 5 MPa at a strain rate of 10−3/s. The application of lateral restraint pressure significantly alters the failure mode of SFRC. At pressures below 0 MPa, plain concrete (SF0) shows primary cracks aligned with the direction of force, resulting in vertical splitting failure, suggesting a brittle failure with smooth fracture surfaces (Figure 15a). In contrast, adding steel fibers changes the failure pattern. For SF10 and SF20, cracks are concentrated in the middle section, with no through cracks. The fracture surface displays the combined cement matrix linked by steel fibers, improving the overall strength. With 2.0% steel fibers (SF20), minimal spalling occurs in the middle part, and the concrete expands due to high fiber content. The robust bond ensures that small concrete pieces remain connected by a network of steel fibers, preventing disintegration into separate fragments. Steel fibers span gaps and offer extra protection against crack spreading, leading to a tougher failure pattern in which the concrete maintains its strength when subjected to high pressure.
As shown in Figure 15a,d, during triaxial compression, the confining pressure inhibits the formation of vertical cracks, leading to characteristic oblique shear failure, consistent with previous studies [43,44]. For plain concrete, the shear failure is a 45°–50° inclined crack, and the crack exhibits a significant width. SF10 and SF20 specimens maintain strong integrity, and diagonal shear crack width decreases due to steel fibers. Figure 16 depicts the ways in which SFRC samples fail when subjected to uniaxial and triaxial compression.
The failure mode of SFRC remains unchanged by the F–T cycles and strain rate, but significantly impacts the shape of cracks. Due to the action of the F–T cycle, new cracks are formed on the interface between mortar, aggregate, and steel fiber, and the number of micro-cracks and pores in SFRC increases. With an increase in the number of freeze–thaw cycles, SFRC samples indicate a worsening of slag deposition on the concrete surface, leading to a gradual widening of inclined cracks. Moreover, a higher strain rate causes the crack to be more likely to propagate further along the route with the greatest energy release rate. Thus, the SFRC samples exhibit the traits of widely scattered fractures and a rise in the amount of debris dropping off the exterior.
Having confining pressure and steel fiber or not can obviously change the failure mode of concrete. Without confining pressure during uniaxial compression failure, the specimen will undergo vertical splitting failure. When SFRC is under confining pressure of 5 MPa and 10 MPa, the failure modes are similar, vertical cracks can be effectively prevented due to the existence of steel fiber and lateral confining pressure, and the failure mode of specimens is a typical oblique shear failure. In contrast to concrete, the way of SFRC destruction has obviously changed. Steel fibers bond together to concentrate cracks in the center of the concrete, preventing any penetrating cracks and reducing crack width, resulting in damaged specimens that still exhibit strong integrity. Due to the high steel fiber content (2.0%), the middle of the concrete is less spalling, and the phenomenon of expansion occurs.

3.5. DIF

The formula was used to calculate the DIF in order to determine how the increase in strength is related to the strain rate.
DIF = f d f s = 1 + klg ε d ˙ ε s ˙
where f d is the ultimate compressive strength in dynamic loading, f s is the ultimate compressive strength in quasistatic loading, ε d ˙ is the current strain rate, ε s ˙ is the quasistatic strain rate ( ε s ˙ = 1 × 10−5/s), and k is a parameter.
Using the least square method, the test data was analyzed, and the outcomes can be found in Table 3. Figure 17 shows a linear correlation between strain rate and DIF. Importantly, the gradient of the fitted line diminishes with higher confining pressure. This result is consistent with earlier research [27]. However, it slightly diverges from the findings of Wang et al. [33], who observed a nonlinear growth relationship between the dynamic increase factor of concrete strength and the strain rate. The variation in these results may be due to different experimental conditions, particularly the saturation of the concrete samples. Before applying mechanical stress, the concrete specimens were fully soaked with water, potentially impacting the correlation between strain rate and DIF. The presence of water within the pores of the concrete can modify its mechanical behavior, especially under dynamic loading scenarios. Moreover, as the confining pressure on the concrete increases, its sensitivity to strain rate also heightens [36]. This suggests that concrete shows a greater reaction to changes in strain rate when subjected to increased confining pressures. Compared with that of plain concrete, the DIF growth rate of SFRC is slightly slower with increasing strain rate.

