You are currently viewing a new version of our website. To view the old version click .
Buildings
  • Article
  • Open Access

23 February 2024

Experimental Study on MgO-Na2CO3 Combined Excitation Recycled Fine-Powder-Slag Cementitious System and Modification

,
,
,
,
and
1
School of Architecture and Civil Engineering, Shenyang University of Technology, Shenyang 110870, China
2
School of Resources and Civil Engineering, Northeastern University, Shenyang 110819, China
3
Science and Technology Innovation Center of Smart Water and Resource Environment, Northeastern University, Shenyang 110819, China
*
Author to whom correspondence should be addressed.
This article belongs to the Section Building Materials, and Repair & Renovation

Abstract

The hydration mechanism and strength development of alkaline salt-activated cementitious materials primarily rely on the alkaline activators and mineral admixtures employed. However, the impact of increased Mg2+, Al3+, and Si4+ resulting from the addition of MgO and steel slag (SS) on the hydration mechanism of these systems remains undetermined. This study delves into the hydration mechanism and mechanical properties of a Na2CO3-MgO-activated regenerated micropowder-slag-based cementitious material system. Mechanical properties were assessed by measuring dry shrinkage and compressive strength at various ages, up to 28 days. The reaction mechanism was scrutinized using X-ray diffraction and a thermogravimetric analysis. The main reaction products contributing to the strength development are C-S-H, C-(A)-S-H gel, and hydrotalcite. Other carbonate-containing phases make smaller contributions. The findings reveal that when SS usage is at 10%, it yields higher early strength compared to ordinary samples. Samples incorporating MgO and SS achieved strengths similar to or surpassing those of the control samples. A noteworthy observation is the synergistic excitation effect between sodium carbonate (NC) and MgO, leading to the generation of a significant amount of gelling substances. These substances fill the pores of the structure, resulting in the formation of a dense microstructure. Consequently, the enhanced interaction between NC and MgO contributes to the overall strength development of the cementitious material.

1. Introduction

Carbon dioxide (CO2) emissions from Portland cement (PC) production contribute 5–10% to global anthropogenic emissions [1,2,3]. Alkali-activated cementitious materials (AAC), recognized since the 1960s, are among the green concrete candidates [4,5]. These gelling materials form by dissolving aluminosilicate precursors from natural or industrial waste in an alkaline environment, solidifying and hardening when mixed with alkaline activators, resulting in aluminosilicates with robust mechanical properties. Recent statistics [5,6] indicate that AAC use in concrete can cut CO2 emissions by 55–75% compared to PC. Incorporating industrial solid waste into cement production mitigates the environmental impact. Firstly, it obviates the need for mining virgin materials. Secondly, it reduces land demand for waste landfill and saves energy. Consequently, these materials enhance cement sustainability and address supply shortages due to increased construction demand [2,7].
Granulated blast furnace slag (GGBS), a prevalent industrial solid waste, is widely utilized in AAC production [8]. Generated as a by-product in the iron-making process, the global annual production of GGBS ranges between 270 million and 320 million tons. Comparatively, the production of 1 ton of Portland cement (PC) demands 5000 MJ of energy and results in the emission of 1 ton of carbon dioxide. In contrast, manufacturing 1 ton of GGBS consumes only 1300 MJ of energy, emitting a mere 0.07 tons of carbon dioxide into the atmosphere [9,10,11].
Recycled fine powder (RFP) is produced during the production process of recycled aggregate [12]. RFP is mainly composed of fine particles and is called inert waste, which is usually disposed of in landfill. Its main inorganic components are SiO2, CaO, Al2O3, and FeO, of which the SiO2 content is relatively high, ranging from 45% to 55% [13]. The application of RFP as a new cementitious material can provide solutions for green cement production. Construction waste, the source of RFP, contains quartz, calcium hydroxide, calcite, and hydrated calcium silicate gel. However, the hydrated gelling material in RFP has low activity and can only play a filling role [14].
China, undergoing rapid economic development and urbanization, now stands as the world’s largest producer and consumer of steel [15]. Its crude steel production represents approximately 50% of global output. Steel slag (SS), a non-metallic by-product of steel production, poses environmental challenges due to its discharge and storage, with only a 30% effective utilization rate in the country. However, viewing scrap steel slag as a valuable resource reveals substantial economic, technological, and ecological potential through proper recovery, reuse, and treatment [16]. Research indicates that utilizing scrap steel slag as a mineral admixture in concrete has significant benefits. Its micro-filling and micro-aggregate effects enhance concrete collapse, prolong the setting time, and improve the microstructure. Employing scrap steel slag as a cement substitute in AAC proves to be an environmentally friendly and practical technology [17]. This approach not only reduces scrap steel slag storage and the potential environmental impacts but also lowers the procurement cost of traditional raw materials [18].
The properties of cementitious materials are significantly influenced by the raw materials, activator type and dosage, precursor Ca/Si ratio, and curing conditions. Commonly used activators for alkali-activated cementitious materials include NaOH, water glass, and their combination [19]. However, these initiators, being expensive, quick-shrinking, hardening rapidly, corrosive, and major greenhouse gas emitters during AAC production, impede widespread practical applications of AAC [20]. To address these drawbacks, alkaline salt activators, such as sodium carbonate (Na2CO3), emerge as valuable alternatives. Na2CO3, proposed in this article as an environmentally friendly AAC activator, can be extracted from natural minerals or obtained from ferric chloride and sodium carbonate-rich brine [21]. Additionally, it can be manufactured through processes like the Solvay process. Global sodium carbonate reserves surpass 24 billion tons, and its cost is roughly half that of NaOH or sodium silicate. In comparison to traditional alkali initiators, Na2CO3 is not only cost-effective but also safer to handle, exhibits lower drying shrinkage, and has a reduced carbon footprint. The use of Na2CO3 as an activator thus contributes to the development of more sustainable AAC [22].
Active MgO finds extensive use in ordinary Portland concrete, particularly hydraulic concrete [23]. In this context, MgO reacts with water to produce Mg(OH)2 gel, experiencing a volume expansion of approximately 118%. This expansion effectively counteracts the shrinkage resulting from cement hydration [4]. Leveraging its success in conventional cement applications, activated MgO is also employed to mitigate the drying shrinkage of AAC cement. In a study by Chen [24], the impact of active MgO on the properties of water glass-activated slag (Ms = 1.42) was examined. The findings revealed that the addition of MgO decreased the drying shrinkage of AAC mortar and the chemical shrinkage of AAC paste, albeit at the expense of a shortened setting time for the AAC paste. The researchers prepared AAC paste incorporating active MgO and cured it in water, observing that the paste not only refrained from shrinking but expanded, causing damage to the paste [25].
The aforementioned research primarily expedited the hydration of sodium carbonate-induced cementitious materials through the addition of various accelerators. It also compared the impact of active MgO on strength development and the microstructure. Limited studies have addressed the influence of steel slag inclusion in alkali-activated cementitious material systems [22]. Furthermore, there is a scarcity of research on the synergistic effects of MgO in sodium carbonate excitation systems. The incorporation of MgO and SS not only accelerates the reaction process but also enhances workability and boosts early strength [24,26].
Addressing the gap in the literature, this paper thoroughly examines the combined application of MgO and SS to enhance the workability and mechanical properties of Na2CO3-excited regenerated micropowder-slag-based systems. It delves into the impact of MgO and steel slag on the hydration kinetics and microstructure of the slurry. Mechanical properties of sodium carbonate-MgO-activated regenerated micropowder-slag-based cementitious material samples are scrutinized through compressive strength and dry shrinkage tests at different ages. The micromorphology of hydration products is explored via a thermogravimetric analysis (TG-DTG) and scanning electron microscopy (SEM-EDS).

