Study on Eccentric Compressive Behavior of Concrete Columns Reinforced with NPR735 High-Strength Steel Bars
Abstract
:1. Introduction
2. Experimental Program
2.1. Details of Test Specimens
2.2. Fabrication Process
2.3. Material Properties
2.4. Experimental Program
2.4.1. Test Setup
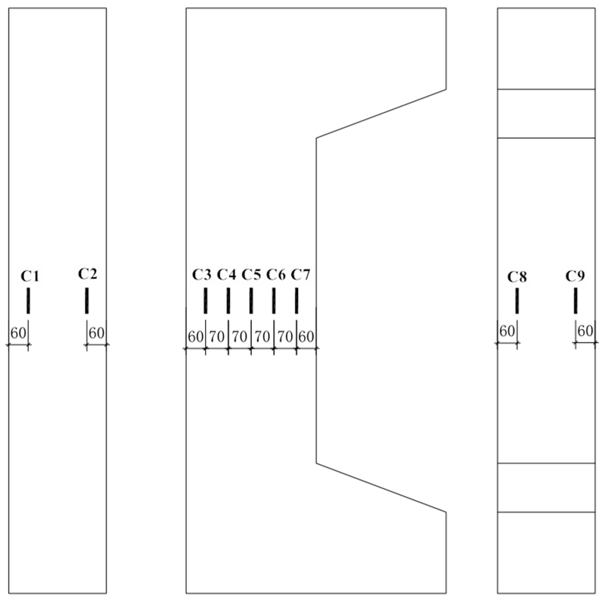
2.4.2. Layout of Measuring Points
2.4.3. Loading Protocol
3. Test Results and Discussion
3.1. Failure Process and Phenomenon Analysis of Small Eccentric Compression Column
3.2. Failure Process and Phenomenon Analysis of Large Eccentric Compression Column
3.3. Analysis of Test Results of Eccentrically Pressurized Columns
3.3.1. Load–Deflection Analysis
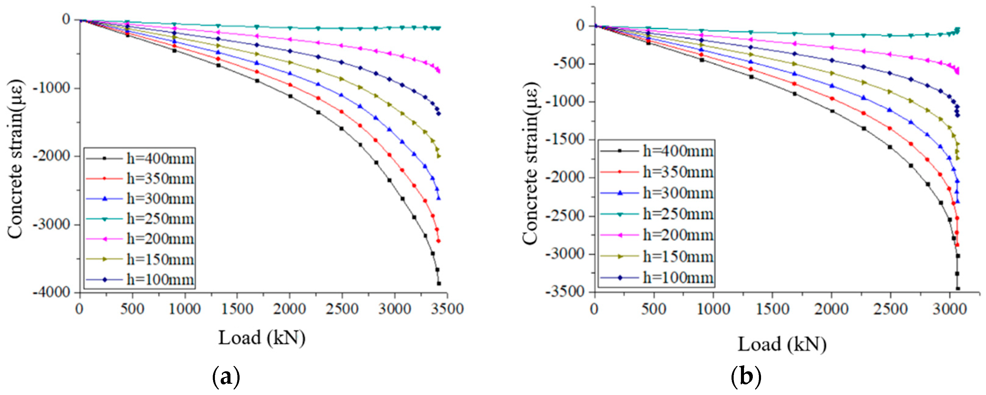
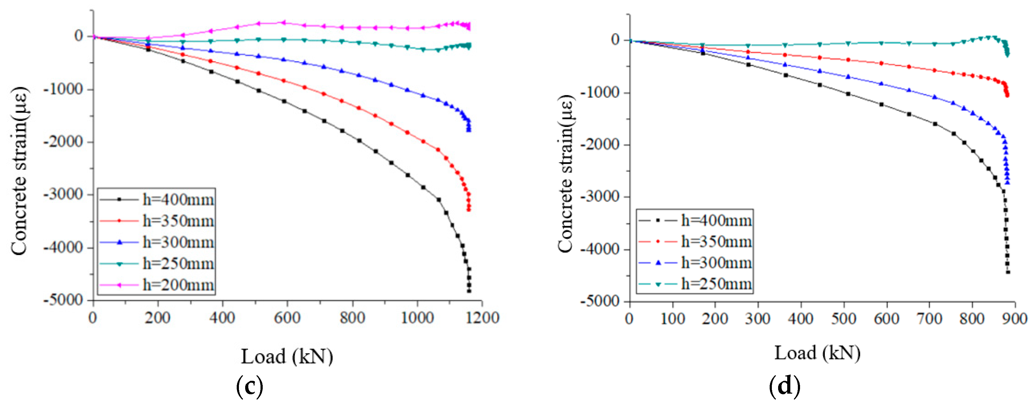
3.3.2. Load–Strain Analysis
4. Theoretical Analysis
4.1. Calculation Method for Bearing Capacity of Concrete Columns Reinforced with Grade 735 MPa High-Strength Steel Bars under Eccentric Compression
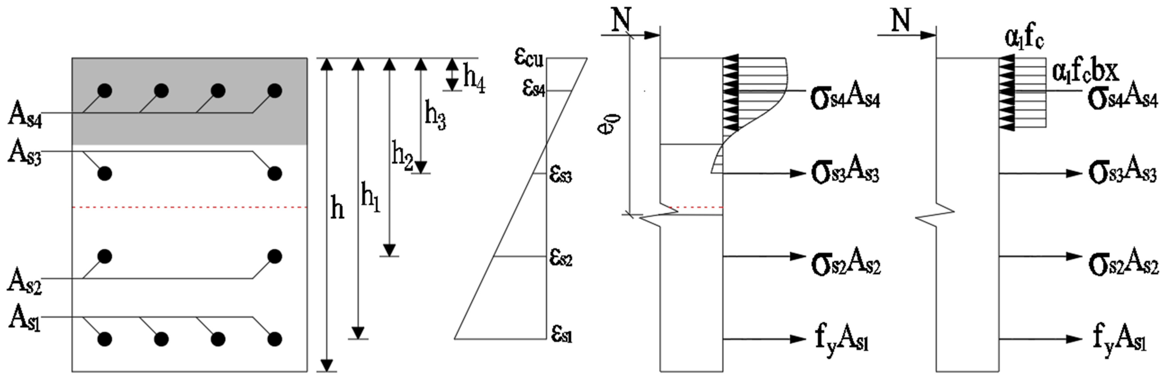
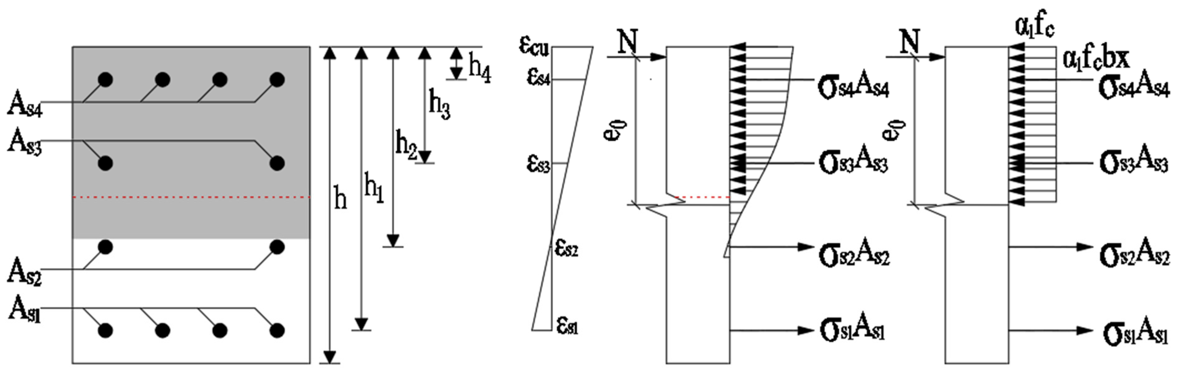
4.1.1. Equivalent Rectangular Stress Map Method
4.1.2. P-δ Effect
4.1.3. Strength Value of 735 MPa Steel Rebar in Eccentric Compression Column
4.1.4. Analysis of Eccentric Bearing Capacity



4.2. N-M Correlation Curve
5. Conclusions
Author Contributions
Funding
Data Availability Statement
Conflicts of Interest
References
- Liu, L.; Li, H.; Zhang, Y.; Li, Q. Experimental study on the force performance of 500 MPa class reinforced concrete eccentric compressed columns. J. Zhengzhou Univ. 2007, 2, 30–34. [Google Scholar]
- Xu, Y.; Wang, M.; Geng, S.; Yang, Y.; Wang, Y.; Wang, J. Experimental study on the bearing capacity of HRBF500 reinforced concrete large eccentric compressed columns. J. Qingdao Univ. Technol. 2010, 31, 48–53. [Google Scholar]
- GB/50010-2010; Code for Design of Concrete Structures. China Architecture & Building Press: Beijing, China, 2015. (In Chinese)
- Wang, J. Experimental Study and Analysis of 500MPa Class High Strength Reinforced Concrete Compressed Columns. Master’s Thesis, Qingdao University of Technology, Qingdao, China, 2010. [Google Scholar]
- Zhuo, W.; Huang, L.; Chen, Z.; Ye, G.; Huang, X. Force performance tests and finite element simulation analysis of 500 MPa grade reinforced self compacting concrete biased short columns. Eng. Mech. 2018, 35, 197–206. [Google Scholar]