3.6. Microstructure Analysis

The macroscopic mechanical properties of concrete are significantly influenced by its microstructure. Evaluating the microstructure of deteriorated concrete provides critical insights that are applicable in various contexts. This study investigated the amount and shape of hydration products, cracks, and voids in the SFRC matrix, as well as the transition zone between the aggregate and matrix, and the transition zone between the steel fibers and matrix to comprehend the degradation mechanism of SFRC during freeze–thaw cycles.
The impacts of freeze–thaw cycles on various concrete specimens are demonstrated in Figure 18. Initially, as shown in Figure 18a, the SF0 sample, which had not undergone any F–T cycles, exhibited a dense and intact surface with no visible cracks, indicating a well-preserved microstructure in the absence of F–T stress. However, as depicted in Figure 18b, significant damage was observed. The concrete surface became rougher, and numerous microcracks and pores appeared, demonstrating the detrimental impact of repeated F–T cycles on the microstructure, leading to compromised integrity. Similarly, Figure 18c,d illustrates that the SF10 sample, which contained steel fibers, showed a comparable trend. Initially, the SF10 sample’s microstructure was dense and robust. Yet, after 200 F–T cycles, signs of degradation were evident, with microcracks and pores becoming more pronounced. Overall, the findings highlight how repeated F–T cycles adversely affect the microstructure of concrete, resulting in surface damage and a subsequent decrease in compressive strength.
Figure 19 offers a comprehensive depiction of the internal composition of the SFRC matrix. Plain concrete contains a large amount of calcium hydroxide (C-H), with lesser amounts of hydrated calcium silicate (C-S-H) and ettringite (AFT). This results in a matrix that is characterized by numerous microcracks and voids, leading to a loose and porous structure, as depicted in Figure 19a. In stark contrast, the SF10 matrix demonstrates a markedly different microstructure. It contains relatively larger amounts of AFT and C-S-H, with only a minimal presence of C-H, which is predominantly distributed around the AFT phases, as shown in Figure 19b. This configuration results in a more compact and dense structure. Adding steel fibers to the concrete mix is essential for increasing its density and enhancing the overall structure of the concrete. Bridging serves to evenly distribute stress within the matrix and halt crack propagation, ultimately improving the strength and deformation characteristics of concrete.
As shown in Figure 20, this ITZ is characterized by the presence of cracks, voids, and a significant number of hexagonal plate-like C-H structures. Additionally, there is a loosely packed AFT phase. These features contribute to a relatively weak and porous ITZ, which can adversely affect the overall durability and strength of the concrete. In contrast, when SFRC is used, the scenario changes markedly. There is a notable decrease in the width of the cracks within the ITZ. Moreover, the inclusion of steel fibers has a notable impact on the composition and orientation of the C-H structures. The amount of C-H is decreased, and its orientation is altered, leading to an improved microstructure at the aggregate-matrix interface. This enhancement is distinguished by the existence of honeycomb-shaped C-S-H and needle-shaped AFT phases, which efficiently occupy the fissures and empty spaces in the ITZ. These phases contribute to a denser and more uniform concrete microstructure. The filling process decreases the porosity and potential routes for cracks to spread, while also enhancing the overall connection between the aggregate and the cement paste.
As shown in Figure 21, it is clear from the observation that there is a visible disparity in elevation between the steel fiber and the matrix, indicating a level of adhesion. This phenomenon can be attributed to the concrete mixing process, where the surface roughness of the steel fibers increases due to collisions with the aggregate. These collisions cause surface damage to the steel fibers, consequently improving the friction and bonding characteristics between the steel fibers and the mortar. However, the incorporation of steel fibers into the concrete matrix also introduces several initial microcracks and holes, leading to a looser overall structure. Additionally, the micromorphology analysis reveals the presence of substantial C-H gels on the surface of the AFT phase, as shown in Figure 21b. These C-H gels impede the continuous growth of the AFT phase, which can have a detrimental effect on the interface performance of the cement-based concrete. The obstruction from the C-H gels leads to a less united surface, potentially harming the strength and longevity of the concrete.