2. Experimental Materials and Methods

2.1. Raw Materials

In this study, recycled fine-powder and granular blast furnace slag were used as the main raw materials, and steel slag was used as an auxiliary precursor. The sodium carbonate produced by Sinopharm Group was used as salt activator, and its purity is of analytical grade. As an auxiliary activator, MgO has an activity of 55% and a content of 85%. It is made by lightly calcining MgCO3 at a temperature of about 750 °C. Table 1 shows the chemical composition and physical properties of the raw materials determined using the X-ray fluorescence method. Similar to the composition of cementitious materials, it has potential pozzolanic activity, which is a prerequisite for recycled powder to become raw materials for preparing cementitious materials.
Table 1. Chemical composition and physical properties of blast furnace slag, MgO, recycled powder, and steel slag.
The particle size distribution of RP, slag, MgO, and SS obtained using Mastersizer analysis is shown in Figure 1. The particle size ranges of RP, slag, SS, and MgO are 1.1–3080 μm, 0.3–76 μm, 0.6–1109 μm, and 0.3–98 μm, respectively. The average values (d50) are approximately 1513.8 μm, 13.1 μm, 72.7 μm, and 4.7 μm, respectively. It shows that the particle size of recycled powder is concentrated, the distribution is relatively average, and it has a small particle size and stable composition characteristics.
Figure 1. Particle size distribution of RP, Slag, MgO, and SS.
The mineral phases of RP, slag, MgO, and SS represented using X-ray diffraction patterns are shown in Figure 2. Slag is kept between 23° and 35° θ, and an amorphous peak is displayed within the range, and no obvious peak is observed in the relevant patterns. This amorphous peak represents the crystalline and glassy parts of the sample, indicating that it is a mineral similar to granite. At 42.9° 2θ, a clear peak of MgO was observed, which is believed to be olivine, while in RP, it was observed at 26° 2θ for quartz.
Figure 2. XRD patterns of slag, SS, MgO, and RP (Ge: gehlenite; Q: quartz; B: brucite; P: periclase).
In order to determine the compressive strength and microstructure properties, seven different ratios of cementitious materials and mortar mixtures were prepared, including different amounts of MgO, Na2CO3, and SS. The code of the mixture is shown in Table 2, where S10 represents the mixture containing 10% steel slag and other quality substitute slag. For other combinations, the representation of the mixture includes N and M. The first number represents the percentage of sodium carbonate in the total precursor mass, and the second number represents the percentage of MgO in the total precursor mass. For example, S10N6M6 means that the mixture was prepared by replacing slag with 10% steel slag, adding 6% sodium carbonate, and adding 6% MgO. The dosage of steel slag should not exceed 20%, because in previous studies, adding excessive steel slag may cause undesirable phenomena such as concrete cracking.
Table 2. Compositions of mortar samples.
For the slurry sample, the ratio of water to cementitious material was set to 0.4. For mortar samples, the ratio of water to cementitious material was 0.5, and the ratio of cementitious material to sand was 1:3. A conventional (two-part) mixing procedure was used, in which Na2CO3 was dissolved in water and an activator solution was prepared before the mixing step. We mixed the raw materials in a planetary mixer for 5 min to stir evenly, then poured the activator solution into the mixer and stirred for 3 min. We poured the prepared slurry into a 40 × 40 × 40 mm3 cubic mold, as a clean slurry sample; when preparing mortar samples, we mixed the clean slurry with standard sand and poured it until it reached 40 × 40 × 160 mm3 in the mold. Immediately after pouring, we covered the cubic mold with plastic film to prevent water loss during curing.
After the sample preparation was completed, we stored the sample under laboratory conditions at a temperature of 20 ± 2 °C and a relative humidity of 65 ± 5%. After 24 h of storage, we demolded it. Then, we performed standard maintenance for 28 days and maintained the same laboratory conditions before the test day.