- Cui, Y.; Wang, J.; Shen, Q.; Ding, Z.; Shao, X. Experimental study on the deflection performance of hot-rolled ribbed high-strength reinforced concrete columns of 635 MPa class. Ind. Constr. 2020, 50, 11–19. [Google Scholar]
- Cui, Y.; Wang, J.; Shen, Q.; Ding, Z.; Li, Z. Analysis of axial compression performance and calculation of bearing capacity of short columns with hot-rolled ribbed high-strength reinforced concrete of grade 635 MPa. Ind. Build. 2020, 50, 1–10. [Google Scholar]
- Xiong, H.; Ge, J. Analysis and experimental study of parameters for calculating crack width of high-strength reinforced flexural members. Build. Struct. 2020, 50, 18–23. [Google Scholar]
- Xiong, H.; Ge, J.; Feng, J.; Bai, J. Experimental study of mechanical properties of HRB600 steel bars and their serviceability. J. Build. Struct. 2018, 39, 387–393. [Google Scholar]
- Xiong, H.; Mu, F.; Ge, J.; Yu, S.; Feng, J. Experimental study on flexural performance of reinforced concrete beams of 600 MPa class. Ind. Constr. 2018, 48, 77–82. [Google Scholar]
- Xiong, H.; Feng, J.; Sun, C.; Ge, J. Comparison of Crack Calculation in Different Codes for 600 MPa Class High Strength Reinforced Concrete Beams. In Proceedings of the Industrial Construction 2018 Annual National Academic Conference, Beijing, China, 20 June 2018. [Google Scholar]
- Han, Y.; Guan, H.C.; Li, Z. Experimental Study on Seismic Performance of HRB400 Reinforced Concrete Columns under Cyclic Loading. Adv. Mater. Res. 2011, 287–290, 703–707. [Google Scholar] [CrossRef]
- Alavi-Dehkordi, S.; Mostofinejad, D.; Alaee, P. Effects of high-strength reinforcing bars and concrete on seismic behavior of RC beam-column joints. Eng. Struct. 2019, 183, 702–719. [Google Scholar] [CrossRef]
- Ding, Y.; Wu, D.; Su, J.; Li, Z.-X.; Zong, L.; Feng, K. Experimental and numerical investigations on seismic performance of RC bridge piers considering buckling and low-cycle fatigue of high-strength steel bars. Eng. Struct. 2020, 227, 111464. [Google Scholar] [CrossRef]
- GB/T50081-2002; Standard for Test Method of Mechanical Properties on Ordinary Concrete. China Architecture & Building Press: Beijing, China, 2016. (In Chinese)



