3.7. Mechanism Analysis

Adding steel fibers to the concrete mix greatly enhances water retention while the concrete is setting. This improved water retention leads to a more complete hydration reaction, resulting in denser and more uniform hydration products. The C-H content decreased, and the orientation shifted, whereas the honeycomb C-S-H and acicular AFT content increased. Consequently, the bond between the mortar and aggregate is strengthened, which reduces the crack width between the aggregate and the matrix and enhances the overall microstructure of the concrete. These microstructural improvements translate to enhanced macromechanical properties and increased durability of the concrete.
In the process of crack propagation caused by external loads, the steel fiber is first unbonded to the matrix. As the load continues to increase, the steel fiber is slowly elongated until it is removed from the matrix, as depicted in Figure 22a. Bent steel fibers improve the concrete’s stability by providing anchorage and a binding force when cracks propagate under external loads. Steel fibers act similarly to rebar, exerting a binding force on the concrete and preventing further crack expansion by withstanding internal tensile stress. This binding action slows the formation and expansion of macroscopic cracks, allowing the concrete to endure higher loads and greater deformation. As a result, the concrete demonstrates improved load resistance and an extended service life, even under significant mechanical stress.
During the F–T process of concrete, the volume changes of water within its voids—expanding when freezing and contracting when melting—subject the surrounding concrete to pressure from ice crystal formation and tension from water melting. This cyclic stress leads to the formation and continuous expansion of micro-cracks in the concrete. As shown in Figure 22b, the interlaced, network-like structure formed by curved steel fibers provides an interlocking effect, which absorbs energy and prevents the expansion of cracks. this interlocking effect significantly reduces F–T damage and improves the overall durability of the concrete, making it more resilient to harsh environmental conditions. If the micro-crack reaches one end of the steel fiber, it will be stopped by the strength and rigidity of the fiber, as depicted in Figure 22c. Steel fibers act as a bridging mechanism within the concrete matrix, blocking and mitigating the propagation of micro-cracks induced by F–T cycles.

4. Conclusions

(1) The triaxial compressive strength and energy absorption capacity of concrete specimens significantly decrease with increasing F–T cycles. Despite the deterioration in mechanical properties, the general failure mode remains unchanged. Internal damage and deterioration progressively worsen with more F–T cycles.
(2) SFRC experiences a two-stage damage process during F–T cycles. From initial soaking to 50 F–T cycles, compressive strength decreases gradually, and peak strain increases. From 50 to 200 F–T cycles, mechanical properties change rapidly, with significant decreases in compressive strength and notable increases in peak strain. Severe damage, including mortar spalling and crack propagation, intensifies after 50 cycles.
(3) Incorporating steel fibers significantly improves the dynamic mechanical properties of concrete during F–T cycles, notably enhancing triaxial compressive strength, peak strain, and energy absorption capacity. SEM analysis reveals that steel fibers strengthen the ITZ between aggregates and mortar, resulting in macroscopic performance that aligns with microstructural improvements. However, an excessive steel fiber content (e.g., 2.0%) can cause fiber agglomeration, which reduces concrete strength and adversely affects its dynamic properties.
(4) At lower strain rates, cracks propagate along paths of least resistance within the concrete, such as material boundaries. At higher strain rates, the failure plane changes, and cracks propagate rapidly through the aggregates, increasing compressive strength and DIF. Peak strain decreases slowly with increasing strain rate.
(5) In triaxial compression tests, confining pressure strongly influences the failure mode of SFRC specimens. Without confining pressure, SFRC develops cracks aligned with the load direction, primarily in the specimen’s center. Under confining pressure, the failure mechanism shifts to shear failure, enhancing concrete’s strength, maximum strain, and energy absorption capacity.
Future research will concentrate on the size effect of the dynamic mechanical properties of SFRC after F–T cycles and how factors such as the size, shape, and performance of steel fibers influence these properties. This will aid in better analyzing the long-term durability and performance of hydraulic structures exposed to prolonged F–T conditions.

Author Contributions

Conceptualization, R.W.; Data curation, R.J. and J.H.; Formal analysis, N.T. and G.L.; Investigation, N.T.; Methodology, J.L.; Resources, Y.J.; Supervision, H.Z.; Validation, R.W., N.T. and Y.L. (Yan Li); Writing—original draft, N.T.; Writing—review and editing, Y.L. (Yanxiong Liu). All authors have read and agreed to the published version of the manuscript.

Funding

National Natural Science Foundation of China General Project: Study on Dynamic Characteristics and Damage Model of Acidic Aggregate Hydraulic Asphalt Concrete under Water Damage (52379133).

Data Availability Statement

The original contributions presented in the study are included in thearticle, further inquiries can be directed to the corresponding author.

Conflicts of Interest

Authors Jun Liu, Ruibao Jin and Jing Hu were employed by the company Henan Jiaotou Jiaozheng Expressway Co., Ltd. Authors Hekuan Zhou, Yaofei Jia and Yanxiong Liu were employed by the company Henan Province Highway Engineering Bureau Group Co., Ltd. The remaining authors declare that the research was conducted in the absence of any commercial or financial relationships that could be construed as a potential conflict of interest.