2.2. Testing Method

2.2.1. Compressive Strength

The YAW-300 constant load cement pressure testing machine is employed in this study, with an experimental loading rate of 2.5 KN/s. Following the ISO method for testing cement mortar strength (GB/T17671-1999) [27], the compressive strength is tested at 3d, 7d, and 28d. The test result is determined by averaging the values obtained from three specimens.

2.2.2. pH

The pH value of the slurry sample was measured by passing 75 μ and crushing and grinding the samples with a mesh size of m. We dispersed the ground slurry sample in a 1:5 ratio in distilled water and stirred for 15 min using a magnetic stirrer at a speed of 1000 rpm. We filtered the obtained solution and recorded the pH measurement results using a Hanna pH meter with an accuracy of ±0.01. During the 72 h reaction period, the pH value of each slurry sample will be obtained at fixed times (such as 1, 3, 6, 12, and 24 h).

2.2.3. Setting Time and Fluidity

The setting time of ASP is measured using a Vicatneedle according to the method in the Chinese standard GB/T1346-2011 [28]. The liquidity of ASM is measured according to the GB/T2419-2005 [29] standard.

2.2.4. Dry Shrinkage

Utilizing the BY-160 cement mortar mix ratio length meter, the specimen’s mortar ratio was 1:2, with a flowability ranging between 130 mm and 140 mm. The mortar specimen measured at 25 mm × 25 mm × 280 mm. Following the “Test Method for Dry Shrinkage of Cement Mortar” (JC/T603-2004) [30], we conducted separate tests for the corresponding dimensions at 3d, 7d, and 28d. The test result was determined by averaging the dimensions obtained from three samples.

2.2.5. XRD

The X-ray diffraction (XRD) analysis was performed to identify the hydration products of the sample on day 28. We crushed the slurry sample and dried it at 60 °C for 24 h, then passed it through 75 μ. The sieve holes of m were used for screening. We used CuK α and the XPERT-PROX (Rigaku Ultima IV, made in Japan) X-ray diffractometer analyzer for radiation analysis of the fine powders. The sample was maintained at 0.02° 2θ. The step size ranged from 5° 2θ to 60° 2θ. We performed a step-by-step scan with a measurement time of 1 s per step.

2.2.6. TG-DTG

The thermogravimetric analysis (TG-DTG) was performed using the EXSTAR6000 thermal analyzer (made in USA). We set the temperature scanning range from 25 °C to 800 °C, and increased the heating rate at 15 °C per minute under nitrogen flow. After the 28-day curing period of the sample, we took approximately 20–25 mg of sample powder for the TG-DTG analysis. We quantified the reaction products using mass loss within different temperature ranges.

2.2.7. SEM-EDS

Scanning electron microscopy (SEM) coupled with energy dispersive X-ray spectroscopy (EDS) was conducted using the TESCAN MIRA LMS (made in Czech Republic) instrument at an accelerated voltage of 15 kV. On the 28th day of the reaction, all samples were analyzed to identify hydration products, captured at various magnifications: 1000×, 2500×, and 5000×.

3. Results and Discussion

3.1. Setting Time and Fluidity

Figure 3 lists the fluidity of fresh Na2CO3-MgO stimulated pure slurry. At the same amount of activator, adding steel slag will increase the fluidity of the clean slurry. Adding 10% and 20% steel slag increases the fluidity by 10% and 25%, respectively. This is because the steel slag in steel slag is usually ground to form a powder, its particle size is larger, and its particle shape is more rounded than that of recycled micro-powder, which helps to improve the fluidity of cementitious materials. In the case of 10% steel slag content, MgO has a more significant impact on fluidity. This may be because the addition of magnesium oxide reacts with water to form a brucite phase, thereby reducing fluidity. When 6% Na2CO3 is added, the fluidity of 3% and 6% magnesium oxide is reduced by 10.67% and 16.67%, respectively, compared to that without magnesium oxide. S10N6M0 has the highest slump fluidity, which is attributed to the slow reaction of the cementitious material excited by Na2CO3. As the MgO substitution level increases, the slump fluidity decreases. This finding highlights the need to use alternatives or additives to accelerate and control Na2CO3-stimulated activity and setting time.
Figure 3. Fluidity of the fresh AAS pastes.
Table 3 lists the setting time of fresh Na2CO3-MgO-activated slurry. It was demonstrated that under the same amount of alkaline activator, the early cementitious activity of steel slag is lower than that of slag and recycled fine powder. Adding steel slag will reduce the alkalinity of the cementitious material system in the early hydration stage, thereby prolonging the setting time. It was extended by 3.33% and 16.67%, respectively. In the case of using only one activator (Na2CO3/MgO), it can be observed that the setting time of a single Na2CO3 is longer than that of a complex activator. However, single MgO excitation did not initially solidify within 24 h, which may be due to MgO’s inability to provide the alkalinity required for the dissolution of the gel system in the early stages. In the presence of MgO, the slag excited by Na2CO3 completely solidifies within 24 h. When the reactive MgO content is 3% and 6%, the initial and final setting times of AAS slurry excited by Na2CO3 are reduced by 23.3%, 21.9%, and 32.0%, 29.7%, respectively.
Table 3. Setting times of the fresh AAS pastes.