| Specimen | Concrete Grade | Eccentricity (mm) | Longitudinal Reinforcement | Stirrup | ||
|---|---|---|---|---|---|---|
| Steel Type | Number of Reinforcements | Steel Type | Space of Stirrups | |||
| B-Z1 | C35 | 100 | NPR735 | 12Φ18 | NPR735 | Φ8@100 |
| B-Z2 | C35 | 200 | NPR735 | 12Φ18 | NPR735 | Φ8@100 |
| B-Z3 | C35 | 300 | NPR735 | 12Φ18 | NPR735 | Φ8@100 |
| B-Z4 | C35 | 400 | NPR735 | 12Φ18 | NPR735 | Φ8@100 |
| B-Z5 | C35 | 100 | HRB400 | 12Φ18 | HRB400 | Φ8@100 |
| B-Z6 | C35 | 400 | HRB400 | 12Φ18 | HRB400 | Φ8@100 |
| Concrete Grade | Es (GPa) | fcu,m (MPa) | fc,m (MPa) |
|---|---|---|---|
| C35 | 3.53 | 43.95 | 33.4 ± 5 |
| Steel Type | Diameter (mm) | Es (N/mm2) | fy (N/mm2) | fcu (N/mm2) |
|---|---|---|---|---|
| NPR 735 | 8 | 2.06 × 105 | 764.28 | 1165.7 |
| 18 | 2.06 × 105 | 740.76 | 975.2 | |
| HRB400 | 8 | 2.06 × 105 | 522.67 | 623.43 |
| 18 | 2.06 × 105 | 478.67 | 588.56 |
| Specimen | e0 (mm) | Failure Mode | Nu (kN) | NGB,m (kN) | NGB (kN) | Nu/NGB,m | Nu/NGB | σ1 (MPa) | σGB,m (MPa) | σ1/σGB,m |
|---|---|---|---|---|---|---|---|---|---|---|
| B-Z1 | 100 | Small ecc. | 3397.6 | 3138.8 | 2021.3 | 1.08 | 1.68 | 147.64 | 118.84 | 1.24 |
| B-Z2 | 200 | Small ecc. | 2154.2 | 1873.2 | 1269.5 | 1.15 | 1.70 | 480.71 | 439.62 | 1.09 |
| B-Z3 | 300 | Small ecc. | 1496.7 | 1319.4 | 910.1 | 1.13 | 1.64 | 728.88 | 615.47 | 1.18 |
| B-Z4 | 400 | Large ecc. | 1134.2 | 989 | 720 | 1.15 | 1.58 | 735.29 | 735.00 | 1.00 |
| B-Z5 | 100 | Small ecc. | 3071.2 | 3036.3 | 1660.9 | 1.01 | 1.85 | 140.52 | 125.72 | 1.12 |
| B-Z6 | 400 | Large ecc. | 892.4 | 849.2 | 560.5 | 1.05 | 1.59 | 480.64 | 400.00 | 1.20 |
| Spec. | e0 (mm) | Tested Results | Calculated Results | |||
|---|---|---|---|---|---|---|
| x (mm) | Failure Mode | x1 (mm) | x1b (mm) | Failure Mode | ||
| B-Z1 | 100 | 305 | Small eccentricity | 242.7 | 137.1 | Small eccentricity |
| B-Z2 | 200 | 185 | Small eccentricity | 171.9 | 137.1 | Small eccentricity |
| B-Z3 | 300 | 135 | Large eccentricity | 148.2 | 137.1 | Small eccentricity |
| B-Z4 | 400 | 115 | Large eccentricity | 134.6 | 137.1 | Large eccentricity |
| B-Z5 | 100 | 280 | Small eccentricity | 241.7 | 161.9 | Small eccentricity |