References

  1. Jin, L.; Zhang, R.B.; Tian, Y.D.; Dou, G.Q.; Du, X.L. Experimental investigation on static and dynamic mechanical properties of steel fiber reinforced ultra-high-strength concretes. Constr. Build. Mater. 2018, 178, 102–111. [Google Scholar] [CrossRef]
  2. Chen, M.; Chen, W.; Zhong, H.; Chi, D.; Wang, Y.H.; Zhang, M.Z. Experimental study on dynamic compressive behaviour of recycled tyre polymer fibre reinforced concrete. Cem. Concr. Compos. 2019, 98, 95–112. [Google Scholar] [CrossRef]
  3. Hao, Y.; Hao, H.; Chen, G. Experimental investigation of the behaviour of spiral steel fibre reinforced concrete beams subjected to drop-weight impact loads. Mater. Struct. 2016, 49, 353–370. [Google Scholar] [CrossRef]
  4. Dan Zeng, D.Z.; Tian, J.W.; Fan, T.; Li, Y.H.; Bai Ma, D.J. Research on the Application of High-Performance Fiber Concrete in Wind Power Foundation Engineering at Ultra-High Altitudes. Sci. Technol. Innov. Appl. 2024, 14, 1–4. [Google Scholar]
  5. Qi, B.L. Research on the Application of Steel Fiber Concrete Construction Technology in Underground Garage Flooring. Chongqing Archit. 2024, 23, 79–81. [Google Scholar]
  6. Yao, X.P.; Liu, Z.Q.; Ruan, S.K.; Zhang, Y.H.; Li, Z. Research on Steel Fiber Concrete (C60) for Full-Section Concrete Pavement Construction. Build. Saf. 2023, 38, 96–100. [Google Scholar]
  7. Zhang, Y.F.; Cheng, L. Research on the Application of Steel Fiber Concrete in Bridge Engineering. Aging Appl. Synth. Mater. 2022, 51, 150–152. [Google Scholar]
  8. Abbass, W.; Khan, M.I.; Mourad, S. Evaluation of mechanical properties of steel fiber reinforced concrete with different strengths of concrete. Constr. Build. Mater. 2018, 168, 556–569. [Google Scholar] [CrossRef]
  9. Rao, N.S.; Rao, P.R.M.; Jagadeesh, P. Experimental evaluation of strength properties of steel fibre reinforced concrete. AJCE 2016, 17, 487–494. [Google Scholar]
  10. Zhang, W.M.; Chen, S.H.; Liu, Y.Z. Effect of weight and drop height of hammer on the flexural impact performance of fiber-reinforced concrete. Constr. Build. Mater. 2017, 140, 31–35. [Google Scholar] [CrossRef]
  11. Moradi, M.; Bagherieh, A.R.; Esfahani, M.R. Constitutive modeling of steel fiber-reinforced concrete. Int. J. Damage Mech. 2020, 29, 388–412. [Google Scholar] [CrossRef]
  12. Almusallam, T.; Abbas, H.; Hodali, O.; Siddiqui, N.; Al-Salloum, Y. Behavior of prestressed fiber-reinforced steel-lined concrete slabs under projectile impact. Arch. Civ. Mech. Eng. 2023, 23, 64. [Google Scholar] [CrossRef]
  13. Yoo, D.Y.; Yoon, Y.S.; Banthia, N. Flexural response of steel-fiber-reinforced concrete beams: Effects of strength, fiber content, and strain-rate. Cem. Concr. Compos. 2015, 64, 84–92. [Google Scholar] [CrossRef]
  14. Sun, X.W.; Zhao, K.; Li, Y.C.; Huang, R.Y.; Ye, Z.B.; Zhang, Y.L.; Ma, J. A study of strain-rate effect and fiber reinforcement effect on dynamic behavior of steel fiber-reinforced concrete. Constr. Build. Mater. 2018, 158, 657–669. [Google Scholar] [CrossRef]
  15. Ren, G.M.; Wu, H.; Fang, Q.; Liu, J.Z. Effects of steel fiber content and type on dynamic compressive mechanical properties of UHPCC. Constr. Build. Mater. 2018, 164, 29–43. [Google Scholar] [CrossRef]
  16. Wu, H.; Ren, G.M.; Fang, Q.; Liu, J.Z. Effects of steel fiber content and type on dynamic tensile mechanical properties of UHPCC. Constr. Build. Mater. 2018, 173, 251–261. [Google Scholar] [CrossRef]
  17. Bankir, S.; Bikce, M. Experimental investigation and statistical evaluation of the effects of steel fiber aspect ratio and fiber rate on static and dynamic mechanical properties of concrete. Constr. Build. Mater. 2024, 414, 35064. [Google Scholar] [CrossRef]
  18. Wang, J.B.; Niu, D.T. Influence of freeze-thaw cycles and sulfate corrosion resistance on shotcrete with and without steel fiber. Constr. Build. Mater. 2016, 122, 628–636. [Google Scholar] [CrossRef]
  19. Zhao, Y.R.; Wang, L.; Lei, Z.K.; Han, X.F.; Xing, Y.M. Experimental study on dynamic mechanical properties of the basalt fiber reinforced concrete after the freeze-thaw based on the digital image correlation method. Constr. Build. Mater. 2017, 147, 194–202. [Google Scholar] [CrossRef]