3.2. Compressive Strength

Na2CO3 alkali-activated cementitious materials exhibit a drawback in their low early compressive strength [26]. Figure 4 illustrates the compressive strengths of N6M0 after curing for 3, 7, and 28 days at 10.3, 24.1, and 30.3 MPa, respectively. In contrast, N6M6 shows compressive strengths of 22.8, 37.2, and 43.1 MPa for the same curing periods. The influence of Na2CO3 alone on compressive strength is minimal and significantly impacted by the precursor’s activity. This underscores the necessity and superiority of combining Na2CO3 with MgO for excitation. A 3% MgO addition has a negligible impact on strength, but at 6% MgO content, the strength notably increases, especially after 28 days. MgO’s positive effect on strength is attributed to its role in forming hydrotalcite (Ht), contributing to microstructure densification. Previous studies, such as that by Dung [31], also observed strength improvement by adding active magnesium oxide to Na2CO3 active slag slurry. Unlike in PC systems, the addition of MgO to alkali-excited systems does not lead to strength loss. This is because in alkali-excited systems, MgO reacts with dissolved ions in the aluminosilicate precursor to form Ht or magnesium silicate hydrate gel. In contrast, in PC systems, MgO reacts with water alone, forming brucite (Mg(OH)2), resulting in weaker strength.
Figure 4. Compressive strength values of all mixes at 3, 7, and 28 days.
The addition of Na2CO3, particularly at a dosage of 6%, effectively activates the adhesive. Early compressive strength is notably influenced by the quantity of Na2CO3. In the case of the pure paste with added Na2CO3, compressive strength experiences a sharp increase before 7 days, followed by a gradual ascent within 28 days. Conversely, the mixture without Na2CO3 only shows a slight strength increase after 28 days. The elevated early strength attributed to Na2CO3 arises from the higher pH value in the pore solution, expediting the dissolution of slag and RFP. The subsequent substantial strength development is associated with the influence of carbonate ions.
Figure 4 illustrates that the inclusion of SS negatively impacts the early compressive strength (3 and 7 days) of the specimens. In comparison to S0, the compressive strength of S20 decreased by 19.4% and 5.9% at 3 and 7 days, respectively. However, at 28 days, the compressive strength of S20 was 1.7% higher than that of S0, showing a tendency to surpass S0. This phenomenon may be attributed to the partial substitution of SS for slag, leading to increased free water content and pore formation. SS exhibits lower pozzolanic activity and hydration rate compared to slag. Consequently, introducing SS as a partial replacement for GGBS adversely affects the early strength of Na2CO3-stimulated slag mortar. The later increase in compressive strength is primarily a result of the reaction between SS and OH- to form hydrated calcium silicate gel (C-S-H).

3.3. Dry Shrinkage

The results of dry shrinkage tests were analyzed on seven sets of specimens after they had been cured for 3, 7, 14, 28, and 56 days. Table 4 presents the shrinkage rates for each group under various curing durations. The shrinkage rate is calculated using the following formula:
S t = L 1 L 0 250 × 100 %
Table 4. Dry shrinkage properties (%) of all mixes at 1,3, 7, 28, and 56 days.
In the formula, St represents the dry shrinkage rate of specimens at the nth year; Lt is the length value of specimens at the nth year; L0 is the initial measured length of the specimen; and 250 is the effective length of the specimen (n = 3, 7, 14, 28, 56).
Analyzing Table 4 and Figure 5 reveals that with increasing curing time, the drying shrinkage rate of the samples steadily rises. For the same curing duration, the sample shrinkage rates follow the order S10N6M0 < S10N6M3 < S0N6M6 < S10N0M6 < S10N3M6 < S10N6M6 < S20N6M6, with the S10N6M6 sample exhibiting the least significant shrinkage. The drying shrinkage rates for 1d, 3d, 7d, 14d, 28d, and 56d were 0.0024%, 0.0063%, 0.012%, 0.019%, 0.0235%, and 0.0319%, respectively. This phenomenon is attributed to the micro-expansion effect produced by magnesium oxide during the hydration process. In an alkaline environment, the depolymerization and condensation of RFP aluminosilicate precursors result in the formation of C-S-H gel. Simultaneously, steel slag, rich in Al2O3, SiO2, and a small amount of Fe2O3, actively participates in the hydration reaction, enhancing the distribution of hydration products and promoting a denser pore structure in the cementitious system [32].
Figure 5. Dry shrinkage properties (%) of all mixes.

3.4. pH

The pH values of the pure pulp samples are depicted in Figure 6. Initial pH values, measured at the 1st h, ranged from 12.10 to 12.39. Over time, pH values gradually increased, reaching their peak at 24 h, followed by a decrease at 48 and 72 h. Notably, the pH value of the 6Mg mixture exceeded that of the 0Mg sample at all measurement times. The presence of magnesium ions induced a higher pH value in the fresh slurry by enhancing MgO dissolution, leading to hydrotalcite formation. This process removed more carbonate from the medium, intensifying slag dissolution and releasing more Ca2+. Conversely, the S10 mixture exhibited lower values, especially in the initial hours of reaction, aligning with the delayed hydration mechanism observed in isothermal calorimetry results. Moreover, the pH values of all studied AAP samples gradually declined with age. This trend may be attributed to the contribution of the generated gel products (C-(A)-S-H and N-A-S-H). The addition of SS and the aging process led to the formation of more gel products, consuming and solidifying additional metal ions, resulting in a decrease in the pore solution’s pH.
Figure 6. pH values during the first 72 h of reaction.