| B-Z6 | 400 | 150 | Large eccentricity | 115.5 | 161.9 | Large eccentricity |
| Spec. | e0 (mm) | Tested Results | Calculated Results | |||
|---|---|---|---|---|---|---|
| x (mm) | Failure Mode | x1 (mm) | x1b (mm) | Failure Mode | ||
| B-Z1 | 100 | 305 | Small eccentricity | 249 | 150 | Small eccentricity |
| B-Z2 | 200 | 185 | Small eccentricity | 180.4 | 150 | Small eccentricity |
| B-Z3 | 300 | 135 | Large eccentricity | 157 | 150 | Small eccentricity |
| B-Z4 | 400 | 115 | Large eccentricity | 139.5 | 150 | Large eccentricity |
| B-Z5 | 100 | 280 | Small eccentricity | 249 | 185.3 | Small eccentricity |
| B-Z6 | 400 | 150 | Large eccentricity | 114.8 | 185.3 | Large eccentricity |
Disclaimer/Publisher’s Note: The statements, opinions and data contained in all publications are solely those of the individual author(s) and contributor(s) and not of MDPI and/or the editor(s). MDPI and/or the editor(s) disclaim responsibility for any injury to people or property resulting from any ideas, methods, instructions or products referred to in the content. |
© 2023 by the authors. Licensee MDPI, Basel, Switzerland. This article is an open access article distributed under the terms and conditions of the Creative Commons Attribution (CC BY) license (https://creativecommons.org/licenses/by/4.0/).
Share and Cite
Zhang, X.; Ding, Y.; Wang, X.; Sun, L. Study on Eccentric Compressive Behavior of Concrete Columns Reinforced with NPR735 High-Strength Steel Bars. Buildings 2023, 13, 188. https://doi.org/10.3390/buildings13010188
Zhang X, Ding Y, Wang X, Sun L. Study on Eccentric Compressive Behavior of Concrete Columns Reinforced with NPR735 High-Strength Steel Bars. Buildings. 2023; 13(1):188. https://doi.org/10.3390/buildings13010188
Chicago/Turabian StyleZhang, Xiao, Yijing Ding, Xuekun Wang, and Lele Sun. 2023. "Study on Eccentric Compressive Behavior of Concrete Columns Reinforced with NPR735 High-Strength Steel Bars" Buildings 13, no. 1: 188. https://doi.org/10.3390/buildings13010188
APA StyleZhang, X., Ding, Y., Wang, X., & Sun, L. (2023). Study on Eccentric Compressive Behavior of Concrete Columns Reinforced with NPR735 High-Strength Steel Bars. Buildings, 13(1), 188. https://doi.org/10.3390/buildings13010188