  20. Xia, D.T.; Li, T.Y.; Li, X.Y.; Xu, L.; Ren, K.N. Experimental study on freeze-thaw damage of steel polypropylene hybrid fiber reinforced concrete. Concrete 2024, 03, 136–139. [Google Scholar]
  21. Chakdel, A.R.R.; Mirhosseini, S.M.; Joshagani, A.H.; Aliha, M.R.M. The effect of acid environment and thawing and freezing cycles on the mechanical behavior of fiber-reinforced concrete. Struct. Eng. Mech. 2024, 90, 481–492. [Google Scholar]
  22. Jiang, C.H.; Zhou, T.G.; Wang, L.Q.; Zhang, K.J.; Huang, J.; Zhu, Y.L. Study on Size Effect of Compressive Strength of Steel Fiber Reinforced Ultra High Performance Concrete. Concr. Cem. Prod. 2020, 08, 43–47. [Google Scholar]
  23. Su, J.; Qin, H.J.; Shi, C.J.; Fang, Z. Experimental study on size effect of flexural strength of steel fiber reinforced recycled concrete. J. Hunan Univ. Nat. Sci. Ed. 2021, 48, 160–167. [Google Scholar]
  24. Yuan, H.Y.; Shi, W.G.; Wang, H.; Lei, Y.; Zhang, J.H. Study on the mechanical properties and size effects of steel polyacrylonitrile fiber reinforced concrete. In Proceedings of the 2024 World Transport Conference, Qingdao, China, 26–29 June 2024. [Google Scholar]
  25. Setti, F.; Ezziane, K.; Setti, B. Investigation of mechanical characteristics and specimen size effect of steel fibers reinforced concrete. J. Adhes. Sci. Technol. 2020, 34, 1426–1441. [Google Scholar] [CrossRef]
  26. Wu, H.M.; Li, M.; Wang, Y.J. Research and Engineering Practice on Crack Resistance Control Index of Ordinary Portland P.O. 42.5. Cement. Concr. 2023, 12, 89–92. [Google Scholar]
  27. Zhang, H.P.; Wang, F.J. Durability test research on C50 concrete prepared with 42.5 grade cement. China Equip. Eng. 2021, 1, 26–27. [Google Scholar]
  28. Wang, J.L.; Ma, S.M.; Shen, Y.F.; Gao, J. The influence of steel fiber shape and dosage on the mechanical properties of ultra-high performance concrete. New Build. Mater. 2024, 51, 58–62. [Google Scholar]
  29. Chen, W.D. Study on the frost resistance, thaw resistance, and erosion resistance of modified concrete optimized by fiber ratio. Adhesive 2024, 51, 88–91. [Google Scholar]
  30. Yao, Y.M.; Zhang, J.W.; Sun, Y.F.; Liang, S.Q.; Li, B.S.; Wang, J.Q.; Lu, C. Experimental Study on Mechanical Properties of 3D Printed Steel Fiber Reinforced UHPC. J. Build. Struct. 2024, 45, 29–40. [Google Scholar]
  31. Liu, Y.; Li, P.F.; Chen, Z.Y.; Zhao, C.D.; Zhu, Y.S. The Effect of Vibration Mixing on the Performance of Composite Cementitious Concrete. Concr. Cem. Prod. 2024, 08, 16–21. [Google Scholar]
  32. CECS 13-2009; Standard of China Engineering Construction Association. Standard Test Methods for Fiber Reinforced Concrete, CECS: Beijing, China, 2010. (In Chinese)
  33. Wang, Z.; Zhou, X.G.; Lu, Y.; Zhang, Y.B. Conventional triaxial test study on prismatic and cylindrical concrete. Concrete 2023, 12, 49–57. [Google Scholar]
  34. Lu, J.Z.; Zhu, K.F.; Tian, L.Z.; Guo, L. Dynamic compressive strength of concrete damaged by fatigue loading and freeze-thaw cycling. Constr. Build. Mater. 2017, 152, 847–855. [Google Scholar] [CrossRef]
  35. Wang, Q.F.; Liu, Y.H.; Peng, G. Effect of water pressure on mechanical behavior of concrete under dynamic compression state. Constr. Build. Mater. 2016, 125, 501–509. [Google Scholar] [CrossRef]
  36. Wang, H.; Wang, L.C.; Song, Y.P.; Wang, J.Z. Influence of free water on dynamic behavior of dam concrete under biaxial compression. Constr. Build. Mater. 2016, 112, 222–231. [Google Scholar] [CrossRef]
  37. Emmanuel, E.A.; Messaoud, S.; Adegoke, O.O.; Mark, T. Effect of mix design methods on the mechanical properties of steel fibre-reinforced concrete prepared with recycled aggregates from precast waste. Structures 2020, 27, 664–672. [Google Scholar]
  38. Fu, Q.; Xu, W.R.; Li, D.; Li, N.; Niu, D.T.; Zhang, L.; Guo, B.B.; Zhang, Y.L. Dynamic compressive behaviour of hybrid basalt-polypropylene fibre-reinforced concrete under confining pressure: Experimental characterisation and strength criterion. Cem. Concr. Compos. 2021, 118, 103954. [Google Scholar] [CrossRef]
  39. Zhang, H.M.; Meng, X.Z.; Yang, G.S. A study on mechanical properties and damage model of rock subjected to freeze-thaw cycles and confining pressure. Cold Reg. Sci. Technol. 2020, 174, 103056. [Google Scholar] [CrossRef]