3.5. Microscopic Testing and Analysis

3.5.1. XRD

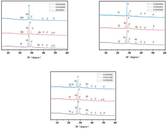
The XRD analysis of the RFP-GGBS-based AAC’s mineral phase is presented in Figure 7, revealing the detection of C-(A)-S-H as a primary reaction product in all curves. Additionally, newly formed products such as hydrotalcite and calcite were observed. Calcite results from the interaction between the activator and calcium ions in SS/GGBS, while hydrotalcite, rich in magnesium, is a key hydration product of GGBS-based AAC. With an increase in the proportion of NC, the generation of C-(A)-S-H intensifies notably. The high-alkalinity pore solution facilitates GGBS-SS depolymerization, leading to increased C-(A)-S-H generation. The elevated alkalinity is reflected in the intensification of the talc peak, indicating enhanced hydrotalcite hydration. The XRD patterns of the hardened AAP samples show crystalline phases of calcite (CaCO3) and quartz (SiO2), originating from unreacted solid precursor particles. The presence of an amorphous hump between 20–40° 2θ in all patterns indicates the existence of amorphous C-(A)-S-H gel, known for contributing to denser microstructures and compressive strength development. Furthermore, the addition of SS widens and slightly elevates the amorphous hump, suggesting the formation of more amorphous aluminosilicate gel. This increase in amorphous content positively influences the efficiency and performance of the gel product. The hydration process of MgO involves dissolution and reprecipitation, accelerated in higher pH environments. The released OH− from MgO dissolution increases the pH in MgO-modified AAC, expediting precursor dissolution. Simultaneously, Mg2+ from MgO dissolution is rapidly consumed, forming a hydrotalcite-like phase with carbonate intercalation, contributing to CO32− consumption in the system.
Figure 7. XRD patterns of non-carbonated mixes at 28 days. (C: calcite, Ht: hydrotalcite, Q: quartz, P: periclase, G: gaylussite, M: magnesite).

3.5.2. DG-DTG

TG and DTG analyses offer rapid insights into material stability and decomposition. These methods precisely gauge weight changes resulting from gas emissions during controlled-rate heating, aiding the comprehension of the relationship between structural properties and thermal stability. Figure 8 and Figure 9 showcase the TG and DTG curves, respectively. The primary mass loss between 50 °C and 250 °C corresponds to the evaporation of free or bound water in the C-(A)-S-H phase. Notably, endothermic peaks of Ca(OH)2 and CaCO3 manifest around 400–600 °C and 800 °C, respectively. Over an extended curing time, sample C exhibits a substantial increase in the strength of C-S-H gel and the Ca(OH)2 peak, signifying heightened hydration product content and the decomposition of C-(A)-S-H gel. Further peaks are observed in the 250 °C to 450 °C range, attributed to hydrotalcite dehydroxylation, aligning with XRD results (Figure 9). Another broad peak around 700 °C arises from carbonate decomposition, involving calcite and calcium aluminum garnet. The mass loss in Mg and SS-mixed samples surpasses that in the control mixture 100S, consistent with compressive strength findings. In MgO-substituted AAS, the carbonate peak’s shift beyond 700 °C coincides with a diminished calcium aluminum spinel peak, indicating its transformation into distinct carbonate-containing phases.
Figure 8. TG curves of all mixes at 28 days.
Figure 9. DTG curves of all mixes at 28 days.

3.5.3. SEM-EDS

SEM analysis at 28 days provides insights into the sample morphology, as depicted in Figure 10. In the control mixture S10N6M6, a solid, dense matrix formation is evident, characterized by the absence of loosely packed particles. Both S10N3M6 and S10N6M3 display a uniform and dense structure. In contrast, S10N0M6 and S10N6M0 exhibit a substantial presence of unreacted slag and regenerated micropowder particles, along with loose structures. This aligns with their lower compressive strength and their reduced degree of hydration compared to other mixtures.
Figure 10. Secondary electron images of all mixes at 28 days at 1000× magnification.
When combining highly active MgO and Na2CO3, denser C-S-H gels are formed, exhibiting significantly lower porosity compared to the initial gels. This aligns with the strength results obtained. The gel occupies spaces formerly filled with water, creating a more compact microstructure. Consequently, there is an enhancement in strength, accompanied by the presence of chemically bound water, as indicated earlier. The findings demonstrate that MgO expedites the early hydration of slag. The addition of highly active MgO induces two primary effects: (1) The rapid hydration of MgO reacts with the precursor to generate additional hydration products like brucite, effectively filling pores and establishing connection sites for subsequent gel products. (2) The swift heat release during MgO dissolution leads to a higher dissolution rate of the aluminosilicate precursor, accelerating the reaction rate between components. By the 28th day, all mixtures exhibited a dense microstructure dominated by C-S-H gel. While other hydration products may not manifest distinct forms and are intertwined with the gel, making identification challenging, the inclusion of SS-aluminosilicate precursor resulted in the formation of more C(A)-S-H gels. As additional gel products form, they fill existing voids, binding remaining solid particles into a continuous, dense, and intact matrix. This reduction in porosity contributes to the observed increase in mechanical strength.
In S20N6M6, numerous unhydrated steel slag particles exhibit two distinct states. Some are enveloped by gel with a smooth surface, while others feature a rough surface entirely covered by gel. This suggests that the RO phase remains inert, even in a highly alkaline environment. The abundance of these unreacted particles can detrimentally impact adhesion, potentially leading to reduced strength. Notably, in the Na2CO3-MgO-activated steel slag system, there is an absence of needle-shaped AFt crystals. Instead, hexagonal plate-like Ca(OH)2 emerges as the sole identified crystalline product. Two forms of Ca(OH)2 are observed: layered superposition and individual hexagonal crystals. These monolithic Ca(OH)2 crystals, with distinct hexagonal shapes, are evident on the gel surface, creating weak links in the matrix and adversely affecting strength development. However, the introduction of 10% steel slag contributes to a denser structure, positively impacting subsequent strength development.

3.6. Hydration Mechanism

The initial reaction of aluminosilicate precursors (GGBS, RFP, and SS) with MgO can be described using the following equation: MgO is a soft alkaline compound with limited potential to dissolve amorphous glass as a single initiator, so the reaction proceeds slowly. M-S-H gel [33] (Formula (1)) is generated in the early stage of the reaction, and a part of Mg(OH)2 (Formula (2)) is generated at the same time, resulting in low early strength development [34].
5 MgO + SiO 2 + 5 H 2 O Mg 5 ( SiO 4 ) ( OH ) 2 4 H 2 O
MgO + H 2 O Mg ( OH ) 2
When RFP-GGBS is excited with Na2CO3 alone, the reaction sequence is a multi-step complex process, and no strong phase is produced in the early stages due to the preferential formation of CaCO3 polymorphs and mixed sodium–calcium carbonates [35]. So, the early intensity is lower. After Na2CO3 is dissolved in water, Na+ and CO32− will be dissociated (Equation (3)), while the glass phase of RFP and GGBS is partially dissolved, releasing a part of Ca2+. This subsequently interacts with CO32− to form transient phases such as sodalite (Na2Ca(CO3)2) [25] (Equations (4) and (5)).
Na 2 CO 3 + H 2 O 2 Na + + CO 3 2 + H 2 O
5 H 2 O + 2 CO 3 2 + Ca + + 2 Na + Na 2 Ca ( CO 3 ) 2 5 H 2 O ( gaylussite )
Na 2 Ca ( CO 3 ) 2 5 H 2 O 5 H 2 O + CaCO 3 + 2 Na + + CO 3 2
CO 3 2 + MgO + H 2 O MgCO 3 + 2 OH
In the N6M0 single-component sodium carbonate excited mixed system, Ca2+ in the slag and regenerated fine powder reacts preferentially with CO32− in Na2CO3, eventually forming calcite and almanite. Under lower pH conditions, due to the slow dissolution of the regenerated micropowder, the reaction proceeds gradually, and the main hydration products are C-(A)-S-H gel and calcite (Equation (7)). As Mg2+ enters the system through the incorporation of MgO, it accelerates the consumption of CO32− in the system and generates a hydrotalcite phase [14] that can provide strength (Equation (8)). The hydration product is the same as N6M0, but the content of available magnesium ions in the system increases, and the contents of hydrotalcite and periclase increase. CO32− introduced by Na2CO3 and Mg2+ produced through hydrolysis of active MgO can promote the formation of a large amount of hydrotalcite. Therefore, as the MgO content increases, the diffraction peak of hydrotalcite increases significantly.
Ca 2 + + Si 4 + + Al 3 + + H ( water ) C ( A ) S H
H 2 O + OH + [ Al ( OH ) 4 ] + Mg 2 + + CO 3 2 Mg 6 Al 2 ( CO 3 ) ( OH ) 16 4 H 2 O
When Na2CO3 is used as a single initiator, the reaction process is slow. In the single-component Na2CO3 excitation system, the alkaline environment provided by Na2CO3 for the mixed system is weak, making it difficult to form hydration products. However, MgO can be used as a reaction source for sodium carbonate to consume CO32−, forming a synergistic excitation effect with sodium carbonate, accelerating the hydration process of Na2CO3-stimulated AAC gelling materials. It can be seen from the XRD and thermogravimetric results that the high content of MgO can improve this acceleration effect. The presence of MgO accelerates the absorption of CO32− from Na2CO3 and leads to the formation of hydrated magnesium carbonate (such as rosette water magnesia) [25]. This process increases the pH value of the pore solution (12.8) and accelerates the dissolution of RFP-GGBS. Therefore, when MgO is added to the Na2CO3 excitation mixture, the pH value is the highest, indicating that the reaction process is accelerated. The addition of active MgO enriches the micromorphology of the hydration product. Due to the rapid hydration reaction of MgO, the generated brucite plays a connecting role and accelerates the hydration process of recycled fine powder, slag, and steel slag.

4. Conclusions

This study delves into the properties and hydration mechanism of cementitious materials, specifically focusing on sodium carbonate-activated slag’s recycled fine powder with the incorporation of active MgO and SS. The investigation explores the potential of active magnesium oxide and SS in enhancing compressive strength and provides insights into their impact on the hydration mechanism, compressive strength, and microstructure. Through a thorough analysis utilizing X-ray diffraction (XRD) and thermogravimetric differential thermogravimetric analysis (TG-DTG), the study dissects the hydration mechanism. Additionally, the microstructure and compressive strength of the slurry samples were examined. From the results obtained, the following conclusion can be derived:
(1)
Substituting 10% of slag with SS resulted in a slight reduction in early compressive strength development but exhibited higher strength compared to the Na2CO3-activated mixture at 28 days. This increased strength can be attributed to the generation of hydrotalcite, C-(A)-S-H, and C-(N, A)-S-H facilitated by Mg2+, Al3+, and Si4+ provided by MgO and SS.
(2)
The incorporation of MgO not only marginally decreases the solidification time of ternary composite cementitious materials but also significantly enhances the strength of the cementitious system. The addition of steel slag notably improves the fluidity of the cementitious system.
(3)
Rapid MgO hydration yields brucite, effectively filling pores and creating connection sites for gel products. The swift heat release during MgO dissolution accelerates the aluminosilicate precursor’s dissolution rate, resulting in a higher reaction rate between components.
(4)
Hydration products in BFS-RP activated using Na2CO3 primarily consist of C-(A)-S-H gel, hydrotalcite, and periclase. MgO plays a crucial role in promoting the formation of these hydration products. The introduction of CO32− by Na2CO3 and Mg2+ from reactive MgO hydrolysis significantly enhances hydrotalcite formation.
In summary, this study reveals that the incorporation of a small amount of Mg and SS into the regenerated slag micropowder significantly influences the mechanical strength and workability of the AAS system. The addition of Mg and SS introduces additional Mg2+, Al3+, and Si4+ into the system, leading to the formation of strength-contributing phases such as hydrotalcite and C-(A)-S-H gel. However, it is crucial to control the dosage of SS, as exceeding 20% results in a decrease in compressive strength after 28 days. The findings presented in this study are instrumental for designing sustainable and durable Na2CO3-MgO-activated cementitious materials, offering insights into the development of alternative cementitious systems with enhanced mechanical properties. At the same time, this study can provide some insights into controlling carbon emissions and environmental pollution.