  40. Chen, Z.; Hu, Y.; Li, Q.B.; Sun, M.Y.; Lu, P.Y.; Liu, T.Y. Behavior of concrete in water subjected to dynamic triaxial compression. J. Eng. Mech. 2010, 136, 379–389. [Google Scholar] [CrossRef]
  41. Xiao, J.Z.; Li, L.; Shen, L.M.; Yuan, J.Q. Effects of strain rate on mechanical behavior of modeled recycled aggregate concrete under uniaxial compression. Constr. Build. Mater. 2015, 93, 214–222. [Google Scholar] [CrossRef]
  42. Farnam, Y.; Moosavi, M.; Shekarchi, M.; Babanajad, S.K.; Bagherzadeh, A. Behaviour of slurry infiltrated fiber concrete (SIFCON) under triaxial compression. Cem. Concr. Res. 2010, 40, 1571–1581. [Google Scholar] [CrossRef]
  43. Chen, Y.L.; Chen, Z.P.; Xu, J.J.; Liu, E.M.; Wu, B. Performance evaluation of recycled aggregate concrete under multiaxial compression. Constr. Build. Mater. 2019, 229, 116935. [Google Scholar] [CrossRef]
  44. Wang, L.P.; Li, N.; Qi, J.L.; Tian, Y.Z.; Xu, S.H. A study on the physical index change and triaxial compression test of intact hard rock subjected to freeze-thaw cycles. Cold Reg. Sci. Technol. 2019, 160, 39–47. [Google Scholar]
Figure 1. Steel fiber.
Figure 1. Steel fiber.
Buildings 14 02880 g001
Figure 2. Mix procedures.
Figure 2. Mix procedures.
Buildings 14 02880 g002
Figure 3. Instrument: (a) Triaxial testing machine; (b) Device structure.
Figure 3. Instrument: (a) Triaxial testing machine; (b) Device structure.
Buildings 14 02880 g003
Figure 4. Schematic of sampling.
Figure 4. Schematic of sampling.
Buildings 14 02880 g004
Figure 5. Correlation of F–T cycle durations with compressive strength: (a) Performance of SF0; (b) Performance of SF10; (c) Performance of SF20.
Figure 5. Correlation of F–T cycle durations with compressive strength: (a) Performance of SF0; (b) Performance of SF10; (c) Performance of SF20.
Buildings 14 02880 g005
Figure 6. Relationship between triaxial compressive strength of SFRC and strain rate.
Figure 6. Relationship between triaxial compressive strength of SFRC and strain rate.
Buildings 14 02880 g006
Figure 7. Correlation of F–T cycle durations with maximum strain: (a) Performance of SF0; (b) Performance of SF10; (c) Performance of SF20.
Figure 7. Correlation of F–T cycle durations with maximum strain: (a) Performance of SF0; (b) Performance of SF10; (c) Performance of SF20.
Buildings 14 02880 g007
Figure 8. Relationship between confining pressure and peak strain: (a) Performance of SF0; (b) Performance of SF10; (c) Performance of SF20.
Figure 8. Relationship between confining pressure and peak strain: (a) Performance of SF0; (b) Performance of SF10; (c) Performance of SF20.
Buildings 14 02880 g008
Figure 9. Stress–strain diagrams during various F–T cycles.
Figure 9. Stress–strain diagrams during various F–T cycles.
Buildings 14 02880 g009
Figure 10. Variations in stress–strain relationships at various levels of confinement pressure.
Figure 10. Variations in stress–strain relationships at various levels of confinement pressure.
Buildings 14 02880 g010
Figure 11. Stress–strain curves at different strain rates.
Figure 11. Stress–strain curves at different strain rates.
Buildings 14 02880 g011
Figure 12. Variations in steel fiber content result in different stress–strain curves.
Figure 12. Variations in steel fiber content result in different stress–strain curves.
Buildings 14 02880 g012
Figure 13. Various failure modes during different frequency–temperature cycle durations: (a) Failure mode after 0 F–T cycles; (b) Failure mode after 50 F–T cycles; (c) Failure mode after 100 F–T cycles; (d) Failure mode after 150 F–T cycles; (e) Failure mode after 200 F–T cycles.
Figure 13. Various failure modes during different frequency–temperature cycle durations: (a) Failure mode after 0 F–T cycles; (b) Failure mode after 50 F–T cycles; (c) Failure mode after 100 F–T cycles; (d) Failure mode after 150 F–T cycles; (e) Failure mode after 200 F–T cycles.
Buildings 14 02880 g013
Figure 14. Failure modes at different strain rates: (a) Failure mode with strain rate of 10−5/s; (b) Failure mode with strain rate of 10−4/s; (c) Failure mode with strain rate of 10−3/s; (d) Failure mode with strain rate of 10−2/s.