Author Contributions

Conceptualization, J.L.; data curation, B.L.; formal analysis, K.L.; investigation, Y.T., X.G. and K.L.; methodology, J.L.; project administration, G.S.; software, X.G.; supervision, B.L.; validation, G.S.; visualization, Y.T.; writing—original draft, Y.T.; writing—review and editing, Y.T. All authors have read and agreed to the published version of the manuscript.

Funding

This research was funded by the National Key Research and Development Plan of China grant number No. 2023YFC3904303, the National Natural Science Foundation of China grant number No. 52234004, and the Social Governance Special Project of Shenyang Municipal Bureau of Science and Technology grant number No. 22-322-3-02.

Data Availability Statement

The raw data supporting the conclusions of this article will be made available by the authors on request.

Acknowledgments

Special thanks to Shiyanjia Lab (www.shiyanjia.com, accessed on 16 October 2023) for providing the technical analysis.

Conflicts of Interest

The authors declare that they have no known competing financial interests or personal relationships that could have appeared to influence the work reported in this paper.

References

  1. Abdalqader, A.; Jin, F.; Al-Tabbaa, A. Performance of magnesia-modified sodium carbonate-activated slag/fly ash concrete. Cem. Concr. Compos. 2019, 103, 160–174. [Google Scholar] [CrossRef]
  2. Davidovits, J. Geopolymers. J. Therm. Anal. 1991, 37, 1633–1656. [Google Scholar] [CrossRef]
  3. Provis, J.L. Geopolymers and other alkali activated materials: Why, how, and what? Mater. Struct. 2014, 47, 11–25. [Google Scholar] [CrossRef]
  4. Amaral, L.F.; Oliveira, I.R.; Salomão, R.; Frollini, E.; Pandolfelli, V.C. Temperature and common-ion effect on magnesium oxide (MgO) hydration. Ceram. Int. 2010, 36, 1047–1054. [Google Scholar] [CrossRef]
  5. Barbosa, V.F.F.; MacKenzie, K.J.D. Thermal behaviour of inorganic geopolymers and composites derived from sodium polysialate. Mater. Res. Bull. 2003, 38, 319–331. [Google Scholar] [CrossRef]
  6. Duxson, P.; Fernández-Jiménez, A.; Provis, J.L.; Lukey, G.C.; Palomo, A.; van Deventer, J.S.J. Geopolymer technology: The current state of the art. J. Mater. Sci. 2007, 42, 2917–2933. [Google Scholar] [CrossRef]
  7. Scrivener, K.L.; Kirkpatrick, R.J. Innovation in use and research on cementitious material. Cem. Concr. Res. 2008, 38, 128–136. [Google Scholar] [CrossRef]
  8. Chen, Z.; Ye, H. Sequestration and release of nitrite and nitrate in alkali-activated slag: A route toward smart corrosion control. Cem. Concr. Res. 2021, 143, 106398. [Google Scholar] [CrossRef]
  9. Chen, Z.; Ye, H. Influence of metakaolin and limestone on chloride binding of slag activated by mixed magnesium oxide and sodium hydroxide. Cem. Concr. Compos. 2022, 127, 104397. [Google Scholar] [CrossRef]
  10. Lee, N.K.; Lee, H.K. Setting and mechanical properties of alkali-activated fly ash/slag concrete manufactured at room temperature. Constr. Build. Mater. 2013, 47, 1201–1209. [Google Scholar] [CrossRef]
  11. Gu, X.; Ge, X.; Liu, J.; Song, G.; Wang, S.; Hu, Z.; Wang, H. Study on the synergistic effect of calcium carbide residue -fly ash enhanced desulphurisation gypsum under high temperature maintenance condition. Constr. Build. Mater. 2024, 412, 134706. [Google Scholar] [CrossRef]
  12. Shi, C.; Qu, B.; Provis, J.L. Recent progress in low-carbon binders. Cem. Concr. Res. 2019, 122, 227–250. [Google Scholar] [CrossRef]
  13. Lin, Y.; He, T.; Da, Y.; Yang, R.; Zheng, D. Effects of recycled micro-powders mixing methods on the properties of recycled concrete. J. Build. Eng. 2023, 80, 107994. [Google Scholar] [CrossRef]
  14. Liu, M.; Yang, D.; Chen, L.; Chen, G.; Ma, Z. Effect of silicate modulus and alkali content on the microstructure and macroscopic properties of alkali-activated recycled powder mortar. Constr. Build. Mater. 2023, 397, 132365. [Google Scholar] [CrossRef]
  15. Zhang, J.; Guo, Z.; Zhu, Y.; Zhang, H.; Yan, M.; Liu, D.; Hao, J. Preparation and characterization of novel low-cost sensible heat storage materials with steel slag. J. Energy Storage 2024, 76, 109643. [Google Scholar] [CrossRef]
  16. Zhang, Y.; Liu, C.; Zhang, Y.; Wu, X.; Zhang, F.; Zhang, J.; Li, X. The mechanical strength, microstructure, and transport properties of steel slag reinforced loess soil system. Case Stud. Constr. Mater. 2024, 20, e02702. [Google Scholar] [CrossRef]