Figure 14. Failure modes at different strain rates: (a) Failure mode with strain rate of 10−5/s; (b) Failure mode with strain rate of 10−4/s; (c) Failure mode with strain rate of 10−3/s; (d) Failure mode with strain rate of 10−2/s.
Buildings 14 02880 g014
Figure 15. Failure modes under different confining pressures: (a) Failure mode under 0 MPa confinement of SF0; (b) Failure mode under 0 MPa confinement of SF10; (c) Failure mode under 0 MPa confinement of SF20; (d) Failure mode under 5 MPa confinement of SF0; (e) Failure mode under 5 MPa confinement of SF10; (f) Failure mode under 5 MPa confinement of SF20.
Figure 15. Failure modes under different confining pressures: (a) Failure mode under 0 MPa confinement of SF0; (b) Failure mode under 0 MPa confinement of SF10; (c) Failure mode under 0 MPa confinement of SF20; (d) Failure mode under 5 MPa confinement of SF0; (e) Failure mode under 5 MPa confinement of SF10; (f) Failure mode under 5 MPa confinement of SF20.
Buildings 14 02880 g015
Figure 16. Illustration showing various stress conditions including: (a) uniaxial compression; (b) triaxial compression.
Figure 16. Illustration showing various stress conditions including: (a) uniaxial compression; (b) triaxial compression.
Buildings 14 02880 g016
Figure 17. The correlation of DIF with strain rate: (a) Performance of SF0; (b) Performance of SF10; (c) Performance of SF20.
Figure 17. The correlation of DIF with strain rate: (a) Performance of SF0; (b) Performance of SF10; (c) Performance of SF20.
Buildings 14 02880 g017
Figure 18. SEM images of samples subjected to varying numbers of F–T cycles: (a) SF0 with 0 F–T cycles, (b) SF0 with 200 F–T cycles, (c) SF10 with 0 F–T cycles, and (d) SF10 with 200 F–T cycles.
Figure 18. SEM images of samples subjected to varying numbers of F–T cycles: (a) SF0 with 0 F–T cycles, (b) SF0 with 200 F–T cycles, (c) SF10 with 0 F–T cycles, and (d) SF10 with 200 F–T cycles.
Buildings 14 02880 g018
Figure 19. Internal composition: (a) Internal composition of SF0; (b) Internal composition of SF10.
Figure 19. Internal composition: (a) Internal composition of SF0; (b) Internal composition of SF10.
Buildings 14 02880 g019
Figure 20. ITZ of aggregate and matrix: (a) ITZ of SF0 aggregate and matrix; (b) ITZ of SF10 aggregate and matrix.
Figure 20. ITZ of aggregate and matrix: (a) ITZ of SF0 aggregate and matrix; (b) ITZ of SF10 aggregate and matrix.
Buildings 14 02880 g020
Figure 21. Investigation of the microstructure at the interface zone between steel fibers and the matrix: (a) Microstructure of the fiber-matrix interface; (b) Microstructure of the C-H.
Figure 21. Investigation of the microstructure at the interface zone between steel fibers and the matrix: (a) Microstructure of the fiber-matrix interface; (b) Microstructure of the C-H.
Buildings 14 02880 g021
Figure 22. Mechanism analysis diagram: (a) The restraining effect of steel fibers; (b) The interlocking effect f steel fibers; (c) The bridging effect of steel fibers.
Figure 22. Mechanism analysis diagram: (a) The restraining effect of steel fibers; (b) The interlocking effect f steel fibers; (c) The bridging effect of steel fibers.
Buildings 14 02880 g022
Table 1. Characteristics of aggregates.
Table 1. Characteristics of aggregates.
PropertiesNatural SandCoarse Aggregate
Water absorption (%)0.790.76
Loose bulk density (kg/m3)16781430
Apparent density (kg/m3)25972658
Table 2. Attributes of steel fiber.
Table 2. Attributes of steel fiber.
Length (mm)Diameter (mm)Aspect Ratio (l/d)Elastic Modulus (GPa)Tensile Strength (MPa)Density (kg/m3)
300.56020011957.85
Table 3. Fitting parameters of the linear logarithmic relation.
Table 3. Fitting parameters of the linear logarithmic relation.
Specimens IDConfining Pressure (MPa)kR2
SF000.09810.9813
50.04300.9942
100.03690.9912
SF1000.09380.9604
50.04060.9780
100.03310.9868
SF2000.08740.9813
50.04330.9944
100.02960.9795
Disclaimer/Publisher’s Note: The statements, opinions and data contained in all publications are solely those of the individual author(s) and contributor(s) and not of MDPI and/or the editor(s). MDPI and/or the editor(s) disclaim responsibility for any injury to people or property resulting from any ideas, methods, instructions or products referred to in the content.