  17. Liu, J.; Song, G.; Ge, X.; Liu, B.; Liu, K.; Tian, Y.; Wang, X.; Hu, Z. Experimental Study on the Properties and Hydration Mechanism of Gypsum-Based Composite Cementitious Materials. Buildings 2024, 14, 314. [Google Scholar] [CrossRef]
  18. Zhuang, S.; Wang, Q.; Luo, T. A quantitative method to assess and predict the exothermic behavior of steel slag blended cement. Cem. Concr. Res. 2024, 175, 107373. [Google Scholar] [CrossRef]
  19. Zhu, H.; Liang, G.; Li, H.; Wu, Q.; Zhang, C.; Yin, Z.; Hua, S. Insights to the sulfate resistance and microstructures of alkali-activated metakaolin/slag pastes. Appl. Clay Sci. 2021, 202, 105968. [Google Scholar] [CrossRef]
  20. Ye, H.; Huang, L.; Chen, Z. Influence of activator composition on the chloride binding capacity of alkali-activated slag. Cem. Concr. Compos. 2019, 104, 103368. [Google Scholar] [CrossRef]
  21. Bian, Z.; Jin, G.; Ji, T. Effect of combined activator of Ca(OH)2 and Na2CO3 on workability and compressive strength of alkali-activated ferronickel slag system. Cem. Concr. Compos. 2021, 123, 104179. [Google Scholar] [CrossRef]
  22. Burciaga-Díaz, O.; Betancourt-Castillo, I.E.; Escalante-García, J.I. Limestone and class C fly ash blends activated with binary alkalis of Na2CO3–NaOH and MgO–NaOH: Reaction products and environmental impact. Cem. Concr. Compos. 2023, 137, 104949. [Google Scholar] [CrossRef]
  23. Akturk, B.; Abolfathi, M.; Ulukaya, S.; Kizilkanat, A.B.; Hooper, T.J.N.; Gu, L.; Yang, E.-H.; Unluer, C. Hydration kinetics and performance of sodium carbonate-activated slag-based systems containing reactive MgO and metakaolin under carbonation. Cem. Concr. Compos. 2022, 132, 104617. [Google Scholar] [CrossRef]
  24. Chen, Z.; Ye, H. The role of CaO and MgO incorporation in chloride resistance of sodium carbonate-activated slag. Cem. Concr. Compos. 2022, 132, 104625. [Google Scholar] [CrossRef]
  25. Dung, N.T.; Hooper, T.J.N.; Unluer, C. Enhancing the performance of MgO-activated slag-fly ash mixes by accelerated carbonation. J. CO2 Util. 2020, 42, 101356. [Google Scholar] [CrossRef]
  26. Wang, Y.-S.; Tae, S.-H.; Lin, R.-S.; Wang, X.-Y. Effects of Na2CO3 on engineering properties of cement–limestone powder–slag ternary blends. J. Build. Eng. 2022, 57, 104937. [Google Scholar] [CrossRef]
  27. GB/T17671-1999; Method of Testing Cements-Determination of Strength. Standardization Administration of China: Beijing, China, 1999.
  28. GB/T1346-2011; Test Methods for Water Requirement of Normal Consistency, Setting Time and Soundness of Portland Cement. Standardization Administration of China: Beijing, China, 2011.
  29. GB/T2419-2005; Test Method for Fluidity of Cement Mortar. National Standard: Beijing, China, 2005.
  30. JC/T603-2004; Standard Test Method for Drying Shinkage of Mortar. Building Materials Industry Standard: Beijing, China, 2004.
  31. Dung, N.T.; Hooper, T.J.N.; Unluer, C. Improving the carbonation resistance of Na2CO3-activated slag mixes via the use of reactive MgO and nucleation seeding. Cem. Concr. Compos. 2021, 115, 103832. [Google Scholar] [CrossRef]
  32. Yuan, X.-h.; Chen, W.; Lu, Z.-a.; Chen, H. Shrinkage compensation of alkali-activated slag concrete and microstructural analysis. Constr. Build. Mater. 2014, 66, 422–428. [Google Scholar] [CrossRef]
  33. Nied, D.; Enemark-Rasmussen, K.; L’Hopital, E.; Skibsted, J.; Lothenbach, B. Properties of magnesium silicate hydrates (M-S-H). Cem. Concr. Res. 2016, 79, 323–332. [Google Scholar] [CrossRef]
  34. Liu, T.; Li, S.; Chen, Y.; Brouwers, H.J.H.; Yu, Q. In-situ formation of layered double hydroxides in MgO–NaAlO2-activated GGBS/MSWI BA: Impact of Mg2+ on reaction mechanism and leaching behavior. Cem. Concr. Compos. 2023, 140, 105114. [Google Scholar] [CrossRef]
  35. Jin, F.; Gu, K.; Al-Tabbaa, A. Strength and hydration properties of reactive MgO-activated ground granulated blastfurnace slag paste. Cem. Concr. Compos. 2015, 57, 8–16. [Google Scholar] [CrossRef]
Disclaimer/Publisher’s Note: The statements, opinions and data contained in all publications are solely those of the individual author(s) and contributor(s) and not of MDPI and/or the editor(s). MDPI and/or the editor(s) disclaim responsibility for any injury to people or property resulting from any ideas, methods, instructions or products referred to in the content.

Article Metrics

Citations

Article Access Statistics

Multiple requests from the same IP address are counted as one view.