Share and Cite

MDPI and ACS Style

Wang, R.; Tian, N.; Liu, J.; Jin, R.; Liang, G.; Li, Y.; Hu, J.; Zhou, H.; Jia, Y.; Liu, Y. Evaluation of Dynamic Mechanical Properties of Steel-Fiber-Reinforced Concrete Subjected to Freeze–Thaw Cycles. Buildings 2024, 14, 2880. https://doi.org/10.3390/buildings14092880

AMA Style

Wang R, Tian N, Liu J, Jin R, Liang G, Li Y, Hu J, Zhou H, Jia Y, Liu Y. Evaluation of Dynamic Mechanical Properties of Steel-Fiber-Reinforced Concrete Subjected to Freeze–Thaw Cycles. Buildings. 2024; 14(9):2880. https://doi.org/10.3390/buildings14092880

Chicago/Turabian Style

Wang, Ruijun, Nan Tian, Jun Liu, Ruibao Jin, Gang Liang, Yan Li, Jing Hu, Hekuan Zhou, Yaofei Jia, and Yanxiong Liu. 2024. "Evaluation of Dynamic Mechanical Properties of Steel-Fiber-Reinforced Concrete Subjected to Freeze–Thaw Cycles" Buildings 14, no. 9: 2880. https://doi.org/10.3390/buildings14092880

APA Style

Wang, R., Tian, N., Liu, J., Jin, R., Liang, G., Li, Y., Hu, J., Zhou, H., Jia, Y., & Liu, Y. (2024). Evaluation of Dynamic Mechanical Properties of Steel-Fiber-Reinforced Concrete Subjected to Freeze–Thaw Cycles. Buildings, 14(9), 2880. https://doi.org/10.3390/buildings14092880

Note that from the first issue of 2016, this journal uses article numbers instead of page numbers. See further details here.

Article Metrics

Back to TopTop